Design and Synthesis of New Thiophene/Thieno[2,3-d]pyrimidines along with Their Cytotoxic Biological Evaluation as Tyrosine Kinase Inhibitors in Addition to Their Apoptotic and Autophagic Induction
Abstract
:1. Introduction
2. Results and Discussion
2.1. In Silico-Target Prediction
2.2. Molecular Docking
2.3. Chemistry
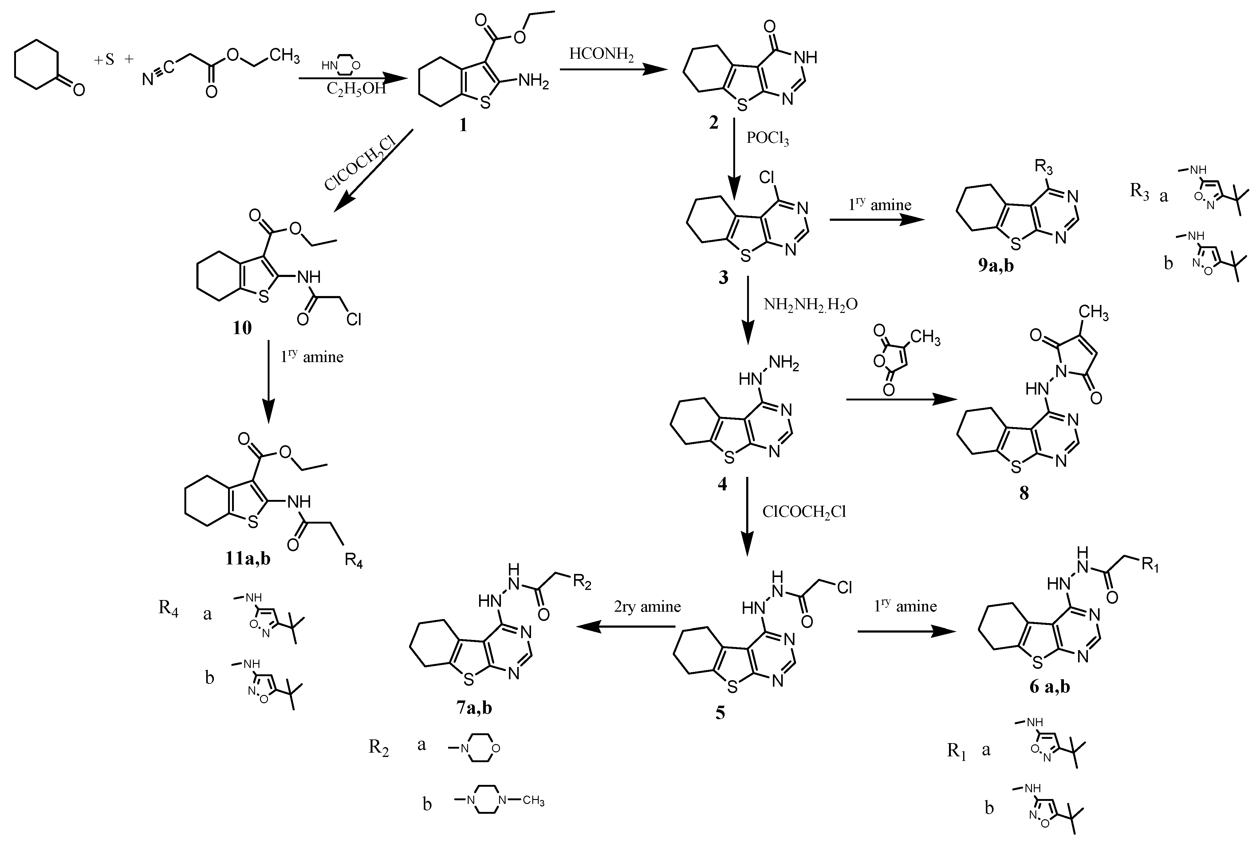
2.3.1. Synthesis
2.3.2. Structural Confirmation
2.4. Biological Activity
2.4.1. Antiproliferative/Cytotoxicity Assessment
Detailed Dose-Response Relationship against Cancer Cells
2.4.2. Apoptosis/Necrosis Assessment
2.4.3. Autophagy Assessment
2.5. Kinase Inhibition Activity
FLT3 Screening
2.6. Bioavailability and Drug Likeness Investigation
3. Experimental
3.1. Molecular Modeling Study
3.2. Chemistry
3.3. Biology
3.3.1. Antiproliferative/Cytotoxicity Assessment
Cell Culture
Preliminary Antiproliferation Assay
3.3.2. Detailed Dose-Response Relationship against Cancer Cells
3.3.3. Kinase Screening
FLT3 Inhibition
3.3.4. Apoptosis/Necrosis Assessment
3.3.5. Autophagy Assessment
4. Conclusions
Author Contributions
Funding
Institutional Review Board Statement
Informed Consent Statement
Acknowledgments
Conflicts of Interest
Future Investigations
References
- Bozorov, K.; Zhao, J.-Y.; Elmuradov, B.; Pataer, A.; Aisa, H.A. Recent developments regarding the use of thieno[2,3-d]pyrimidin-4-one derivatives in medicinal chemistry, with a focus on their synthesis and anticancer properties. Eur. J. Med. Chem. 2015, 102, 552–573. [Google Scholar] [CrossRef] [PubMed]
- Abuelhassan, S.; Bakhite, E.A.; Abdel-Rahman, A.E.; El-Mahdy, A.F.M. Synthesis, characterization, and biological activities of some novel thienylpyrido[3′,2′:4,5]thieno[3,2- d ]pyrimidines and related heterocycles. J. Heterocycl. Chem. 2021, 58, 1784–1801. [Google Scholar] [CrossRef]
- Li, H.; Chen, C.; Xu, S.; Cao, X. Synthesis and Bioevaluation of Thieno[2,3-d]pyrimidinone Derivatives as Potential Tumor Cell Growth Inhibitors. J. Chem. 2013, 2013, 1–6. [Google Scholar] [CrossRef] [Green Version]
- Gorja, D.R.; Kumar, K.S.; Mukkanti, K.; Pal, M. C–C (alkynylation) vs C–O (ether) bond formation under Pd/C–Cu catalysis: Synthesis and pharmacological evaluation of 4-alkynylthieno[2,3-d]pyrimidines. Beilstein J. Org. Chem. 2011, 7, 338–345. [Google Scholar] [CrossRef] [Green Version]
- Rashad, A.E.; Shamroukh, A.H.; Abdel-Megeid, R.E.; El-Sayed, W.A. Synthesis, Reactions, and Antimicrobial Evaluation of Some Polycondensed Thienopyrimidine Derivatives. Synth. Commun. 2010, 40, 1149–1160. [Google Scholar] [CrossRef]
- Rashad, A.E.; Shamroukh, A.H.; Sayed, H.H.; Awad, S.M.; Abdelwahed, N.A.M. Some Novel Thiopyrimidine Nucleoside Analogs: Synthesis and In Vitro Antimicrobial Evaluation. Synth. Commun. 2011, 41, 652–661. [Google Scholar] [CrossRef]
- Elmongy, E.; Kedr, M.; Abotaleb, N.; Abbas, S. Design and synthesis of new thienopyrimidine derivatives along with their antioxidant activity. Egypt. J. Chem. 2021, 64, 6857–6867. [Google Scholar] [CrossRef]
- Mavrova, A.T.; Dimov, S.; Yancheva, D.; Rangelov, M.; Wesselinova, D.; Tsenov, J.A. Synthesis, anticancer activity and photostability of novel 3-ethyl-2-mercapto-thieno[2,3- d ]pyrimidin-4( 3H )-ones. Eur. J. Med. Chem. 2016, 123, 69–79. [Google Scholar] [CrossRef]
- Bánhegyi, P.; Kéri, G.; Örfi, L.; Szekélyhidi, Z.; Wáczek, F. Vichem Chemie Kutato Kft, Tricyclic benzo [4,5] thieno-[2,3-d] pyrimidine-4-yl-amin Derivatives, Their Salts, Process for Producing the Compounds and Their Pharmaceutical Use. U.S. Patent 8,802,849, 2014. [Google Scholar]
- Sharaky, M.; Kamel, M.; Aziz, M.A.; Omran, M.; Rageh, M.M.; Abouzid, K.A.M.; Shouman, S.A. Design, synthesis and biological evaluation of a new thieno[2,3-d]pyrimidine-based urea derivative with potential antitumor activity against tamoxifen sensitive and resistant breast cancer cell lines. J. Enzym. Inhib. Med. Chem. 2020, 35, 1641–1656. [Google Scholar] [CrossRef]
- Wu, C.-H.; Coumar, M.S.; Chu, C.-Y.; Lin, W.-H.; Chen, Y.-R.; Chen, C.-T.; Shiao, H.-Y.; Rafi, S.; Wang, S.-Y.; Hsu, H.; et al. Design and Synthesis of Tetrahydropyridothieno[2,3-d]pyrimidine Scaffold Based Epidermal Growth Factor Receptor (EGFR) Kinase Inhibitors: The Role of Side Chain Chirality and Michael Acceptor Group for Maximal Potency. J. Med. Chem. 2010, 53, 7316–7326. [Google Scholar] [CrossRef]
- Dai, Y.; Guo, Y.; Frey, R.R.; Ji, Z.; Curtin, M.L.; Ahmed, A.A.; Albert, D.H.; Arnold, L.; Arries, S.S.; Barlozzari, T.; et al. Thienopyrimidine Ureas as Novel and Potent Multitargeted Receptor Tyrosine Kinase Inhibitors. J. Med. Chem. 2005, 48, 6066–6083. [Google Scholar] [CrossRef] [PubMed]
- Park, C.-H.; Lee, C.; Yang, J.S.; Joe, B.-Y.; Chun, K.; Kim, H.; Kim, H.Y.; Kang, J.S.; Lee, J.I.; Kim, M.-H.; et al. Discovery of thienopyrimidine-based FLT3 inhibitors from the structural modification of known IKKβ inhibitors. Bioorg. Med. Chem. Lett. 2014, 24, 2655–2660. [Google Scholar] [CrossRef] [PubMed]
- Yang, J.S.; Park, C.-H.; Lee, C.; Kim, H.; Oh, C.; Choi, Y.; Kang, J.S.; Yun, J.; Jeong, J.-H.; Kim, M.-H.; et al. Synthesis and biological evaluation of novel thieno[2,3-d]pyrimidine-based FLT3 inhibitors as anti-leukemic agents. Eur. J. Med. Chem. 2014, 85, 399–407. [Google Scholar] [CrossRef] [PubMed]
- Kim, H.; Lee, C.; Yang, J.S.; Choi, S.; Park, C.-H.; Kang, J.S.; Oh, S.J.; Yun, J.; Kim, M.-H.; Han, G. Structural modifications at the 6-position of thieno[2,3-d]pyrimidines and their effects on potency at FLT3 for treatment of acute myeloid leukemia. Eur. J. Med. Chem. 2016, 120, 74–85. [Google Scholar] [CrossRef]
- Heng, H.; Zhi, Y.; Yuan, H.; Wang, Z.; Li, H.; Wang, S.; Tian, J.; Liu, H.; Chen, Y.; Lu, T.; et al. Discovery of a highly selective FLT3 inhibitor with specific proliferation inhibition against AML cells harboring FLT3-ITD mutation. Eur. J. Med. Chem. 2019, 163, 195–206. [Google Scholar] [CrossRef]
- Manning, G.; Whyte, D.B.; Martinez, R.; Hunter, T.; Sudarsanam, S. The Protein Kinase Complement of the Human Genome. Science 2002, 298, 1912–1934. [Google Scholar] [CrossRef] [Green Version]
- Hanks, S.K.; Quinn, A.M.; Hunter, T. The protein kinase family: Conserved features and deduced phylogeny of the catalytic domains. Science 1988, 241, 42–52. [Google Scholar] [CrossRef]
- Liu, Q.; Sabnis, Y.; Zhao, Z.; Zhang, T.; Buhrlage, S.J.; Jones, L.H.; Gray, N.S. Developing Irreversible Inhibitors of the Protein Kinase Cysteinome. Chem. Biol. 2013, 20, 146–159. [Google Scholar] [CrossRef] [PubMed] [Green Version]
- Karamouzis, M.V.; Grandis, J.R.; Argiris, A. Therapies Directed Against Epidermal Growth Factor Receptor in Aerodigestive Carcinomas. JAMA 2007, 298, 70–82. [Google Scholar] [CrossRef] [Green Version]
- Ghith, A.; Ismail, N.S.; Youssef, K.; Abouzid, K.A. Medicinal Attributes of Thienopyrimidine Based Scaffold Targeting Tyrosine Kinases and Their Potential Anticancer Activities. Arch. Der Pharm. (Weinh.) 2017, 350, 1700242. [Google Scholar] [CrossRef]
- Rosnet, O.; Schiff, C.; Pebusque, M.; Marchetto, S.; Tonnelle, C.; Toiron, Y.; Birg, F.; Birnbaum, D. Human FLT3/FLK2 gene: cDNA cloning and expression in hematopoietic cells. Blood 1993, 82, 1110–1119. [Google Scholar] [CrossRef] [PubMed] [Green Version]
- Lyman, S.D.; James, L.; Zappone, J.; Sleath, P.R.; Beckmann, M.P.; Bird, T. Characterization of the protein encoded by the flt3 (flk2) receptor-like tyrosine kinase gene. Oncogene 1993, 8, 815–822. [Google Scholar] [PubMed]
- Gilliland, D.G.; Griffin, J.D. The roles of FLT3 in hematopoiesis and leukemia. Blood 2002, 100, 1532–1542. [Google Scholar] [CrossRef] [Green Version]
- Elmongy, E.I. Thieno[2,3- d ]pyrimidine derivatives: Synthetic approaches and their FLT3 kinase inhibition. J. Heterocycl. Chem. 2020, 57, 2067–2078. [Google Scholar] [CrossRef]
- Elmongy, E.I.; Khedr, M.A.; Taleb, N.A.; Awad, H.M.; Abbas, S.E.-S. Design, Synthesis, and Biological Evaluation of Some Cyclohepta[b]Thiophene and Substituted Pentahydrocycloheptathieno[2,3-d]Pyrimidine Derivatives. J. Heterocycl. Chem. 2017, 54, 1084–1093. [Google Scholar] [CrossRef]
- Gewald, K.; Schinke, E.; Böttcher, H. Heterocyclen aus CH-aciden nitrilen, VIII. 2-amino-thiophene aus methylenaktiven nitrilen, carbonylverbindungen und schwefel. Chem. Ber. 1966, 99, 94–100. [Google Scholar] [CrossRef]
- Khan, O.A.; Gore, M.; Lorigan, P.; Stone, J.; Greystoke, A.; Burke, W.; Carmichael, J.; Watson, A.J.; McGown, G.; Thorncroft, M.; et al. A phase I study of the safety and tolerability of olaparib (AZD2281, KU0059436) and dacarbazine in patients with advanced solid tumours. Br. J. Cancer 2011, 104, 750–755. [Google Scholar] [CrossRef] [Green Version]
- Gad, E.M.; Nafie, M.S.; Eltamany, E.H.; Hammad, M.S.A.G.; Barakat, A.; Boraei, A.T.A. Discovery of New Apoptosis-Inducing Agents for Breast Cancer Based on Ethyl 2-Amino-4,5,6,7-Tetra Hydrobenzo[b]Thiophene-3-Carboxylate: Synthesis, In Vitro, and In Vivo Activity Evaluation. Molecules 2020, 25, 2523. [Google Scholar] [CrossRef]
- Bhullar, K.S.; Lagarón, N.O.; McGowan, E.M.; Parmar, I.; Jha, A.; Hubbard, B.P.; Rupasinghe, H.P.V. Kinase-targeted cancer therapies: Progress, challenges and future directions. Mol. Cancer 2018, 17, 48. [Google Scholar] [CrossRef]
- Adly, M.E.; Gedawy, E.M.; El-Malah, A.A.; El-Telbany, F.A. Synthesis of Novel Thieno[2,3-d]pyrimidine Derivatives and Evaluation of Their Cytotoxicity and EGFR Inhibitory Activity. Anti-Cancer Agents Med. Chem. 2018, 18, 747–756. [Google Scholar] [CrossRef] [PubMed]
- Mavrova, A.T.; Dimov, S.; Yancheva, D.; Rangelov, M.; Wesselinova, D.; Naydenova, E. New C2- and N3-Modified Thieno[2,3-d]Pyrimidine Conjugates with Cytotoxicity in the Nanomolar Range. Anti-Cancer Agents Med. Chem. 2021, 21, 1. [Google Scholar] [CrossRef]
- Hinz, M.; Stilmann, M.; Arslan, S.Ç.; Khanna, K.K.; Dittmar, G.; Scheidereit, C. A Cytoplasmic ATM-TRAF6-cIAP1 Module Links Nuclear DNA Damage Signaling to Ubiquitin-Mediated NF-κB Activation. Mol. Cell 2010, 40, 63–74. [Google Scholar] [CrossRef] [PubMed]
- Czarny, P.; Pawlowska, E.; Bialkowska-Warzecha, J.; Kaarniranta, K.; Blasiak, J. Autophagy in DNA Damage Response. Int. J. Mol. Sci. 2015, 16, 2641–2662. [Google Scholar] [CrossRef] [Green Version]
- Salomoni, P.; Calabretta, B. Targeted therapies and autophagy: New insights from chronic myeloid leukemia. Autophagy 2009, 5, 1050–1051. [Google Scholar] [CrossRef] [Green Version]
- Tanaka, H.; Hino, H.; Moriya, S.; Kazama, H.; Miyazaki, M.; Takano, N.; Hiramoto, M.; Tsukahara, K.; Miyazawa, K. Comparison of autophagy inducibility in various tyrosine kinase inhibitors and their enhanced cytotoxicity via inhibition of autophagy in cancer cells in combined treatment with azithromycin. Biochem. Biophys. Rep. 2020, 22, 100750. [Google Scholar] [CrossRef] [PubMed]
- Aziz, M.A.; Serya, R.A.T.; Lasheen, D.; Abdel-Aziz, A.K.; Esmat, A.; Mansour, A.M.; Singab, A.N.B.; Abouzid, K.A.M. Discovery of Potent VEGFR-2 Inhibitors based on Furopyrimidine and Thienopyrimidne Scaffolds as Cancer Targeting Agents. Sci. Rep. 2016, 6, 24460. [Google Scholar] [CrossRef] [PubMed] [Green Version]
- Ghose, A.K.; Herbertz, T.; Hudkins, R.L.; Dorsey, B.D.; Mallamo, J.P. Knowledge-based, central nervous system (CNS) lead selection and lead optimization for CNS drug discovery. ACS Chem. Neurosci. 2011, 3, 50–68. [Google Scholar] [CrossRef] [Green Version]
- Carmichael, J.; DeGraff, W.G.; Gazdar, A.F.; Minna, J.D.; Mitchell, J.B. Evaluation of a tetrazolium-based semiautomated colorimetric assay: Assessment of radiosensitivity. Cancer Res. 1987, 47, 943–946. [Google Scholar] [PubMed]
- Thomé, M.P.; Filippi-Chiela, E.C.; Villodre, E.S.; Migliavaca, C.B.; Onzi, G.R.; Felipe, K.B.; Lenz, G. Ratiometric analysis of acridine orange staining in the study of acidic organelles and autophagy. J. Cell Sci. 2016, 129, 4622–4632. [Google Scholar] [CrossRef] [Green Version]








| Compound | Binding Energy Kcal/mol | RMSD (A) | 2D-Interactions | Amino Acids Involved in Interaction |
|---|---|---|---|---|
| 5 | −8.068 | 0.792 | ![]() | Leu 616 Cys 694 Glu 692 |
| 8 | −7.529 | 1.044 | ![]() | Leu 616 Cys 694 Asp 698 |
| 9b | −8.360 | 1.051 | ![]() | Leu 616 Cys 694 Glu 692 |
| 10 | −8.0461 | 1.828 | ![]() | Leu 616 Cys 694 |
| 11b | −9.072 | 1.512 | ![]() | Glu 661 Asp 829 Cys 828 |
| P30 | −10.651 | 1.247 | ![]() | Glu 661 Asp 829 Leu 616 Cys 694 |
| Compound No. | Anti-Proliferative Activities in Different Cancer Cell Lines IC50s (μM) | ||
|---|---|---|---|
| HT-29 | HepG-2 | MCF-7 | |
| 5 | 10.1 ± 0.4 | 5.3 ± 1.6 | 7.3 ± 4.5 |
| 7a | 15.7 ± 0.4 | 8.0 ± 0.04 | 15.0 ± 0.8 |
| 8 | 15 ± 1.5 | 3.3 ± 0.9 | 4.1 ± 0.5 |
| 9b | 28.0 ± 13.1 | 6.9 ± 2.7 | 35.3 ± 1.5 |
| 10 | 17.1 ± 0.7 | 7.5 ± 0.09 | 16.4 ± 5.8 |
| Dox | 1.4 ± 1.16 | 13.915 ± 2.2 | 8.43 ± 0.5 |
| Compound No. | IC50 (µM) |
|---|---|
| 5 | 32.43 ± 5.5 |
| 8 | 40.55 ± 6.3 |
| 9b | 39.61 ± 4.6 |
| 10 | 40.04 ± 5.5 |
| Compound # | Number of HBA | Number of HBD | Log P | TPSA | BBB Score | Drug Likeness Score | Compounds in Relation to Drug and Non-Drug Scores |
|---|---|---|---|---|---|---|---|
| 5 | 4 | 2 | 2.32 | 58.87 A2 | 4.18 | 0.63 | ![]() |
| 8 | 5 | 1 | 2.37 | 63.74 A2 | 3.84 | 0.98 | ![]() |
| 9 | 5 | 1 | 5.07 (>5) | 53.18 A2 | 4.54 | 0.73 | ![]() |
| 10 | 4 | 1 | 2.96 | 43.86 A2 | 4.23 | 0.48 | ![]() |
| 11 | 6 | 2 | 4.55 | 76.64 A2 | 3.20 | 0.69 | ![]() |
Publisher’s Note: MDPI stays neutral with regard to jurisdictional claims in published maps and institutional affiliations. |
© 2021 by the authors. Licensee MDPI, Basel, Switzerland. This article is an open access article distributed under the terms and conditions of the Creative Commons Attribution (CC BY) license (https://creativecommons.org/licenses/by/4.0/).
Share and Cite
Elmongy, E.I.; Attallah, N.G.M.; Altwaijry, N.; AlKahtani, M.M.; Henidi, H.A. Design and Synthesis of New Thiophene/Thieno[2,3-d]pyrimidines along with Their Cytotoxic Biological Evaluation as Tyrosine Kinase Inhibitors in Addition to Their Apoptotic and Autophagic Induction. Molecules 2022, 27, 123. https://doi.org/10.3390/molecules27010123
Elmongy EI, Attallah NGM, Altwaijry N, AlKahtani MM, Henidi HA. Design and Synthesis of New Thiophene/Thieno[2,3-d]pyrimidines along with Their Cytotoxic Biological Evaluation as Tyrosine Kinase Inhibitors in Addition to Their Apoptotic and Autophagic Induction. Molecules. 2022; 27(1):123. https://doi.org/10.3390/molecules27010123
Chicago/Turabian StyleElmongy, Elshaymaa I., Nashwah G. M. Attallah, Najla Altwaijry, Manal Mubarak AlKahtani, and Hanan Ali Henidi. 2022. "Design and Synthesis of New Thiophene/Thieno[2,3-d]pyrimidines along with Their Cytotoxic Biological Evaluation as Tyrosine Kinase Inhibitors in Addition to Their Apoptotic and Autophagic Induction" Molecules 27, no. 1: 123. https://doi.org/10.3390/molecules27010123
APA StyleElmongy, E. I., Attallah, N. G. M., Altwaijry, N., AlKahtani, M. M., & Henidi, H. A. (2022). Design and Synthesis of New Thiophene/Thieno[2,3-d]pyrimidines along with Their Cytotoxic Biological Evaluation as Tyrosine Kinase Inhibitors in Addition to Their Apoptotic and Autophagic Induction. Molecules, 27(1), 123. https://doi.org/10.3390/molecules27010123












