Preparation and Characterization of Controlled-Release Floating Bilayer Tablets of Esomeprazole and Clarithromycin
Abstract
1. Introduction
2. Materials and Methods
2.1. Materials
2.2. Tablets Formulation
2.3. Flow Properties
2.4. Angle of Repose
2.5. Compressibility Index and Hausner’s Ratio
2.6. FTIR Analysis
2.7. Tablets Preparation
2.8. Physical Quality Control Tests
2.9. General Appearance and Shape
2.10. Diameter and Thickness
2.11. Hardness
2.12. Friability Test
2.13. Weight Variation Test
2.14. Floating Behavior
Swelling Behavior
2.15. Tablet Density
2.16. Buoyancy
2.17. Chemical Assay
2.18. Drug Release Study
2.19. Drug Release Kinetic
2.20. Dissolution Profile Comparison
2.21. Statistical Analysis
3. Results and Discussion
3.1. Flow Characteristics
3.2. FTIR Study
3.3. Physical Quality Control Tests
3.4. Swelling Behavior
3.5. Floating Behavior and Density
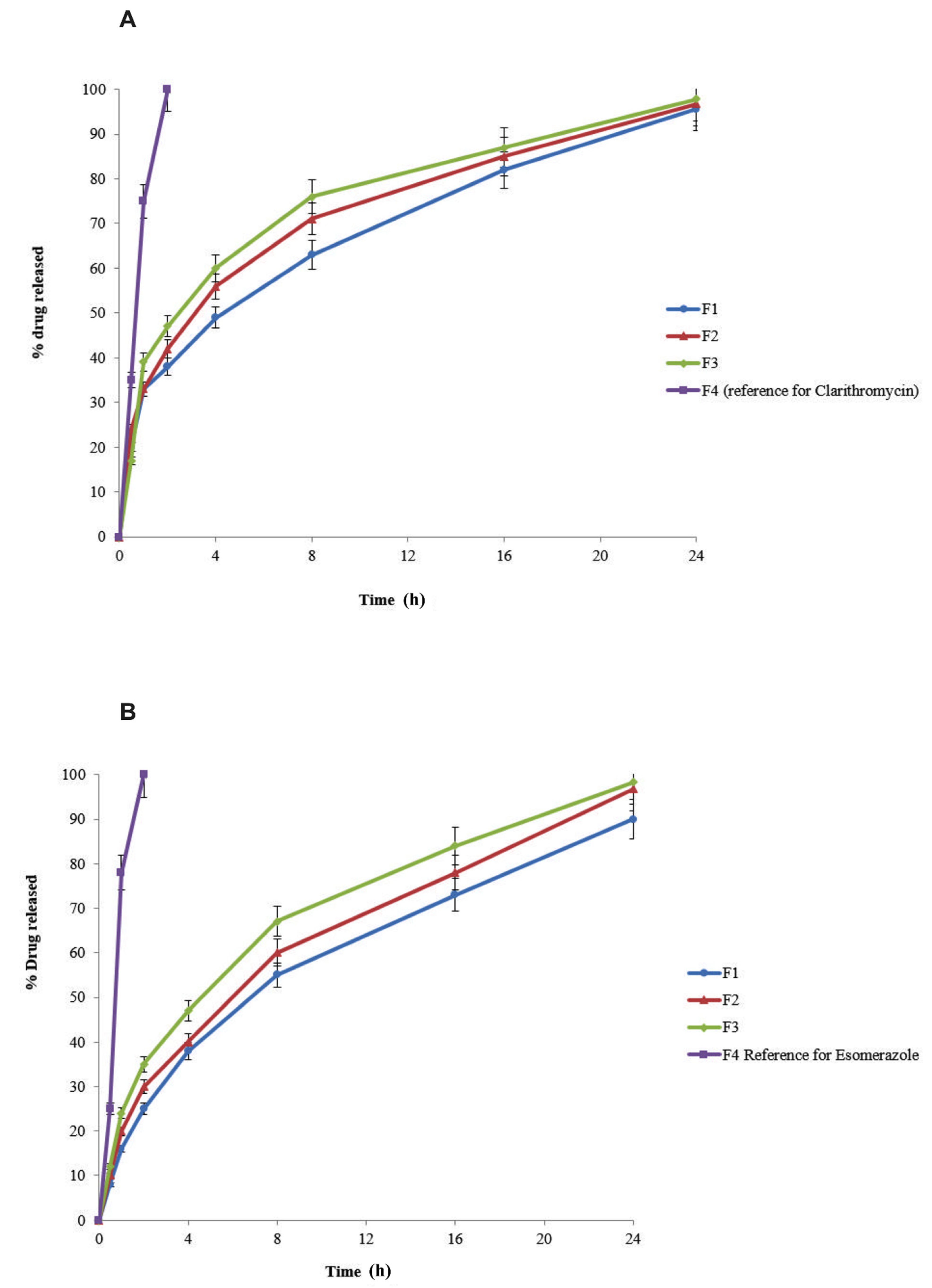
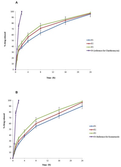
3.6. Drug Release
3.7. Content Uniformity
3.8. Drug Release Mechanisms
3.9. Dissolution Profile Comparison
3.10. Test Statistics
4. Conclusions
Author Contributions
Funding
Institutional Review Board Statement
Informed Consent Statement
Data Availability Statement
Acknowledgments
Conflicts of Interest
Sample Availability
References
- Namdev, A.; Jain, D. Floating Drug Delivery Systems: An Emerging Trend for the Treatment of Peptic Ulcer. Curr. Drug Deliv. 2019, 16, 874–886. [Google Scholar] [CrossRef] [PubMed]
- Hsu, Y.-T.; Kao, C.-Y.; Ho, M.-H.; Lee, S.-P. To control floating drug delivery system in a simulated gastric environment by adjusting the Shell layer formulation. Biomater. Res. 2021, 25, 31. [Google Scholar] [CrossRef] [PubMed]
- Sharma, V.; Rathore, D.S.; Kumar, A. Floating Drug Delivery System: A Review. Int. J. Med. Biomed. Stud. 2020, 4, 23–30. [Google Scholar] [CrossRef]
- Devendiran, B.; Mothilal, M.; Damodharan, N. Floating Drug Delivery an Emerging Technology with Promising Market value. Res. J. Pharm. Technol. 2020, 13, 3014–3020. [Google Scholar] [CrossRef]
- Arora, S.; Ali, J.; Ahuja, A.; Khar, R.K.; Baboota, S. Floating drug delivery systems: A review. AAPS PharmSciTech 2005, 6, E372–E390. [Google Scholar] [CrossRef]
- Labu, Z.K.; Saidul, M.; Islam, S.; Jahan, M.R.; Rahman, M.M.; Arken, M.A.J.; Sikder, K. Glimpse of Comprehensive Review on Floating Drug delivery System: A Global perception. Int. J. Chem. Pharm. Sci. 2014, 2, 581–596. [Google Scholar]
- Egan, B.J.; Katicic, M.; O’Connor, H.J.; O’Morain, C.A. Treatment of Helicobacter pylori. Helicobacter 2007, 12, 31–37. [Google Scholar] [CrossRef]
- Kandulski, A.; Selgrad, M.; Malfertheiner, P. Helicobacter pylori infection: A clinical overview. Dig. Liver. Dis. 2008, 40, 619–626. [Google Scholar] [CrossRef]
- Johnson, T.J.; Hedge, D.D. Esomeprazole: A clinical review. Am. J. Health Syst. Pharm. 2002, 59, 1333–1339. [Google Scholar] [CrossRef]
- Nair, A.B.; Shah, J.; Al-Dhubiab, B.E.; Jacob, S.; Patel, S.S.; Venugopala, K.N.; Morsy, M.A.; Gupta, S.; Attimarad, M.; Sreeharsha, N.; et al. Clarithromycin Solid Lipid Nanoparticles for Topical Ocular Therapy: Optimization, Evaluation and In Vivo Studies. Pharmaceutics 2021, 13, 523. [Google Scholar] [CrossRef]
- Nama, M.; Gonugunta, C.S.; Reddy Veerareddy, P. Formulation and evaluation of gastroretentive dosage forms of Clarithromycin. AAPS PharmSciTech 2008, 9, 231–237. [Google Scholar] [CrossRef] [PubMed][Green Version]
- Hasan, M.; Ali, S.A.; Khan, F.; Ahmed, S.I. Pomegranate Peel Powder Floating Tablets of Clarithromycin with Enhanced Bioavailability. J. Glob. Trends Pharm. Sci. 2021, 12, 9044–9054. [Google Scholar]
- Qi, X.; Chen, H.; Rui, Y.; Yang, F.; Ma, N.; Wu, Z. Floating tablets for controlled release of ofloxacin via compression coating of hydroxypropyl cellulose combined with effervescent agent. Int. J. Pharm. 2015, 489, 210–217. [Google Scholar] [CrossRef] [PubMed]
- Saisivam, S.; Rahamath Ulla, M.; Shakeel, F. Development of Floating Matrix Tablets of Losartan Potassium: In Vitro and in Vivo Evaluation. J. Drug Deliv. Sci. Technol. 2013, 23, 611–617. [Google Scholar] [CrossRef]
- Nanjwade, B.K.; Adichwal, S.A.; Sutar, K.P. Development and evaluation of glipizide floating tablet. J. Drug Deliv. Sci. Technol. 2012, 22, 327–333. [Google Scholar] [CrossRef]
- Pawar, H.A.; Dhavale, R. Development and evaluation of gastroretentive floating tablets of an antidepressant drug by thermoplastic granulation technique. Beni-Suef Univ. J. Basic Appl. Sci. 2014, 3, 122–132. [Google Scholar] [CrossRef]
- El-Zahaby, S.A.; Kassem, A.A.; El-Kamel, A.H. Design and evaluation of gastroretentive levofloxacin floating mini-tablets-in-capsule system for eradication of Helicobacter pylori. Saudi Pharm. J. 2014, 22, 570–579. [Google Scholar] [CrossRef]
- Li, S.; Lin, S.; Chien, Y.W.; Daggy, B.P.; Mirchandani, H.L. Statistical optimization of gastric floating system for oral controlled delivery of calcium. AAPS PharmSciTech 2001, 2, 11–22. [Google Scholar] [CrossRef][Green Version]
- Gupta, R.; Prajapati, S.K.; Pattnaik, S.; Bhardwaj, P. Formulation and evaluation of novel stomach specific floating microspheres bearing famotidine for treatment of gastric ulcer and their radiographic study. Asian Pac. J. Trop. Biomed. 2014, 4, 729–735. [Google Scholar] [CrossRef]
- Alam, M.; Shah, K.; Ahmad Khan, K.; Nawaz, A.; Bibi, H.; Razaque, G.; Rasul Niazi, Z.; Alfatama, M. Formulation and in vitro Evaluation of Effervescent Bilayer Floating Controlled Release Tablets of Clarithromycin and Famotidine. Res. J. Pharm. Technol. 2021, 14, 4391–4398. [Google Scholar] [CrossRef]
- Soni, K.K.; Kondalkar, A. Formulation and evaluation of cytoprotective gastroretentive floating tablets of clarithromycin. Int. J. Pharm. Life Sci. 2016, 7, 5002–5009. [Google Scholar]
- Kumar, P.D.; Rathnam, G.; Prakash, C.R.; Saravanan, G.; Karthick, V.; Selvam, T.P. Formulation and characterization of bilayer floating tablets of ranitidine. Rasāyan J. Chem. 2010, 3, 368–374. [Google Scholar]
- Khan, K.A.; Khan, G.M.; Shah, K.U.; Niazi, Z.R.; Khan, H.; Ahmad, A.; Ur-Rehman, F.; Shah, P.A.; Ullah, A.; Tahir, M.; et al. Design, Preparation and evaluation of various parameters of controlled release matrices of losartan potassium using polymers combination. Pak. J. Pharm. Sci. 2020, 33, 2231–2237. [Google Scholar] [PubMed]
- Costa, P.; Sousa Lobo, J.M. Modeling and comparison of dissolution profiles. Eur. J. Pharm. Sci. 2001, 13, 123–133. [Google Scholar] [CrossRef]
- Treesinchai, S.; Puttipipatkhachorn, S.; Pitaksuteepong, T.; Sungthongjeen, S. Development of curcumin floating tablets based on low density foam powder. Asian J. Pharm. Sci. 2016, 11, 130–131. [Google Scholar] [CrossRef]
- Fitzpatrick, J. Powder properties in food production systems. In Handbook of Food Powders: Processes and Properties; Woodhead Publishing: Sawston, UK, 2013; pp. 285–308. [Google Scholar]
- Durga, D.; Sowjanya, T.; Pavani, T.; Duppala, L. Formulation development and in-vitro evaluation of Molsidomine matrix tablets for colon specific release. J. Drug Deliv. Ther. 2020, 10, 59–68. [Google Scholar] [CrossRef]
- United States Pharmacopeial Convention (USP). The United States Pharmacopeial Convention USP 32-NF 27; USP: Rockville, MD, USA, 2007; p. 4134. [Google Scholar]
- Sandhya, T. Formulation and Evaluation of Sustained Release Bilayer Tablets of Losartan Potassium. Asian J. Pharm. Free Full Text Artic. Asian J. Pharm. 2021, 15, 268–277. [Google Scholar] [CrossRef]
- Rehman, A.; Khan, G.M.; Shah, K.U.; Shah, S.U.; Khan, K.A. Formulation and evaluation of tramadol HCL matrix tablets using carbopol 974P and 934 as rate-controlling agents. Trop. J. Pharm. Res. 2013, 12, 169–172. [Google Scholar] [CrossRef][Green Version]
- Hussain, M.A.; Anjum, M.R. Formulation and Evaluation of Sustained Release Bilayered Matrix Tablets of Sildenafil Citrate. Int. J. Pharm. Technol. 2014, 5, 6027–6038. [Google Scholar]
- Qin, C.; Wu, M.; Xu, S.; Wang, X.; Shi, W.; Dong, Y.; Yang, L.; He, W.; Han, X.; Yin, L. Design and optimization of gastro-floating sustained-release tablet of pregabalin: In vitro and in vivo evaluation. Int. J. Pharm. 2018, 545, 37–44. [Google Scholar] [CrossRef]
- Khan, K.A.; Khan, G.M.; Zeeshan Danish, M.; Akhlaq; Khan, H.; Rehman, F.; Mehsud, S. Formulation and in-vitro evaluation of directly compressed controlled release matrices of Losartan Potassium using Ethocel Grade 100 as rate retarding agent. Int. J. Pharm. 2015, 496, 759–765. [Google Scholar] [CrossRef] [PubMed]
- Zaid, A.N.; Al-Ramahi, R.J.; Ghoush, A.A.; Qaddumi, A.; Zaaror, Y.A. Weight and content uniformity of lorazepam half-tablets: A study of correlation of a low drug content product. Saudi Pharm. J. 2013, 21, 71–75. [Google Scholar] [CrossRef] [PubMed]




| Drugs and Excipients | CR Bilayer Floating Tablets | IR Bilayer Tablet | |||
|---|---|---|---|---|---|
| F1 | F2 | F3 | F4 | ||
| Clarithromycin layer | Clarithromycin | 250 mg | 250 mg | 250 mg | 250 mg |
| Eudragit® RS 100 | 76 mg | 152 mg | --------- | --------- | |
| Carbopol 934 P | 76 mg | --------- | 152 mg | -------- | |
| Talc | 11.8 mg | 11.8 mg | 11.8 mg | 11.8 mg | |
| Mg Stearate | 5.4 mg | 5.4 mg | 5.4 mg | 5.4 mg | |
| Avecil 102 | 40.8 mg | 40.8 mg | 40.8 mg | 192.8 mg | |
| Sodium bicarbonate | 80 mg | 80 mg | 80 mg | 80 mg | |
| Esomeprazole layer | Esomeprazole | 20 mg | 20 mg | 20 mg | 20 mg |
| Eudragit® RS 100 | 30 mg | 60 mg | --------- | ------- | |
| Carbopol 934 P | 30 mg | --------- | 60 mg | ------- | |
| Talc | 2.6 mg | 2.6 mg | 2.6 mg | 2.6 mg | |
| Mg Stearate | 1.3 mg | 1.3 mg | 1.3 mg | 1.3 mg | |
| Avecil 102 | 14.1 mg | 14.1 mg | 14.1 mg | 74.1 mg | |
| Sodium bicarbonate | 32 mg | 32 mg | 32 mg | 32 mg | |
| Formulation | Angle of Repose | Hausner Ratio | Compressibility Index (%) |
|---|---|---|---|
| F1 | 28.3 ± 0.16 | 1.124 ± 0.02 | 11.64 ± 0.03 |
| F2 | 26.4 ± 0.18 | 1.132 ± 0.09 | 13.16 ± 0.01 |
| F3 | 27.9 ± 0.15 | 1.143 ± 0.18 | 11.28 ± 0.02 |
| F4 | 30.0 ± 0.06 | 1.138 ± 0.03 | 12.27 ± 0.04 |
| Code | Thickness (mm) | Diameter (mm) | Hardness (kg/cm2) | Friability (%) | Weight Variation (mg) |
|---|---|---|---|---|---|
| F1 | 3.56 ± 0.03 | 13.15 ± 0.07 | 6.56 ± 0.26 | 0.04 ± 0.12 | 673.9 ± 0.38 |
| F2 | 3.53 ± 0.10 | 13.15 ± 0.07 | 6.80 ± 0.18 | 0.02 ± 0.08 | 671.6 ± 0.98 |
| F3 | 3.53 ± 0.11 | 13.15 ± 0.01 | 6.57 ± 0.54 | 0.05 ± 0.32 | 674.0 ± 1.45 |
| F4 | 3.56 ± 0.13 | 13.15 ± 0.01 | 6.75 ± 0.21 | 0.06 ± 0.26 | 671.9 ± 0.87 |
| Formulation | Tablet Density (g/cm3) | Floating Lag Time (Seconds) | Total Floating Time (Hours) |
|---|---|---|---|
| F1 | 0.93 | 20 | >24.0 |
| F2 | 0.91 | 24 | >24.0 |
| F3 | 0.95 | 20 | >24.0 |
| F4 | Immediate release formulation taken as reference | ||
| Formulation | Content Uniformity (Clarithromycin) | Content Uniformity (Esomeprazole) |
|---|---|---|
| F1 | 98.89 ± 0.087 | 100.83 ± 0.018 |
| F2 | 99.96 ± 0.028 | 99.54 ± 0.049 |
| F3 | 100.73 ± 0.031 | 101.99 ± 0.023 |
| F4 | 101.23 ± 0.026 | 100.77 ± 0.044 |
| Formulations | First-Order Kinetic Model | Zero-Order Kinetic Model | Power Law | |||
|---|---|---|---|---|---|---|
| R2 | R2 | K ± SD | R2 | N | Release Mechanism of Clarithromycin | |
| F1 | 0.568 | 0.991 | 0.0012 ± 0.005 | 0.9189 | 0.9356 | AND |
| F2 | 0.619 | 0.988 | 0.0036 ± 0.08 | 0.9896 | 0.8654 | AND |
| F3 | 0.731 | 0.980 | 0.0056 ± 0.03 | 0.9869 | 0.7863 | AND |
| F4 | 0.993 | 0.457 | 0.0001 ± 0.02 | 0.6776 | 0.3987 | Does not follow a power law |
| Formulations | First-Order Kinetic Model | Zero-Order Kinetic Model | Power Law | |||
| R2 | R2 | K ± SD | R2 | N | Release Mechanism of Esomeprazole | |
| F1 | 0.573 | 0.994 | 0.0145 ± 0.02 | 0.9645 | 0.9653 | AND |
| F2 | 0.645 | 0.991 | 0.0238 ± 0.03 | 0.9854 | 0.8654 | AND |
| F3 | 0.765 | 0.983 | 0.1893 ± 0.16 | 0.9812 | 0.7234 | AND |
| F4 | 0.992 | 0.463 | 0.0002 ± 0.12 | 0.7451 | 0.412 | Does not follow power law |
| AND = Anamolous non-Fickian diffusion | ||||||
| Test vs. Reference | f1 | f2 |
|---|---|---|
| Clarithromycin profile comparisons | ||
| F1 vs. F4 (reference) | 32.76 | 38.56 |
| F2 vs. F4 (reference) | 36.45 | 39.09 |
| F3 vs. F4 (reference) | 34.32 | 43.53 |
| Esomeprazole profile comparisons | ||
| F1 vs. F4 (reference) | 38.43 | 18.39 |
| F2 vs. F4 (reference) | 33.65 | 23.34 |
| F3 vs. F4 (reference) | 24.45 | 22.98 |
| Test vs. Reference | p-Value for Clarithromycin | p-Value for Esomeprazole |
|---|---|---|
| F1 vs. F4 (reference) | 7.2134 | 5.1823 |
| F2 vs. F4 (reference) | 6.4453 | 6.2434 |
| F3 vs. F4 (reference) | 4.5446 | 4.3465 |
Publisher’s Note: MDPI stays neutral with regard to jurisdictional claims in published maps and institutional affiliations. |
© 2022 by the authors. Licensee MDPI, Basel, Switzerland. This article is an open access article distributed under the terms and conditions of the Creative Commons Attribution (CC BY) license (https://creativecommons.org/licenses/by/4.0/).
Share and Cite
Israr, M.; Pugliese, N.; Farid, A.; Ghazanfar, S.; Di Cerbo, A.; Muzammal, M.; Alamri, A.S.; Basheeruddin Asdaq, S.M.; Ahmad, A.; Khan, K.A. Preparation and Characterization of Controlled-Release Floating Bilayer Tablets of Esomeprazole and Clarithromycin. Molecules 2022, 27, 3242. https://doi.org/10.3390/molecules27103242
Israr M, Pugliese N, Farid A, Ghazanfar S, Di Cerbo A, Muzammal M, Alamri AS, Basheeruddin Asdaq SM, Ahmad A, Khan KA. Preparation and Characterization of Controlled-Release Floating Bilayer Tablets of Esomeprazole and Clarithromycin. Molecules. 2022; 27(10):3242. https://doi.org/10.3390/molecules27103242
Chicago/Turabian StyleIsrar, Muhammad, Nicola Pugliese, Arshad Farid, Shakira Ghazanfar, Alessandro Di Cerbo, Muhammad Muzammal, Abdulhakeem S. Alamri, Syed Mohammed Basheeruddin Asdaq, Ashfaq Ahmad, and Kamran Ahmad Khan. 2022. "Preparation and Characterization of Controlled-Release Floating Bilayer Tablets of Esomeprazole and Clarithromycin" Molecules 27, no. 10: 3242. https://doi.org/10.3390/molecules27103242
APA StyleIsrar, M., Pugliese, N., Farid, A., Ghazanfar, S., Di Cerbo, A., Muzammal, M., Alamri, A. S., Basheeruddin Asdaq, S. M., Ahmad, A., & Khan, K. A. (2022). Preparation and Characterization of Controlled-Release Floating Bilayer Tablets of Esomeprazole and Clarithromycin. Molecules, 27(10), 3242. https://doi.org/10.3390/molecules27103242

