Holospiniferoside: A New Antitumor Cerebroside from The Red Sea Cucumber Holothuria spinifera: In Vitro and In Silico Studies
Abstract
1. Introduction
2. Results and Discussion
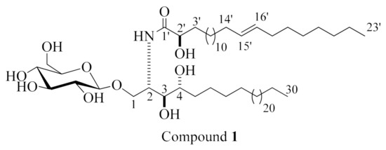
2.1. Structure Elucidation of the Isolated Compounds
2.2. Evaluation of the Antitumor Activity of Holospiniferoside (1) In Vitro
2.3. Molecular Docking Studies
3. Experimental Section
3.1. General Experimental Procedures
3.2. Sea Cucumber Material
3.3. Extraction and Isolation
3.4. Cerebroside Hydrolysis
3.5. Identification of the Sugar Moiety in Compound 1
3.6. Determination of the Configuration of the Sugar Moiety in 1
3.7. Hydrolysis of Triacylglycerol 4
3.8. Spectroscopic Data
3.8.1. Holospiniferoside (1)
3.8.2. Thymidine (2)
3.8.3. Methyl-α-d-glucopyranoside (3)
3.8.4. Triacylglycerol (4)
3.8.5. Cholesterol (5)
3.9. Cytotoxicity Assays
3.10. Molecular Docking Studies
4. Conclusions
Supplementary Materials
Author Contributions
Funding
Institutional Review Board Statement
Informed Consent Statement
Data Availability Statement
Acknowledgments
Conflicts of Interest
Sample Availability
References
- Elhady, S.S.; Eltamany, E.E.; Shaaban, A.E.; Bagalagel, A.A.; Muhammad, Y.A.; El-Sayed, N.M.; Ayyad, S.-E.N.; Ahmed, A.A.M.; Elgawish, M.S.; Ahmed, S.A. Jaceidin flavonoid isolated from Chiliadenus montanus attenuates tumor progression in mice via VEGF inhibition: In Vivo and in silico studies. Plants 2020, 9, 1031. [Google Scholar] [CrossRef] [PubMed]
- Khalifa, S.A.M.; Elias, N.; Farag, M.A.; Chen, L.; Saeed, A.; Hegazy, M.E.F.; Moustafa, M.S.; Abd El-Wahed, A.; Al-Mousawi, S.M.; Musharraf, S.G.; et al. Marine natural products: A source of novel anticancer drugs. Mar. Drugs 2019, 17, 491. [Google Scholar] [CrossRef] [PubMed]
- Newman, D.J.; Cragg, G.M. Natural products as sources of new drugs over the Last 25 Years. J. Nat. Prod. 2012, 75, 311–335. [Google Scholar] [CrossRef]
- Newman, D.; Cragg, G. Marine-Sourced anti-cancer and cancer pain control agents in clinical and late preclinical development. Mar. Drugs 2014, 12, 255–278. [Google Scholar] [CrossRef] [PubMed]
- Ang, K.K.H.; Holmes, M.J.; Higa, T.; Hamann, M.T.; Kara, U.A.K. In Vivo antimalarial activity of the Beta-Carboline alkaloid Manzamine A. Antimicrob. Agents Chemother. 2000, 44, 1645–1649. [Google Scholar] [CrossRef]
- Mohammed, A.I. Separation of a novel species from Actinopyga mauritiana (Holothuroidea: Holothuriidae) species complex, based on ecological, morphological and mitochondrial DNA evidence. Egypt. J. Aquat. Biol. Fish. 2016, 20, 39–45. [Google Scholar] [CrossRef][Green Version]
- Janakiram, N.B.; Mohammed, A.; Rao, C.V. Sea cucumbers metabolites as potent anti-cancer agents. Mar. Drugs 2015, 13, 2909–2923. [Google Scholar] [CrossRef]
- Althunibat, O.Y.; Ridzwan, B.H.; Taher, M.; Jamaludin, M.D.; Ikeda, M.A.; Zali, B.I. In Vitro antioxidant and antiproliferative activities of three Malaysian Sea Cucumber Species. Eur. J. Sci. Res. 2009, 37, 376–387. [Google Scholar]
- Honey-Escandón, M.; Arreguín-Espinosa, R.; Solís-Marín, F.A.; Samyn, Y. Biological and taxonomic perspective of triterpenoid glycosides of sea cucumbers of the family Holothuriidae (Echinodermata, Holothuroidea). Comp. Biochem. Physiol. Biochem. Mol. Biol. 2015, 180, 16–39. [Google Scholar] [CrossRef]
- World Register of Marine Species. Available online: http://www.marinespecies.org (accessed on 1 June 2019).
- Ahmed, M.I.; Aamer, M.A.; Lawrence, A.J. Identification of the Holothurian species of the Red Sea and Gulf of Aqaba using DNA barcoding technique. Egypt. J. Aquat. Biol. Fish. 2016, 20, 1–7. [Google Scholar] [CrossRef][Green Version]
- Abdelhameed, R.F.A.; Eltamany, E.E.; Hal, D.M.; Ibrahim, A.K.; Aboul Magd, A.M.; Al-Warhi, T.; Youssif, K.A.; Abd El-Kader, A.M.; Hassanean, H.A.; Fayez, S.; et al. New Cytotoxic Cerebrosides from the Red Sea Cucumber Holothuria spinifera Supported by In-Silico Studies. Mar. Drugs 2020, 18, 405. [Google Scholar] [CrossRef] [PubMed]
- Khademvatan, S.; Eskandari, A.; Saki, J.; Foroutan-Rad, M. Cytotoxic Activity of Holothuria leucospilota Extract against Leishmania infantum In Vitro. Adv. Pharmacol. Sci. 2016, 2016, 8195381. [Google Scholar] [CrossRef] [PubMed]
- Nobsathian, S.; Tuchinda, P.; Sobhon, P.; Tinikul, Y.; Poljaroen, J.; Tinikul, R.; Sroyraya, M.; Poomton, T.; Chaichotranunt, S. An antioxidant activity of the whole body of Holothuria scabra. Chem. Biol. Technol. Agric. 2017, 4, 4. [Google Scholar] [CrossRef]
- Ghadiri, M.; Kazemi, S.; Heidari, B.; Rassa, M. Bioactivity of aqueous and organic extracts of sea cucumber Holothuria leucospilota (Brandt 1835) on pathogenic Candida and Streptococci. Int. Aquat. Res. 2018, 10, 31–43. [Google Scholar] [CrossRef]
- Esmat, A.Y.; Said, M.M.; Soliman, A.A.; El-Masry, K.S.; Badiea, E.A. Bioactive compounds, antioxidant potential, and hepatoprotective activity of sea cucumber (Holothuria atra) against thioacetamide intoxication in rats. Nutrition 2013, 29, 258–267. [Google Scholar] [CrossRef] [PubMed]
- Bordbar, S.; Anwar, F.; Saari, N. High-Value components and bioactives from Sea Cucumbers for functional foods—A Review. Mar. Drugs 2011, 9, 1761–1805. [Google Scholar] [CrossRef] [PubMed]
- Hal, D.; Eltamany, E.; Abdelhameed, R.; Ahmed, S.; Hassanean, H.; Ibrahim, A. Genus Holothuria an imminent source of diverse chemical entities: A review. Rec. Pharm. Biomed. Sci. 2020, 4, 46–67. [Google Scholar] [CrossRef]
- Kerr, R.; Chen, Z. In Vivo and In Vitro biosynthesis of saponins in sea cucumbers. J. Nat. Prod. 1995, 58, 172–176. [Google Scholar] [CrossRef] [PubMed]
- Youssef, D.T.; Ibrahim, S.R.; Shaala, L.A.; Mohamed, G.A.; Banjar, Z.M. New Cerebroside and Nucleoside Derivatives from a Red Sea Strain of the Marine Cyanobacterium Moorea producens. Molecules 2016, 21, 324. [Google Scholar] [CrossRef]
- Silverstein, R.M.; Webster, F.X.; Kiemle, D.J. Spectrometric Identification of Organic Compounds, 3rd ed.; John Wiley & Sons: Hoboken, NJ, USA, 1974. [Google Scholar]
- Thomford, A.K.; Abdelhameed, R.F.A.; Yamada, K. Chemical studies on the parasitic plant Thonningia sanguinea Vahl. RSC Adv. 2018, 8, 21002–21011. [Google Scholar] [CrossRef]
- Sun, Y.; Xu, Y.; Liu, K.; Hua, H.; Zhu, H.; Pei, Y. Gracilarioside and Gracilamides from the Red Alga Gracilaria asiatica. J. Nat. Prod. 2006, 69, 1488–1491. [Google Scholar] [CrossRef] [PubMed]
- Kisa, F.; Yamada, K.; Kaneko, M.; Inagaki, M.; Higuchi, R. Constituents of Holothuroidea, 14. Isolation and structure of new glucocerebroside molecular species from the Sea Cucumber Stichopus japonicas. Chem. Pharm. Bull. 2005, 53, 382–386. [Google Scholar] [CrossRef][Green Version]
- Yamada, K.; Sasaki, K.; Harada, Y.; Isobe, R.; Higuchi, R. Isolation and structure of glucocerebrosides from the sea cucumber Holothuria pervicax. Chem. Pharm. Bull. 2002, 50, 1467–1470. [Google Scholar] [CrossRef][Green Version]
- Kulkarni, R.R.; Kim, J.H.; Kim, Y.H.; Oh, S.; Na, M. Isolation and Structure Determination of an Imidazo-pyrimidine, 5-Chlorocavernicolin, Maleimide oximes and Nucleosides from a Marine Sponge Extract. Nat. Prod. Sci. 2015, 21, 25–29. [Google Scholar]
- Abou-Hussein, D.R.; Badr, J.M.; Youssef, D.T.A. Dragmacidoside: A new nucleoside from the Red Sea sponge Dragmacidon coccinea. Nat. Prod. Res. 2014, 28, 1134–1141. [Google Scholar] [CrossRef]
- Forfang, K.; Zimmermann, B.; Kosa, G.; Kohler, A.; Shapaval, V. FTIR Spectroscopy for Evaluation and Monitoring of Lipid Extraction Efficiency for Oleaginous Fungi. PLoS ONE 2017, 24, e0170611. [Google Scholar] [CrossRef]
- Ibrahim, S.R.M.; Mohamed, G.A.; Shaala, L.A.; Youssef, D.T.A.; Gab-Alla, A.A. Didemnacerides A and B: Two new glycerides from Red Sea ascidian Didemnum species. Nat. Prod. Res. 2014, 28, 1591–1597. [Google Scholar] [CrossRef]
- Ahmed, S.A.; Mesbah, M.; Youssef, D.; Khalifa, S.I. Chemical and biological investigations of the Red Sea Sponge Negombata corticata. Bull. Pharm. Sci. Assiut Univ. 2006, 29, 151–165. [Google Scholar] [CrossRef]
- Zeng, X.; Xiang, L.; Li, C.Y.; Wang, Y.; Qiu, G.; Zhang, Z.; He, X. Antioxidant flavanes from Livistona chinensis. Fitoterapia 2012, 83, 609–616. [Google Scholar] [CrossRef]
- Kalinowski, H.A.; Berger, S.; Braum, S. 13C-NMR Spektroskopie; George Thieme Verlaged: Stuttgart, Germany, 1984. [Google Scholar]
- Abdelhameed, R.F.A.; Habib, E.S.; Eltahawy, N.A.; Hassanean, H.A.; Ibrahim, A.K.; Mohammed, A.F.; Fayez, S.; Hayallah, A.M.; Yamada, K.; Behery, F.A.; et al. New Cytotoxic Natural Products from the Red Sea Sponge Stylissa carteri. Mar. Drugs 2020, 18, 241. [Google Scholar] [CrossRef]
- Eltamany, E.E.; Ibrahim, A.K.; Radwan, M.M.; ElSohly, M.A.; Hassanean, H.A.; Ahmed, S.A. Cytotoxic ceramides from the Red Sea sponge Spheciospongia vagabunda. Med. Chem. Res. 2015, 24, 3467–3473. [Google Scholar] [CrossRef]
- Raslan, A.E.; Radwan, M.M.; Ahmed, S.A.; Nafady, A.M.; Zaki, M.A.; Wanas, A.S.; Abou-Karam, M.; Shier, T.W.; Hassanean, H.A.; El-Sohly, M.A. Monanchoramides A–D, ceramides from the marine sponge Monanchora clathrata with cytotoxic activity. Phytochem. Lett. 2018, 23, 83–89. [Google Scholar] [CrossRef]
- Skehan, P.; Storeng, R.; Scudiero, D.; Monks, A.; McMahn, J.M.; Vistica, D.; Warren, J.; Bokesch, H.; Kenney, S.; Boyd, M.R. New colorimetric cytotoxicity assay for anticancer-drug screening. J. Nat. Cancer Inst. 1990, 82, 1107–1112. [Google Scholar] [CrossRef]
- Vichai, V.; Kirtikara, K. Sulforhodamine B colorimetric assay for cytotoxicity screening. Nat. Protoc. 2006, 1, 1112–1116. [Google Scholar] [CrossRef] [PubMed]
- Hershko, A. The Ubiquitin System for Protein Degradation and Some of Its Roles in the Control of the Cell-Division Cycle Nobel Lecture. Isr. J. Chem. 2006, 46, 113–120. [Google Scholar] [CrossRef]
- Ferreira, I.C.; Vaz, J.A.; Vasconcelos, M.H.; Martins, A. Compounds from wild mushrooms with antitumor potential. Anticancer Agents. Med. Chem. 2010, 10, 424–436. [Google Scholar] [CrossRef] [PubMed]
- Moradali, M.F.; Mostafavi, H.; Ghods, S.; Hedjaroude, G.A. Immunomodulating and anticancer agents in the realm of macromycetes fungi (macrofungi). Int. Immunopharmacol. 2007, 7, 701–724. [Google Scholar] [CrossRef]
- Popowicz, G.M.; Czarna, A.; Wolf, S.; Wang, K.; Wang, W. Structures of low molecular weight inhibitors bound to MDMX and MDM2 reveal new approaches for p53-MDMX/MDM2 antagonist drug discovery. Cell Cycle 2010, 9, 1104–1111. [Google Scholar] [CrossRef]
- Tanaka, T.; Nakashima, T.; Ueda, T.; Tomii, K.; Kouno, I. Facile discrimination of aldose enantiomers byreversed-phase HPLC. Chem. Pharm. Bull. 2007, 55, 899–901. [Google Scholar] [CrossRef]
- MOE. 0101 of Chemical Computing Group. Inc. Available online: http://www.chemcomp.com (accessed on 1 June 2019).






| 1 | ||
|---|---|---|
| Position | δH (mult., JHz) | δC |
| 1 | 4.34 (H1a, m) 4.54 (H1b, m) | 70.4 |
| 2 | 5.27 (1H, br, m) | 51.6 |
| 3 | 4.34 (1H, m) | 75.7 |
| 4 | 4.20 (1H, m) | 72.3 |
| 5 | 1.68 (2H, m) | 34.0 |
| 6 | 1.29 * | 29.4 |
| 7 | 1.29 * | 30.0 |
| 8 | 1.29 * | 30.0 |
| 9–29 | 1.29 * | 29.8 |
| 30 | 0.85 (3H, t, 8) | 14.1 |
| 1’ | - | 175.7 |
| 2’ | 4.74 (1H, m) | 72.4 |
| 3’ | 1.87 (1H, m) | 34.0 |
| 4’–13’ | 1.23 (2H, m) | 29.4 |
| 14’ | 2.08 (2H, m) | 32.0 |
| 15’ | 5.27 (1H, m) | 130.1 |
| 16’ | 5.49 (1H, m) | 130.1 |
| 17’ | 2.19 (2H, m) | 32.9 |
| 18’–22’ | 1.23 (2H, m) | 29.4 |
| 23’ | 0.85 (3H, t, 8) | 14.1 |
| NH | 8.58 (1H, d, 12) | - |
| 1’’ | 4.96(1H, d, 12) | 105.5 |
| 2’’ | 4.02(1H, m) | 75.0 |
| 3’’ | 4.54 (1H, m) | 78.3 |
| 4’’ | 4.74 (1H, m) | 71.3 |
| 5’’ | 3.85 (1H, br, m) | 78.4 |
| 6’’ | 4.35 (1H, dd, 4.0, 8.0) 4.53 (1H, m) | 62.5 |
| 4 | |||||
|---|---|---|---|---|---|
| Position | δH (mult., JHz) | δC | Position | δH (mult., JHz) | δC |
| 1 | 4.14 (Ha,dd, 12,6) 4.29 (Hb,dd, 12,6) | 62.1 | 9’’ | 2.01 (2H, m) | 27.2–27.4 * |
| 2 | 5.25 (1H, m) | 68.9 | 10’’ | 5.33 (1H, m) | 129.6–129.9 * |
| 3 | 4.14 (Ha,dd, 12,6) 4.29 (Hb,dd, 12,6) | 62.1 | 11’’ | 5.33 (1H, m) | 129.6–129.9 * |
| 1’ | - | 173.2 | 12’’ | 2.01 (2H, m) | 27.2–27.4 |
| 2’ | 2.30 (2H, m) | 34.0–34.2 * | 13’’–15’’ | 1.27 (6H, m) | 29.0–29.8 * |
| 3’ | 1.60 (2H, m) | 24.8–24.9 * | 16’’ | 1.27 (2H, m) | 22.7 |
| 4’–7’ | 1.27 (8H, m) | 29.0–29.8 * | 17’’ | 0.88 (3H, m) | 14.1 |
| 8’ | 2.01 (2H, m) | 27.2–27.4 * | 1’’’ | - | 173.1 |
| 9’ | 5.33 (1H, m) | 129.6–129.9 * | 2’’’ | 2.30 (2H, m) | 34.0–34.2 * |
| 10’ | 5.33 (1H, m) | 129.6–129.9 * | 3’’’ | 1.60 (2H, m) | 24.8–24.9 * |
| 11’ | 2.01 (2H, m) | 27.2–27.4 * | 4’’’’–7’’’ | 1.27 (8H, m) | 29.0–29.8 * |
| 12’–15’ | 1.27 (8H, m) | 29.0–29.8 * | 8’’’ | 2.01 (2H, m) | 27.2–27.4 * |
| 16’ | 1.27 (2H, m) | 31.8–31.9 * | 9’’’ | 5.33 (1H, m) | 129.6–129.9 * |
| 17’ | 1.27 (2H, m) | 22.7 | 10’’’ | 5.33 (1H, m) | 129.6–129.9 * |
| 18’ | 0.88 (3H, m) | 14.1 | 11’’’ | 2.01 (2H, m) | 27.2–27.4 * |
| 1’’ | - | 172.8 | 12’’–15’’’ | 1.27 (8H, m) | 29.0–29.8 * |
| 2’’ | 2.30 (2H, m) | 34.0–34.2 * | 16’’’ | 1.27 (2H, m) | 31.8–31.9 * |
| 3’’ | 1.60 (2H, m) | 24.8–24.9 * | 17’’’ | 1.27 (2H, m) | 22.7 |
| 4’’–8’’ | 1.27 (10H, m) | 29.0–29.8 * | 18’’’ | 0.88 (3H, m) | 14.1 |
| Sample. | IC50 (µM) | HFB-4 IC50 (µM) |
|---|---|---|
| Compound 1 | 20.6 ± 0.03 | >200 |
| Cisplatin | 15.3 ± 0.02 | >200 |
Publisher’s Note: MDPI stays neutral with regard to jurisdictional claims in published maps and institutional affiliations. |
© 2021 by the authors. Licensee MDPI, Basel, Switzerland. This article is an open access article distributed under the terms and conditions of the Creative Commons Attribution (CC BY) license (http://creativecommons.org/licenses/by/4.0/).
Share and Cite
Eltamany, E.E.; Abdelmohsen, U.R.; Hal, D.M.; Ibrahim, A.K.; Hassanean, H.A.; Abdelhameed, R.F.A.; Temraz, T.A.; Hajjar, D.; Makki, A.A.; Hendawy, O.M.; et al. Holospiniferoside: A New Antitumor Cerebroside from The Red Sea Cucumber Holothuria spinifera: In Vitro and In Silico Studies. Molecules 2021, 26, 1555. https://doi.org/10.3390/molecules26061555
Eltamany EE, Abdelmohsen UR, Hal DM, Ibrahim AK, Hassanean HA, Abdelhameed RFA, Temraz TA, Hajjar D, Makki AA, Hendawy OM, et al. Holospiniferoside: A New Antitumor Cerebroside from The Red Sea Cucumber Holothuria spinifera: In Vitro and In Silico Studies. Molecules. 2021; 26(6):1555. https://doi.org/10.3390/molecules26061555
Chicago/Turabian StyleEltamany, Enas E., Usama Ramadan Abdelmohsen, Dina M. Hal, Amany K. Ibrahim, Hashim A. Hassanean, Reda F. A. Abdelhameed, Tarek A. Temraz, Dina Hajjar, Arwa A. Makki, Omnia Magdy Hendawy, and et al. 2021. "Holospiniferoside: A New Antitumor Cerebroside from The Red Sea Cucumber Holothuria spinifera: In Vitro and In Silico Studies" Molecules 26, no. 6: 1555. https://doi.org/10.3390/molecules26061555
APA StyleEltamany, E. E., Abdelmohsen, U. R., Hal, D. M., Ibrahim, A. K., Hassanean, H. A., Abdelhameed, R. F. A., Temraz, T. A., Hajjar, D., Makki, A. A., Hendawy, O. M., AboulMagd, A. M., Youssif, K. A., Bringmann, G., & Ahmed, S. A. (2021). Holospiniferoside: A New Antitumor Cerebroside from The Red Sea Cucumber Holothuria spinifera: In Vitro and In Silico Studies. Molecules, 26(6), 1555. https://doi.org/10.3390/molecules26061555

