Computational Study on the Mechanism of the Photouncaging Reaction of Vemurafenib: Toward an Enhanced Photoprotection Approach for Photosensitive Drugs
Abstract
1. Introduction
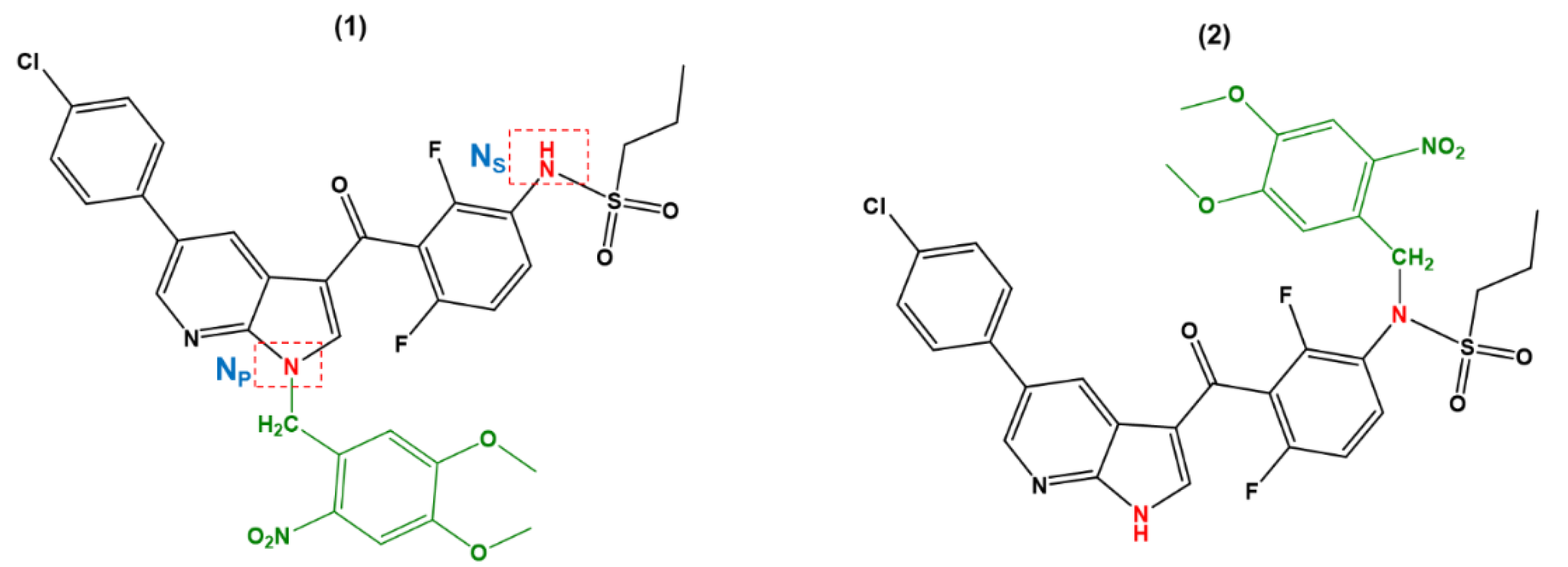
2. Results and Discussion
3. Computational Methods
4. Conclusions
Funding
Institutional Review Board Statement
Informed Consent Statement
Data Availability Statement
Acknowledgments
Conflicts of Interest
Sample Availability
References
- Caron, G.; Ermondi, G. Updating molecular properties during early drug discovery. Drug Discov. Today 2017, 22, 835–840. [Google Scholar] [CrossRef] [PubMed]
- Caron, G.; Kihlberg, J.; Ermondi, G. Intramolecular hydrogen bonding: An opportunity for improved design in medicinal chemistry. Med. Res. Rev. 2019, 39, 1707–1729. [Google Scholar] [CrossRef] [PubMed]
- Dawoud Bani-Yaseen, A. Spectrofluorimetric study on the interaction between antimicrobial drug sulfamethazine and bovine serum albumin. J. Lumin. 2011, 131, 1042–1047. [Google Scholar] [CrossRef]
- Varma, M.V.; Lai, Y.; El-Kattan, A.F. Molecular properties associated with transporter-mediated drug disposition. Adv. Drug Deliv. Rev. 2017, 116, 92–99. [Google Scholar] [CrossRef] [PubMed]
- Bani-Yaseen, A.D. Synchronous spectrofluorimetric study of the supramolecular host-guest interaction of β-cyclodextrin with propranolol: A comparative study. Spectrochim. Acta. A Mol. Biomol. Spectrosc. 2015, 148, 93–98. [Google Scholar] [CrossRef]
- Tarcsay, Á.; Keserű, G.M. Contributions of Molecular Properties to Drug Promiscuity. J. Med. Chem. 2013, 56, 1789–1795. [Google Scholar] [CrossRef]
- Bani-Yaseen, A.D. Computational molecular perspectives on the interaction of propranolol with β-cyclodextrin in solution: Towards the drug-receptor mechanism of interaction. J. Mol. Liq. 2017, 227, 280–290. [Google Scholar] [CrossRef]
- Bani-Yaseen, A.D.; Al-Balawi, M. The solvatochromic, spectral, and geometrical properties of nifenazone: A DFT/TD-DFT and experimental study. Phys. Chem. Chem. Phys. 2014, 16, 15519–15526. [Google Scholar] [CrossRef]
- González, M.; Ellahioui, Y.; Álvarez, R.; Gallego-Yerga, L.; Caballero, E.; Vicente-Blázquez, A.; Ramudo, L.; Marín Folgado, M.; Sanz, C.; Medarde, M.; et al. The Masked Polar Group Incorporation (MPGI) Strategy in Drug Design: Effects of Nitrogen Substitutions on Combretastatin and Isocombretastatin Tubulin Inhibitors. Molecules 2019, 24, 4319. [Google Scholar] [CrossRef]
- Bani-Yaseen, A.D.; Hammad, F.; Ghanem, B.S.; Mohammad, E.G. On the Photophysicochemical Properties of Selected Fluoroquinolones: Solvatochromic and Fluorescence Spectroscopy Study. J. Fluoresc. 2013, 23, 93–101. [Google Scholar] [CrossRef]
- Das, S.S.; Alkahtani, S.; Bharadwaj, P.; Ansari, M.T.; ALKahtani, M.D.F.; Pang, Z.; Hasnain, M.S.; Nayak, A.K.; Aminabhavi, T.M. Molecular insights and novel approaches for targeting tumor metastasis. Int. J. Pharm. 2020, 585, 119556. [Google Scholar] [CrossRef] [PubMed]
- Steyn, S.J.; Varma, M.V.S. Cytochrome-P450-Mediated Drug – Drug Interactions of Substrate Drugs: Assessing Clinical Risk Based on Molecular Properties and an Extended Clearance Classification System. Mol. Pharm. 2020, 17, 3024–3032. [Google Scholar] [CrossRef] [PubMed]
- Bani-Yaseen, A.D. Solvatochromic and Fluorescence Behavior of Sulfisoxazole. J. Fluoresc. 2011, 21, 1061–1067. [Google Scholar] [CrossRef] [PubMed]
- Su, K.A.; Habel, L.A.; Achacoso, N.S.; Friedman, G.D.; Asgari, M.M. Photosensitizing antihypertensive drug use and risk of cutaneous squamous cell carcinoma. Br. J. Dermatol. 2018, 179, 1088–1094. [Google Scholar] [CrossRef]
- Monteiro, A.F.; Rato, M.; Martins, C. Drug-induced photosensitivity: Photoallergic and phototoxic reactions. Clin. Dermatol. 2016, 34, 571–581. [Google Scholar] [CrossRef]
- Peukert, S.; Nunez, J.; He, F.; Dai, M.; Yusuff, N.; DiPesa, A.; Miller-Moslin, K.; Karki, R.; Lagu, B.; Harwell, C.; et al. A method for estimating the risk of drug-induced phototoxicity and its application to smoothened inhibitors. Medchemcomm 2011, 2, 973. [Google Scholar] [CrossRef]
- Kim, W.B.; Shelley, A.J.; Novice, K.; Joo, J.; Lim, H.W.; Glassman, S.J. Drug-induced phototoxicity: A systematic review. J. Am. Acad. Dermatol. 2018, 79, 1069–1075. [Google Scholar] [CrossRef]
- Khandpur, S.; Porter, R.M.; Boulton, S.J.; Anstey, A. Drug-induced photosensitivity: New insights into pathomechanisms and clinical variation through basic and applied science. Br. J. Dermatol. 2017, 176, 902–909. [Google Scholar] [CrossRef]
- Wu, G.; Zhao, T.; Kang, D.; Zhang, J.; Song, Y.; Namasivayam, V.; Kongsted, J.; Pannecouque, C.; De Clercq, E.; Poongavanam, V.; et al. Overview of Recent Strategic Advances in Medicinal Chemistry. J. Med. Chem. 2019, 62, 9375–9414. [Google Scholar] [CrossRef]
- Horbert, R.; Pinchuk, B.; Davies, P.; Alessi, D.; Peifer, C. Photoactivatable Prodrugs of Antimelanoma Agent Vemurafenib. ACS Chem. Biol. 2015, 10, 2099–2107. [Google Scholar] [CrossRef]
- Tamura, R.; Balabanova, A.; Frakes, S.A.; Bargmann, A.; Grimm, J.; Koch, T.H.; Yin, H. Photoactivatable Prodrug of Doxazolidine Targeting Exosomes. J. Med. Chem. 2019, 62, 1959–1970. [Google Scholar] [CrossRef] [PubMed]
- Zindler, M.; Pinchuk, B.; Renn, C.; Horbert, R.; Döbber, A.; Peifer, C. Design, Synthesis, and Characterization of a Photoactivatable Caged Prodrug of Imatinib. ChemMedChem 2015, 10, 1335–1338. [Google Scholar] [CrossRef] [PubMed]
- Döbber, A.; Phoa, A.F.; Abbassi, R.H.; Stringer, B.W.; Day, B.W.; Johns, T.G.; Abadleh, M.; Peifer, C.; Munoz, L. Development and Biological Evaluation of a Photoactivatable Small Molecule Microtubule-Targeting Agent. ACS Med. Chem. Lett. 2017, 8, 395–400. [Google Scholar] [CrossRef]
- Basa, P.N.; Antala, S.; Dempski, R.E.; Burdette, S.C. A Zinc(II) Photocage Based on a Decarboxylation Metal Ion Release Mechanism for Investigating Homeostasis and Biological Signaling. Angew. Chem. 2015, 127, 13219–13223. [Google Scholar] [CrossRef][Green Version]
- Klán, P.; Šolomek, T.; Bochet, C.G.; Blanc, A.; Givens, R.; Rubina, M.; Popik, V.; Kostikov, A.; Wirz, J. Photoremovable Protecting Groups in Chemistry and Biology: Reaction Mechanisms and Efficacy. Chem. Rev. 2013, 113, 119–191. [Google Scholar] [CrossRef] [PubMed]
- Pelliccioli, A.P.; Wirz, J. Photoremovable protecting groups: Reaction mechanisms and applications. Photochem. Photobiol. Sci. 2002, 1, 441–458. [Google Scholar] [CrossRef]
- Šolomek, T.; Wirz, J.; Klán, P. Searching for Improved Photoreleasing Abilities of Organic Molecules. Acc. Chem. Res. 2015, 48, 3064–3072. [Google Scholar] [CrossRef]
- Brugière, C.; Stefan, A.; Morice, C.; Cornet, E.; Moreau, A.; Allouche, S.; Verneuil, L. Vemurafenib skin phototoxicity is indirectly linked to ultraviolet A minimal erythema dose decrease. Br. J. Dermatol. 2014, 171, 1529–1532. [Google Scholar] [CrossRef]
- Woods, J.A.; Ferguson, J.S.; Kalra, S.; Degabriele, A.; Gardner, J.; Logan, P.; Ferguson, J. The phototoxicity of vemurafenib: An investigation of clinical monochromator phototesting and in vitro phototoxicity testing. J. Photochem. Photobiol. B Biol. 2015, 151, 233–238. [Google Scholar] [CrossRef]
- Sinha, R.; Larkin, J.; Gore, M.; Fearfield, L. Cutaneous toxicities associated with vemurafenib therapy in 107 patients with BRAF V600E mutation-positive metastatic melanoma, including recognition and management of rare presentations. Br. J. Dermatol. 2015, 173, 1024–1031. [Google Scholar] [CrossRef]
- Boudon, S.M.; Plappert-Helbig, U.; Odermatt, A.; Bauer, D. Characterization of Vemurafenib Phototoxicity in a Mouse Model. Toxicol. Sci. 2014, 137, 259–267. [Google Scholar] [CrossRef] [PubMed]
- Gelot, P.; Dutartre, H.; Khammari, A.; Boisrobert, A.; Schmitt, C.; Deybach, J.-C.; Nguyen, J.-M.; Seité, S.; Dréno, B. Vemurafenib: An unusual UVA-induced photosensitivity. Exp. Dermatol. 2013, 22, 297–298. [Google Scholar] [CrossRef] [PubMed]
- Boussemart, L.; Boivin, C.; Claveau, J.; Tao, Y.G.; Tomasic, G.; Routier, E.; Mateus, C.; Deutsch, E.; Robert, C. Vemurafenib and Radiosensitization. JAMA Dermatol. 2013, 149, 855. [Google Scholar] [CrossRef] [PubMed][Green Version]
- Il’ichev, Y.V.; Schwörer, M.A.; Wirz, J. Photochemical Reaction Mechanisms of 2-Nitrobenzyl Compounds: Methyl Ethers and Caged ATP. J. Am. Chem. Soc. 2004, 126, 4581–4595. [Google Scholar] [CrossRef]
- Rhee, H.; Lee, J.-S.; Lee, J.; Joo, C.; Han, H.; Cho, M. Photolytic Control and Infrared Probing of Amide I Mode in the Dipeptide Backbone-Caged with the 4,5-Dimethoxy-2-nitrobenzyl Group. J. Phys. Chem. B 2008, 112, 2128–2135. [Google Scholar] [CrossRef]
- Sebej, P.; Solomek, T.; Hroudna, L.; Brancova, P.; Klan, P. Photochemistry of 2-Nitrobenzylidene Acetals. J. Org. Chem. 2009, 74, 8647–8658. [Google Scholar] [CrossRef]
- Morlière, P.; Boscá, F.; Silva, A.M.S.; Teixeira, A.; Galmiche, A.; Mazière, J.-C.; Nourry, V.; Ferreira, J.; Santus, R.; Filipe, P. A molecular insight into the phototoxic reactions observed with vemurafenib, a first-line drug against metastatic melanoma. Photochem. Photobiol. Sci. 2015, 14, 2119–2127. [Google Scholar] [CrossRef]
- Frisch, M.J.; Trucks, G.W.; Schlegel, H.B.; Scuseria, G.E.; Robb, M.A.; Cheeseman, J.R.; Scalmani, G.; Barone, V.; Mennucci, B.; Petersson, G.A.; et al. Gaussian 09, Revision D.01; Gaussian, Inc.: Wallingford, CT, USA, 2009. [Google Scholar]
- Tomasi, J.; Mennucci, B.; Cancès, E. The IEF version of the PCM solvation method: An overview of a new method addressed to study molecular solutes at the QM ab initio level. J. Mol. Struct. THEOCHEM 1999, 464, 211–226. [Google Scholar] [CrossRef]
- Shkoor, M.; Mehanna, H.; Shabana, A.; Farhat, T.; Bani-Yaseen, A.D. Experimental and DFT/TD-DFT computational investigations of the solvent effect on the spectral properties of nitro substituted pyridino [3,4-c]coumarins. J. Mol. Liq. 2020, 313, 113509. [Google Scholar] [CrossRef]









| Species | Transition (Donor→Acceptor) | E(2) kcal/mol | Species | Transition (Donor→Acceptor) | E(2) kcal/mol |
|---|---|---|---|---|---|
| VFB | lp(NP)→π*(C1-C2) | 42.0 | 2 | lp(NS)→σ*(S-O) | 10.2 |
| lp(NP)→π*(C3-C4) | 35.9 | lp(NS)→σ*(C5-C6) | 7.4 | ||
| lp(NS)→σ*(S-O) | 8.2 | lp(NS)→σ*(C5-C8) | 7.8 | ||
| lp(NS)→σ*(C5-C6) | 7.8 | lp(NS)→σ*(C′1-C′2) | 8.0 | ||
| 1 | lp(NP)→π*(C1-C2) | 41.3 | 2-I1 | lp(NS)→σ*(S-O) | 8.2 |
| lp(NP)→π*(C3-C4) | 37.0 | lp(NS)→σ*(C5-C6) | 6.3 | ||
| lp(NP)→π*(C′1-C′2) | 6.7 | lp(NS)→σ*(C5-C8) | 7.1 | ||
| 1-I1 | π(NP-C1)→π*(C′1-C′2) | 13.2 | lp(NS)→σ*(C′1-C′2) | 33.8 | |
| π(C′3-N′4)→π*(C′1-C′2) | 5.8 | 2-I2 | lp(NS)→σ*(C′1-O′6) | 17.6 | |
| 1-I2 | lp(NP)→σ*(C′1-O′6) | 16.1 | lp(O′6)→σ*(NS-C′1) | 8.4 | |
| 1-I3 | lp(NP)→σ*(C′1-O′6) | 5.6 | 2-I3 | lp(O′6)→σ*(NS-C′1) | 13.9 |
| lp(O′6)→σ*(NP-C′1) | 8.5 | 2-TS1 | lp(NS)→σ*(C′1-C′2) | 26.1 | |
| lp(O′6)→s*(H) | 24.7 | lp(O′6)→π*(C′1-C′2) | 9.4 | ||
| 1-TS1 | lp(NP)→π*(C′1-C′2) | 46.9 | 2-TS2 | lp(NS)→σ*(C′1-O′6) | 22.2 |
| lp(O′6)→π*(C′1-C′2) | 6.7 | 2-TS3 | lp(NP)→σ*(O′6-H) | 7.1 | |
| 1-TS2 | lp(NP)→σ*(C′1-O′6) | 16.4 | |||
| 1-TS3 | lp(NP)→σ*(O′6-H) | 6.6 |
| Species | 1 | 2 | ||||
|---|---|---|---|---|---|---|
| Np | Ns | C′1 | Np | Ns | C′1 | |
| VFB | −0.534 | −0.869 | ||||
| prodrug | −0.359 | −0.849 | −0.282 | −0.534 | −0.667 | −0.281 |
| I1 | −0.349 | −0.836 | 0.019 | −0.533 | −0.598 | −0.005 |
| TS1 | −0.336 | −0.832 | 0.123 | −0.533 | −0.600 | 0.057 |
| I2 | −0.382 | −0.836 | 0.231 | −0.534 | −0.663 | 0.217 |
| TS2 | −0.338 | −0.842 | 0.247 | −0.533 | −0.658 | 0.232 |
| I3 | −0.384 | −0.867 | 0.256 | −0.533 | −0.687 | 0.242 |
| TS3 | −0.591 | −0.839 | 0.381 | −0.546 | −0.832 | 0.361 |
Publisher’s Note: MDPI stays neutral with regard to jurisdictional claims in published maps and institutional affiliations. |
© 2021 by the author. Licensee MDPI, Basel, Switzerland. This article is an open access article distributed under the terms and conditions of the Creative Commons Attribution (CC BY) license (http://creativecommons.org/licenses/by/4.0/).
Share and Cite
Bani-Yaseen, A.D. Computational Study on the Mechanism of the Photouncaging Reaction of Vemurafenib: Toward an Enhanced Photoprotection Approach for Photosensitive Drugs. Molecules 2021, 26, 1846. https://doi.org/10.3390/molecules26071846
Bani-Yaseen AD. Computational Study on the Mechanism of the Photouncaging Reaction of Vemurafenib: Toward an Enhanced Photoprotection Approach for Photosensitive Drugs. Molecules. 2021; 26(7):1846. https://doi.org/10.3390/molecules26071846
Chicago/Turabian StyleBani-Yaseen, Abdulilah Dawoud. 2021. "Computational Study on the Mechanism of the Photouncaging Reaction of Vemurafenib: Toward an Enhanced Photoprotection Approach for Photosensitive Drugs" Molecules 26, no. 7: 1846. https://doi.org/10.3390/molecules26071846
APA StyleBani-Yaseen, A. D. (2021). Computational Study on the Mechanism of the Photouncaging Reaction of Vemurafenib: Toward an Enhanced Photoprotection Approach for Photosensitive Drugs. Molecules, 26(7), 1846. https://doi.org/10.3390/molecules26071846
