Functional Characterization of Mung Bean Meal Protein-Derived Antioxidant Peptides
Abstract
1. Introduction
2. Results and Discussion
2.1. Antioxidant Activities of Peptide Fractions from the First Round of RP(C12)-HPLC
2.2. Antioxidant Activities of Peptide Fractions from the Second Round of RP(C12)HPLC
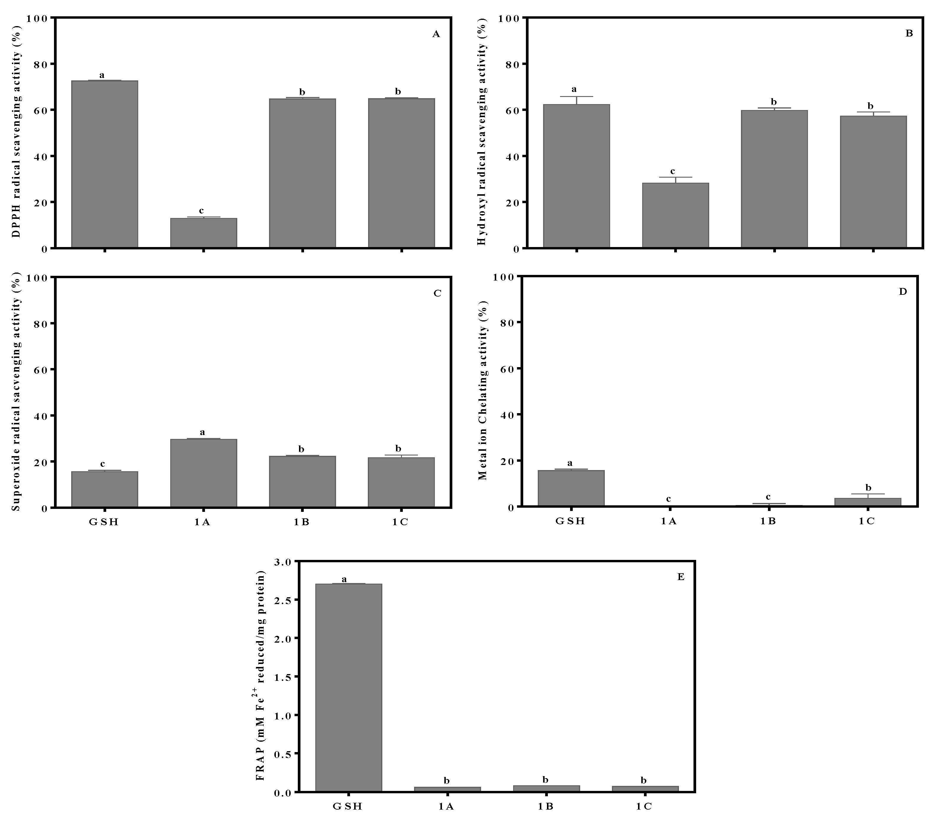
2.3. Sequencing and Antioxidant Activities of Peptides
2.3.1. DPPH Radical Scavenging Activity (DRSA)
2.3.2. Hydroxyl Radical Scavenging Activity (HRSA)
2.3.3. Superoxide Radical Scavenging Activity (SRSA)
2.3.4. Ferric Reducing Antioxidant Power (FRAP)
2.3.5. Metal Ion Chelating Activity (MCA)
3. Materials and Methods
3.1. Materials
3.2. Preparation of Peptide Fractions from Mung Bean Hydrolysate
3.3. First Round of Reversed-Phase High-Performance Liquid Chromatography (RP(C12)HPLC) Peptide Separation
3.4. Second Round of RP(C12)HPLC Separation
3.5. Identification of Peptide Sequences
3.6. Determination of Antioxidant Properties
3.6.1. DPPH Radical Scavenging Activity
3.6.2. Hydroxyl Radical Scavenging Activity
3.6.3. Superoxide Radical Scavenging Activity
3.6.4. Ferric Reducing Antioxidant Power (FRAP)
3.6.5. Metal Ion Chelating Activity
3.7. Statistical Analysis
4. Conclusions
Author Contributions
Funding
Data Availability Statement
Conflicts of Interest
Sample Availability
References
- Wang, L.; Ding, L.; Yu, Z.; Zhang, T.; Ma, S.; Liu, J. Intracellular ROS scavenging and antioxidant enzyme regulating capacities of corn gluten meal-derived antioxidant peptides in HepG2 cells. Food Res. Int. 2016, 90, 33–41. [Google Scholar] [CrossRef] [PubMed]
- Harnedy, P.A.; O’Keeffe, M.B.; Fitz-Gerald, R.J. Fractionation and identification of antioxidant peptides from an enzymatically hydrolysed Palmaria palmata protein isolate. Food Res. Int. 2017, 100, 416–422. [Google Scholar] [CrossRef] [PubMed]
- Homayouni-Tabrizi, M.; Asoodeh, A.; Soltani, M. Cytotoxic and antioxidant capacity of camel milk peptides: Effects of isolated peptide on superoxide dismutase and catalase gene expression. J. Food Drug Anal. 2017, 25, 567–575. [Google Scholar] [CrossRef] [PubMed]
- Ko, S.-C.; Kim, D.; Jeon, Y.-J. Protective effect of a novel antioxidative peptide purified from a marine Chlorella ellipsoidea protein against free radical-induced oxidative stress. Food Chem. Toxicol. 2012, 50, 2294–2302. [Google Scholar] [CrossRef] [PubMed]
- Pham-Huy, L.A.; He, H.; Pham-Huy, C. Free Radicals, Antioxidants in Disease and Health. Int. J. Biomed. Sci. IJBS 2008, 4, 89–96. [Google Scholar]
- Wu, R.; Wu, C.; Liu, D.; Yang, X.; Huang, J.; Zhang, J.; Liao, B.; He, H. Antioxidant and anti-freezing peptides from salmon collagen hydrolysate prepared by bacterial extracellular protease. Food Chem. 2018, 248, 346–352. [Google Scholar] [CrossRef]
- Ganesan, K.; Xu, B. A critical review on phytochemical profile and health promoting effects of mung bean (Vigna radiata). Food Sci. Hum. Wellness 2018, 7, 11–33. [Google Scholar] [CrossRef]
- Nwachukwu, I.D.; Aluko, R.E. Structural and functional properties of food protein-derived antioxidant peptides. J. Food Biochem. 2019, 43, e12761. [Google Scholar] [CrossRef]
- Tian, M.; Fang, B.; Jiang, L.; Guo, H.; Cui, J.; Ren, F. Structure-activity relationship of a series of antioxidant tripeptides derived from β-Lactoglobulin using QSAR modeling. Dairy Sci. Technol. 2015, 95, 451–463. [Google Scholar] [CrossRef]
- Ertani, A.; Nardi, S.; Francioso, O.; Sanchez-Cortes, S.; di Foggia, M.; Schiavon, M. Effects of Two Protein Hydrolysates Obtained From Chickpea (Cicer arietinum L.) and Spirulina platensis on Zea mays (L.) Plants. Front. Plant Sci. 2019, 10, 954. [Google Scholar] [CrossRef]
- Torres-Fuentes, C.; del mar Contreras, M.; Recio, I.; Alaiz, M.; Vioque, J. Identification and characterization of antioxidant peptides from chickpea protein hydrolysates. Food Chem. 2015, 180, 194–202. [Google Scholar] [CrossRef] [PubMed]
- Zhu, K.; Zhou, H.; Qian, H. Antioxidant and free radical-scavenging activities of wheat germ protein hydrolysates (WGPH) prepared with alcalase. Process. Biochem. 2006, 41, 1296–1302. [Google Scholar] [CrossRef]
- Xia, Y.; Bamdad, F.; Gänzle, M.; Chen, L. Fractionation and characterization of antioxidant peptides derived from barley glutelin by enzymatic hydrolysis. Food Chem. 2012, 134, 1509–1518. [Google Scholar] [CrossRef]
- Ranamukhaarachchi, S.; Meissner, L.; Moresoli, C. Production of antioxidant soy protein hydrolysates by sequential ultrafil-tration and nanofiltration. J. Memb. Sci. 2013, 429, 81–87. [Google Scholar] [CrossRef]
- Jin, D.-X.; Liu, X.-L.; Zheng, X.-Q.; Wang, X.-J.; He, J.-F. Preparation of antioxidative corn protein hydrolysates, purification and evaluation of three novel corn antioxidant peptides. Food Chem. 2016, 204, 427–436. [Google Scholar] [CrossRef] [PubMed]
- He, R.; Girgih, A.T.; Malomo, S.A.; Ju, X.; Aluko, R.E. Antioxidant activities of enzymatic rapeseed protein hydrolysates and the membrane ultrafiltration fractions. J. Funct. Foods 2013, 5, 219–227. [Google Scholar] [CrossRef]
- He, R.; Ju, X.; Yuan, J.; Wang, L.; Girgih, A.T.; Aluko, R.E. Antioxidant activities of rapeseed peptides produced by solid state fermentation. Food Res. Int. 2012, 49, 432–438. [Google Scholar] [CrossRef]
- Sonklin, C.; Laohakunjit, N.; Kerdchoechuen, O.; Ratanakhanokchai, K. Volatile flavour compounds, sensory characteristics and antioxidant activities of mungbean meal protein hydrolysed by bromelain. J. Food Sci. Technol. 2017, 55, 265–277. [Google Scholar] [CrossRef]
- Chunkao, S.; Youravong, W.; Yupanqui, C.T.; Alashi, A.M.; Aluko, R.E. Structure and Function of Mung Bean Protein-Derived Iron-Binding Antioxidant Peptides. Foods 2020, 9, 1406. [Google Scholar] [CrossRef]
- Wongekalak, L.-O.; Sakulsom, P.; Jirasripongpun, K.; Hongsprabhas, P. Potential use of antioxidative mungbean protein hy-drolysate as an anticancer asiatic acid carrier. Food Res. Int. 2011, 44, 812–817. [Google Scholar] [CrossRef]
- Zheng, Z.; Wang, M.; Li, J.; Li, J.; Liu, Y. Comparative assessment of physicochemical and antioxidative properties of mung bean protein hydrolysates. RSC Adv. 2020, 10, 2634–2645. [Google Scholar] [CrossRef]
- Sonklin, C.; Laohakunjit, N.; Kerdchoechuen, O. Physicochemical and Flavor Characteristics of Flavoring Agent from Mungbean Protein Hydrolyzed by Bromelain. J. Agric. Food Chem. 2011, 59, 8475–8483. [Google Scholar] [CrossRef]
- Sonklin, C.; Alashi, M.A.; Laohakunjit, N.; Kerdchoechuen, O.; Aluko, R.E. Identification of antihypertensive peptides from mung bean protein hydrolysate and their effects in spontaneously hypertensive rats. J. Funct. Foods 2020, 64, 103635. [Google Scholar] [CrossRef]
- Xie, J.; Du, M.; Shen, M.; Wu, T.; Lin, L. Physico-chemical properties, antioxidant activities and angiotensin-I converting en-zyme inhibitory of protein hydrolysates from mung bean (Vigna radiate). Food Chem. 2019, 270, 243–250. [Google Scholar] [CrossRef] [PubMed]
- Budseekoad, S.; Yupanqui, C.T.; Alashi, A.M.; Aluko, R.E.; Youravong, W. Anti-allergic activity of mung bean (Vigna radiata (L.) Wilczek) protein hydrolysates produced by enzymatic hydrolysis using non- gastrointestinal and gastrointestinal enzymes. J. Food Biochem. 2019, 43, e12674. [Google Scholar] [CrossRef] [PubMed]
- Soucek, J.; Skvor, J.; Poucková, P.; Matousek, J.; Slavík, T.; Matousek, J. Mung bean sprout (Phaseolus aureus) nuclease and its biological and antitumor effects. Neoplasma 2006, 53, 402–409. [Google Scholar]
- Udenigwe, C.C.; Aluko, R.E. Chemometric Analysis of the Amino Acid Requirements of Antioxidant Food Protein Hydrolysates. Int. J. Mol. Sci. 2011, 12, 3148–3161. [Google Scholar] [CrossRef]
- Wu, R.; Wu, C.; Liu, D.; Yang, X.; Huang, J.; Zhang, J.; Liao, B.; He, H.; Li, H. Overview of Antioxidant Peptides Derived from Marine Resources: The Sources, Characteristic, Purification, and Evaluation Methods. Appl. Biochem. Biotechnol. 2015, 176, 1815–1833. [Google Scholar] [CrossRef] [PubMed]
- Chi, C.-F.; Hu, F.-Y.; Wang, B.; Li, Z.-R.; Luo, H.-Y. Influence of Amino Acid Compositions and Peptide Profiles on Antioxidant Capacities of Two Protein Hydrolysates from Skipjack Tuna (Katsuwonus pelamis) Dark Muscle. Mar. Drugs 2015, 13, 2580–2601. [Google Scholar] [CrossRef] [PubMed]
- Chi, C.-F.; Wang, B.; Wang, Y.-M.; Zhang, B.; Deng, S.-G. Isolation and characterization of three antioxidant peptides from protein hydrolysate of bluefin leatherjacket (Navodon septentrionalis) heads. J. Funct. Foods 2015, 12, 1–10. [Google Scholar] [CrossRef]
- Yang, R.; Li, X.; Lin, S.; Zhang, Z.; Chen, F. Identification of novel peptides from 3 to 10kDa pine nut (Pinus koraiensis) meal protein, with an exploration of the relationship between their antioxidant activities and secondary structure. Food Chem. 2017, 219, 311–320. [Google Scholar] [CrossRef] [PubMed]
- Zou, T.-B.; He, T.-P.; Li, H.-B.; Tang, H.-W.; Xia, E.-Q. The Structure-Activity Relationship of the Antioxidant Peptides from Natural Proteins. Molecules 2016, 21, 72. [Google Scholar] [CrossRef] [PubMed]
- Li, X.-R.; Chi, C.-F.; Li, L.; Wang, B. Purification and Identification of Antioxidant Peptides from Protein Hydrolysate of Scalloped Hammerhead (Sphyrna lewini) Cartilage. Mar. Drugs 2017, 15, 61. [Google Scholar] [CrossRef]
- Yang, J.; Hu, L.; Cai, T.; Chen, Q.; Ma, Q.; Yang, J.; Meng, C.; Hong, J. Purification and identification of two novel antioxidant peptides from perilla (Perilla frutescens L. Britton) seed protein hydrolysates. PLoS ONE 2018, 13, e0200021. [Google Scholar] [CrossRef]
- Stadtman, E.R.; Levine, R.L. Free radical-mediated oxidation of free amino acids and amino acid residues in proteins. Amino Acids 2003, 25, 207–218. [Google Scholar] [CrossRef]
- Yang, X.-R.; Qiu, Y.-T.; Zhao, Y.-Q.; Chi, C.-F.; Wang, B. Purification and Characterization of Antioxidant Peptides Derived from Protein Hydrolysate of the Marine Bivalve Mollusk Tergillarca granosa. Mar. Drugs 2019, 17, 251. [Google Scholar] [CrossRef] [PubMed]
- Leung, R.; Venus, C.; Zeng, T.; Tsopmo, A. Structure-function relationships of hydroxyl radical scavenging and chromium-VI reducing cysteine-tripeptides derived from rye secalin. Food Chem. 2018, 254, 165–169. [Google Scholar] [CrossRef]
- Esfandi, R.; Walters, M.E.; Tsopmo, A. Antioxidant properties and potential mechanisms of hydrolyzed proteins and peptides from cereals. Heliyon 2019, 5, e01538. [Google Scholar] [CrossRef] [PubMed]
- Zhu, L.; Chen, J.; Tang, X.; Xiong, Y.L. Reducing, radical scavenging, and chelation properties of in vitro digests of alcalase-treated zein hydrolysate. J. Agric. Food Chem. 2008, 56, 2714–2721. [Google Scholar] [CrossRef]
- Zhang, T.; Li, Y.; Miao, M.; Jiang, B. Purification and characterisation of a new antioxidant peptide from chickpea (Cicer arietium L.) protein hydrolysates. Food Chem. 2011, 128, 28–33. [Google Scholar] [CrossRef] [PubMed]
- Phongthai, S.; Rawdkuen, S. Fractionation and characterization of antioxidant peptides from rice bran protein hydrolysates stimulated by in vitro gastrointestinal digestion. Cereal Chem. J. 2019, 97, 316–325. [Google Scholar] [CrossRef]
- Saiga, A.E.; Nishimura, T. Antioxidative Properties of Peptides Obtained from Porcine Myofibrillar Proteins by a Protease Treatment in an Fe (II)-Induced Aqueous Lipid Peroxidation System. Biosci. Biotechnol. Biochem. 2013, 77, 2201–2204. [Google Scholar] [CrossRef] [PubMed]
- Sonklin, C.; Laohakunjit, N.; Kerdchoechuen, O. Assessment of antioxidant properties of membrane ultrafiltration peptides from mungbean meal protein hydrolysates. PeerJ 2018, 6, e5337. [Google Scholar] [CrossRef] [PubMed]
- Alashi, A.M.; Blanchard, C.L.; Mailer, R.J.; Agboola, S.O.; Mawson, A.J.; He, R.; Girgih, A.T.; Aluko, R.E. Antioxidant prop-erties of Australian canola meal protein hydrolysates. Food Chem. 2014, 146, 500–506. [Google Scholar] [CrossRef] [PubMed]
- Ajibola, C.F.; Fashakin, J.B.; Fagbemi, T.N.; Aluko, R.E. Effect of Peptide Size on Antioxidant Properties of African Yam Bean Seed (Sphenostylis stenocarpa) Protein Hydrolysate Fractions. Int. J. Mol. Sci. 2011, 12, 6685–6702. [Google Scholar] [CrossRef] [PubMed]
- Xie, Z.; Huang, J.; Xu, X.; Jin, Z. Antioxidant activity of peptides isolated from alfalfa leaf protein hydrolysate. Food Chem. 2008, 111, 370–376. [Google Scholar] [CrossRef]
- Karamać, M.; Kosińska-Cagnazzo, A.; Kulczyk, A. Use of Different Proteases to Obtain Flaxseed Protein Hydrolysates with Antioxidant Activity. Int. J. Mol. Sci. 2016, 17, 1027. [Google Scholar] [CrossRef]






| Fractions | Sequences | m/z | z | Mass (Da) | DRSA (EC50, mg/mL) | HRSA (EC50, mg/mL) | SRSA (EC50, mg/mL) | FRAP (mM Fe2+ Reduced/mg Peptide) | MCA (EC50, mg/mL) |
|---|---|---|---|---|---|---|---|---|---|
| 1B | HC | 130.19 | 2 | 258.08 | 0.29 ± 0.01 ef | 0.56 ± 0.03 ef | 0.15 ± 0.01 ef | 0.71 ± 0.03 a | 1.34 ± 0.04 b |
| CGN | 147.22 | 2 | 292.08 | 0.28 ± 0.01 f | 0.74 ± 0.02 e | 0.04 ± 0.01 g | 0.08 ± 0.00 e | 0.04 ± 0.01 g | |
| LAN | 158.95 | 2 | 316.18 | ND | 5.31 ± 0.06 b | 1.54 ± 0.02 c | 0.01 ± 0.00 h | 0.36 ± 0.02 defg | |
| CTN | 169.09 | 2 | 336.11 | 0.30 ± 0.01 e | 0.64 ± 0.03 ef | 0.04 ± 0.01 g | 0.11 ±0.00 d | 0.04 ± 0.01 g | |
| LAF | 175.41 | 2 | 349.20 | ND | 0.31 ± 0.03 f | 0.02 ± 0.01 g | 0.01 ± 0.00 h | 10.78 ± 0.89 a | |
| CSGD | 191.13 | 2 | 380.10 | 0.30 ± 0.01 e | 0.78 ± 0.03 e | 0.04 ± 0.01 g | 0.16 ± 0.00 c | 0.26 ± 0.02 efg | |
| MMGW | 262.70 | 2 | 523.19 | 1.39 ± 0.01 c | 5.96 ± 0.47 a | 1.58 ± 0.04 b | 0.04 ± 0.00 g | 0.77 ± 0.03 cd | |
| QFAAD | 276.32 | 2 | 550.24 | ND | 2.67 ± 0.23 c | 0.57 ± 0.01 e | 0.01 ± 0.00 h | 1.16 ± 0.02 bc | |
| 1C | ERF | 226.09 | 2 | 450.22 | 4.87 ± 0.54 a | 2.25 ± 0.33 d | 1.34 ± 0.01 d | 0.01 ± 0.00 h | 0.63 ± 0.01 def |
| EYW | 249.12 | 2 | 496.20 | 1.32 ± 0.03 d | ND | 1.75 ± 0.03 a | 0.06 ± 0.00 f | 0.69 ± 0.02 de | |
| FLQL | 260.42 | 2 | 519.31 | ND | ND | ND | 0.01 ± 0.00 h | ND | |
| QFAW | 276.17 | 2 | 550.25 | 1.67 ± 0.01 b | ND | ND | 0.03 ± 0.00 g | 0.07 ± 0.0 1 g | |
| Glutathione (GSH) | 0.03 ± 0.00 e | 0.60 ± 0.01 ef | 0.04 ± 0.01 g | 0.61 ± 0.02 b | 0.18 ± 0.01 gf | ||||
Publisher’s Note: MDPI stays neutral with regard to jurisdictional claims in published maps and institutional affiliations. |
© 2021 by the authors. Licensee MDPI, Basel, Switzerland. This article is an open access article distributed under the terms and conditions of the Creative Commons Attribution (CC BY) license (http://creativecommons.org/licenses/by/4.0/).
Share and Cite
Sonklin, C.; Alashi, A.M.; Laohakunjit, N.; Aluko, R.E. Functional Characterization of Mung Bean Meal Protein-Derived Antioxidant Peptides. Molecules 2021, 26, 1515. https://doi.org/10.3390/molecules26061515
Sonklin C, Alashi AM, Laohakunjit N, Aluko RE. Functional Characterization of Mung Bean Meal Protein-Derived Antioxidant Peptides. Molecules. 2021; 26(6):1515. https://doi.org/10.3390/molecules26061515
Chicago/Turabian StyleSonklin, Chanikan, Adeola M. Alashi, Natta Laohakunjit, and Rotimi E. Aluko. 2021. "Functional Characterization of Mung Bean Meal Protein-Derived Antioxidant Peptides" Molecules 26, no. 6: 1515. https://doi.org/10.3390/molecules26061515
APA StyleSonklin, C., Alashi, A. M., Laohakunjit, N., & Aluko, R. E. (2021). Functional Characterization of Mung Bean Meal Protein-Derived Antioxidant Peptides. Molecules, 26(6), 1515. https://doi.org/10.3390/molecules26061515

