Grafting Dendrons onto Pillar[5]Arene Scaffolds †
Abstract
1. Introduction
2. Clickable Pillar[5]Arene Building Blocks
3. Bioactive Dendrimers with a Pillar[5]Arene Core
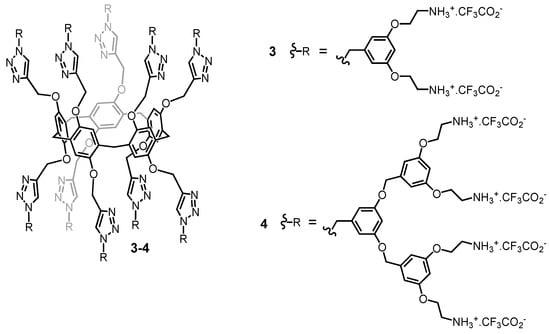
3.1. Dendritic Gene Delivery Vectors with a Pillar[5]Arene Core
3.2. Glycoclusters Constructed on a Pillar[5]Arene Scaffold
4. Dendritic Liquid-Crystalline Pillar[5]Arenes
5. Self-Assembled Dendrimers
6. Conclusions
Author Contributions
Funding
Institutional Review Board Statement
Informed Consent Statement
Data Availability Statement
Conflicts of Interest
Sample Availability
References and Notes
- Newkome, G.R.; Moorefield, C.N.; Vögtle, F. Dendrimers and Dendrons: Concepts, Syntheses, Applications; Wiley-VCH: Weinheim, Germany, 2001. [Google Scholar]
- Fréchet, J.M.J.; Tomalia, D.A. (Eds.) Dendrimers and Other Dendritic Polymers; John Wiley & Sons: Chichester, UK, 2001. [Google Scholar]
- Vögtle, F.; Richardt, G.; Werner, N. Dendrimer Chemistry: Concepts, Syntheses, Properties, Applications; Wiley-VCH: Weinheim, Germany, 2009. [Google Scholar]
- Caminade, A.-M.; Turrin, C.-O.; Laurent, R.; Ouali, A.; Delavaux-Nicot, B. (Eds.) Dendrimers: Towards Catalytic, Material and Biomedical Uses; John Wiley & Sons: Chichester, UK, 2011. [Google Scholar]
- Campagna, S.; Ceroni, P.; Puntoriero, F. (Eds.) Designing Dendrimers; John Wiley & Sons: Hoboken, NJ, USA, 2012. [Google Scholar]
- Caminade, A.-M.; Turrin, C.-O.; Majoral, J.-P. (Eds.) Phosphorous Dendrimers in Biology and Nanomedicine: Syntheses, Characterization, and Properties; Pan Stanford Publishing: Singapore, 2018. [Google Scholar]
- Majoral, J.-P.; Caminade, A.-M. Dendrimers containing heteroatoms (Si, P, B, Ge, or Bi). Chem. Rev. 1999, 99, 845–880. [Google Scholar] [CrossRef] [PubMed]
- Majoral, J.-P.; Caminade, A.-M. Nanomaterials based on phosphorus dendrimers. Acc. Chem. Res. 2004, 37, 341–348. [Google Scholar]
- Caminade, A.-M.; Servin, P.; Laurent, R.; Majoral, J.-P. Dendrimeric phosphines in asymmetric catalysis. Chem. Soc. Rev. 2008, 37, 56–67. [Google Scholar] [CrossRef]
- Caminade, A.-M.; Majoral, J.-P. Dendrimers and nanotubes: A fruitful association. Chem. Soc. Rev. 2010, 39, 2034–2047. [Google Scholar] [CrossRef]
- Caminade, A.-M.; Ouali, A.; Keller, M.; Majoral, J.-P. Organocatalysis with dendrimers. Chem. Soc. Rev. 2012, 41, 4113–4125. [Google Scholar] [CrossRef]
- Mignani, S.; El Kazzouli, S.; Bousmini, M.M.; Majoral, J.-P. Dendrimer Space Exploration: An Assessment of Dendrimers/Dendritic Scaffolding as Inhibitors of Protein–Protein Interactions, a Potential New Area of Pharmaceutical Development. Chem. Rev. 2014, 114, 1327–1342. [Google Scholar] [CrossRef]
- Caminade, A.-M.; Ouali, A.; Laurent, R.; Turrin, C.-O.; Majoral, J.-P. The dendritic effect illustrated with phosphorus dendrimers. Chem. Soc. Rev. 2015, 44, 3890–3899. [Google Scholar] [CrossRef]
- Mignani, S.; Rodrigues, J.; Tomas, H.; Zablocka, M.; Shi, X.; Caminade, A.-M.; Majoral, J.-P. Dendrimers in combination with natural products and analogues as anti-cancer agents. Chem. Soc. Rev. 2018, 47, 514–532. [Google Scholar] [CrossRef]
- Nierengarten, I.; Nierengarten, J.-F. The impact of the copper-catalyzed alkyne-azide 1,3-dipolar cycloaddition in fullerene chemistry. Chem. Rec. 2015, 15, 31–51. [Google Scholar] [CrossRef]
- Nierengarten, I.; Nierengarten, J.-F. Fullerene Sugar Balls: A New Class of Biologically Active Fullerene Derivatives. Chem. Asian J. 2014, 9, 1436–1444. [Google Scholar] [CrossRef]
- Ortiz Mellet, C.; Nierengarten, J.-F.; García Fernández, J.M. Multivalency as an action principle in multimodal lectin recognition and glycosidase inhibition: A paradigm shift driven by carbon-based glyconanomaterials. J. Mater. Chem. B 2017, 5, 6428–6436. [Google Scholar] [CrossRef]
- Nierengarten, J.-F. Fullerene hexa-adduct scaffolding for the construction of giant molecules. Chem. Commun. 2017, 53, 11855–11868. [Google Scholar] [CrossRef] [PubMed]
- Gao, Y.; Eguchi, A.; Kakehi, K.; Lee, Y.C. Efficient Preparation of Glycoclusters from Silsesquioxanes. Org. Lett. 2004, 6, 3457–3460. [Google Scholar] [CrossRef] [PubMed]
- Ge, Z.; Wang, D.; Zhou, Y.; Liu, H.; Liu, S. Synthesis of Organic/Inorganic Hybrid Quatrefoil-Shaped Star-Cyclic Polymer Containing a Polyhedral Oligomeric Silsesquioxane Core. Macromolecules 2009, 42, 2903–2910. [Google Scholar] [CrossRef]
- Trastoy, B.; Pérez-Ojeda, M.E.; Sastre, R.; Chiara, J.L. Octakis(3-azidopropyl)octasilsesquioxane: A Versatile Nanobuilding Block for the Efficient Preparation of Highly Functionalized Cube-Octameric Polyhedral Oligosilsesquioxane Frameworks Through Click Assembly. Chem. Eur. J. 2010, 16, 3833–3841. [Google Scholar] [PubMed]
- Ryu, E.-H.; Zhao, Y. Efficient Synthesis of Water-Soluble Calixarenes Using Click Chemistry. Org. Lett. 2005, 7, 1035–1038. [Google Scholar]
- Bew, S.P.; Brimage, R.A.; L’Hermite, N.; Sharma, S.V. Upper Rim Appended Hybrid Calixarenes via Click Chemistry. Org. Lett. 2007, 9, 3713–3716. [Google Scholar] [CrossRef]
- Morales-Sanfrutos, J.; Ortega-Muñoz, M.; Lopez-Jaramillo, J.; Hernandez-Mateo, F.; Santoyo-Gonzalez, F. Synthesis of Calixarene-Based Cavitands and Nanotubes by Click Chemistry. J. Org. Chem. 2008, 73, 7768–7771. [Google Scholar]
- Cecioni, S.; Faure, S.; Darbost, U.; Bonnamour, I.; Parrot-Lopez, H.; Roy, O.; Taillefumier, C.; Wimmerová, M.; Praly, J.-P.; Imberty, A.; et al. Selectivity among Two Lectins: Probing the Effect of Topology, Multivalency and Flexibility of “Clicked” Multivalent Glycoclusters. Chem. Eur. J. 2011, 17, 2146–2159. [Google Scholar]
- Iehl, J.; Pereira de Freitas, R.; Delavaux-Nicot, B.; Nierengarten, J.-F. Click chemistry for the efficient preparation of functionalized [60]fullerene hexakis-adducts. Chem. Commun. 2008, 44, 2450–2452. [Google Scholar]
- Iehl, J.; Nierengarten, J.-F. A Click–Click Approach for the Preparation of Functionalized [5:1]-Hexaadducts of C60. Chem. Eur. J. 2009, 15, 7306–7309. [Google Scholar] [CrossRef] [PubMed]
- Iehl, J.; Nierengarten, J.-F. Sequential copper catalyzed alkyne–azide and thiol–ene click reactions for the multiple functionalization of fullerene hexaadducts. Chem. Commun. 2010, 46, 4160–4162. [Google Scholar] [CrossRef] [PubMed]
- Pierrat, P.; Vanderheiden, S.; Muller, T.; Bräse, S. Functionalization of hexakis methanofullerene malonate crown-ethers: Promising octahedral building blocks for molecular networks. Chem. Commun. 2009, 1748–1750. [Google Scholar] [CrossRef] [PubMed]
- Pierrat, P.; Réthoré, C.; Muller, T.; Bräse, S. Di- and Dodeca-Mitsunobu Reactions on C60 Derivatives: Post-Functionalization of Fullerene Mono- and Hexakis-Adducts. Chem. Eur. J. 2009, 15, 11458–11460. [Google Scholar] [CrossRef] [PubMed]
- Sigwalt, D.; Caballero, R.; Holler, M.; Strub, J.-M.; Van Dorsselaer, A.; Nierengarten, J.-F. Ultra-Fast Dendritic Growth Based on the Grafting of Fullerene Hexa-Adduct Macromonomers onto a Fullerene Core. Eur. J. Org. Chem. 2016, 2882–2887. [Google Scholar] [CrossRef]
- Fortgang, P.; Maisonhaute, E.; Amatore, C.; Delavaux-Nicot, B.; Iehl, J.; Nierengarten, J.-F. Molecular Motion Inside an Adsorbed [5:1] Fullerene Hexaadduct Observed by Ultrafast Cyclic Voltammetry. Angew. Chem. Int. Ed. 2011, 50, 2364–2367. [Google Scholar] [CrossRef]
- Iehl, J.; Holler, M.; Nierengarten, J.-F.; Yoosaf, K.; Malicka, J.M.; Armaroli, N.; Strub, J.-M.; Van Dorsselaer, A.; Delavaux-Nicot, B. Photo-induced Energy Transfer in a Th-Symmetrical Hexakis-adduct of C60 Substituted with π-Conjugated Oligomers. Aust. J. Chem. 2011, 64, 153–159. [Google Scholar] [CrossRef]
- Yoosaf, K.; Iehl, J.; Nierengarten, I.; Hmadeh, M.; Albrecht-Gary, A.-M.; Nierengarten, J.-F.; Armaroli, N. A Supramolecular Photosynthetic Model Made of a Multiporphyrinic Array Constructed around a C60 Core and a C60-Imidazole Derivative. Chem. Eur. J. 2014, 20, 223–231. [Google Scholar] [CrossRef]
- Gavat, O.; Trinh, T.M.N.; Moulin, E.; Ellis, T.; Maaloum, M.; Buhler, E.; Fleith, G.; Nierengarten, J.-F.; Giuseppone, N. 3D supramolecular self-assembly of [60]fullerene hexaadducts decorated with triarylamine molecules. Chem. Commun. 2018, 54, 7657–7660. [Google Scholar] [CrossRef]
- Iehl, J.; Nierengarten, J.-F.; Harriman, A.; Bura, T.; Ziessel, R. Artificial Light-Harvesting Arrays: Electronic Energy Migration and Trapping on a Sphere and between Spheres. J. Am. Chem. Soc. 2012, 134, 988–998. [Google Scholar] [CrossRef]
- Iehl, J.; Nguyen, T.L.A.; Frein, S.; Hahn, U.; Barberá, J.; Nierengarten, J.-F.; Deschenaux, R. Designing liquid-crystalline dendronised hexa-adducts of [60]fullerene via click chemistry. Liq. Cryst. 2017, 44, 1852–1860. [Google Scholar] [CrossRef]
- Guerra, S.; Iehl, J.; Holler, M.; Peterca, M.; Wilson, D.A.; Partridge, B.E.; Zhang, S.; Deschenaux, R.; Nierengarten, J.-F.; Percec, V. Self-organisation of dodeca-dendronized fullerene into supramolecular discs and helical columns containing a nanowire-like core. Chem. Sci. 2015, 6, 3393–3401. [Google Scholar] [CrossRef] [PubMed]
- Nierengarten, J.-F.; Iehl, J.; Oerthel, V.; Holler, M.; Illescas, B.M.; Muñoz, A.; Martín, N.; Rojo, J.; Sánchez-Navarro, M.; Cecioni, S.; et al. Fullerene sugar balls. Chem. Commun. 2010, 46, 3860–3862. [Google Scholar] [CrossRef]
- Durka, M.; Buffet, K.; Iehl, J.; Holler, M.; Nierengarten, J.-F.; Taganna, J.; Bouckaert, J.; Vincent, S.P. The functional valency of dodecamannosylated fullerenes with Escherichia coli FimH—towards novel bacterial antiadhesives. Chem. Commun. 2011, 47, 1321–1323. [Google Scholar] [CrossRef] [PubMed]
- Cecioni, S.; Oerthel, V.; Iehl, J.; Holler, M.; Goyard, D.; Praly, J.-P.; Imberty, A.; Nierengarten, J.-F.; Vidal, S. Synthesis of Dodecavalent Fullerene-Based Glycoclusters and Evaluation of Their Binding Properties towards a Bacterial Lectin. Chem. Eur. J. 2011, 17, 3252–3261. [Google Scholar] [CrossRef] [PubMed]
- Compain, P.; Decroocq, C.; Iehl, J.; Holler, M.; Hazelard, D.; Mena Barragán, T.; Ortiz Mellet, C.; Nierengarten, J.-F. Glycosidase Inhibition with Fullerene Iminosugar Balls: A Dramatic Multivalent Effect. Angew. Chem. Int. Ed. 2010, 49, 5753–5756. [Google Scholar] [CrossRef] [PubMed]
- Sánchez-Navarro, M.; Muñoz, A.; Illescas, B.M.; Rojo, J.; Martín, N. [60]Fullerene as Multivalent Scaffold: Efficient Molecular Recognition of Globular Glycofullerenes by Concanavalin-A. Chem. Eur. J. 2011, 17, 766–769. [Google Scholar] [CrossRef] [PubMed]
- Buffet, K.; Gillon, E.; Holler, M.; Nierengarten, J.-F.; Imberty, A.; Vincent, S.P. Fucofullerenes as tight ligands of RSL and LecB, two bacterial lectins. Org. Biomol. Chem. 2015, 13, 6482–6492. [Google Scholar] [CrossRef]
- Trinh, T.M.N.; Holler, M.; Schneider, J.P.; García Moreno, M.I.; García Fernández, J.M.; Bodlenner, A.; Compain, P.; Ortiz Mellet, C.; Nierengarten, J.-F. Construction of giant glycosidase inhibitors from iminosugar-substituted fullerene macromonomers. J. Mater. Chem. B 2017, 5, 6546–6556. [Google Scholar] [CrossRef]
- Luczkowiak, J.; Muñoz, A.; Sánchez-Navarro, M.; Ribeiro-Viana, R.; Ginieis, A.; Illescas, B.M.; Martín, N.; Delgado, R.; Rojo, J. Glycofullerenes Inhibit Viral Infection. Biomacromol. 2013, 14, 431–437. [Google Scholar] [CrossRef]
- Muñoz, A.; Sigwalt, D.; Illescas, B.M.; Luczkowiak, J.; Rodríguez-Peréz, L.; Nierengarten, I.; Holler, M.; Remy, J.-S.; Buffet, K.; Vincent, S.P.; et al. Synthesis of giant globular multivalent glycofullerenes as potent inhibitors in a model of Ebola virus infection. Nat. Chem. 2016, 8, 50–57. [Google Scholar] [CrossRef]
- Sigwalt, D.; Holler, M.; Iehl, J.; Nierengarten, J.-F.; Nothisen, M.; Morin, E.; Remy, J.-S. Gene delivery with polycationic fullerene hexakis-adducts. Chem. Commun. 2011, 47, 4640–4642. [Google Scholar] [CrossRef] [PubMed][Green Version]
- Ogoshi, T.; Kanai, S.; Fujinami, S.; Yamagishi, T.-a.; Nakamoto, Y. para-Bridged Symmetrical Pillar[5]arenes: Their Lewis Acid Catalyzed Synthesis and Host–Guest Property. J. Am. Chem. Soc. 2008, 130, 5022–5023. [Google Scholar] [CrossRef] [PubMed]
- For a review on pillar[n]arenes, see: Cragg, P.J.; Sharma, K. Pillar[5]arenes: Fascinating cyclophanes with a bright future. Chem. Soc. Rev. 2012, 41, 597–607. [Google Scholar] [CrossRef]
- For a review on pillar[n]arenes, see: Strutt, N.L.; Zhang, H.; Schneebeli, S.T.; Stoddart, J.F. Functionalizing Pillar[n]arenes. Acc. Chem. Res. 2014, 47, 2631–2642. [Google Scholar] [CrossRef]
- For a review on pillar[n]arenes, see: Ogoshi, T.; Yamagishi, T.-a.; Nakamoto, Y. Pillar-Shaped Macrocyclic Hosts Pillar[n]arenes: New Key Players for Supramolecular Chemistry. Chem. Rev. 2016, 116, 7937–8002. [Google Scholar] [CrossRef]
- Ogoshi, T.; Aoki, T.; Kitajima, K.; Fujinami, S.; Yamagishi, T.-a.; Nakamoto, Y. Facile, Rapid, and High-Yield Synthesis of Pillar[5]arene from Commercially Available Reagents and Its X-ray Crystal Structure. J. Org. Chem. 2011, 76, 328–331. [Google Scholar] [CrossRef]
- Boinski, T.; Szumna, A. A facile, moisture-insensitive method for synthesis of pillar[5]arenes—the solvent templation by halogen bonds. Tetrahedron 2012, 68, 9419–9422. [Google Scholar] [CrossRef]
- Tao, H.Q.; Cao, D.R.; Liu, L.Z.; Kou, Y.H.; Wang, L.Y.; Meier, H. Synthesis and host-guest properties of pillar[6]arenes. Sci. China Chem. 2012, 55, 223–228. [Google Scholar] [CrossRef]
- Holler, M.; Allenbach, N.; Sonet, J.; Nierengarten, J.-F. The high yielding synthesis of pillar[5]arenes under Friedel–Crafts conditions explained by dynamic covalent bond formation. Chem. Commun. 2012, 48, 2576–2578. [Google Scholar] [CrossRef] [PubMed]
- Kolb, H.C.; Finn, M.G.; Sharpless, K.B. Click Chemistry: Diverse Chemical Function from a Few Good Reactions. Angew. Chem. Int. Ed. 2001, 40, 2004–2021. [Google Scholar] [CrossRef]
- For a review, see: Kakuta, T.; Yamagashi, T.; Ogoshi, T. Supramolecular chemistry of pillar[n]arenes functionalised by a copper(I)-catalysed alkyne–azide cycloaddition “click” reaction. Chem. Commun. 2017, 53, 5250–5266. [Google Scholar] [CrossRef]
- Zhang, H.; Strutt, N.L.; Stoll, R.S.; Li, H.; Zhu, Z.; Stoddart, J.F. Dynamic clicked surfaces based on functionalised pillar[5]arene. Chem. Commun. 2011, 47, 11420–11422. [Google Scholar] [CrossRef]
- Ogoshi, T.; Shiga, R.; Hashizume, M.; Yamagishi, T.-A. “Clickable” pillar[5]arenes. Chem. Commun. 2011, 47, 6927–6929. [Google Scholar] [CrossRef]
- Yu, G.; Zhang, Z.; He, J.; Abliz, Z.; Huang, F. Cavity-Extended Pillar[5]arenes: Syntheses and Host–Guest Complexation with Paraquat and Bispyridinium Derivatives. Eur. J. Org. Chem. 2012, 5902–5907. [Google Scholar] [CrossRef]
- Trinh, T.M.N.; Nierengarten, I.; Ben Aziza, H.; Meichsner, E.; Holler, M.; Chessé, M.; Abidi, R.; Bijani, C.; Coppel, Y.; Maisonhaute, E.; et al. Coordination-Driven Folding in Multi-ZnII-Porphyrin Arrays Constructed on a Pillar[5]arene Scaffold. Chem. Eur. J. 2017, 23, 11011–11021. [Google Scholar] [CrossRef]
- Nierengarten, J.-F. Weak Intramolecular Interactions to Stabilize Supramolecular Fullerene-Porphyrin Conjugates and to Control the Conformation of Multiporphyrinic Arrays. Eur. J. Inorg. Chem. 2019, 4865–4878. [Google Scholar] [CrossRef]
- Steffenhagen, M.; Latus, A.; Trinh, T.M.N.; Nierengarten, I.; Lucas, I.T.; Joiret, S.; Landoulsi, J.; Delavaux-Nicot, B.; Nierengarten, J.-F.; Maisonhaute, E. A Rotaxane Scaffold Bearing Multiple Redox Centers: Synthesis, Surface Modification and Electrochemical Properties. Chem. Eur. J. 2018, 24, 1701–1708. [Google Scholar] [CrossRef] [PubMed]
- Delavaux-Nicot, B.; Ben Aziza, H.; Nierengarten, I.; Trinh, T.M.N.; Meichsner, E.; Chessé, M.; Holler, M.; Abidi, R.; Maisonhaute, E.; Nierengarten, J.-F. A Rotaxane Scaffold for the Construction of Multiporphyrinic Light-Harvesting Devices. Chem. Eur. J. 2018, 24, 133–140. [Google Scholar] [CrossRef] [PubMed]
- Nierengarten, I.; Nothisen, M.; Sigwalt, D.; Biellmann, T.; Holler, M.; Remy, J.-S.; Nierengarten, J.-F. Polycationic Pillar[5]arene Derivatives: Interaction with DNA and Biological Applications. Chem. Eur. J. 2013, 19, 17552–17558. [Google Scholar] [CrossRef]
- For another example of pillar[5]arene-based gene vector, see: Chang, Y.; Yang, K.; Wei, P.; Huang, S.; Pei, Y.; Zhao, W.; Pei, Z. Cationic Vesicles Based on Amphiphilic Pillar[5]arene Capped with Ferrocenium: A Redox-Responsive System for Drug/siRNA Co-Delivery. Angew. Chem. Int. Ed. 2014, 53, 13126–13130. [Google Scholar] [CrossRef]
- For another example of pillar[5]arene-based gene vector, see: Yang, K.; Chang, Y.; Wen, J.; Lu, Y.; Pei, Y.; Cao, S.; Wang, F.; Pei, Z. Supramolecular Vesicles Based on Complex of Trp-Modified Pillar[5]arene and Galactose Derivative for Synergistic and Targeted Drug Delivery. Chem. Mater. 2016, 28, 1990–1993. [Google Scholar] [CrossRef]
- Guillot-Nieckowski, M.; Eisler, S.; Diederich, F. Dendritic vectors for gene transfection. New, J. Chem. 2007, 31, 1111–1127. [Google Scholar] [CrossRef]
- For the first examples of glycopillar[5]arene derivatives, see: Nierengarten, I.; Buffet, K.; Holler, M.; Vincent, S.P.; Nierengarten, J.-F. A mannosylated pillar[5]arene derivative: Chiral information transfer and antiadhesive properties against uropathogenic bacteria. Tetrahedron Lett. 2013, 54, 2398–2402. [Google Scholar] [CrossRef]
- Yu, G.; Ma, Y.; Han, C.; Yao, Y.; Tang, G.; Mao, Z.; Gao, C.; Huang, F. A Sugar-Functionalized Amphiphilic Pillar[5]arene: Synthesis, Self-Assembly in Water, and Application in Bacterial Cell Agglutination. J. Am. Chem. Soc. 2013, 135, 10310–10313. [Google Scholar] [CrossRef]
- Galanos, N.; Gillon, E.; Imberty, A.; Matthews, S.E.; Vidal, S. Pentavalent pillar[5]arene-based glycoclusters and their multivalent binding to pathogenic bacterial lectins. Org. Biomol. Chem. 2016, 14, 3476–3481. [Google Scholar] [CrossRef] [PubMed]
- Li, H.; Chen, Q.; Schönbeck, C.; Han, B.-H. Sugar-functionalized water-soluble pillar[5]arene and its host–guest interaction with fullerene. RSC Adv. 2015, 5, 19041–19047. [Google Scholar] [CrossRef]
- Buffet, K.; Nierengarten, I.; Galanos, N.; Gillon, E.; Holler, M.; Imberty, A.; Matthews, S.E.; Vidal, S.; Vincent, S.P.; Nierengarten, J.-F. Pillar[5]arene-Based Glycoclusters: Synthesis and Multivalent Binding to Pathogenic Bacterial Lectins. Chem. Eur. J. 2016, 22, 2955–2963. [Google Scholar] [CrossRef] [PubMed]
- Bernardi, A.; Jiménez-Barbero, J.; Casnati, A.; De Castro, C.; Darbre, T.; Fieschi, F.; Finne, J.; Funken, H.; Jaeger, K.-E.; Lahmann, M.; et al. Multivalent glycoconjugates as anti-pathogenic agents. Chem. Soc. Rev. 2013, 42, 4709–4727. [Google Scholar] [CrossRef] [PubMed]
- Chabre, Y.M.; Roy, R. Chapter 6—Design and Creativity in Synthesis of Multivalent Neoglycoconjugates. Adv. Carbohydr. Chem. Biochem. 2010, 63, 165–393. [Google Scholar]
- Branson, T.R.; Turnbull, W.B. Bacterial toxin inhibitors based on multivalent scaffolds. Chem. Soc. Rev. 2013, 42, 4613–4622. [Google Scholar] [CrossRef]
- Jiménez Blanco, J.L.; Ortiz Mellet, C.; García Fernández, J.M. Multivalency in heterogeneous glycoenvironments: Hetero-glycoclusters, -glycopolymers and -glycoassemblies. Chem. Soc. Rev. 2013, 42, 4518–4531. [Google Scholar] [CrossRef]
- Wittman, V.; Pieters, R.J. Bridging lectin binding sites by multivalent carbohydrates. Chem. Soc. Rev. 2013, 42, 4492–4503. [Google Scholar] [CrossRef]
- Sabin, C.; Mitchell, E.P.; Pokorná, M.; Gautier, C.; Utille, J.-P.; Wimmerová, M.; Imberty, A. Binding of different monosaccharides by lectin PA-IIL from Pseudomonas aeruginosa: Thermodynamics data correlated with X-ray structures. FEBS Lett. 2006, 580, 982–987. [Google Scholar] [CrossRef]
- Audfray, A.; Claudinon, J.; Abounit, S.; Ruvoën-Clouet, N.; Larson, G.; Smith, D.F.; Wimmerová, M.; Le Pendu, J.; Römer, W.; Varrot, A.; et al. Fucose-binding Lectin from Opportunistic Pathogen Burkholderia ambifaria Binds to Both Plant and Human Oligosaccharidic Epitopes. J. Biol. Chem. 2012, 287, 4335–4347. [Google Scholar] [CrossRef] [PubMed]
- Nierengarten, I.; Guerra, S.; Holler, M.; Nierengarten, J.-F.; Deschenaux, R. Building liquid crystals from the 5-fold symmetrical pillar[5]arene core. Chem. Commun. 2012, 48, 8072–8074. [Google Scholar] [CrossRef] [PubMed]
- Nierengarten, I.; Guerra, S.; Holler, M.; Karmazin-Brelot, L.; Barberá, J.; Deschenaux, R.; Nierengarten, J.-F. Macrocyclic Effects in the Mesomorphic Properties of Liquid-Crystalline Pillar[5]- and Pillar[6]arenes. Eur. J. Org. Chem. 2013, 3675–3684. [Google Scholar] [CrossRef]
- Pan, S.; Ni, M.; Mu, B.; Li, Q.; Hu, X.-Y.; Lin, C.; Chen, D.; Wang, L. Well-Defined Pillararene-Based Azobenzene Liquid Crystalline Photoresponsive Materials and Their Thin Films with Photomodulated Surfaces. Adv. Funct. Mater. 2015, 25, 3571–3580. [Google Scholar] [CrossRef]
- Rosen, B.M.; Wilson, C.J.; Wilson, D.A.; Peterca, M.; Imam, M.R.; Percec, V. Dendron-Mediated Self-Assembly, Disassembly, and Self-Organization of Complex Systems. Chem. Rev. 2009, 109, 6275–6540. [Google Scholar] [CrossRef] [PubMed]
- Nierengarten, I.; Guerra, S.; Ben Aziza, H.; Holler, M.; Abidi, R.; Barberá, J.; Deschenaux, R.; Nierengarten, J.-F. Piling Up Pillar[5]arenes To Self-Assemble Nanotubes. Chem. Eur. J. 2016, 22, 6185–6189. [Google Scholar] [CrossRef]
- For another example of liquid crystalline pillar[5]arene derivative, see: Concellón, A.; Romero, P.; Marcos, M.; Barberá, J.; Sánchez-Somolinos, C.; Mizobata, M.; Ogoshi, T.; Serano, J.L.; del Barrio, J. Coumarin-Containing Pillar[5]arenes as Multifunctional Liquid Crystal Macrocycles. J. Org. Chem. 2020, 85, 8944–8951. [Google Scholar] [CrossRef]
- Ogoshi, T.; Yamagishi, T. Pillar[5]- and pillar[6]arene-based supramolecular assemblies built by using their cavity-size-dependent host–guest interactions. Chem. Commun. 2014, 50, 4776–4787. [Google Scholar] [CrossRef] [PubMed]
- Li, Q.; Han, K.; Li, J.; Jia, X.; Li, C. Synthesis of dendrimer-functionalized pillar[5]arenes and their self-assembly to dimeric and trimeric complexes. Tetrahedron Lett. 2015, 56, 3826–3829. [Google Scholar] [CrossRef]
- Wang, W.; Chen, L.-J.; Wang, X.-Q.; Sun, B.; Li, X.; Zhang, Y.; Shi, J.; Yu, Y.; Zhang, L.; Yang, H.-B. Organometallic rotaxane dendrimers with fourth-generation mechanically interlocked branches. Proc. Natl. Acad. Sci. USA 2015, 112, 5597–5601. [Google Scholar] [CrossRef] [PubMed]
- Xu, L.; Yang, H.-B. Our Expedition in Linear Neutral Platinum-Acetylide Complexes: The Preparation of Micro/nanostructure Materials, Complicated Topologies, and Dye-Sensitized Solar Cells. Chem. Rec. 2016, 16, 1274–1297. [Google Scholar]
- Wang, Y.-X.; Zhou, Q.-F.; Chen, L.-J.; Xu, L.; Wang, C.-H.; Li, X.; Yang, H.-B. Facile construction of organometallic rotaxane-terminated dendrimers using neutral platinum-acetylides as the main scaffold. Chem. Commun. 2018, 54, 2224–2227. [Google Scholar] [CrossRef]
- Wang, X.-Q.; Wang, W.; Li, W.-J.; Chen, L.-J.; Yao, R.; Yin, G.-Q.; Wang, Y.-X.; Zhang, Y.; Huang, J.H.; Tan, H.; et al. Dual stimuli-responsive rotaxane-branched dendrimers with reversible dimension modulation. Nat. Commun. 2018, 9, 3190. [Google Scholar] [CrossRef]
- Wang, X.-Q.; Li, W.-J.; Wang, W.; Wen, J.; Zhang, Y.; Tan, H.; Yang, H.-B. Construction of Type III-C Rotaxane-Branched Dendrimers and Their Anion-Induced Dimension Modulation Feature. J. Am. Chem. Soc. 2019, 141, 13923–13930. [Google Scholar] [CrossRef]
- Li, W.-J.; Wang, W.; Wang, X.-Q.; Li, M.; Ke, Y.; Yao, R.; Wen, J.; Yin, G.-Q.; Jiang, B.; Li, X.; et al. Daisy Chain Dendrimers: Integrated Mechanically Interlocked Molecules with Stimuli-Induced Dimension Modulation Feature. J. Am. Chem. Soc. 2020, 142, 8473–8482. [Google Scholar] [CrossRef]
- Li, W.-J.; Hu, Z.; Xu, L.; Wang, X.-Q.; Wang, W.; Yin, G.-Q.; Zhang, D.-Y.; Sun, Z.; Li, X.; Sun, H.; et al. Rotaxane-Branched Dendrimers with Enhanced Photosensitization. J. Am. Chem. Soc. 2020, 142, 16748–16756. [Google Scholar] [CrossRef]
- Kwan, C.-S.; Leung, K.C.-F. Development and advancement of rotaxane dendrimers as switchable macromolecular machines. Mater. Chem. Front. 2020, 4, 2825–2844. [Google Scholar] [CrossRef]









| Ligand | Valency | KD (nM) | β 1 |
|---|---|---|---|
| LecB from Pseudomonas aeruginosa 2 | |||
| 53 | 1 | 430 | 1 |
| 6 | 10 | 990 | 0.4 |
| 7 | 10 | 220 | 1.9 |
| 8 | 10 | 280 | 1.5 |
| 9 | 20 | 150 | 2.9 |
| 10 | 20 | 180 | 2.4 |
| BambL from Burkholderia ambifaria 2 | |||
| 54 | 1 | 960 | 1 |
| 6 | 10 | 60 | 16 |
| 7 | 10 | 19 | 50 |
| 8 | 10 | 57 | 17 |
| 9 | 20 | 17 | 56 |
| 10 | 20 | 27 | 36 |
Publisher’s Note: MDPI stays neutral with regard to jurisdictional claims in published maps and institutional affiliations. |
© 2021 by the authors. Licensee MDPI, Basel, Switzerland. This article is an open access article distributed under the terms and conditions of the Creative Commons Attribution (CC BY) license (https://creativecommons.org/licenses/by/4.0/).
Share and Cite
Nierengarten, I.; Holler, M.; Rémy, M.; Hahn, U.; Billot, A.; Deschenaux, R.; Nierengarten, J.-F. Grafting Dendrons onto Pillar[5]Arene Scaffolds. Molecules 2021, 26, 2358. https://doi.org/10.3390/molecules26082358
Nierengarten I, Holler M, Rémy M, Hahn U, Billot A, Deschenaux R, Nierengarten J-F. Grafting Dendrons onto Pillar[5]Arene Scaffolds. Molecules. 2021; 26(8):2358. https://doi.org/10.3390/molecules26082358
Chicago/Turabian StyleNierengarten, Iwona, Michel Holler, Marine Rémy, Uwe Hahn, Aurélien Billot, Robert Deschenaux, and Jean-François Nierengarten. 2021. "Grafting Dendrons onto Pillar[5]Arene Scaffolds" Molecules 26, no. 8: 2358. https://doi.org/10.3390/molecules26082358
APA StyleNierengarten, I., Holler, M., Rémy, M., Hahn, U., Billot, A., Deschenaux, R., & Nierengarten, J.-F. (2021). Grafting Dendrons onto Pillar[5]Arene Scaffolds. Molecules, 26(8), 2358. https://doi.org/10.3390/molecules26082358

