Next Article in Journal
Drug Discovery of Nucleos(t)ide Antiviral Agents: Dedicated to Prof. Dr. Erik De Clercq on Occasion of His 80th Birthday
Next Article in Special Issue
Synthesis of Chromeno[3,4-b]piperazines by an Enol-Ugi/Reduction/Cyclization Sequence
Previous Article in Journal
Applications of Vibrational Spectroscopy for Analysis of Connective Tissues
 
 
Font Type:
Arial Georgia Verdana
Font Size:
Aa Aa Aa
Line Spacing:
Column Width:
Background:
Article

Keto-Enol Tautomerism in Passerini and Ugi Adducts

by
Pablo Pertejo
1,
Andrea Sancho-Medina
1,
Tomás Hermosilla
1,
Beatriz González-Saiz
1,
Javier Gómez-Ayuso
1,
Roberto Quesada
1,
Daniel Moreno
2,
Israel Carreira-Barral
1,* and
María García-Valverde
1,*
1
Departamento de Química, Facultad de Ciencias, Universidad de Burgos, 09001 Burgos, Spain
2
Departamento de Didáctica de las Matemáticas y las Ciencias Experimentales, Facultad de Educación, Universidad Internacional de La Rioja, 26006 Logroño, Spain
*
Authors to whom correspondence should be addressed.
Molecules 2021, 26(4), 919; https://doi.org/10.3390/molecules26040919
Submission received: 11 January 2021 / Revised: 1 February 2021 / Accepted: 5 February 2021 / Published: 9 February 2021
(This article belongs to the Special Issue New Approach in Multicomponent Reactions)

Abstract

The use of arylglyoxal as starting material in Passerini and Ugi reactions affords β-ketoamides. This has allowed to study keto-enol tautomerism in these systems and assess the way in which the presence of acyloxy or aminoacyl groups bound to the C2 position affects such tautomerism, and to investigate the reactivity of both the enol and carbonyl forms. In this work we also prove the versatility of the Passerini reaction, since depending on the conditions to which the corresponding adducts are subjected different products of synthetic interest can be obtained.

1. Introduction

Keto-enol tautomerism, especially in 1,3-dicarbonyl systems, has been widely studied. Most of the research conducted in this field has focused on determining the influence of structural factors (aromaticity, conjugation, sterical effects, hydrogen bonds, etc.) or external effects (temperature, solvent, concentration, etc.) on tautomeric equilibria [1,2,3,4], NMR being the most useful tool to evaluate it [5,6]. Although one of the most important aspects of keto-enol tautomerism is the different reactivity of tautomers, it is not easy to find examples in the literature addressing this issue in structurally similar compounds. Given this, we decided to investigate keto-enol tautomerism in β-ketoamides synthesized by Passerini [7,8] and Ugi reactions [9], from their synthesis, identification and analysis, to their different reactivity and use in the construction of different substituted systems. The final purpose of this work has been the use of the corresponding adducts as intermediates in the synthesis of highly functionalized γ-lactames and mainly γ-lactones, and of novel 2-hydroxyglutaric acid derivatives, because of their wide range of biological activity and their use as therapeutic agents (Figure 1) [10,11].

2. Discussion of Results

2.1. Keto-Enol Tautomerism in Passerini and Ugi Adducts

Firstly, we analyzed the tautomeric equilibrium from both the theoretical and experimental point of view. We synthesized β-ketoamides substituted at C2 with acyloxy and aminoacyl groups, employing phenylglyoxal in the Passerini [12] and Ugi [13] reactions.
In order to carry out the Passerini reaction, phenylglyoxal (1a), propionic acid (2a) and cyclohexyl isocyanide (3a) were used, with benzylamine (4) acting as the fourth component in the Ugi reaction. These processes afforded Passerini and Ugi adducts 5 and 6, respectively (Scheme 1), which after their isolation were characterized by means of NMR spectroscopy. The 1H NMR spectrum of Passerini adduct 5 exhibits a singlet at 6.3 ppm, corresponding to the proton linked to the C2 position of the keto tautomer, while the signal attributable to the enol hydroxylic proton is not observed, indicating that the Passerini adduct is in its keto form. However, the 1H NMR spectrum of Ugi adduct 6 displays a deshielded signal (15.3 ppm), due to the proton of the enol group, and the singlet that would be attributed to the proton at the C2 position of the keto tautomer is not shown. These data confirm that the Ugi adduct is found exclusively in its enol form. (NMR data and additional crystallographic data are presented in the Supplementary Materials).
Single-crystal X-ray diffraction analyses of compounds 5 and 6 show that the major tautomer is different in each case (Figure 2), in agreement with solution studies. Interestingly, although it has been described that both enol and keto tautomers are able to establish intramolecular hydrogen-bonding interactions [14,15], no intramolecular hydrogen bond between the NH fragment of the amide group and the carbonyl oxygen (N-H⋯O) is observed for the keto tautomer of Passerini adduct 5, neither in the solid state nor in solution. Indeed, the chemical shift of the signal due to the NH proton observed in its 1H NMR spectrum is too low (6.2 ppm) to participate in this bond.
Different studies dealing with keto-enol tautomerism in β-ketoamides concluded that the presence of electron-donating groups at their C2 position weakens the intramolecular hydrogen bond involving the OH fragment of the enol tautomer, favoring the carbonyl form; nevertheless, electron-withdrawing groups strengthen such a hydrogen bond and therefore shift the equilibrium towards the enol tautomer [14]. Considering these facts, in the present case we expected the shift of the tautomeric equilibrium towards the enol form in both the Passerini and Ugi adducts. Intrigued by our experimental results, we tried the synthesis of a third derivative, the non-substituted Ugi adduct 6NH, similar to 6 but derived from ammonia, in order to determine both the electronic and steric effect of the C2 substituent on the equilibrium. Although the synthesis of this compound was not successful, we decided to include it in the theoretical study with the purpose of establishing the role of the heteroatom attached to the C2 position in the tautomeric equilibrium and subsequently the steric effect due to the N-benzyl substituent. So, initially we conducted DFT quantum chemical calculations for adducts 5, 6NH and 6, using Gaussian 09 [16] (Figure 3). The geometries of all species were fully optimized at the B3LYP/6-31G** level. The environmental effects were taken into account by the polarizable continuum model (PCM) using the integral equation formalism variant (IEFPCM).
The performed calculations were in agreement with the experimental data for adducts 5 and 6. Thus, for Passerini adduct 5 (X: O) the keto form was the most stable tautomer, whereas the enol form was the thermodynamically favorable tautomer in the case of Ugi adduct 6 (X: NBn); the equilibrium constants (in chloroform) for the conversion of the keto form into the enol one amount to 1.4 × 10−3 and 4.0 × 104, respectively (Scheme 2; Entries 1 and 4, Table 1). This difference seems to be attributable more to steric than to electronic effects. Indeed, the calculated equilibrium constant for non-substituted Ugi adduct 6NH (X: NH), although higher than the equilibrium constant for Passerini adduct 5 (X: O) (Entries 1 and 2, Table 1), remains very low, while the introduction of a benzyl substituent on the nitrogen attached to the C2 position shifts the equilibrium to the enol form. In order to increase the scope of this study, the theoretical analysis was extended to other N-substituted Ugi adducts, namely N-methyl (6NMe, X: NMe) and N-tert-butyl (6NtBu, X: NtBu) (Scheme 2; Entries 3 and 5, Table 1). Overall, these calculations show that the most favorable tautomer for all N-substituted Ugi adducts is the enol one. In this sense, a correlation between steric hindrance and the calculated equilibrium constants is noticed, since as the former increases, the latter also rises. These results support the importance of the steric factor in the tautomeric equilibrium.
As mentioned above, electron-withdrawing groups at C2 should strengthen the intramolecular hydrogen bond involving the OH fragment of the enol group, thus stabilizing the enol tautomer [14]. Due to this, we calculated charge distribution in adducts 5 and 6NH by NBO analysis, in order to determine the character of acyloxy and aminoacyl groups as substituents in the β-ketoamides from the electronic point of view. This analysis revealed a more negative carbon adjacent to the aminoacyl group in 6NH, −0.22e and −0.10e for the keto and enol forms, respectively, than for the carbon contiguous to the acyloxy group, with values of −0.07e and 0.08e. Therefore, the latter has a higher electron-withdrawing character, and therefore the enol tautomer should be more favored in Passerini adduct 5 than in non-substituted Ugi adduct 6NH, in contrast to the theoretical results (Entries 1 and 2, Table 1). Nonetheless, the keto form would be the major tautomer in both cases.
Bearing these results in mind, the difference in the tautomeric equilibrium for Passerini 5 and Ugi 6 adducts appears to be due to steric reasons more than to electronic factors. Thus, when the benzyl group is attached to the nitrogen atom in the aminoacyl substituent of the Ugi adduct, the shift of the equilibrium to the enol form would be explained by the reduction of steric repulsion. In this way, the aminoacyl substituent at C2 would be located in a perpendicular fashion with respect to the enol double bond, allowing the benzyl and propionyl groups to get away from the bulky cyclohexyl and phenyl substituents in the enol tautomer of Ugi adduct 6. These results are supported by the X-ray molecular structure (Figure 2) and the 1H NMR spectrum of Ugi adduct 6. This spectrum displays signals due to diastereotopic protons, regardless of the absence of a stereogenic centre at C2 in this enol form: an AB spin system assignable to the benzyl protons and an ABX3 spin system corresponding to the ethyl group. This proves the existence of a stereogenic element in the molecule, a chiral axis, a consequence of the restriction of the spin around the Cenol-N bond, thus leading to atropisomers (Figure 2) [17].

2.2. Reactivity of Keto and Enol Tautomers

An important aspect of keto and enol tautomers is their different reactivity. Indeed, the keto form is characterized by the electrophilicity of the carbonyl carbon and the acidity of the α positions, while the enol tautomer is distinguished by the nucleophilicity of the α carbon and the acidity of its OH group. Considering this reactivity and the different tautomers observed for the Passerini and Ugi adducts derived from phenylglyoxal, keto 5keto and enol 6enol (Scheme 1), we envisaged the possibility of studying their different reactivity by introducing an electrophilic position in the carboxylic component. Thus, propionic acid (2a) was replaced by 3-bromopropionic acid (2b), keeping the remaining reagents. The reactions would afford either 3-bromopropanoate 7a (Passerini adduct) or 2-bromopropionamide 8 (Ugi adduct) (Scheme 3).
As expected, the results were rather different because of the preferred tautomer. In this way, although Passerini adduct 7a was obtained with a high yield, Ugi adduct 8 could not be isolated, since a spontaneous cyclization took place yielding γ-lactame 9 (Scheme 3). This is the result of an intramolecular nucleophilic substitution, because of the nucleophilic character of the α carbon on the enol tautomer, as previously reported [18,19].
Then, we tried the cyclization of the Passerini adduct to the γ-lactone, based on the acidity of the α position in the keto tautomer. Consequently, this adduct was subjected to different alkaline media. Although in many cases the final product was not the expected γ-lactone, in most of them the isolated compounds were interesting intermediates obtained in a quantitative way, which proves the versatility and the synthetic interest of Passerini adducts.
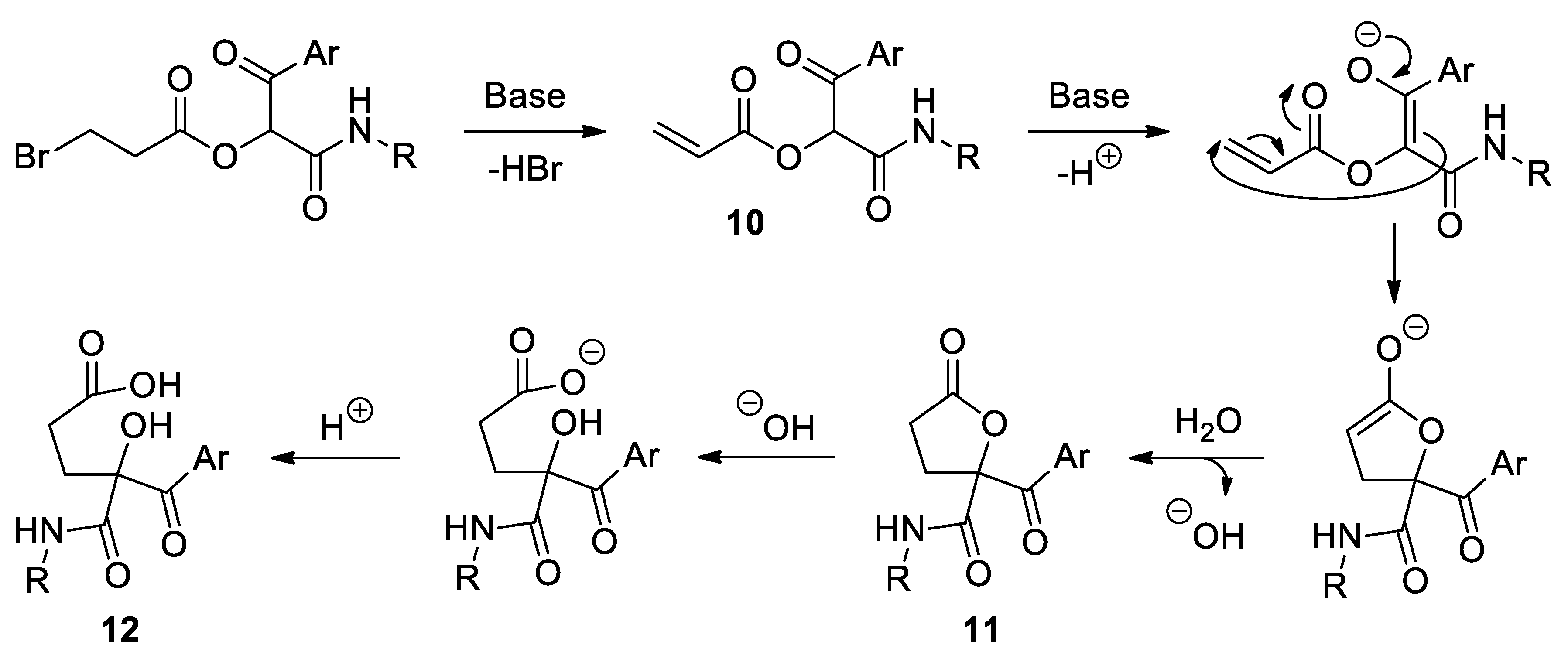
Use of potassium hydroxide in methanol led to a complex mixture of products, which could not be identified, likely formed from the saponification product. Then, a solution of triethylamine in acetonitrile was used; this afforded a new compound, not the γ-lactone but acrylate 10, resulting from elimination of hydrogen bromide (Scheme 4). This was confirmed by the 1H NMR spectrum of the product, which exhibited the typical signals of a monosubstituted olefin. In light of these results, the cyclization reaction was attempted employing cesium carbonate in boiling THF, turning out that the water content in the solvent was crucial. Thus, when dry THF was used, Passerini adduct 7a was recovered, but when wet THF was employed a mixture of two compounds was obtained, γ-lactone 11a and 4-benzoyl-5-(cyclohexylamino)-4-hydroxy-5-oxopentanoic acid 12a (Scheme 4), the latter resulting from the lactone’s opening, in a mechanism similar to that of Favorskii’s rearrangement. No other products were identified.
In view of these results we tried to optimize the synthesis of each of these derivatives. Thus, we used cesium carbonate in THF, varying the amount of water in the medium. Quantitative synthesis of γ-lactone 11a was achieved when THF was kept on 3 Å molecular sieves for three minutes before its use, whereas quantitative synthesis of glutaric acid derivative 12a was reached when some drops of water were added to the reaction mixture. Under these conditions we synthesized a variety of γ-lactones 11 and 2-hydroxyglutaric acid derivatives 12, from different arylglyoxals 1 and isocyanides 3, with good yields (Scheme 5, Table 2).
The study of the reaction progress over time by NMR spectroscopy allowed to conclude that in the course of the reaction elimination product 10 was generated and eventually developed into the cyclization product. This seems to support the fact that the cyclization reaction does not take place through an intramolecular nucleophilic substitution, but via an elimination mechanism followed by a nucleophilic conjugate addition of the enolate to the α,β-unsaturated system (Scheme 6). This was confirmed by treating the elimination product, isolated from the reaction of the Passerini adduct with triethylamine, with cesium carbonate in THF, which led again to γ-lactone 11.
This result opened the door to exploring the synthesis of γ-lactones 11 through a new synthetic route, with a complete atom economy, as acrylate 10 could be synthesized directly from acrylic acid 2c in combination with phenylglyoxal 1a and cyclohexyl isocyanide 3a through the Passerini reaction. In this way, by a two-step sequence and with a complete atom economy, we synthesized γ-lactone 11a (Scheme 7).
Finally, in order to increase the synthetic potential of the Passerini reaction, hydrolysis of γ-lactones 11 in acidic medium was attempted. Thus, the corresponding γ-lactone was dissolved in methanol and subjected to acidic conditions (HCl 0.5 M, 4 equiv.), and the mixture was refluxed for 2–3 h. The hydrolysis products were reached, as methyl esters 13, resulting from a transesterification reaction (Scheme 8, Table 3). γ-Lactone opening can also be performed in alkaline conditions (catalytic sodium methoxide in methanol) at room temperature. However, in this case the process must be conducted in dry methanol under nitrogen atmosphere, since the reaction mixture is moisture-sensitive. Thus, besides transesterification compounds 13, in the presence of wetness the formation of saponification derivatives 12 as secondary products is observed.
In summary, it is easy to see the great versatility of the Passerini reaction when employing doubly functionalized systems as starting materials. The use of arylglyoxals and 3-bromopropionic acid or acrylic acid, besides an isocyanide, leads to Passserini adducts, which, after being treated with commercially available, inexpensive and ecofriendly reagents, drive to highly functionalized systems, with a clear interest from the synthetic point of view.

3. Materials and Methods

3.1. General Methods

Melting points were not corrected. 1H, 19F and 13C NMR spectra were recorded in CDCl3, CD3CN or DMSO-d6 on Varian Mercury Plus 300 (at 300 and 75 MHz, respectively) or Varian Unity Inova 400 (at 400 and 100 MHz, respectively) spectrometers (Varian, Inc., Palo Alto, United States of America); DEPT-135 experiments were performed to assign carbon-13 signals. Chemical shifts are reported in parts per million with respect to residual solvent protons and coupling constants in hertz. High-resolution mass spectra were recorded on a 6545 Q-TOF Agilent LC-MS mass spectrometer (electrospray, positive ionization mode, ESI(+); Agilent Technologies, Inc., Santa Clara, United States of America). Single-crystal X-ray diffraction analyses were conducted on a Bruker D8 Venture diffractometer equipped with a Photon III area detector (Bruker Corporation, Billerica, United States of America)

3.2. Synthesis and Characterization

3.2.1. Passerini Adducts

Method A: The corresponding arylglyoxal hydrate 1 (1 mmol) was dissolved in dichloromethane (10 mL), after which the corresponding acid 2a-c (1 mmol) and the corresponding isocyanide 3 (1 mmol) were added. The reaction mixture was stirred at room temperature for 24 h. A hydrochloric acid aqueous solution (1 mL) was added to neutralize the unreacted isocyanide and the mixture was washed with a sodium carbonate aqueous solution (1 × 50 mL). The organic phase was dried over anhydrous sodium sulfate, filtered and concentrated to dryness. Slow evaporation of a solution of compound 5 in a 1:1 chloroform-hexane mixture provided colorless single crystals, suitable for X-ray diffraction analysis.
Method B: compound 10 was also prepared following a different procedure: Passerini adduct 7a (1 mmol) was dissolved in acetonitrile (10 mL) and triethylamine (1.1 mmol) was added. The reaction mixture was stirred at room temperature for 24 h and, after that, concentrated to dryness. The crude was dissolved in dichloromethane (20 mL) and this solution washed with a hydrochloric acid aqueous solution (1 × 50 mL). The organic phase was dried over anhydrous sodium sulfate, filtered and concentrated to dryness. The residue was purified by column chromatography, employing silica gel as a stationary phase and a 4:1 hexane-ethyl acetate mixture as an eluent.
1-(Cyclohexylamino)-1,3-dioxo-3-phenylpropan-2-yl propionate (5). White solid. Yield: 82%. M. p. 110–111 °C. 1H NMR (300 MHz, CDCl3) δ (ppm): 8.17–8.11 (m, 2H), 7.63–7.57 (m, 1H), 7.51–7.45 (m, 2H), 6.29 (s, 1H), 6.21 (d, J = 7.7 Hz, 1H, NH), 3.79–3.67 (m, 1H), 2.55 (qd, J = 15.2, 7.6 Hz, 1H), 2.54 (qd, J = 15.2, 7.6 Hz, 1H), 1.97–1.54 (m, 4H), 1.42–1.09 (m, 6H), 1.20 (t, J = 7.5 Hz, 3H). 13C NMR {DEPT-135} (75 MHz, CDCl3) δ (ppm): 191.9 (Cq), 172.2 (Cq), 162.7 (Cq), 134.4 (Cq), 133.8 (CHAr), 129.5 (CHAr), 128.4 (CHAr), 76.1 (CH), 48.5 (CH), 32.5 (CH2), 32.4 (CH2), 27.0 (CH2), 25.2 (CH2), 24.6 (CH2), 24.6 (CH2), 8.7 (CH3). HRMS (ESI): calculated for C18H24NO4 [MH+] 318.1700, found 318.1703.
1-(Cyclohexylamino)-1,3-dioxo-3-phenylpropan-2-yl 3-bromopropanoate (7a). Pale yellow solid. Yield: 93%. M. p. 114–115 °C. 1H NMR (300 MHz, CDCl3) δ (ppm): 8.16–8.09 (m, 2H), 7.63–7.57 (m, 1H), 7.52–7.45 (m, 2H), 6.36 (s, 1H), 6.30 (d, J = 7.7 Hz, 1H, NH), 3.78–3.66 (m, 1H), 3.61 (t, J = 6.8 Hz, 2H), 3.14 (t, J = 6.6 Hz, 2H), 1.98–1.06 (m, 10H). 13C NMR {DEPT-135} (75 MHz, CDCl3) δ (ppm): 191.5 (Cq), 168.6 (Cq), 162.4 (Cq), 134.4 (Cq), 134.3 (CHAr), 129.8 (CHAr), 128.7 (CHAr), 76.6 (CH), 48.9 (CH), 37.4 (CH2), 32.8 (CH2), 32.7 (CH2), 25.4 (CH2), 25.2 (CH2), 24.8 (CH2), 24.8 (CH2). HRMS (ESI): calculated for C18H23BrNO4 [MH+] 396.0805, found 396.0805.
1-(Butylamino)-1,3-dioxo-3-phenylpropan-2-yl 3-bromopropanoate (7b). Yellow oil. Yield: 84%. 1H NMR (300 MHz, CDCl3) δ (ppm): 8.10–8.04 (m, 2H), 7.57–7.52 (m, 1H), 7.46–7.38 (m, 2H), 6.66 (t, J = 5.5 Hz, 1H, NH), 6.33 (s, 1H), 3.56–3.50 (m, 2H), 3.27–3.09 (m, 2H), 3.08–3.02 (m, 2H), 1.45–1.36 (m, 2H), 1.29–1.17 (m, 2H), 0.82 (t, J = 7.3 Hz, 3H). 13C NMR {DEPT-135} (75 MHz, CDCl3) δ (ppm): 191.3 (Cq), 168.6 (Cq), 163.2 (Cq), 134.2 (Cq), 134.1 (CHAr), 129.5 (CHAr), 128.5 (CHAr), 76.3 (CH), 39.2 (CH2), 37.1 (CH2), 31.1 (CH2), 25.2 (CH2), 19.8 (CH2), 13.5 (CH3). HRMS (ESI): calculated for C16H21BrNO4 [MH+] 370.0648, found 370.0651.
1-(tert-Butylamino)-1,3-dioxo-3-phenylpropan-2-yl 3-bromopropanoate (7c). Yellow oil. Yield: 87%. 1H NMR (300 MHz, CDCl3) δ (ppm): 8.10–8.04 (m, 2H), 7.57–7.52 (m, 1H), 7.46–7.40 (m, 2H), 6.25 (sb, 1H, NH), 6.23 (s, 1H), 3.55 (t, J = 6.5 Hz, 1H), 3.54 (t, J = 6.5 Hz, 1H), 3.06 (t, J = 6.5 Hz, 2H), 1.29 (s, 9H). 13C NMR {DEPT-135} (75 MHz, CDCl3) δ (ppm): 191.7 (Cq), 168.5 (Cq), 162.4 (Cq), 134.4 (Cq), 134.1 (CHAr), 129.6 (CHAr), 128.6 (CHAr), 76.4 (CH), 52.0 (Cq), 37.2 (CH2), 28.4 (CH3), 25.2 (CH2). HRMS (ESI): calculated for C16H21BrNO4 [MH+] 370.0648, found 370.0650.
1-(Cyclohexylamino)-3-(4-fluorophenyl)-1,3-dioxopropan-2-yl 3-bromopropanoate (7d). Yellow oil. Yield: 86%. 1H NMR (300 MHz, CDCl3) δ (ppm): 8.22–8.15 (m, 2H), 7.20–7.12 (m, 2H), 6.35–6.28 (m, 1H, NH), 6.31 (s, 1H), 3.78–3.66 (m, 1H), 3.62 (t, J = 6.7 Hz, 1H), 3.61 (t, J = 6.7 Hz, 1H), 3.14 (t, J = 6.7 Hz, 2H), 1.97–1.08 (m, 10H). 13C NMR {DEPT-135} (75 MHz, CDCl3) δ (ppm): 189.6 (Cq), 168.5 (Cq), 166.2 (Cq, d, 1J = 257 Hz), 162.2 (Cq), 132.5 (CHAr, d, 3J = 9.6 Hz), 130.6 (Cq, d, 4J = 2.8 Hz), 115.7 (CHAr, d, 2J = 22 Hz), 76.2 (CH), 48.7 (CH), 37.1 (CH2), 32.5 (CH2), 32.4 (CH2), 25.2 (CH2), 24.6 (CH2), 24.6 (CH2). 19F NMR (300 MHz, CDCl3) δ: −102.8 (tt, J = 8.3, 5.4 Hz). HRMS (ESI): calculated for C18H22BrFNO4 [MH+] 414.0711, found 414.0714.
1-(Cyclohexylamino)-1,3-dioxo-3-phenylpropan-2-yl acrylate (10). Pink oil. Yield: 95% (by both method A and B). 1H NMR (300 MHz, CDCl3) δ (ppm): 8.18–8.13 (m, 2H), 7.64–7.57 (m, 1H), 7.52–7.46 (m, 2H), 6.53 (dd, J = 17.3, 1.3 Hz, 1H), 6.37 (s, 1H), 6.30 (dd, J = 17.3, 10.4 Hz, 1H), 6.23 (sb, 1H, NH), 5.99 (dd, J = 10.4, 1.3 Hz, 1H), 3.80–3.68 (m, 1H), 1.98–1.07 (m, 10H). 13C NMR {DEPT-135} (75 MHz, CDCl3) δ (ppm): 191.8 (Cq), 164.0 (Cq), 162.7 (Cq), 134.5 (Cq), 134.2 (CHAr), 133.4 (CH2), 129.8 (CHAr), 128.7 (CHAr), 126.8 (CH), 76.4 (CH), 48.8 (CH), 32.8 (CH2), 32.7 (CH2), 25.4 (CH2), 24.8 (CH2), 24.8 (CH2). HRMS (ESI): calculated for C18H22NO4 [MH+] 316.1543, found 316.1549.

3.2.2. Ugi Adducts/Lactames

Phenylglyoxal hydrate 1a (1 mmol) was dissolved in methanol (10 mL), after which benzylamine 4 (1 mmol), the corresponding acid 2a-b (1 mmol) and cyclohexyl isocyanide 3a (1 mmol) were added. The reaction mixture was stirred at room temperature for 24 h. The solvent was removed under reduced pressure and the residue dissolved in dichloromethane (20 mL). This solution was washed with a sodium hydroxide aqueous solution (2 × 50 mL) and with a hydrochloric acid aqueous solution (2 × 50 mL). The organic phase was dried over anhydrous sodium sulfate, filtered and concentrated to dryness. In the case of 6, the product was purified by column chromatography, employing silica gel as a stationary phase and a 4:1 hexane-ethyl acetate mixture as an eluent. In the case of 9, addition of ethyl acetate drove to the formation of a precipitate, which was isolated by vacuum filtration and dried in vacuo. Slow evaporation of a solution of 6 in diisopropyl ether and of a solution of 9 in acetone gave colorless single crystals, suitable for X-ray diffraction analysis.
(E)-2-(N-Benzylpropionamido)-N-cyclohexyl-3-hydroxy-3-phenylacrylamide (6). Brown solid. M. p. 90–92 °C. Yield: 82%. 1H NMR (300 MHz, CDCl3) δ (ppm): 15.26 (s, 1H, OH), 7.63–7.57 (m, 2H), 7.47–7.42 (m, 3H), 7.36–7.28 (m, 5H), 5.45 (d, J = 13.7 Hz, 1H), 5.02 (d, J = 8.1 Hz, 1H, NH), 3.52–3.40 (m, 1H), 3.31 (d, J = 13.7 Hz, 1H), 2.49 (dq, J = 16.7, 7.5 Hz, 1H), 2.27 (dq, J = 16.7, 7.5 Hz, 1H), 1.72–1.07 (m, 7H), 1.14 (t, J = 7.4 Hz, 3H), 1.07–0.71 (m, 2H), 0.36–0.23 (m, 1H). 13C NMR {DEPT-135} (75 MHz, CDCl3) δ (ppm): 176.6 (Cq), 170.3 (Cq), 167.9 (Cq), 137.9 (Cq), 133.6 (Cq), 130.8 (CHAr), 129.7 (CHAr), 129.2 (CHAr), 128.9 (CHAr), 128.2 (CHAr), 127.3 (CHAr), 108.1 (Cq), 52.9 (CH2), 48.1 (CH), 32.8 (CH2), 31.8 (CH2), 26.9 (CH2), 25.3 (CH2), 24.7 (CH2), 24.6 (CH2), 9.5 (CH3). HRMS (ESI): calculated for C25H31N2O3 [MH+] 407.2329, found 407.2333.
2-Benzoyl-1-benzyl-N-cyclohexyl-5-oxopyrrolidine-2-carboxamide (9). White solid. Yield: 73%. M. p. 184–186 °C. 1H NMR (300 MHz, CDCl3) δ (ppm): 7.83–7.78 (m, 2H), 7.60–7.53 (m, 1H), 7.46–7.38 (m, 2H), 7.24–7.11 (m, 5H), 5.83 (d, J = 7.8 Hz, 1H, NH), 5.04 (d, J = 16.2 Hz, 1H), 4.24 (d, J = 16.2 Hz, 1H), 3.42–3.28 (m, 1H), 2.92–2.81 (m, 1H), 2.79–2.67 (m, 1H), 2.56–2.40 (m, 2H), 1.57–0.62 (m, 10H). 13C NMR {DEPT-135} (75 MHz, CDCl3) δ (ppm): 196.9 (Cq), 176.5 (Cq), 167.2 (Cq), 136.9 (Cq), 133.9 (Cq), 133.8 (CHAr), 129.3 (CHAr), 128.7 (CHAr), 128.5 (CHAr), 127.8 (CHAr), 127.3 (CHAr), 76.7 (Cq), 49.2 (CH), 46.7 (CH2), 32.1 (CH2), 31.8 (CH2), 28.9 (CH2), 25.4 (CH2), 24.6 (CH2), 24.6 (CH2). HRMS (ESI): calculated for C25H29N2O3 [MH+] 405.2173, found 405.2176.

3.2.3. Lactones

Method A: The corresponding Passerini adduct 7 (1 mmol) was dissolved in slightly wet (3 Å-MS) tetrahydrofuran (10 mL) and cesium carbonate (1.2 equiv.) was added. The reaction mixture was heated to reflux with stirring until TLC revealed the total consumption of the starting material (1–1.5 h). Subsequently, the unreacted salt was filtered off and the solvent of the filtrate removed under reduced pressure. The crude was dissolved in dichloromethane (20 mL) and the solution washed with water (2 × 20 mL). The organic phase was dried over anhydrous sodium sulfate, filtered and concentrated to dryness. The residue was purified by column chromatography, employing silica gel as a stationary phase and a 4:1 hexane-ethyl acetate mixture as an eluent. Hexane was added to the resulting oil and, in some cases, a precipitate was observed. This solid was isolated by vacuum filtration and dried in vacuo. Slow evaporation of a solution of compound 11b in a 1:1 chloroform-hexane mixture provided colorless single crystals, suitable for X-ray diffraction analysis.
Method B: compound 11a was also prepared starting from Passerini adduct 10. Reaction conditions, as well as the work-up and purification steps, are similar to those described in the previous method. In this case, TLC revealed the total consumption of the starting material after 10 min.
2-Benzoyl-N-cyclohexyl-5-oxotetrahydrofuran-2-carboxamide (11a). White solid. Yield: 71% by method A and 93% by method B. M. p. 105–106 °C. 1H NMR (400 MHz, CDCl3) δ (ppm): 8.03–7.99 (m, 2H), 7.59–7.55 (m, 1H), 7.46–7.40 (m, 2H), 6.49 (d, J = 8.2 Hz, 1H, NH), 3.80–3.71 (m, 1H), 3.34–3.27 (m, 1H), 2.64 (dd, J = 7.0, 1.1 Hz, 1H), 2.62 (d, J = 7.0 Hz, 1H), 2.49–2.41 (m, 1H), 1.90–1.08 (m, 10H). 13C NMR {DEPT-135} (100 MHz, CDCl3) δ (ppm): 191.2 (Cq), 174.9 (Cq), 167.1 (Cq), 134.1 (CHAr), 133.5 (Cq), 129.7 (CHAr), 128.7 (CHAr), 89.1 (Cq), 48.7 (CH), 32.8 (CH2), 32.7 (CH2), 29.1 (CH2), 27.9 (CH2), 25.4 (CH2), 24.9 (CH2), 24.8 (CH2). HRMS (ESI): calculated for C18H22NO4 [MH+] 316.1543, found 316.1547.
2-Benzoyl-N-butyl-5-oxotetrahydrofuran-2-carboxamide (11b). White solid. Yield: 68%. M. p. 89–90 °C. 1H NMR (300 MHz, CDCl3) δ (ppm): 8.09–7.99 (m, 2H), 7.61–7.55 (m, 1H), 7.48–7.40 (m, 2H), 6.65–6.50 (m, 1H, NH), 3.42–3.18 (m, 3H), 2.67–2.61 (m, 2H), 2.56–2.46 (m, 1H), 1.53–1.43 (m, 2H), 1.36–1.23 (m, 2H), 0.89 (t, J = 7.3 Hz, 3H). 13C NMR {DEPT-135} (75 MHz, CDCl3) δ (ppm): 191.3 (Cq), 175.0 (Cq), 167.9 (Cq), 134.0 (CHAr), 133.5 (Cq), 129.7 (CHAr), 128.6 (CHAr), 89.3 (Cq), 39.4 (CH2), 31.2 (CH2), 29.1 (CH2), 27.8 (CH2), 20.0 (CH2), 13.7 (CH3). HRMS (ESI): calculated for C16H20NO4 [MH+] 290.1387, found 290.1391.
2-Benzoyl-N-(tert-butyl)-5-oxotetrahydrofuran-2-carboxamide (11c). Pale yellow oil. Yield: 70%. 1H NMR (300 MHz, CDCl3) δ (ppm): 8.03–7.99 (m, 2H), 7.60–7.54 (m, 1H), 7.47–7.41 (m, 2H), 6.33 (s, 1H, NH), 3.32–3.23 (m, 1H), 2.65–2.60 (m, 2H), 2.50–2.39 (m, 1H), 1.32 (s, 9H). 13C NMR {DEPT-135} (75 MHz, CDCl3) δ (ppm): 191.4 (Cq), 174.9 (Cq), 167.1 (Cq), 134.0 (CHAr), 133.5 (Cq), 129.7 (CHAr), 128.6 (CHAr), 89.1 (Cq), 52.2 (Cq), 29.0 (CH2), 28.5 (CH3), 27.9 (CH2). HRMS (ESI): calculated for C16H20NO4 [MH+] 290.1387, found 290.1393.
N-Cyclohexyl-2-(4-fluorobenzoyl)-5-oxotetrahydrofuran-2-carboxamide (11d). Pale yellow oil. Yield: 73%. 1H NMR (300 MHz, CDCl3) δ (ppm): 8.10–8.03 (m, 2H), 7.15–7.07 (m, 2H), 6.45 (d, J = 8.2 Hz, 1H, NH), 3.82–3.69 (m, 1H), 3.36–3.27 (m, 1H), 2.66–2.61 (m, 2H), 2.48–2.38 (m, 1H), 1.93–1.07 (m, 10H). 13C NMR {DEPT-135} (75 MHz, CDCl3) δ (ppm): 189.6 (Cq), 174.7 (Cq), 167.0 (Cq), 166.3 (Cq, d, 1J = 257 Hz), 132.6 (CHAr, d, 3J = 9.5 Hz), 129.9 (Cq, d, 4J = 3.0 Hz), 116.0 (CHAr, d, 2J = 22 Hz), 89.0 (Cq), 48.8 (CH), 32.8 (CH2), 32.8 (CH2), 29.1 (CH2), 27.8 (CH2), 25.4 (CH2), 24.9 (CH2), 24.8 (CH2). 19F NMR (300 MHz, CDCl3) δ: −102.9 (tt, J = 8.2, 5.3 Hz). HRMS (ESI): calculated for C18H21FNO4 [MH+] 334.1449, found 334.1458.

3.2.4. Hydrolysis Products

Carboxylic Acids
The corresponding Passerini adduct 7 (0.5 mmol) was dissolved in a tetrahydrofuran–water mixture (6 mL; 5 mL of the former and 1 mL of the latter) and cesium carbonate (1.2 equiv.) was added. The reaction mixture was heated to reflux with stirring until TLC revealed the total consumption of the starting material and the formed lactone (around 4 h). Subsequently, the unreacted salt was filtered off and the organic solvent of the filtrate removed under reduced pressure. Water (10 mL) was added to the crude and this solution washed with dichloromethane (2 × 20 mL). The organic phase was discarded and a hydrochloric acid aqueous solution (10 mL) was added. The aqueous phase was extracted with dichloromethane (2 × 20 mL) and the organic phase dried over anhydrous sodium sulfate, filtered and concentrated to dryness. The residue was purified by column chromatography, employing silica gel as a stationary phase and an increasingly polar eluent (from a 4:1 hexane-ethyl acetate mixture to pure ethyl acetate). Slow evaporation of a solution of compound 12c in acetonitrile provided colorless single crystals, suitable for X-ray diffraction analysis.
4-Benzoyl-5-(cyclohexylamino)-4-hydroxy-5-oxopentanoic acid (12a). White solid. Yield: 80%. M. p. 137–138 °C. 1H NMR (300 MHz, CDCl3) δ (ppm): 8.26–8.21 (m, 2H), 7.60–7.53 (m, 1H), 7.47–7.40 (m, 2H), 6.71 (d, J = 8.1 Hz, 1H, NH), 5.30 (sb, 1H, OH), 3.77–3.65 (m, 1H), 2.63–2.36 (m, 4H), 1.93–1.06 (m, 10H). 13C NMR {DEPT-135} (75 MHz, CDCl3) δ (ppm): 199.6 (Cq), 178.8 (Cq), 168.7 (Cq), 134.0 (Cq), 133.9 (CHAr), 130.7 (CHAr), 128.5 (CHAr), 83.3 (Cq), 49.2 (CH), 33.4 (CH2), 32.8 (CH2), 32.8 (CH2), 28.7 (CH2), 25.5 (CH2), 24.8 (CH2). HRMS (ESI): calculated for C18H24NO5 [MH+] 334.1649, found 334.1654.
4-Benzoyl-5-(butylamino)-4-hydroxy-5-oxopentanoic acid (12b). White solid. Yield: 99%. M. p. 135–136 °C. 1H NMR (300 MHz, DMSO-d6) δ (ppm): 12.15 (sb, 1H, OH), 8.36 (t, J = 5.8 Hz, 1H, NH), 8.05–8.00 (m, 2H), 7.61–7.54 (m, 1H), 7.48–7.40 (m, 2H), 6.75 (sb, 1H, OH), 3.18–2.99 (m, 2H), 2.40–2.02 (m, 4H), 1.45–1.33 (m, 2H), 1.29–1.17 (m, 2H), 0.83 (t, J = 7.3 Hz, 3H). 13C NMR {DEPT-135} (75 MHz, DMSO-d6) δ (ppm): 196.0 (Cq), 174.4 (Cq), 170.4 (Cq), 134.8 (Cq), 132.9 (CHAr), 129.3 (CHAr), 128.2 (CHAr), 81.3 (Cq), 38.2 (CH2), 31.3 (CH2), 31.0 (CH2), 28.2 (CH2), 19.6 (CH2), 13.7 (CH3). HRMS (ESI): calculated for C16H22NO5 [MH+] 308.1492, found 308.1480.
4-Benzoyl-5-(tert-butylamino)-4-hydroxy-5-oxopentanoic acid (12c). White solid. Yield: 99%. M. p. 125–127 °C. 1H NMR (300 MHz, CDCl3) δ (ppm): 8.21–8.15 (m, 2H), 7.60–7.53 (m, 1H), 7.46–7.41 (m, 2H), 6.60 (s, 1H, NH), 5.24 (sb, 1H, OH), 2.55–2.35 (m, 4H), 1.32 (s, 9H). 13C NMR {DEPT-135} (75 MHz, CDCl3) δ (ppm): 200.3 (Cq), 168.7 (Cq), 134.4 (Cq), 133.8 (CHAr), 130.5 (CHAr), 128.5 (CHAr), 83.4 (Cq), 52.0 (Cq), 33.4 (CH2), 28.5 (CH3). HRMS (ESI): calculated for C16H22NO5 [MH+] 308.1492, found 308.1494.
5-(Cyclohexylamino)-4-(4-fluorobenzoyl)-4-hydroxy-5-oxopentanoic acid (12d). White solid. Yield: 98%. M. p. 136–137 °C. 1H NMR (300 MHz, CD3CN) δ (ppm): 8.16–8.11 (m, 2H), 7.20–7.14 (m, 3H), 3.62 (sb, 1H), 2.40–2.25 (m, 4H), 1.85–1.07 (m, 10H). 13C NMR {DEPT-135} (75 MHz, CD3CN) δ (ppm): 196.5 (Cq), 175.5 (Cq), 170.3 (Cq), 166.5 (Cq, d, 1J = 253 Hz), 133.5 (CHAr, d, 3J = 9.4 Hz), 132.4 (Cq, d, 4J = 3.0 Hz), 116.2 (CHAr, d, 2J = 21 Hz), 83.2 (Cq), 49.6 (CH), 33.2 (CH2), 33.0 (CH2), 32.3 (CH2), 28.8 (CH2), 26.2 (CH2), 25.7 (CH2), 25.7 (CH2). 19F NMR (300 MHz, CD3CN) δ: −107.1 (tt, J = 8.9, 5.4 Hz). HRMS (ESI): calculated for C18H23FNO5 [MH+] 352.1555, found 352.1559.
Methyl Esters
The corresponding lactone 11 (1 mmol) was dissolved in methanol (10 mL) and a solution of hydrochloric acid in methanol (0.5 M; 4 equiv.) was added. The reaction mixture was heated to reflux with stirring until TLC revealed the total consumption of the starting material (2–3 h). Subsequently, the solvent was removed under reduced pressure and the crude was dissolved in dichloromethane (20 mL). This solution was washed with a sodium carbonate aqueous solution (2 × 20 mL) and the organic phase dried over anhydrous sodium sulfate, filtered and concentrated to dryness. The residue was purified by column chromatography, employing silica gel as a stationary phase and a hexane-ethyl acetate mixture as an eluent. In the case of compound 13c, addition of hexane led to the formation of a precipitate, which was isolated by vacuum filtration and dried in vacuo.
Methyl 4-benzoyl-5-(cyclohexylamino)-4-hydroxy-5-oxopentanoate (13a). Yellow oil. Yield: 91%. 1H NMR (300 MHz, CDCl3) δ (ppm): 8.24–8.19 (m, 2H), 7.57–7.51 (m, 1H), 7.45–7.38 (m, 2H), 6.75 (d, J = 8.0 Hz, 1H, NH), 5.34 (s, 1H, OH), 3.78–3.62 (m, 1H), 3.63 (s, 3H), 2.60–2.30 (m, 4H), 1.96–1.04 (m, 10H). 13C NMR {DEPT-135} (75 MHz, CDCl3) δ (ppm): 199.5 (Cq), 173.9 (Cq), 168.8 (Cq), 134.1 (Cq), 133.7 (CHAr), 130.6 (CHAr), 128.4 (CHAr), 83.3 (Cq), 51.9 (CH3), 49.1 (CH), 33.6 (CH2), 32.8 (CH2), 32.7 (CH2), 28.7 (CH2), 25.4 (CH2), 24.8 (CH2). HRMS (ESI): calculated for C19H26NO5 [MH+] 348.1805, found 348.1816.
Methyl 4-benzoyl-5-(butylamino)-4-hydroxy-5-oxopentanoate (13b). Pale yellow oil. Yield: 93%. 1H NMR (300 MHz, CDCl3) δ (ppm): 8.26–8.20 (m, 2H), 7.58–7.52 (m, 1H), 7.46–7.38 (m, 2H), 6.88 (t, J = 5.5 Hz, 1H, NH), 5.34 (s, 1H, OH), 3.63 (s, 3H), 3.28–3.20 (m, 2H), 2.65–2.29 (m, 4H), 1.50–1.40 (m, 2H), 1.33–1.21 (m, 2H), 0.86 (t, J = 7.3 Hz, 3H). 13C NMR {DEPT-135} (75 MHz, CDCl3) δ (ppm): 199.5 (Cq), 173.8 (Cq), 169.7 (Cq), 134.1 (Cq), 133.8 (CHAr), 130.7 (CHAr), 128.4 (CHAr), 83.5 (Cq), 51.9 (CH3), 39.9 (CH2), 33.7 (CH2), 31.4 (CH2), 28.7 (CH2), 20.0 (CH2), 13.7 (CH3). HRMS (ESI): calculated for C17H24NO5 [MH+] 322.1649, found 322.1652.
Methyl 4-benzoyl-5-(tert-butylamino)-4-hydroxy-5-oxopentanoate (13c). White solid. Yield: 90%. M. p. 135–136 °C. 1H NMR (300 MHz, CDCl3) δ (ppm): 8.18–8.11 (m, 2H), 7.57–7.48 (m, 1H), 7.45–7.35 (m, 2H), 6.63 (s, 1H, NH), 5.29 (s, 1H, OH), 3.61 (s, 3H), 2.52–2.30 (m, 4H), 1.29 (s, 9H). 13C NMR {DEPT-135} (75 MHz, CDCl3) δ (ppm): 200.1 (Cq), 173.8 (Cq), 168.7 (Cq), 134.4 (Cq), 133.6 (CHAr), 130.4 (CHAr), 128.3 (CHAr), 83.3 (Cq), 51.8 (CH3), 33.5 (CH2), 28.6 (CH2), 28.5 (CH3). HRMS (ESI): calculated for C17H24NO5 [MH+] 322.1649, found 322.1654.
Methyl 5-(cyclohexylamino)-4-(4-fluorobenzoyl)-4-hydroxy-5-oxopentanoate (13d). Yellow oil. Yield: 62%. 1H NMR (300 MHz, CDCl3) δ (ppm): 8.33–8.25 (m, 2H), 7.10–7.01 (m, 2H), 6.80 (d, J = 8.1 Hz, 1H, NH), 5.38 (s, 1H, OH), 3.73–3.59 (m, 1H), 3.60 (s, 3H), 2.54–2.28 (m, 4H), 1.91–1.03 (m, 10H). 13C NMR {DEPT-135} (75 MHz, CDCl3) δ (ppm): 197.5 (Cq), 173.8 (Cq), 168.7 (Cq), 166.0 (Cq, d, 1J = 257 Hz), 133.7 (CHAr, d, 3J = 9.4 Hz), 130.3 (Cq, d, 4J = 3.0 Hz), 115.5 (CHAr, d, 2J = 22 Hz), 83.2 (Cq), 51.9 (CH3), 49.0 (CH), 33.5 (CH2), 32.7 (CH2), 32.7 (CH2), 28.6 (CH2), 25.4 (CH2), 24.7 (CH2). 19F NMR (300 MHz, CDCl3) δ: −103.5 (tt, J = 8.3, 5.6 Hz). HRMS (ESI): calculated for C19H25FNO5 [MH+] 366.1711, found 366.1714.

4. Conclusions

Isocyanide-based multicomponent reactions, such as Ugi and Passerini reactions, constitute a powerful tool for the synthesis of highly functionalized systems. Obtention of β-ketoamides has allowed to study keto-enol tautomerism and to determine the influence of C2 substitution on the tautomeric equilibrium. Furthermore, we proved the versatility of Passerini adducts, given that depending on the conditions of the reactions performed on them different products, and not only γ-lactones, can be obtained.

Supplementary Materials

The following are available online at: 1H, 19F, 13C, DEPT-135 NMR spectra and high-resolution mass spectra of the compounds, and X-ray crystallographic files in CIF format for compounds 5 (CCDC 2052029), 6 (CCDC 2052030), 9 (CCDC 2052031), 11b (CCDC 2052027) and 12c (CCDC 2052028).

Author Contributions

Conceptualization, M.G.-V. and I.C.-B.; methodology, P.P., M.G.-V. and I.C.-B.; formal analysis, P.P., M.G.-V. and I.C.-B.; investigation, P.P., A.S.-M., T.H., B.G.-S., J.G.-A., D.M. and I.C.-B.; data curation, R.Q.; writing—original draft preparation, M.G.-V. and I.C.-B.; writing—review and editing, M.G.-V., I.C.-B. and R.Q.; supervision, M.G.-V. and I.C.-B.; project administration, M.G.-V.; funding acquisition, M.G.-V. All authors have read and agreed to the published version of the manuscript.

Funding

This research was funded by Consejería de Educación de la Junta de Castilla y León, project BU075G19.

Data Availability Statement

The data presented in this study is available in this article.

Acknowledgments

The authors thank Cristina García-Rodríguez, who started the research collected in this work, and Consejería de Educación de la Junta de Castilla y León (project BU075G19), for generous financial support.

Conflicts of Interest

The authors declare no conflict of interest. The funders had no role in the design of the study; in the collection, analyses, or interpretation of data; in the writing of the manuscript, or in the decision to publish the results.

References

  1. Emsley, J.; Freeman, N.J. β-diketone interactions: Part 5. Solvent effects on the keto-enol equilibrium. J. Mol. Struct. 1987, 161, 193–204. [Google Scholar] [CrossRef]
  2. Wallen, S.L.; Yonker, C.R.; Phelps, C.L.; Wai, C.M. Effect of fluorine substitution, pressure and temperature on the tautomeric equilibria of acetylacetonate β-diketones. J. Chem. Soc. Faraday Trans. 1997, 93, 2391–2394. [Google Scholar] [CrossRef]
  3. Borisov, E.V.; Skorodumov, E.V.; Pachevskaya, V.M.; Hansen, P.E. Variable-temperature NMR study of the enol forms of benzoylacetones. Magn. Reson. Chem. 2005, 43, 992–998. [Google Scholar] [CrossRef] [PubMed]
  4. Iglesias, E. Application of organized microstructures to study keto-enol equilibrium of β-dicarbonyl compounds. Curr. Org. Chem. 2004, 8, 1–24. [Google Scholar] [CrossRef]
  5. Claramunt, R.M.; López, C.; Santa María, M.D.; Sanz, D.; Elguero, J. The use of NMR spectroscopy to study tautomerism. Prog. Nucl. Magn. Reson. Spectrosc. 2006, 49, 169–206. [Google Scholar] [CrossRef]
  6. Sung, K.; Wu, R.-R.; Sun, S.-Y. Keto-enol tautomerism of β-ketoamides and characterization of a sterically crowded α-amido-β-ketoamide. J. Phys. Org. Chem. 2002, 15, 775–781. [Google Scholar] [CrossRef]
  7. Banfi, L.; Riva, R. The Passerini reaction. In Organic Reactions; Overman, L.E., Adams, R., Eds.; John Wiley & Sons: New York, NY, USA, 2005; Volume 65. [Google Scholar]
  8. Passerini, M. Sopra gli isonitrili (I). Composto del p-isonitril-azobenzolo con acetone ed acido acetico. Gazz. Chim. Ital. 1921, 51, 126–129. [Google Scholar]
  9. Marcaccini, S.; Torroba, T. The use of the Ugi four-component condensation. Nat. Protoc. 2007, 2, 632–639. [Google Scholar] [CrossRef] [PubMed]
  10. Mao, B.; Fañanás-Mastral, M.; Feringa, B.L. Catalytic asymmetric synthesis of butenolides and butyrolactones. Chem. Rev. 2017, 117, 10502–10566. [Google Scholar] [CrossRef] [PubMed]
  11. Seitz, M.; Reiser, O. Synthetic approaches towards structurally diverse γ-butyrolactone natural-product-like compounds. Curr. Opin. Chem. Biol. 2005, 9, 285–292. [Google Scholar] [CrossRef] [PubMed]
  12. Neo, A.G.; Delgado, J.; Polo, C.; Marcaccini, S.; Marcos, C.F. A new synthesis of β-ketoamides by reduction of Passerini adducts. Tetrahedron Lett. 2005, 46, 23–26. [Google Scholar] [CrossRef]
  13. Sañudo, M.; García-Valverde, M.; Marcaccini, S.; Delgado, J.J.; Rojo, J.; Torroba, T. Synthesis of benzodiazepine β-turn mimetics by an Ugi 4CC/Staudinger/aza-Wittig sequence. Solving the conformational behavior of the Ugi 4CC adducts. J. Org. Chem. 2009, 74, 2189–2192. [Google Scholar] [CrossRef] [PubMed]
  14. Laurella, S.L.; González Sierra, M.; Furlong, J.J.P.; Allegretti, P.E. Substituent, temperature and solvent effects on the keto-enol equilibrium in β-ketoamides: A nuclear magnetic resonance study. Open J. Phys. Chem. 2013, 3, 138–149. [Google Scholar] [CrossRef]
  15. Laurella, S.L.; Latorre, C.; Dietrich, R.; Furlong, J.J.P.; Allegretti, P.E. Tautomeric equilibria analysis of β-ketoamides by mass spectrometry. J. Phys. Org. Chem. 2012, 25, 1365–1373. [Google Scholar] [CrossRef]
  16. Frisch, M.J.; Trucks, G.W.; Schlegel, H.B.; Scuseria, G.E.; Robb, M.A.; Cheeseman, J.R.; Scalmani, G.; Barone, V.; Petersson, G.A.; Nakatsuji, H.; et al. GAUSSIAN 09 Program Package; Gaussian, Inc.: Wallingford, CT, USA, 2009. [Google Scholar]
  17. Clark, A.J.; Curran, D.P.; Fox, D.J.; Ghelfi, F.; Guy, C.S.; Hay, B.; James, N.; Phillips, J.M.; Roncaglia, F.; Sellars, P.B.; et al. Axially chiral enamides: Substituent effects, rotation barriers, and implications for their cyclization reactions. J. Org. Chem. 2016, 81, 5547–5565. [Google Scholar] [CrossRef] [PubMed]
  18. Pertejo, P.; Peña-Calleja, P.; Carreira-Barral, I.; Quesada, R.; Cordero, N.A.; Rodríguez, F.J.; García-Valverde, M. Novel pyrrolobenzodiazepine and pyrroloquinazoline scaffolds synthesized by a simple and highly selective Ugi/cyclization sequence. Org. Biomol. Chem. 2017, 15, 7549–7557. [Google Scholar] [CrossRef] [PubMed]
  19. Zeng, X.-H.; Wang, H.-M.; Wu, L.; Ding, M.-W. One-pot synthesis of 5-oxopyrrolidine-2-carboxamides via a tandem Ugi 4CC/SN cyclization starting from Baylis-Hillman bromides. Tetrahedron 2013, 69, 3823–3828. [Google Scholar] [CrossRef]
Figure 1. γ-Lactones present in natural products.
Figure 1. γ-Lactones present in natural products.
Molecules 26 00919 g001
Scheme 1. Synthesis of β-ketoamides by Passerini and Ugi reactions.
Scheme 1. Synthesis of β-ketoamides by Passerini and Ugi reactions.
Molecules 26 00919 sch001
Figure 2. X-ray molecular structures of Passerini 5 (left) and Ugi 6 (right) adducts. The ORTEP plot is at the 30% probability level. Hydrogen atoms, except those of the NH fragments, that of the OH group in 6 and that linked to C2 in 5, have been omitted for the sake of simplicity.
Figure 2. X-ray molecular structures of Passerini 5 (left) and Ugi 6 (right) adducts. The ORTEP plot is at the 30% probability level. Hydrogen atoms, except those of the NH fragments, that of the OH group in 6 and that linked to C2 in 5, have been omitted for the sake of simplicity.
Molecules 26 00919 g002
Figure 3. Keto forms of the studied structures.
Figure 3. Keto forms of the studied structures.
Molecules 26 00919 g003
Scheme 2. Tautomeric equilibrium in Passerini and Ugi adducts.
Scheme 2. Tautomeric equilibrium in Passerini and Ugi adducts.
Molecules 26 00919 sch002
Scheme 3. Passerini and Ugi reactions using phenylglyoxal and 3-bromopropionic acid and X-ray molecular structure of lactame 9. The ORTEP plot is at the 30% probability level. Hydrogen atoms, except that of the NH fragment, have been omitted for the sake of simplicity.
Scheme 3. Passerini and Ugi reactions using phenylglyoxal and 3-bromopropionic acid and X-ray molecular structure of lactame 9. The ORTEP plot is at the 30% probability level. Hydrogen atoms, except that of the NH fragment, have been omitted for the sake of simplicity.
Molecules 26 00919 sch003
Scheme 4. Passerini adduct 7a treated in basic media.
Scheme 4. Passerini adduct 7a treated in basic media.
Molecules 26 00919 sch004
Scheme 5. Synthesis of γ-lactones 11 and 2-hydroxyglutaric acid derivatives 12 from 3-bromopropionic acid. X-ray molecular structures of 11b (left) and 12c (right) are also displayed. The ORTEP plot is at the 30% probability level. Hydrogen atoms, except those of NH and OH fragments, have been omitted for the sake of simplicity.
Scheme 5. Synthesis of γ-lactones 11 and 2-hydroxyglutaric acid derivatives 12 from 3-bromopropionic acid. X-ray molecular structures of 11b (left) and 12c (right) are also displayed. The ORTEP plot is at the 30% probability level. Hydrogen atoms, except those of NH and OH fragments, have been omitted for the sake of simplicity.
Molecules 26 00919 sch005
Scheme 6. Proposed mechanism in the synthesis of Passerini derivatives.
Scheme 6. Proposed mechanism in the synthesis of Passerini derivatives.
Molecules 26 00919 sch006
Scheme 7. Synthesis of γ-lactones from acrylic acid.
Scheme 7. Synthesis of γ-lactones from acrylic acid.
Molecules 26 00919 sch007
Scheme 8. γ-Lactone opening in methanol and acidic medium.
Scheme 8. γ-Lactone opening in methanol and acidic medium.
Molecules 26 00919 sch008
Table 1. Gibbs energies of tautomers and equilibrium constants.
Table 1. Gibbs energies of tautomers and equilibrium constants.
EntryAdduct (X)MediumΔGketo
(kcal mol−1) a
ΔGenol
(kcal mol−1) a
Keq b
15 (O)Gas
Chloroform
0.0
0.0
4.2
3.9
8.0 × 10−4
1.4 × 10−3
26NH (NH)Gas
Chloroform
0.0
0.0
2.0
2.5
3.4 × 10−2
1.5 × 10−2
36NMe (NCH3)Gas
Chloroform
6.7
5.6
0.0
0.0
8.1 × 104
1.2 × 104
46 (NCH2C6H5)Gas
Chloroform
7.2
6.3
0.0
0.0
1.9 × 105
4.0 × 104
56NtBu (NC(CH3)3)Gas
Chloroform
15.1
13.4
0.0
0.0
1.2 × 1011
7.0 × 109
a Gibbs energy referred to the most stable tautomer. b Equilibrium constant calculated using the Arrhenius equation.
Table 2. Synthesis of γ-lactones 11 and 2-hydroxyglutaric acid derivatives 12 from Passerini adducts 7.
Table 2. Synthesis of γ-lactones 11 and 2-hydroxyglutaric acid derivatives 12 from Passerini adducts 7.
Entry1 (Ar)3 (R)7 (%) a11 (%) a12 (%) a
11a (C6H5)3a (cC6H11)7a (93)11a (71)12a (80)
21a (C6H5)3b (nC4H9)7b (84)11b (68)12b (99)
31a (C6H5)3c (tC4H9)7c (87)11c (70)12c (99)
41b (4-FC6H4)3a (cC6H11)7d (86)11d (73)12d (98)
a Isolated yield.
Table 3. Synthesis of 2-hydroxyglutarate derivatives 13 from γ-lactones 11.
Table 3. Synthesis of 2-hydroxyglutarate derivatives 13 from γ-lactones 11.
Entry11 (Ar, R)13 (%) a
111a (C6H5, cC6H11) 13a (91)
211b (C6H5, nC4H9)13b (93)
311c (C6H5, tC4H9)13c (90)
411d (4-FC6H4, cC6H11)13d (62)
a Isolated yield.
Publisher’s Note: MDPI stays neutral with regard to jurisdictional claims in published maps and institutional affiliations.

Share and Cite

MDPI and ACS Style

Pertejo, P.; Sancho-Medina, A.; Hermosilla, T.; González-Saiz, B.; Gómez-Ayuso, J.; Quesada, R.; Moreno, D.; Carreira-Barral, I.; García-Valverde, M. Keto-Enol Tautomerism in Passerini and Ugi Adducts. Molecules 2021, 26, 919. https://doi.org/10.3390/molecules26040919

AMA Style

Pertejo P, Sancho-Medina A, Hermosilla T, González-Saiz B, Gómez-Ayuso J, Quesada R, Moreno D, Carreira-Barral I, García-Valverde M. Keto-Enol Tautomerism in Passerini and Ugi Adducts. Molecules. 2021; 26(4):919. https://doi.org/10.3390/molecules26040919

Chicago/Turabian Style

Pertejo, Pablo, Andrea Sancho-Medina, Tomás Hermosilla, Beatriz González-Saiz, Javier Gómez-Ayuso, Roberto Quesada, Daniel Moreno, Israel Carreira-Barral, and María García-Valverde. 2021. "Keto-Enol Tautomerism in Passerini and Ugi Adducts" Molecules 26, no. 4: 919. https://doi.org/10.3390/molecules26040919

APA Style

Pertejo, P., Sancho-Medina, A., Hermosilla, T., González-Saiz, B., Gómez-Ayuso, J., Quesada, R., Moreno, D., Carreira-Barral, I., & García-Valverde, M. (2021). Keto-Enol Tautomerism in Passerini and Ugi Adducts. Molecules, 26(4), 919. https://doi.org/10.3390/molecules26040919

Article Metrics

Back to TopTop