New Bioconjugated Technetium and Rhenium Folates Synthesized by Transmetallation Reaction with Zinc Derivatives
Abstract
1. Introduction
2. Results
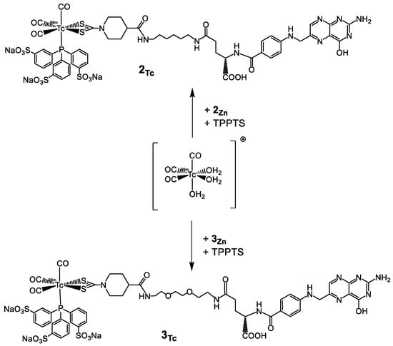
2.1. Zinc Complexes
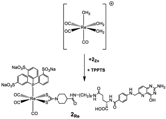
2.2. Rhenium Complexes
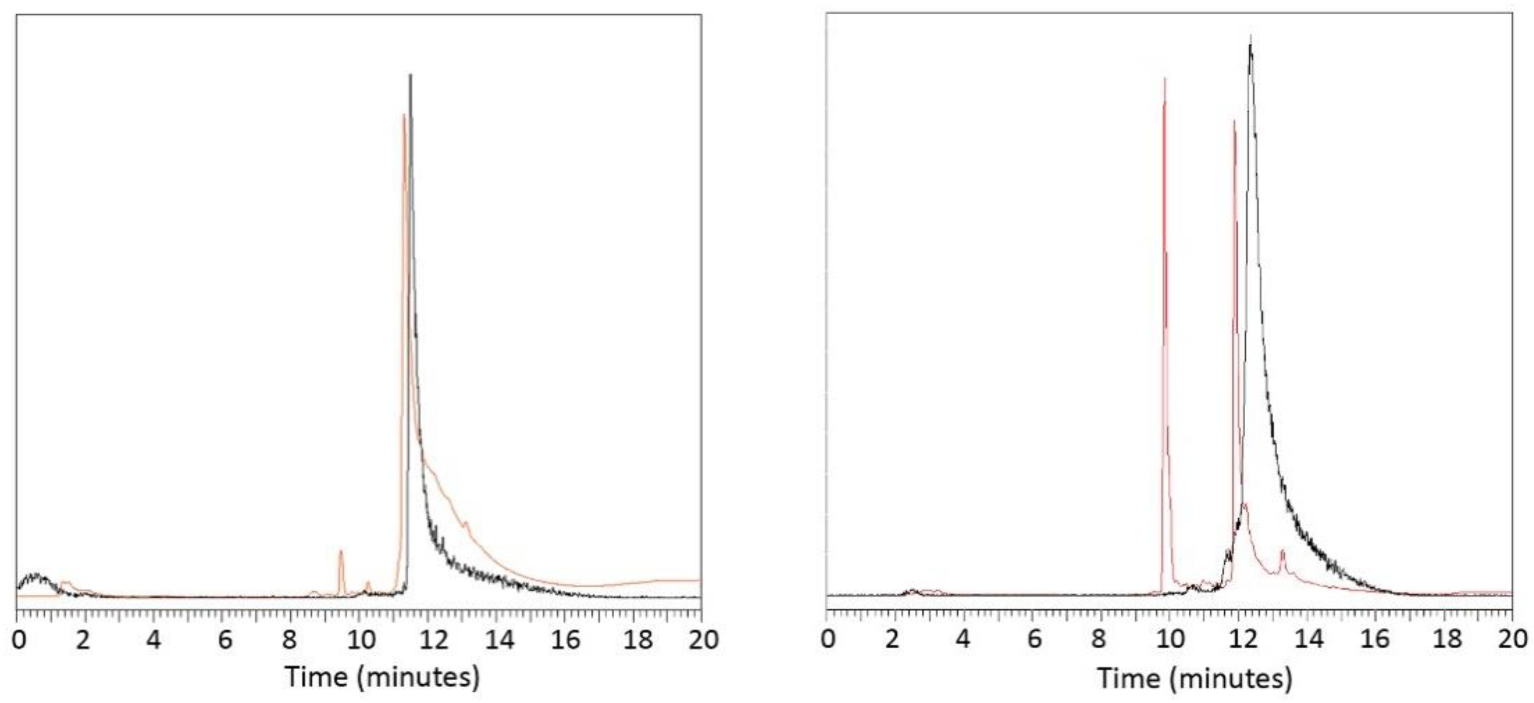
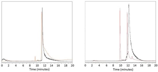
2.3. Technetium-99m Complexes
2.4. Serum Stability Studies
2.5. In Vitro Binding Assays
2.6. Biodistribution Studies
3. Materials and Methods
3.1. General
3.2. Synthesis of 2Zn
3.3. Synthesis of 3Zn
3.4. Synthesis of 2Re
3.5. Synthesis of 3Re
3.6. Preparation of Tc-99m Complexes
3.7. Reverse-Phase High-Performance Liquid Chromatography
3.8. Determination of Solubilities of Zinc Compounds
3.9. Serum Stability Studies
3.10. Cell Culture
3.11. Binding Assay
3.12. Biodistribution Studies
4. Conclusions
Supplementary Materials
Author Contributions
Funding
Institutional Review Board Statement
Informed Consent Statement
Data Availability Statement
Acknowledgments
Conflicts of Interest
Sample Availability
References
- Arrowsmith, R.L.; Pascu, S.I.; Smugowski, H. New developments in the biomedical chemistry of metal complexes: From small molecules to nanotheranostic design. Organomet. Chem. 2012, 38, 1–35. [Google Scholar]
- Monney, A.; Albrecht, M. Transition metal bioconjugates with an organometallic link between the metal and the biomolecular scaffold. Coordin. Chem. Rev. 2013, 257, 2420–2433. [Google Scholar] [CrossRef]
- Cui, L.; Rao, J. Chemical Methodology for Labelling and Bioconjugation. In The Chemistry of Molecular Imaging; Long, N., Wong, W.T., Eds.; John Wiley & Sons: Hoboken, NJ, USA, 2015; pp. 25–54. [Google Scholar]
- Lecina, J.; Carrer, A.; Álvarez-Larena, A.; Mazzi, U.; Melendez-Alafort, L.; Suades, J. New Bioconjugated Rhenium Carbonyls by Transmetalation Reaction with Zinc Derivatives. Organometallics 2012, 31, 5884–5893. [Google Scholar] [CrossRef]
- Borràs, J.; Mesa, V.; Suades, J.; Barnadas-Rodríguez, R. Direct Synthesis of Rhenium and Technetium-99m Metallosurfactants by a Transmetallation Reaction of Lipophilic Groups: Potential Applications in the Radiolabeling of Liposomes. Langmuir 2020, 36, 1993–2002. [Google Scholar] [CrossRef] [PubMed]
- Borràs, J.; Lecina, J.; Foster, J.; Kashani, R.; Melendez-Alafort, L.; Sosabowski, J.; Suades, J. Bioconjugated technetium carbonyls by transmetalation reaction with zinc derivatives. Bioorg. Med. Chem. Lett. 2021, 37, 127840. [Google Scholar] [CrossRef]
- Lalonde, M.; Bury, W.; Karagiaridi, O.; Brown, Z.; Hupp, J.T.; Farha, O.K. Transmetalation: Routes to metal exchange within metal-organic frameworks. J. Mat. Chem. A 2013, 1, 5453–5468. [Google Scholar] [CrossRef]
- Carnes, M.E.; Collins, M.S.; Johnson, D.W. Transmetalation of self-assembled, supramolecular complexes. Chem. Soc. Rev. 2014, 43, 1825–1834. [Google Scholar] [CrossRef]
- Yan, X.; Xi, C. Advances in transmetalation reactions originated from organozirconium compounds. Coord. Chem. Rev. 2017, 350, 275–284. [Google Scholar] [CrossRef]
- Vickers, M.S.; Cookson, J.; Beer, P.D.; Bishop, P.T.; Thiebaut, B. Dithiocarbamate ligand stabilised gold nanoparticles. J. Mater. Chem. 2006, 16, 209–215. [Google Scholar] [CrossRef]
- Pettenuzzo, A.; Montagner, D.; McArdle, P.; Ronconi, L. An innovative and efficient route to the synthesis of metal-based glycoconjugates: Proof-of-concept and potential applications. Dalton Trans. 2018, 47, 10721–10736. [Google Scholar] [CrossRef] [PubMed]
- Dilworth, J.R.; Parrott, S. The biomedical chemistry of technetium and rhenium. J. Chem. Soc. Rev. 1998, 27, 43–55. [Google Scholar] [CrossRef]
- Alberto, R. Technetium. In Comprehensive Coordination Chemistry II; McCleverty, J.A., Meyer, T.J., Eds.; Elsevier: Amsterdam, The Netherlands, 2003; Volume 5, Chapter 5.2. [Google Scholar]
- Jürgens, S.; Herrmann, W.A.; Kühn, F.E. Rhenium and technetium based radiopharmaceuticals: Development and recent advances. J. Organomet. Chem. 2014, 751, 83–89. [Google Scholar] [CrossRef]
- Liu, S.; Chakraborty, S. 99mTc-centered one-pot synthesis for preparation of 99mTc radiotracers. Dalton Trans. 2011, 40, 6077–6086. [Google Scholar] [CrossRef]
- Oshikiri, S.; Uehara, T.; Suzuki, H.; Koike-Satake, M.; Hino, A.; Arano, Y. Zn Complex of Diaminedithiol Tetradentate Ligand as a Stable Precursor for 99mTc-Labeled Compounds. Molecules 2020, 25, 254. [Google Scholar] [CrossRef] [PubMed]
- Stover, P.J. Physiology of folate and vitamin B12 in health and disease. Nutr. Rev. 2004, 62, S3–S12. [Google Scholar] [CrossRef] [PubMed]
- Cieoelik, E.; Cieoelik, I. Occurrence and significance of folic acid. Pteridines 2018, 29, 187–195. [Google Scholar] [CrossRef]
- Low, P.S.; Henne, W.A.; Doorneweerd, D.D. Discovery and development of folic-acid-based receptor targeting for imaging and therapy of cancer and inflammatory diseases. Acc. Chem. Res. 2008, 41, 120–129. [Google Scholar] [CrossRef]
- Xia, W.; Low, P.S. Folate-targeted therapies for cancer. J. Med. Chem. 2010, 53, 6811–6824. [Google Scholar] [CrossRef] [PubMed]
- Mindt, T.L.; Müller, C.; Melis, M.; De Jong, M.; Schibli, R. “Click-to-Chelate”: In Vitro and In Vivo Comparison of a 99mTc(CO)3-Labeled N(τ)-Histidine Folate Derivative with Its Isostructural, Clicked 1,2,3-Triazole Analogue. Bioconjug. Chem. 2008, 19, 1689–1695. [Google Scholar] [CrossRef] [PubMed]
- Guo, H.; Xie, F.; Zhu, M.; Li, Y.; Yang, Z.; Wang, X.; Lu, J. The synthesis of pteroyl-lys conjugates and its application as Technetium-99m labeled radiotracer for folate receptor-positive tumor targeting. Bioorg. Med. Chem. Lett. 2011, 21, 2025–2029. [Google Scholar] [CrossRef] [PubMed]
- Lu, J.; Pang, Y.; Xie, F.; Guo, H.; Li, Y.; Yang, Z.; Wang, X. Synthesis and in vitro/in vivo evaluation of 99mTc-labeled folate conjugates for folate receptor imaging. Nucl. Med. Biol. 2011, 38, 557–565. [Google Scholar] [CrossRef] [PubMed]
- Xie, F.; Zhang, C.; Yu, Q.; Pang, Y.; Chen, Y.; Yang, W.; Xue, J.; Liuc, Y.; Lu, J. Novel 99mTc radiolabeled folate complexes with PEG linkers for FR-positive tumor imaging: Synthesis and biological evaluation. RSC Adv. 2014, 4, 32197–32206. [Google Scholar] [CrossRef]
- Guo, Z.; You, L.; Shi, C.; Song, M.; Gao, M.; Xu, D.; Peng, C.; Zhuang, R.; Liu, T.; Su, X.; et al. Development of a New FR-Targeting Agent 99mTc-HYNFA with Improved Imaging Contrast and Comparison of Multimerization and/or PEGylation Strategies for Radio-Folate Modification. Mol. Pharmaceut. 2017, 14, 3780–3788. [Google Scholar] [CrossRef]
- Lodhi, N.A.; Park, J.Y.; Hong, M.K.; Kim, Y.J.; Lee, Y.; Cheon, G.J.; Jeong, J.M. Development of 99mTc-labeled trivalent isonitrile radiotracer for folate receptor imaging. Bioorg. Med. Chem. 2019, 27, 1925–1931. [Google Scholar] [CrossRef] [PubMed]
- Schneider, R.; Schmitt, F.; Frochot, C.; Fort, Y.; Lourette, N.; Guillemin, F.; Müllerd, J.F.; Barberi-Heyob, M. Design, synthesis, and biological evaluation of folic acid targeted tetra-phenylporphyrin as novel photosensitizers for selective photodynamic therapy. Bioorg. Med. Chem. 2005, 13, 2799–2808. [Google Scholar] [CrossRef]
- Baier, G.; Baumann, D.; Siebert, J.M.; Musyanovych, A.; Mailänder, V.; Landfester, K. Suppressing Unspecific Cell Uptake for Targeted Delivery Using Hydroxyethyl Starch Nanocapsules. Biomacromolecules 2012, 13, 2704–2715. [Google Scholar] [CrossRef] [PubMed]
- Mindt, T.; Struthers, H.; Garcia-Garayo, E.; Desbouis, D.; Schibli, R. Strategies for the Development of Novel Tumor Targeting Technetium and Rhenium Radiopharmaceuticals. Chimia 2007, 61, 725–731. [Google Scholar] [CrossRef]
- Maresca, K.P.; Marquis, J.C.; Hillier, S.M.; Lu, G.; Femia, F.J.; Zimmerman, C.N.; Eckelman, W.C.; Joyal, J.L.; Babich, J.W. Novel Polar Single Amino Acid Chelates for Technetium-99m Tricarbonyl-Based Radiopharmaceuticals with Enhanced Renal Clearance: Application to Octreotide. Bioconjug. Chem. 2010, 21, 1032–1042. [Google Scholar] [CrossRef]
- Maria, L.; Cunha, S.; Videira, M.; Gano, L.; Paulo, A.; Santos, I.C.; Santos, I. Rhenium and technetium tricarbonyl complexes anchored by pyrazole-based tripods: Novel lead structures for the design of myocardial imaging agents. Dalton Trans. 2007, 3010–3019. [Google Scholar] [CrossRef]
- Alberto, R.; Schibli, R.; Egli, A.; Schubiger, A.P. A Novel Organometallic Aqua Complex of Technetium for the Labeling of Biomolecules: Synthesis of [99mTc(H2O)3(CO)3]+ from [99mTcO4]− in Aqueous Solution and Its Reaction with a Bifunctional Ligand. J. Am. Chem. Soc. 1998, 120, 7987–7988. [Google Scholar] [CrossRef]
- Alberto, R. Organometallic Radiopharmaceuticals. In Topics in Organometallic Chemistry; Jaouen, G., Metzler-Nolte, N., Eds.; Springer: Berlin/Heidelberg, Germany, 2010; Volume 32, pp. 219–246. [Google Scholar]
- Edwards, D.S.; Liu, S.; Ziegler, M.C.; Harris, A.R.; Crocker, A.C.; Heminway, S.J.; Barrett, J.A.; Bridger, G.J.; Abrams, M.J.; Higgins, J.D., III. P463: A Stabilized Technetium-99m Complex of a Hydrazino Nicotinamide Derivatized Chemotactic Peptide for Infection Imaging. Bioconjug. Chem. 1999, 10, 884–891. [Google Scholar] [CrossRef] [PubMed]
- Liu, S.; Hsieh, W.; Jiang, Y.; Kim, Y.; Sreerama, S.G.; Chen, X. Evaluation of a 99mTc-Labeled Cyclic RGD Tetramer for Noninvasive Imaging Integrin αvβ3-Positive Breast Cancer. Bioconjug. Chem. 2007, 18, 438–446. [Google Scholar] [CrossRef]
- Riondato, M.; Camporese, D.; Martín, D.; Suades, J.; Alvarez-Larena, A.; Mazzi, U. Synthesis and Characterisation of [Re(CO)3(SS)(P)] Complexes: A [2+1] Concept for 99mTc- and 188Re-Radiopharmaceutical Applications. Eur. J. Inorg. Chem. 2005, 2005, 4048–4055. [Google Scholar] [CrossRef]
- Lambert, B.; de Klerk, J.M.H. Clinical applications of 188Re-labelled radiopharmaceuticals for radionuclide therapy. Nucl. Med. Commun. 2006, 27, 223–229. [Google Scholar] [CrossRef]
- Dash, A.; Knapp, F.F., Jr. An overview of radioisotope separation technologies for development of 188W/188Re radionuclide generators providing 188Re to meet future research and clinical demands. RSC Adv. 2015, 5, 39012–39036. [Google Scholar] [CrossRef]
- Coenen, H.H.; Gee, A.D.; Adam, M.; Antoni, G.; Cutler, C.S.; Fujibayashi, Y.; Jeong, J.M.; Mach, R.H.; Mindt, T.L.; Pike, V.W.; et al. Consensus nomenclature rules for radiopharmaceutical chemistry—Setting the record straight. Nucl. Med. Biol. 2017, 55, v–xi. [Google Scholar] [CrossRef] [PubMed]
- Zhanga, L.; Houb, S.; Maob, S.; Weic, D.; Song, X.; Lu, Y. Uptake of folate-conjugated albumin nanoparticles to the SKOV3 cells. Int. J. Pharmaceut. 2004, 287, 155–162. [Google Scholar] [CrossRef]
- Zhou, W.; Han, W.F.; Landree, L.E.; Thupari, J.N.; Pinn, M.L.; Bililign, T.; Kim, E.K.; Vadlamudi, A.; Medghalchi, S.M.; El Meskini, R.; et al. Fatty Acid Synthase Inhibition Activates AMP-Activated Protein Kinase in SKOV3 Human Ovarian Cancer Cells. Cancer Res. 2007, 67, 2964–2971. [Google Scholar] [CrossRef]
- Shi, J.; Wang, L.; Kim, Y.S.; Zhai, S.; Liu, Z.; Chen, X.; Liu, S. Improving Tumor Uptake and Excretion Kinetics of 99mTc-Labeled Cyclic Arginine-Glycine-Aspartic (RGD) Dimers with Tri-glycine Linkers. J. Med. Chem. 2008, 51, 7980–7990. [Google Scholar] [CrossRef] [PubMed]
- Liu, G.; Dou, S.; He, J.; Vanderheyden, J.L.; Rusckowski, M.; Hnatowich, D.J. Preparation and Properties of 99mTc(CO)3+-Labeled N,N-Bis(2-pyridylmethyl)-4-aminobutyric Acid. Bioconjug. Chem. 2004, 15, 1441–1446. [Google Scholar] [CrossRef] [PubMed][Green Version]
- Bourkoula, A.; Paravatou-Petsotas, M.; Papadopoulos, A.; Santos, I.; Pietzsch, H.J.; Livaniou, E.; Pelecanou, M.; Papadopoulos, M.; Pirmettis, I. Synthesis and characterization of rhenium and technetium-99m tricarbonyl complexes bearing the 4-[3-bromophenyl]quinazoline moiety as a biomarker for EGFR-TK imaging. Eur. J. Med. Chem. 2009, 44, 4021–4027. [Google Scholar] [CrossRef] [PubMed]
- Elnakat, H.; Ratnam, M. Distribution, functionality and gene regulation of folate receptor isoforms: Implications in targeted therapy. Adv. Drug Deliv. Rev. 2004, 56, 1067–1084. [Google Scholar] [CrossRef] [PubMed]
- Satpati, D.; Mallia, M.; Kothari, K.; Pillai, M.R.A. Comparative evaluation of [99mTc(H2O)3(CO)3]+ precursor synthesized by conventional method and by using carbonyl kit. J. Label Compd. Radiopharm. 2004, 47, 657–668. [Google Scholar] [CrossRef]










| Organs and Tissues | 2Tc | 3Tc |
|---|---|---|
| Tumor | 0.58 ± 0.06 | 0.48 ± 0.11 |
| Intestine | 52.16 ± 4.21 | 38.85 ± 1.41 |
| Pancreas | 0.13 ± 0.03 | 0.12 ± 0.02 |
| Spleen | 0.17 ± 0.01 | 0.15 ± 0.03 |
| Kidney | 10.51 ± 1.76 | 11.77 ± 1.87 |
| Stomach | 1.63 ± 0.10 | 1.49 ± 0.20 |
| Liver | 2.88 ± 0.37 | 2.41 ± 0.25 |
| Heart | 0.31 ± 0.05 | 0.24 ± 0.03 |
| Lung | 0.62 ± 0.13 | 0.76 ± 0.16 |
| Blood | 0.39 ± 0.07 | 0.67 ± 0.15 |
| Muscle | 0.14 ± 0.04 | 0.24 ± 0.04 |
Publisher’s Note: MDPI stays neutral with regard to jurisdictional claims in published maps and institutional affiliations. |
© 2021 by the authors. Licensee MDPI, Basel, Switzerland. This article is an open access article distributed under the terms and conditions of the Creative Commons Attribution (CC BY) license (https://creativecommons.org/licenses/by/4.0/).
Share and Cite
Borràs, J.; Foster, J.; Kashani, R.; Meléndez-Alafort, L.; Sosabowski, J.; Suades, J.; Barnadas-Rodríguez, R. New Bioconjugated Technetium and Rhenium Folates Synthesized by Transmetallation Reaction with Zinc Derivatives. Molecules 2021, 26, 2373. https://doi.org/10.3390/molecules26082373
Borràs J, Foster J, Kashani R, Meléndez-Alafort L, Sosabowski J, Suades J, Barnadas-Rodríguez R. New Bioconjugated Technetium and Rhenium Folates Synthesized by Transmetallation Reaction with Zinc Derivatives. Molecules. 2021; 26(8):2373. https://doi.org/10.3390/molecules26082373
Chicago/Turabian StyleBorràs, Jordi, Julie Foster, Roxana Kashani, Laura Meléndez-Alafort, Jane Sosabowski, Joan Suades, and Ramon Barnadas-Rodríguez. 2021. "New Bioconjugated Technetium and Rhenium Folates Synthesized by Transmetallation Reaction with Zinc Derivatives" Molecules 26, no. 8: 2373. https://doi.org/10.3390/molecules26082373
APA StyleBorràs, J., Foster, J., Kashani, R., Meléndez-Alafort, L., Sosabowski, J., Suades, J., & Barnadas-Rodríguez, R. (2021). New Bioconjugated Technetium and Rhenium Folates Synthesized by Transmetallation Reaction with Zinc Derivatives. Molecules, 26(8), 2373. https://doi.org/10.3390/molecules26082373

