Dipterocarpol in Oleoresin of Dipterocarpus alatus Attributed to Cytotoxicity and Apoptosis-Inducing Effect
Abstract
1. Introduction
2. Results
2.1. Phytochemical Screening
2.2. GC-MS Analysis
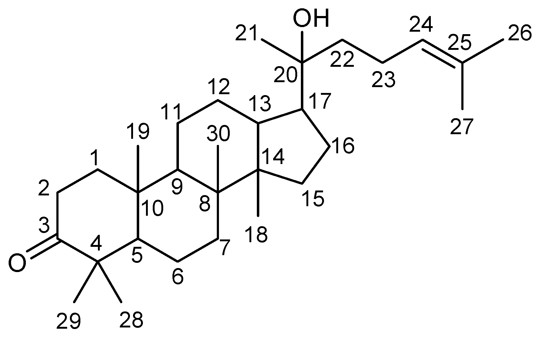
2.3. Dipterocarpol Contents
2.4. Cytotoxicity
2.5. Determination the Mode of Cell Death
3. Discussion
4. Materials and Methods
4.1. Chemicals
4.2. Materials
4.3. Phytochemical Screening of Oleo-Resin and Resin from Different Preparation Processes
4.4. Phytochemical Identification
4.5. Cell Culture
4.6. Antiproliferative Activity
4.7. Mode of Cell Death
4.8. HPLC Analysis of Dipterocarpol
4.9. GC-MS Analysis
4.10. Statistical Analysis
5. Conclusions
Supplementary Materials
Author Contributions
Funding
Institutional Review Board Statement
Informed Consent Statement
Data Availability Statement
Acknowledgments
Conflicts of Interest
Sample Availability
References
- Langenheim, J.H. Plant Resins-Chemistry, Evolution, Ecology and Ethnobotany; Timber Press, Inc.: Portland, OR, USA, 2003; pp. 23–50. [Google Scholar]
- Appanah, S.; Turnbull, J.M. A Review of Dipterocarps: Taxonomy, Ecology and Silviculture; Center for International Forestry Research: Bogor, Indonesia, 1998; pp. 187–192. [Google Scholar]
- Pooma, R. Yang Na trees (Dipterocarpus alatus Roxb. ex G. Don, Dipterocarpaceae) along Chiangmai-Lamphun road: An analysis of their present status and conservation needs. Thai For. Bull. 1996, 24, 1–34. [Google Scholar]
- Ankarfjard, R.; Kegl, M. Tapping oleoresin from Dipterocarpus alatus (Dipterocarpaceae) in a Lao village. Econ. Bot. 1998, 52, 7–14. [Google Scholar] [CrossRef]
- Wiart, C. Medicinal Plants of the Asia-Pacific: Drugs for the Future? World scientific publishing Co. Pte. Ltd.: Toh Tuck, Singapore, 2006; pp. 139–140. [Google Scholar]
- Karnick, C.R.; Hocking, G.M. Ethnobotanical records of drug plants described in Valmiki Ramayana and their uses in the ayurvedic system of medicine. Q. J. Crude Drug Res. 1975, 13, 143–154. [Google Scholar] [CrossRef]
- Poojeera, S.; Worawong, T.; Areesinpitak, T.; Katekaew, S. Comparison and evaluation the fuel quality of degummed oleoresin of Yang-Na oil. UDRU Sci. Tech. J. 2017, 5, 9–23. [Google Scholar]
- Suiuay, C.; Sudajan, S.; Katekaew, S.; Senawong, K.; Laloon, K. Production of gasoline-like-fuel and diesel-like-fuel from hard-resin of Yang (Dipterocarpus alatus) using a fast pyrolysis process. Energy 2019, 187, 115967. [Google Scholar] [CrossRef]
- Khazir, J.; Mir, B.A.; Pilcher, L.; Riley, D.L. Role of plants in anticancer drug discovery. Phytochem. Lett. 2014, 7, 173–181. [Google Scholar] [CrossRef]
- Zorina, A.D.; Balykina, L.V.; Nazarova, O.V.; Rebezov, A.A. Polymeric derivatives of dipterocarpol, a dammarane triterpenoid. Russ. J. Appl. Chem. 2006, 79, 654–659. [Google Scholar] [CrossRef]
- Kim, G.S.; Jeong, T.S.; Kim, Y.; Baek, N.I.; Cha, S.; Lee, J.W.; Song, K.S. Human acyl-CoA: Cholesterol acyltransferase-inhibiting dammarane triterpenes from Rhus chinensis. J. Korean Soc. Appl. Biol. Chem. 2010, 53, 417–421. [Google Scholar] [CrossRef]
- Huong, D.T.T.; Thuy, T.T.T.; Hien, T.T.; Tra, N.T.; Tien, N.Q.; Smirnova, I.E.; Kazakova, O.B.; Minnibaeva, E.M.; Tolstikov, A.G. Synthesis and cytotoxicity of derivatives of dipterocarpol, a metabolite of Dipterocarpus alatus. Chem. Nat. Compd. 2013, 49, 58–65. [Google Scholar] [CrossRef]
- Sanpa, S.; Popova, M.; Bankova, V.; Tunkasiri, T.; Eitssayeam, S.; Chantawannakul, P. Antibacterial compounds from propolis of Tetragonula laeviceps and Tetrigona melanoleuca (Hymenoptera: Apidae) from Thailand. PLoS ONE 2015, 10, e0126886. [Google Scholar] [CrossRef]
- Smirnova, I.E.; Do Thi Thu, H.; Kazakova, O.B.; Tolstikov, G.A.; Kukovinets, O.S.; Lobov, A.N.; Suponitskii, K.Y. Ozonolysis of dipterocarpol and its derivatives. Russ. J. Org. Chem. 2012, 48, 1370–1376. [Google Scholar] [CrossRef]
- Bisset, N.G.; Diaz, M.A.; Ehret, C.; Ourisson, G.; Palmade, M.; Patil, F.; Pesnelle, P.; Streith, J. Etudes chimio-taxonomiques dans la famille des diptérocarpacées-II: Constituants du genre Diptérocarpus gaertn. F. Essai de classification chimio-taxonomique. Phytochemistry 1999, 5, 865–880. [Google Scholar] [CrossRef]
- Yongram, C.; Sungthong, B.; Puthongking, P.; Weerapreeyakul, N. Chemical composition, antioxidant and cytotoxicity activities of leaves, bark, twigs and oleo-resin of Dipterocarpus alatus. Molecules 2019, 24, 3083. [Google Scholar] [CrossRef]
- Jantamat, P.; Weerapreeyakul, N.; Puthongking, P. Cytotoxicity and apoptosis induction of coumarins and carbazole alkaloids from Clausena harmandiana. Molecules 2019, 24, 3385. [Google Scholar] [CrossRef] [PubMed]
- Melo-Silveira, R.F.; Viana, R.L.S.; Sabry, D.A.; da Silva, R.A.; Machado, D.; Nascimento, A.K.L.; Scortecci, K.C.; Ferreira-Halder, C.V.; Sassaki, G.L.; Rocha, H.A.O. Antiproliferative xylan from corn cobs induces apoptosis in tumor cells. Carbohydr. Polym. 2019, 210, 245–253. [Google Scholar] [CrossRef]
- Costa, C.; Almeida, M.F.; Alvim-Ferraz, M.C. Effect of Crambe abyssinica oil degumming in phosphorus concentration of refined oil and derived biodiesel. Renew. Energy 2018, 124, 27–33. [Google Scholar] [CrossRef]
- Messer, A.; McCormick, K.; Hagedorn, S.H.H.; Tumbel, F.; Meinwald, J. Defensive role of tropical tree resins: Antitermitic sesquiterpenes from Southeast Asian Dipterocarpaceae. J. Chem. Ecol. 1990, 16, 3333–3352. [Google Scholar] [CrossRef] [PubMed]
- Burger, P.; Charrié-Duhaut, A.; Connan, J.; Albrecht, P. Taxonomic characterisation of fresh Dipterocarpaceae resins by gas chromatography–mass spectrometry (GC-MS): Providing clues for identification of unknown archaeological resins. Archaeol. Anthr. Sci. 2011, 3, 185–200. [Google Scholar] [CrossRef]
- Samaradivakara, S.P.; Samarasekera, R.; Viranga Tillekeratne, L.M.; Handunnetti, S.M.; Jagathpriya Weerasena, O.V.D.S.; Taylor, W.R.; Alhadidi, Q.; Shah, Z.A. Bioactivities of n-hexane fraction of Vateria copallifera and GC–MS analysis of its phytoconstituents. Ind. Crops. Prod. 2017, 97, 87–92. [Google Scholar] [CrossRef]
- Gowda, D.V.; Manral, K.; Babu, U.V.; Sarathchandraprakash Balaji, J.; Babu, K.S.; Anubala, S. Chemical investigation of semi purified Shorea robusta gum resin by using GCMS. Int. J. Anal. Res. 2015, 4, 30–34. [Google Scholar]
- Yaseen Khan, M.; Ali, S.A.; Pundarikakshudu, K. Wound healing activity of extracts derived from Shorea robusta resin. Pharm. Biol. 2016, 54, 542–548. [Google Scholar] [CrossRef] [PubMed]
- Wani, T.A.; Kumar, D.; Prasad, R.; Verma, P.K.; Sardar, K.K.; Tandan, S.K.; Kumar, D. Analgesic activity of the ethanolic extract of Shorea robusta resin in experimental animals. Indian J. Pharmacol. 2012, 44, 493–499. [Google Scholar] [PubMed]
- Bharitkar, Y.P.; Banerjee, M.; Kumar, S.; Paira, R.; Meda, R.; Kuotsu, K.; Mondal, N.B. Search for a potent microbicidal spermicide from the isolates of Shorea robusta resin. Contraception 2013, 88, 133–140. [Google Scholar] [CrossRef]
- Ukiya, M.; Kikuchi, T.; Tokuda, H.; Tabata, K.; Kimura, Y.; Arai, T.; Ezaki, Y.; Oseto, O.; Suzuki, T.; Akihisa, T. Antitumor-promoting effects and cytotoxic activities of dammar resin triterpenoids and their derivatives. Chem. Biodivers. 2010, 7, 1871–1884. [Google Scholar] [CrossRef] [PubMed]
- Jantan, I.B. The essential oil of Dipterocarpus kerrii. J. Trop. For. Sci. 1988, 1, 11–15. [Google Scholar]
- Klein, E.; Rojahn, W. (−)-7β-10α-selina-4,11-dien und (+)-5β,7β,10α-selina-3,11-dien zwei neue sesquiterpene der eudesmanreihe. Tetrahedron Lett. 1970, 11, 279–282. [Google Scholar] [CrossRef]
- Bandaranayake, W.M.; Gunasekera, S.P.; Karunanayake, S.; Sotheeswara, S.; Sultanbawa, S.U.M. Terpenes of Dipterocarpus and Doona species. Phytochemistry 1975, 14, 2043–2048. [Google Scholar] [CrossRef]
- Khiev, P.; Kwon, O.K.; Song, H.H.; Oh, S.R.; Ahn, K.S.; Lee, H.K.; Chin, Y.W. Cytotoxic terpenes from the stems of Dipterocarpus obtusifolius collected in Cambodia. Chem. Pharm. Bull. 2012, 60, 955–961. [Google Scholar] [CrossRef][Green Version]
- Su, Y.C.; Hsu, K.P.; Wang, E.I.; Ho, C.L. Composition and in vitro anticancer activities of the leaf essential oil of Neolitsea variabillima from Taiwan. Nat. Prod. Commun. 2013, 8, 531–532. [Google Scholar] [CrossRef]
- Asif, M.; Shafaei, A.; Jafari, S.F.; Mohamed, S.K.; Ezzat, M.O.; Abdul Majid, A.S.; Oon, C.E.; Petersen, S.H.; Kono, K.; Abdul Majid, A.M. Isoledene from Mesua ferrea oleo-gum resin induces apoptosis in HCT 116 cells through ROS-mediated modulation of multiple proteins in the apoptotic pathways: A mechanistic study. Toxicol. Lett. 2016, 257, 84–96. [Google Scholar] [CrossRef]
- Lampronti, I.; Martello, D.; Bianchi, N.; Borgatti, M.; Lambertini, E.; Piva, R.; Jabbar, S.; Choudhuri, M.S.; Khan, M.T.; Gambari, R. In vitro antiproliferative effects on human tumor cell lines of extracts from the Bangladeshi medicinal plant Aegle marmelos Correa. Phytomedicine 2003, 10, 300–308. [Google Scholar] [CrossRef] [PubMed]
- Dailey, O.D.; Wang, X.; Chen, F.; Huang, G. Anticancer activity of branched-chain derivatives of oleic acid. Anticancer Res. 2011, 31, 3165–3169. [Google Scholar] [PubMed]
- Sawant, S.S.; Youssef, D.T.A.; Sylvester, P.W.; Wali, V.; El Sayed, K.A. Antiproliferative sesquiterpenes from the Red Sea Soft Coral Sarcophyton glaucum. Nat. Prod. Commun. 2007, 2, 1–3. [Google Scholar] [CrossRef]
- Ziaei, A.; Ramezani, M.; Wright, L.; Paetz, C.; Schneider, B.; Amirghofran, Z. Identification of spathulenol in Salvia mirzayanii and the immunomodulatory effects. Phytother. Res. 2011, 25, 557–562. [Google Scholar] [CrossRef]
- Seo, E.K.; Kinghorn, A.D. Bioactive constituents of the family Differocarpaceae. Stud. Nat. Prod. Chem. 2000, 23, 531–561. [Google Scholar]
- Brunelle, J.K.; Zhang, B. Apoptosis assays for quantifying the bioactivity of anticancer drug products. Drug Resist. Updat. 2010, 13, 172–179. [Google Scholar] [CrossRef]
- Schultz, D.R.; Harrington, W.J., Jr. Apoptosis: Programmed cell death at a molecular level. Semin. Arthritis. Rheum. 2003, 32, 345–369. [Google Scholar] [CrossRef]
- Allouche, Y.; Warleta, F.; Campos, M.; Sánchez-Quesada, C.; Uceda, M.; Beltrán, G.; Gaforio, J.J. Antioxidant, antiproliferative, and pro-apoptotic capacities of pentacyclic triterpenes found in the skin of olives on MCF-7 human breast cancer cells and their effects on DNA damage. J. Agric. Food Chem. 2011, 59, 121–130. [Google Scholar] [CrossRef]
- Senathilake, K.S.; Karunanayake, E.H.; Samarakoon, S.R.; Tennekoon, K.H.; de Silva, E.D.; Adhikari, A. Oleanolic acid from antifilarial triterpene saponins of Dipterocarpus zeylanicus induces oxidative stress and apoptosis in filarial parasite Setaria digitata in vitro. Exp. Parasitol. 2017, 177, 13–21. [Google Scholar] [CrossRef]
- Srisongkram, T.; Waithong, S.; Thitimetharoch, T.; Weerapreeyakul, N. Machine learning and in vitro chemical screening of potential α-amylase and α-glucosidase inhibitors from Thai indigenous plants. Nutrients 2022, 14, 267. [Google Scholar] [CrossRef]
- Srisongkram, T.; Weerapreeyakul, N.; Kärkkäinen, J.; Rautio, J. Role of L-type amino acid transporter 1 (LAT1) for the selective cytotoxicity of sesamol in human melanoma cells. Molecules 2019, 24, 3869. [Google Scholar] [CrossRef] [PubMed]
- Pocasap, P.; Nonpunya, A.; Weerapreeyakul, N. Pinus kesiya Royle ex Gordon induces apoptotic cell death in hepatocellular carcinoma HepG2 cell via intrinsic pathway by PARP and Topoisomerase I suppression. Biomed. Pharmacother. 2021, 139, 111628. [Google Scholar] [CrossRef] [PubMed]
- Yongram, C.; Thapphasaraphong, S.; Mahakunakorn, P.; Sungthong, B.; Anorach, R.; Phiphatwatcharaded, C.; Katekaew, S.; Puthongking, P. Inhibitory effect of leaf, bark and twig of Dipterocarpus alatus on the inflammation mediators, nitric oxide, PGE2, IL-1β and TNF-α in macrophage RAW 264.7. Trop. J. Nat. Prod. Res. 2021, 5, 299–303. [Google Scholar]
- International Council for Harmonisation. Switzerland: ICH Guidelines, Validation of Analytical Procedures: Text and Methodology Q2(R1). Available online: http://www.ich.org (accessed on 28 June 2019).
- Gelmini, F.; Beretta, G.; Anselmi, C.; Centini, M.; Magni, P.; Ruscica, M.; Cavalchini, A.; Facino, R.M. GC-MS profiling of the phytochemical constituents of the oleoresin from Copaifera langsdorffii Desf. and a preliminary in vivo evaluation of its antipsoriatic effect. Int. J. Pharm. 2013, 440, 170–178. [Google Scholar] [CrossRef]


| D. alatus | Chemical Groups | |||||
|---|---|---|---|---|---|---|
| Alkaloids | Steroids | Tannins | Xanthones | Saponins | Reducing Sugar | |
| Oleo-resin | - | + | - | - | - | - |
![]() | ![]() | ![]() | ![]() | ![]() | ![]() | |
| Byproduct from degumming process (DG) | - | + | - | - | - | - |
![]() | ![]() | ![]() | ![]() | ![]() | ![]() | |
| Byproduct from distillation process (DT) | - | + | - | - | - | - |
![]() | ![]() | ![]() | ![]() | ![]() | ![]() | |
| Positive results | Reddish brown precipitate | Red-color in lower chloroform layer | Dark green or blue-black color | Yellow precipitate | Frothing or bubbles | brick-red precipitate |
| Chemical Composition | Relative Abundance (%) | ||
|---|---|---|---|
| Oleo-Resin | Byproduct from Degumming Process (DG) | Byproduct from Distillation Process (DT) | |
| Sesquiterpenes (C15) | 63.23 | 6.90 | 2.04 |
| Triterpenes (C30) | 17.05 | 12.05 | 16.93 |
| Ratio of Ses:Tri | 3:1 | 1:2 | 1:8 |
| Long chain hydrocarbons (C15–C23) | 10.6 | - | - |
| Miscellaneous | 0.71 | 2.31 | 4.72 |
| Total identify | 91.59 | 21.26 | 23.69 |
| Samples | Concentration (mg/g Dry Residue) | % Found |
|---|---|---|
| Oleo-resin | 53.9 ± 2.5 c | 5.4 ± 0.3 |
| Byproduct from degumming process (DG) | 260.4 ± 2.9 a | 26.0 ± 0.3 |
| Byproduct from distillation process (DT) | 162.7 ± 1.9 b | 16.3 ± 0.2 |
| Compounds | IC50 (µg/mL) (Selective Index; SI) | |||
|---|---|---|---|---|
| Vero | HepG2 | HeLa | Jurkat | |
| Oleo-resin | 88.7 ± 4.2 dB | 80.5 ± 1.3 (1.1) cB | 44. 5± 1.6 (2.0) bB | 23.0 ± 2.1 (3.9) aA |
| Byproduct from degumming process (DG) | 50.3 ± 0.97 bA | 122.9 ± 1.3 (0.4) cC | 43.9 ± 0.6 (1.1) bB | 13.0 ± 8.2 (3.9) aA |
| Byproduct from distillation process (DT) | 105.7 ± 3.4 dC | 88.6 ± 1.2 (1.2) cB | 38.3 ± 5.1 (2.8) bB | 15.5 ± 0.4 (6.8) aA |
| Dipterocarpol | 84.7 ± 2.5 cB | 24.2 ± 0.9 (3.5) aA | 41.1 ± 4.0 (2.1) bB | >221.4 (0.4) dC |
| Melphalan | 215.6 ± 3.7 cD | 274.4 ± 9.1 (0.8) dD | 20.5 ± 0.9 (10.5) aA | 48.6 ± 2.2 (4.4) bB |
| Test Compounds | Test Compound Concentration (µg/mL) | Mode of Cell Death | ||
|---|---|---|---|---|
| Viable Cell (%) | Total Apoptosis (%) | Necrosis (%) | ||
| Control | 0 | 80.20 ± 1.23 ab | 19.33 ± 1.12 de | 0.43 ± 0.15 abc |
| Oleo-resin | 22.96 | 80.67 ± 1.16 ab | 18.93 ± 1.16 e | 0.37 ± 0.06 abc |
| 45.92 | 77.43 ± 0.60 cd | 21.87 ± 0.85 cd | 0.67 ± 0.29 a | |
| Byproduct from degumming process (DG) | 13.04 | 81.03 ± 1.06 a | 18.77 ± 0.80 e | 0.23 ± 0.23 abc |
| 26.08 | 79.97 ± 0.23 abc | 19.73 ± 0.25 de | 0.27 ± 0.12 abc | |
| Byproduct from distillation process (DT) | 15.49 | 78.30 ± 0.30 bcd | 21.40 ± 0.36 cde | 0.30 ± 0.10 abc |
| 30.98 | 77.30 ± 0.78 d | 22.50 ± 0.78 c | 0.20 ± 0.10 bc | |
| Dipterocarpol | 13.04 | 79.20 ± 0.87 abcd | 20.50 ± 0.87 cde | 0.30 ± 0.00 abc |
| 26.08 | 69.77 ± 0.83 e | 29.70 ± 1.05 b | 0.57 ± 0.23 ab | |
| Melphalan | 48.58 | 77.40 ± 1.45 cd | 22.53 ± 1.46 c | 0.00 ± 0.00 c |
| 97.16 | 58.37 ± 0.31 f | 41.30 ± 0.56 a | 0.00 ± 0.00 c | |
Publisher’s Note: MDPI stays neutral with regard to jurisdictional claims in published maps and institutional affiliations. |
© 2022 by the authors. Licensee MDPI, Basel, Switzerland. This article is an open access article distributed under the terms and conditions of the Creative Commons Attribution (CC BY) license (https://creativecommons.org/licenses/by/4.0/).
Share and Cite
Puthongking, P.; Yongram, C.; Katekaew, S.; Sungthong, B.; Weerapreeyakul, N. Dipterocarpol in Oleoresin of Dipterocarpus alatus Attributed to Cytotoxicity and Apoptosis-Inducing Effect. Molecules 2022, 27, 3187. https://doi.org/10.3390/molecules27103187
Puthongking P, Yongram C, Katekaew S, Sungthong B, Weerapreeyakul N. Dipterocarpol in Oleoresin of Dipterocarpus alatus Attributed to Cytotoxicity and Apoptosis-Inducing Effect. Molecules. 2022; 27(10):3187. https://doi.org/10.3390/molecules27103187
Chicago/Turabian StylePuthongking, Ploenthip, Chawalit Yongram, Somporn Katekaew, Bunleu Sungthong, and Natthida Weerapreeyakul. 2022. "Dipterocarpol in Oleoresin of Dipterocarpus alatus Attributed to Cytotoxicity and Apoptosis-Inducing Effect" Molecules 27, no. 10: 3187. https://doi.org/10.3390/molecules27103187
APA StylePuthongking, P., Yongram, C., Katekaew, S., Sungthong, B., & Weerapreeyakul, N. (2022). Dipterocarpol in Oleoresin of Dipterocarpus alatus Attributed to Cytotoxicity and Apoptosis-Inducing Effect. Molecules, 27(10), 3187. https://doi.org/10.3390/molecules27103187



















