The Free-Amino-Acid Content in Six Potatoes Cultivars through Storage
Abstract
1. Introduction
2. Results
2.1. Effect of the Applied Research Factors
2.2. Effect of the Potato Cultivar
2.3. Effect of Storage Temperature and Cultivar
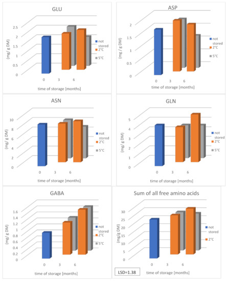
2.4. Effect of Storage Time and Cultivar
3. Materials and Methods
3.1. Raw Material
3.2. Proximate Analysis
3.3. Determination of Free Amino Acids
3.4. Statistical Analyses
4. Conclusions
Supplementary Materials
Author Contributions
Funding
Institutional Review Board Statement
Informed Consent Statement
Data Availability Statement
Conflicts of Interest
Sample Availability
References
- Akyıldız, A.; Polat, S.; Ağçam, E.; Fenercioğlu, H. Potato and Potato-Processing Technology. In Handbook of Vegetable Preservation and Processing, 2nd ed.; Hui, Y.H., Evranuz, E.Ö., Eds.; CRC Press: Boca Raton, FL, USA, 2015; pp. 591–594. [Google Scholar]
- Clark, J.; Tsang, C.; Clapham, M.E. Phenolic composition and antioxidant capacity of a novel variety of purple potato. Proc. Nutr. Soc. 2010, 69, E510. [Google Scholar] [CrossRef]
- Kaspar, K.L.; Park, J.S.; Brown, C.R.; Mathison, B.D.; Navarre, D.A.; Chew, B.P. Pigmented potato consumption alters oxidative stress and inflammatory damage in men. J. Nutr. 2011, 141, 108–111. [Google Scholar] [CrossRef]
- Lachman, J.; Hamouz, K.; Orsák, M.; Pivec, V.; Hejtmankova, K.; Pazderů, K.; Dvořak, P.; Čepl, J. Impact of selected factors–cultivar, storage, cooking and baking on the content of anthocyanins in coloured-flesh potatoes. Food Chem. 2012, 133, 1107–1116. [Google Scholar] [CrossRef]
- Lachman, J.; Hamouz, K.; Orsák, M. Colored Potatoes. In Advances in Potato Chemistry and Technology, 2nd ed.; Singh, J., Kaur, L., Eds.; Academic Press: Cambridge, MA, USA, 2016; pp. 249–281. [Google Scholar]
- Blenkinsop, R.W.; Copp, L.J.; Marangoni, A.G. Changes in compositional parameters of tubers of potato during low-temperature storage and their relationship to chip processing quality. J. Agric. Food Chem. 2002, 50, 4545–4553. [Google Scholar] [CrossRef]
- Eppendorfer, W.H.; Eggum, B.O.; Bille, S.W. Nutritive value of potato crude protein as influenced by manuring and amino acid composition. J. Sci. Food Agric. 1979, 30, 361–368. [Google Scholar] [CrossRef]
- Rexen, B. Studies of protein of potatoes. Potato Res. 1976, 19, 189–202. [Google Scholar] [CrossRef]
- Talley, E.A.; Toma, R.B.; Orr, P.H. Amino acid composition of freshly harvested and stored potatoes. Am. Potato J. 1984, 61, 267–279. [Google Scholar] [CrossRef]
- Van Gelder, W.M.J.; Vonk, C.R. Amino acid composition of coagulable protein from tubers of 34 potato varieties and its relationship with protein content. Potato Res. 1980, 23, 427–434. [Google Scholar] [CrossRef]
- Wegener, C.B.; Jansen, G.; Jürgens, H.-U. Bioactive compounds in potatoes: Accumulation under drought stress conditions. Funct. Foods Health Dis. 2015, 5, 108–116. [Google Scholar] [CrossRef]
- Brierley, E.R.; Bonner, P.L.R.; Coob, A.H. Factors influencing the free amino acid content of potato (Solanum tuberosum L.) tubers during prolonged storage. J. Sci. Food Agric. 1996, 70, 515–525. [Google Scholar] [CrossRef]
- Brierley, E.R.; Bonner, P.L.R.; Cobb, A.H. Aspects of amino acid metabolism in stored potato tubers (cv. Pentland Dell). Plant Sci. 1997, 127, 17–24. [Google Scholar] [CrossRef]
- Jansen, G.; Flamme, W. Coloured potatoes (Solanum tuberosum L.) anthocyanin content and tuber quality. Genet. Resour. Crop Evol. 2006, 53, 1321–1331. [Google Scholar] [CrossRef]
- Choi, S.-H.; Kozukue, N.; Kim, H.-J.; Friedman, M. Analysis of protein amino acids, non-protein amino acids and metabolites, dietary protein, glucose, fructose, sucrose, phenolic, and flavonoid content and antioxidative properties of potato tubers, peels, and cortexes (pulps). J. Food Compos. Anal. 2016, 50, 77–87. [Google Scholar] [CrossRef]
- Ito, H.; Ueno, H.; Kikuzaki, H. Construction of a free-form amino acid database for vegetables and mushrooms. Integr. Food Nutr. Metab. 2017, 4, 1–9. [Google Scholar] [CrossRef][Green Version]
- Matsuura-Endo, C.; Ohara-Takada, A.; Chuda, Y.; Ono, H.; Yada, H.; Yoshida, M.; Kobayashi, A.; Tsuda, S.; Takigawa, S.; Noda, T.; et al. Effects of storage temperatures on the contents of sugars and free amino acids in tubers from different potato cultivars and acrylamide in chips. Biosci. Biotechnol. Biochem. 2006, 70, 1173–1180. [Google Scholar] [CrossRef]
- Kita, A.; Bąkowska-Barczak, A.; Hamouz, K.; Kułakowska, K.; Lisińska, G. The effect of frying on anthocyanin stability and antioxidant activity of crisps from red- and purple-fleshed potatoes (Solanum tuberosum L.). J. Food Compos. Anal. 2013, 32, 169–175. [Google Scholar] [CrossRef]
- Galdón, B.R.; Mesa, D.R.; Rodriquez, E.M.R.; Romero, C.D. Amino acid content in traditional potato cultivars from the Canary Islands. J. Food Compos. Anal. 2010, 23, 148–153. [Google Scholar] [CrossRef]
- Pęksa, A.; Kita, A.; Kułakowska, K.; Aniolowska, M.; Hamouz, K.; Nemś, A. The quality of protein of coloured fleshed potatoes. Food Chem. 2013, 14, 2960–2966. [Google Scholar] [CrossRef]
- Rai, V.K. Role of amino acids in plant responses to stresses. Biol. Plant. 2002, 45, 481–487. [Google Scholar] [CrossRef]
- Halford, N.G.; Muttucumaru, N.; Powers, S.J.; Gillatt, P.N.; Hartley, L.; Elmore, J.S.; Mottram, D.S. Concentrations of free amino acids and sugars in nine potato varieties: Effects of storage and relationship with acrylamide formation. J. Agric. Food Chem. 2012, 60, 12044–12055. [Google Scholar] [CrossRef]
- Pęksa, A.; Miedzianka, J.; Nemś, A. Amino acid composition of flesh-coloured potatoes as affected by storage conditions. Food Chem. 2018, 266, 335–432. [Google Scholar] [CrossRef]
- Mansfield, S.D.; Baerlocher, M.O. Free amino acids. In Methods to Study Litter Decomposition: A Practical Guide, 1st ed.; Graça, M.A.S., Bärlocher, F., Gessner, M.O., Eds.; Springer: Dordrecht, The Netherlands, 2005; pp. 69–74. [Google Scholar]
- Synge, R.L.M. Free amino acids of potato tubers: A survey of published results set out according to potato variety. Potato Res. 1977, 20, 1–7. [Google Scholar] [CrossRef]
- Sato, H.; Koizumi, R.; Itoyama, R.; Ichisawa, M.; Negishi, J.; Sakuma, R.; Furusho, T.; Sagane, Y.; Takano, K. Free amino acids in Potato (Solanum tuberosum L.) may cause egumi-taste in food products. Potato Res. 2019, 62, 305–314. [Google Scholar] [CrossRef]
- Barla, F.; Koyanagi, T.; Tokuda, N.; Matsui, H.; Katayama, T.; Kumagai, H.; Michihata, T.; Sasaki, T.; Tsuji, A.; Enomoto, T. The γ-aminobutyric acid-producing ability under low pH conditions of lactic acid bacteria isolated from traditional fermented foods of Ishikawa Prefecture, Japan, with a strong ability to produce ACE-inhibitory peptides. Biotechnol. Rep. 2016, 10, 105–110. [Google Scholar] [CrossRef] [PubMed]
- Bora, P. Anti-nutritional factors in foods and their effects. J. Acad. Ind. Res. 2014, 3, 285–290. [Google Scholar]
- Miedzianka, J.; Pęksa, A.; Nemś, A.; Drzymała, K.; Zambrowicz, A.; Kowalczewski, P. Trypsin inhibitor, antioxidant and antimicrobial activities as well as chemical composition of potato sprouts originating from yellow- and colored-fleshed varieties. J. Environ. Sci. Health B 2020, 55, 42–51. [Google Scholar] [CrossRef]
- Diana, M.; Quílez, J.; Rafecas, M. Gamma-aminobutyric acid as a bioactive compound in Foods: A review. J. Funct. Foods 2014, 10, 407–420. [Google Scholar] [CrossRef]
- Kato, H.; Rheu, M.R.; Nishimura, T. Role of free amino acids and peptides in food taste. In Flavor Chemistry, 1st ed.; Teranishi, R., Buttery, R.G., Shahidi., F., Eds.; ACS Symposium Series; American Chemical Society: Washington, DC, USA, 1989; pp. 158–174. [Google Scholar]
- Characteristics of the National Register of Potato Varieties. Available online: http://pw.ihar.edu.pl/wp-content/uploads/2019/11/Charakterystyka-2019.pdf (accessed on 29 January 2021). (In Polish).
- AOAC. Official Methods of Analysis, 16th ed.; AOAC: Washington, DC, USA, 1995. [Google Scholar]




| Amino Acid | ANOVA Test | ||||||
|---|---|---|---|---|---|---|---|
| Temperature | Time | Cultivar | Temperature × Time | Temperature × Cultivar | Time × Cultivar | Temperature × Time × Cultivar | |
| Asn | *** | *** | *** | *** | *** | *** | *** |
| Asp | *** | *** | *** | *** | *** | *** | *** |
| Gln | *** | *** | *** | *** | *** | *** | *** |
| Glu | * | * | *** | *** | *** | *** | *** |
| Arg | *** | * | *** | *** | *** | *** | *** |
| Val | NS | ** | *** | * | *** | * | *** |
| Gaba | NS | *** | *** | *** | *** | *** | *** |
| Pro | *** | *** | *** | *** | *** | *** | *** |
| Ala | *** | *** | *** | *** | *** | *** | *** |
| Tyr | NS | *** | *** | *** | *** | *** | *** |
| Aaa | * | * | *** | *** | *** | *** | *** |
| Lys | ** | *** | *** | *** | *** | *** | *** |
| Ile | NS | NS | *** | NS | *** | *** | *** |
| Leu | ** | *** | *** | *** | *** | *** | *** |
| Ea | NS | NS | NS | NS | NS | ** | ** |
| Ser | *** | *** | *** | *** | *** | *** | *** |
| Thr | * | *** | *** | *** | *** | *** | *** |
| His | ** | *** | *** | *** | *** | *** | *** |
| Met | NS | *** | *** | *** | *** | *** | *** |
| Phe | * | *** | *** | *** | *** | *** | *** |
| Gly | * | *** | *** | *** | *** | *** | *** |
| Cys | NS | *** | ** | *** | ** | *** | *** |
| Orn | NS | * | *** | * | ** | *** | *** |
| Total free aa | *** | ** | *** | *** | *** | *** | *** |
| Potato Cultivar | |||||||
|---|---|---|---|---|---|---|---|
| H26 | RE | BC | BA | V | F | ||
| Amino acid | Asn | 9.79 ± 1.79 a | 7.98 ± 1.29 c | 8.74 ± 1.30 b | 5.49 ± 1.27 d | 7.70 ± 1.88 c | 9.31 ± 1.10 a |
| Asp | 2.21 ± 0.54 a | 1.97 ± 0.52 b | 1.39 ± 0.26 d | 1.92 ± 0.49 b | 1.39 ± 0.36 d | 1.66 ± 0.18 c | |
| Gln | 4.62 ± 1.04 c | 6.78 ± 1.36 a | 5.00 ± 0.96 b | 2.14 ± 0.62 e | 2.40 ± 0.76 e | 3.18 ± 0.96 d | |
| Glu | 1.65 ± 0.34 c | 2.04 ± 0.40 b | 2.36 ± 0.26 a | 2.10 ± 0.33 b | 1.66 ± 0.54 c | 1.62 ± 0.20 c | |
| Arg | 1.17 ± 0.22 c | 1.87 ± 0.32 b | 1.98 ± 0.18 a | 0.49 ± 0.11 f | 0.710.14 e | 0.95 ± 0.16 d | |
| Val | 0.91 ± 0.21 b | 0.96 ± 0.14 b | 1.28 ± 0.16 a | 0.66 ± 0.08 c | 0.67 ± 0.20 c | 1.21 ± 0.20 a | |
| GABA | 0.89 ± 0.23 e | 1.26 ± 0.43 c | 1.46 ± 0.35 b | 1.01 ± 0.40 d | 0.57 ± 0.10 f | 1.66 ± 0.40 a | |
| Pro | 0.68 ± 0.43 c | 0.64 ± 0.28 d | 0.88 ± 0.27 b | 0.89 ± 0.86 b | 0.53 ± 0.10 e | 0.98 ± 0.35 b | |
| Ala | 0.22 ± 0.13 d | 0.41 ± 0.34 b | 0.45 ± 0.24 a | 0.35 ± 0.14 c | 0.23 ± 0.21 d | 0.42 ± 0.17 a | |
| Tyr | 0.43 ± 0.10 d | 0.42 ± 0.13 d | 0.77 ± 0.06 a | 0.52 ± 0.08 b | 0.47 ± 0.10 c | 0.55 ± 0.14 b | |
| AAA | 0.52 ± 0.69 b | 0.20 ± 0.30 c | 0.39 ± 0.43 b,c | 0.22 ± 0.15 c | 0.58 ± 0.58 b | 0.86 ± 0.75 a | |
| Lys | 0.62 ± 0.13 c | 0.61 ± 0.14 c | 0.72 ± 0.11 a | 0.31 ± 0.08 e | 0.53 ± 0.10 d | 0.68 ± 0.16 b | |
| Ile | 0.51 ± 0.11 b | 0.52 ± 0.10 b | 0.63 ± 0.08 a | 0.47 ± 0.06 c | 0.31 ± 0.07 d | 0.50 ± 0.08 b,c | |
| Leu | 0.24 ± 0.08 c | 0.37 ± 0.10 a | 0.29 ± 0.02 b | 0.25 ± 0.07 c | 0.15 ± 0.04 d | 0.26 ± 0.08 c | |
| EA | 0.26 ± 0.07 a | 0.25 ± 0.06 a | 0.34 ± 0.03 a | 0.30 ± 0,08 a | 0.27 ± 0.05 a | 0.29 ± 0.10 a | |
| Ser | 0.71 ± 0.30 b | 0.56 ± 0.21 c | 0.38 ± 0.05 d | 0.39 ± 0.14 d | 0.23 ± 0.04 e | 0.80 ± 0.30 a | |
| Thr | 0.39 ± 0.09 c | 0.47 ± 0.10 b | 0.25 ± 0.03 e | 0.10 ± 0.02 f | 0.36 ± 0.07 d | 0.56 ± 0.14 a | |
| His | 0.35 ± 0.09 b | 0.35 ± 0,06 b | 0.44 ± 0.05 a | 0.26 ± 0.04 c | 0.28 ± 0.04 c | 0.32 ± 0.09 b | |
| Met | 0.30 ± 0.06 b | 0.24 ± 0.09 c | 0.23 ± 0.04 c | 0.15 ± 0.04 d | 0.25 ± 0.02 c | 0.40 ± 0.06 a | |
| Phe | 0.18 ± 0.06 d | 0.21 ± 0.07 d | 0.29 ± 0.08 c | 0.26 ± 0.05 c | 0.35 ± 0.08 b | 0.39 ± 0.08 b | |
| Gly | 0.05 ± 0.02 d | 0.07 ± 0.02 b | 0.06 ± 0.01 c | 0.03 ± 0.02 f | 0.04 ± 0.01 e | 0.09 ± 0.01 a | |
| Cys | 0.07 ± 0.03 b | 0.08 ± 0.04 a,b | 0.08 ± 0.03 a,b | 0.09 ± 0.04 a | 0.06 ± 0.03 c | 0.09 ± 0.01 a | |
| L-orn | 0.05 ± 0.02 b | 0.10 ± 0.02 a | 0.09 ± 0.03 a | 0.09 ± 0.04 a | 0.03 ± 0.01 b | 0.04 ± 0.02 b | |
| Total free aa (TAA) | 26.85 ± 5.44 b | 28.36 ± 3.69 a | 28.55 ± 2.50 a | 18.53 ± 3.31 c | 19.81 ± 3.50 c | 26.84 ± 4.11 b | |
| Dry matter | 23.03 ± 1.03 a | 22.58 ± 2.43 a,b | 23.30 ± 1.37 a | 22.70 ± 1.67 a,b | 21.15 ± 1.09 c | 20.24 ± 2.85 d | |
| Storage Temperature (°C) | |||
|---|---|---|---|
| 2 | 5 | ||
| Amino acid | Asn | 8.51 ± 1.92 a | 7.82 ± 2.03 b |
| Asp | 1.87 ± 0.54 a | 1.65 ± 0.44 b | |
| Gln | 4.32 ± 1.90 a | 3.72 ± 1.85 b | |
| Glu | 1.98 ± 0.43 a | 1.84 ± 0.46 b | |
| Arg | 1.24 ± 0.60 a | 1.15 ± 0.58 b | |
| Val | 0.95 ± 0.28 a | 0.95 ± 0.30 a | |
| GABA | 1.14 ± 0.45 a | 1.14 ± 0.53 a | |
| Pro | 0.87 ± 0.59 a | 0.66 ± 0.25 b | |
| Ala | 0.36 ± 0.12 a | 0.34 ± 0.19 b | |
| Tyr | 0.53 ± 0.16 a | 0.53 ± 0.16 a | |
| AAA | 0.43 ± 0.61 a | 0.50 ± 0.51 a | |
| Lys | 0.59 ± 0.19 a | 0.56 ± 0.17 b | |
| Ile | 0.49 ± 0.12 a | 0.49 ± 0.13 a | |
| Leu | 0.27 ± 0.09 a | 0.25 ± 0.10 b | |
| EA | 0.28 ± 0.09 a | 0.29 ± 0.10 a | |
| Ser | 0.54 ± 0.31 a | 0.48 ± 0.25 b | |
| Thr | 0.35 ± 0.16 b | 0.36 ± 0.18 a | |
| His | 0.35 ± 0.10 a | 0.32 ± 0.08 b | |
| Met | 0.26 ± 0.09 a | 0.27 ± 0.08 a | |
| Phe | 0.29 ± 0.09 a | 0.27 ± 0.11 b | |
| Gly | 0.08 ± 0.02 a | 0.07 ± 0.02 a | |
| Cys | 0.06 ± 0.03 a | 0.06 ± 0.03 a | |
| L-orn | 0.07 ± 0.05 a | 0.06 ± 0.05 a | |
| Total free aa (TAA) | 25.86 ± 5.62 a | 23.79 ± 5.22 b | |
| Dry matter | 21.30 ± 2.27 b | 21.92 ± 2.12 a | |
| Storage Time (Month) | ||||
|---|---|---|---|---|
| 0 | 3 | 6 | ||
| Amino acid | Asn | 8.77 ± 1.52 a | 8.09 ± 1.78 b | 7,65 ± 2.47 c |
| Asp | 1.78 ± 0.42 b | 1.94 ± 0.43 a | 1.55 ± 0.58 c | |
| Gln | 4.28 ± 1.82 a | 3.56 ± 1.66 b | 4.22 ± 2.15 a | |
| Glu | 1.92 ± 0.44 a,b | 1.99 ± 0.47 a | 1.82 ± 0.42 b | |
| Arg | 1.20 ± 0.69 a,b | 1.16 ± 0.53 b | 1.22 ± 0.57 a | |
| Val | 0.92 ± 0.23 b | 0.92 ± 0.22 b | 1,00 ± 0.39 a | |
| GABA | 0.86 ± 0.28 c | 1.08 ± 0.36 b | 1.48 ± 0.56 a | |
| Pro | 0.48 ± 0.18 c | 0.66 ± 0.11 b | 1.16 ± 0.59 a | |
| Ala | 0.17 ± 0.07 c | 0.30 ± 0.12 b | 0.57 ± 0.23 a | |
| Tyr | 0.46 ± 0.16 c | 0.53 ± 0.14 b | 0.59 ± 0.15 a | |
| AAA | 0.34 ± 0.38 b | 0.50 ± 0.50 a,b | 0.56 ± 0.73 a | |
| Lys | 0.49 ± 0.12 c | 0.59 ± 0.17 b | 0.66 ± 0.20 a | |
| Ile | 0.49 ± 0.13 a | 0.50 ± 0.13 a | 0.48 ± 0.12 a | |
| Leu | 0.20 ± 0.06 c | 0.25 ± 0.07 b | 0.33 ± 0.10 a | |
| EA | 0.29 ± 0.14 a | 0.26 ± 0.07 a | 0.31 ± 0.07 a | |
| Ser | 0.36 ± 0.12 c | 0.48 ± 0.17 b | 0,69 ± 0.38 a | |
| Thr | 0.32 ± 0.13 c | 0.34 ± 0.15 b | 0,40 ± 0.22 a | |
| His | 0.29 ± 0.06 c | 0.33 ± 0.08 b | 0.38 ± 0.10 a | |
| Met | 0.29 ± 0.09 a | 0.25 ± 0.07 b | 0.25 ± 0.10 b | |
| Phe | 0.28 ± 0.11 b | 0.26 ± 0.09 b | 0.30 ± 0.11 a | |
| Gly | 0.05 ± 0.02 b | 0.09 ± 0.02 a | 0.09 ± 0.03 a | |
| Cys | 0.05 ± 0.03 b | 0.06 ± 0.02 a | 0.06 ± 0.02 a | |
| L-orn | 0.08 ± 0.07 a | 0.06 ± 0.03 b | 0.06 ± 0.03 b | |
| Total free aa (TAA) | 24.38 ± 4.53 a | 24.21 ± 4.62 a | 25.87 ± 7.02 b | |
| Dry matter | 21.04 ± 1.98 b | 21.90 ± 2.00 a | 21.89 ± 1.52 a | |
Publisher’s Note: MDPI stays neutral with regard to jurisdictional claims in published maps and institutional affiliations. |
© 2021 by the authors. Licensee MDPI, Basel, Switzerland. This article is an open access article distributed under the terms and conditions of the Creative Commons Attribution (CC BY) license (http://creativecommons.org/licenses/by/4.0/).
Share and Cite
Pęksa, A.; Miedzianka, J.; Nemś, A.; Rytel, E. The Free-Amino-Acid Content in Six Potatoes Cultivars through Storage. Molecules 2021, 26, 1322. https://doi.org/10.3390/molecules26051322
Pęksa A, Miedzianka J, Nemś A, Rytel E. The Free-Amino-Acid Content in Six Potatoes Cultivars through Storage. Molecules. 2021; 26(5):1322. https://doi.org/10.3390/molecules26051322
Chicago/Turabian StylePęksa, Anna, Joanna Miedzianka, Agnieszka Nemś, and Elżbieta Rytel. 2021. "The Free-Amino-Acid Content in Six Potatoes Cultivars through Storage" Molecules 26, no. 5: 1322. https://doi.org/10.3390/molecules26051322
APA StylePęksa, A., Miedzianka, J., Nemś, A., & Rytel, E. (2021). The Free-Amino-Acid Content in Six Potatoes Cultivars through Storage. Molecules, 26(5), 1322. https://doi.org/10.3390/molecules26051322

