Influence of Carbon Nanotubes on Phase Composition, Thermal and Post-Heating Behavior of Cementitious Composites
Abstract
1. Introduction
2. Experimental Work
2.1. Materials
2.2. Mix Proportions, Mortar Casting, and Specimen Preparation
2.3. Heating and Test Procedures
3. Results and Discussion
3.1. Phase Composition Analysis Using XRD
3.2. Microstructure Deterioration Due to Heating
3.3. Thermal Behavior Characterization
3.3.1. Thermal Conductivity
3.3.2. Heat Flow Analysis Using DSC
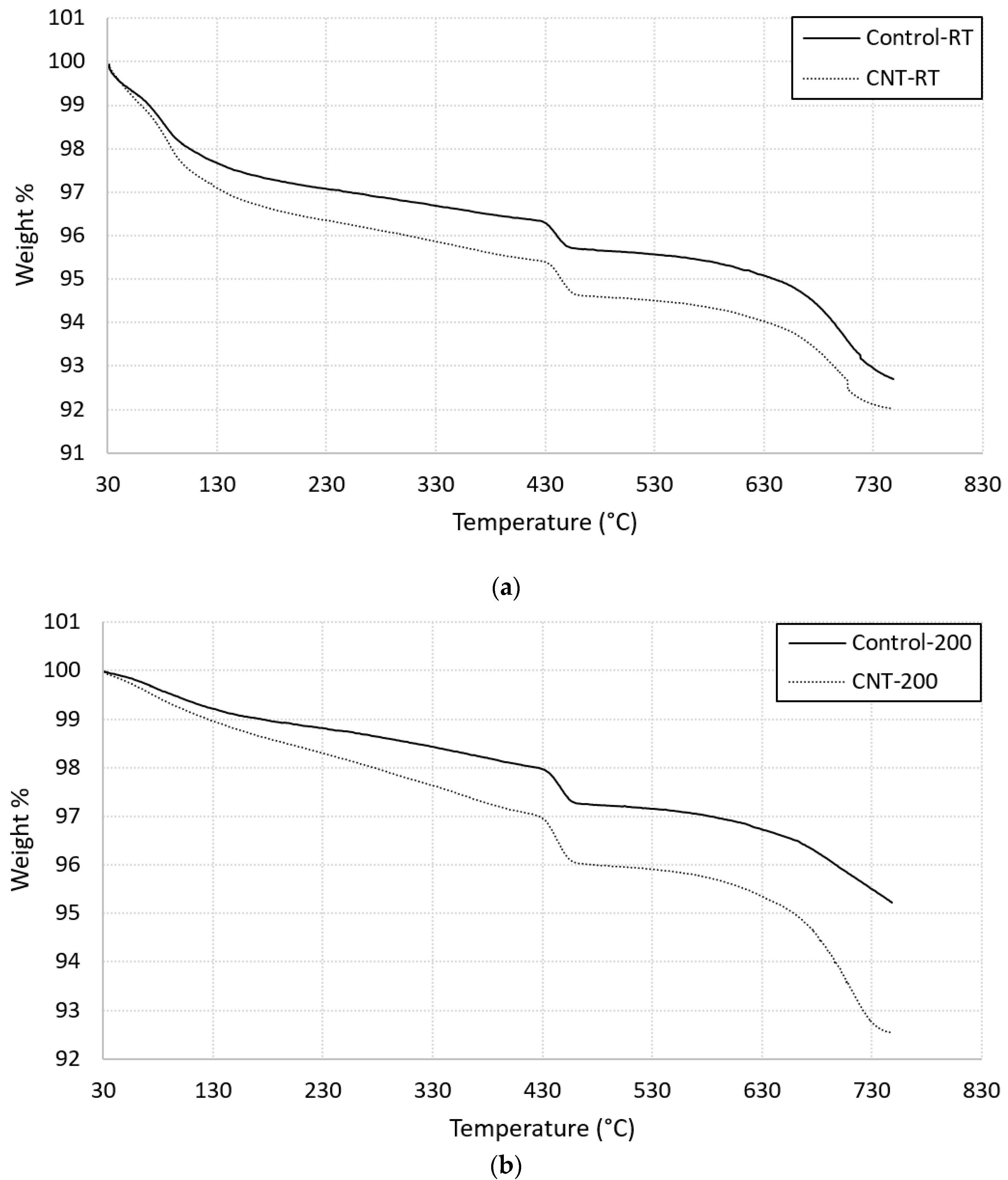
3.3.3. Weight Loss Analysis Using TGA
3.4. Mechanical Strengths Degradation
3.4.1. Residual Compressive Strength
3.4.2. Residual Flexural Strength
3.5. Visual Inspection and Damage Performance
4. Conclusions
- Presence of CNTs positively affects the hydration process of unheated cement mortar and mortar heated up to 200 °C. Beyond this temperature, the CNTs have no effect on the hydration process.
- Decomposition of the main hydration products such as CSH and CH is observed when heating the cement mortar at 450 °C, whereas severe deterioration in the microstructure of the mortar is observed at heating level of 600 °C. The CNTs bridge the cracks, delay their propagation, and restrain the deterioration in the microstructure.
- CNT incorporation enhances the thermal conductivity of the unheated and heat-treated mortar specimens.
- More heat is needed to decompose the hydration products of cement mortar in the presence of CNTs.
Author Contributions
Funding
Institutional Review Board Statement
Informed Consent Statement
Data Availability Statement
Acknowledgments
Conflicts of Interest
References
- Irshidat, M.R.; Al-Nuaimi, N.; Rabie, M. The Role of Polypropylene Microfibers in Thermal Properties and Post-Heating Be-havior of Cementitious Composites. Materials 2020, 13, 2676. [Google Scholar] [CrossRef]
- Sindu, B.S.; Sasmal, S. On the development and studies of nano- and micro-fiber hybridized strain hardened cementitious composite. Arch. Civ. Mech. Eng. 2019, 19, 348–359. [Google Scholar] [CrossRef]
- Yu, M.-F.; Lourie, O.; Dyer, M.J.; Moloni, K.; Kelly, T.F.; Ruoff, R.S. Strength and Breaking Mechanism of Multiwalled Carbon Nanotubes Under Tensile Load. Science 2000, 287, 637–640. [Google Scholar] [CrossRef] [PubMed]
- Han, B.; Sun, S.; Ding, S.; Zhang, L.; Yu, X.; Ou, J. Review of Nanocarbon-Engineered Multifunctional Cementitious Compo-sites. Compos. Part A Appl. Sci. Manuf. 2015, 70, 69–81. [Google Scholar] [CrossRef]
- Pop, E.; Mann, D.; Wang, Q.; Goodson, K.; Dai, H. Thermal Conductance of an Individual Single-Wall Carbon Nanotube above Room Temperature. Nano Lett. 2006, 6, 96–100. [Google Scholar] [CrossRef] [PubMed]
- Makar, J.M.; Chan, G.W. Growth of Cement Hydration Products on Single-Walled Carbon Nanotubes. J. Am. Ceram. Soc. 2009, 92, 1303–1310. [Google Scholar] [CrossRef]
- Cui, H.; Yang, S.; Memon, S.A. Development of Carbon Nanotube Modified Cement Paste with Microencapsulated Phase-Change Material for Structural–Functional Integrated Application. Int. J. Mol. Sci. 2015, 16, 8027–8039. [Google Scholar] [CrossRef]
- Choi, Y.C. Cyclic heating and mechanical properties of CNT reinforced cement composite. Compos. Struct. 2021, 256, 113104. [Google Scholar] [CrossRef]
- Neto, J.D.S.A.; Santos, T.A.; Pinto, S.D.A.; Dias, C.M.R.; Ribeiro, D.V. Effect of the combined use of carbon nanotubes (CNT) and metakaolin on the properties of cementitious matrices. Constr. Build. Mater. 2021, 271, 121903. [Google Scholar] [CrossRef]
- Mohsen, M.O.; Alansari, M.; Taha, R.; Senouci, A.; AbuTaqa, A. Impact of CNTs’ treatment, length and weight fraction on ordinary concrete mechanical properties. Constr. Build. Mater. 2020, 264, 120698. [Google Scholar] [CrossRef]
- Bani-Hani, K.A.; Irshidat, M.R.; Abu Al-Rub, R.K.; Al-Nuaimi, N.A.; Talleh, A.T. Strength optimisation of mortar with CNTs and nanoclays. Proc. Inst. Civ. Eng. Struct. Build. 2016, 169, 340–356. [Google Scholar] [CrossRef]
- Irshidat, M.R.; Al-Shannaq, A. Using Textile Reinforced Mortar Modified with Carbon Nano Tubes to Improve Flexural Per-formance of RC Beams. Compos. Struct. 2018, 200, 127–134. [Google Scholar] [CrossRef]
- Irshidat, M.R.; Al-Shannaq, A. Bond strength evaluation between textiles reinforced mortar with carbon nanotubes and concrete substrate. Lat. Am. J. Solids Struct. 2019, 16. [Google Scholar] [CrossRef]
- Mohsen, M.O.; Taha, R.; Abu Taqa, A.; Shaat, A. Optimum Carbon Nanotubes’ Content for Improving Flexural and Com-pressive Strength of Cement Paste. Constr. Build. Mater. 2017, 150, 395–403. [Google Scholar] [CrossRef]
- Naqi, A.; Abbas, N.; Zahra, N.; Hussain, A.; Shabbir, S.Q. Effect of multi-walled carbon nanotubes (MWCNTs) on the strength development of cementitious materials. J. Mater. Res. Technol. 2019, 8, 1203–1211. [Google Scholar] [CrossRef]
- Hu, Y.; Luo, D.; Li, P.; Li, Q.; Sun, G. Fracture Toughness Enhancement of Cement Paste with Multi-Walled Carbon Nano-tubes. Constr. Build. Mater. 2014, 70, 332–338. [Google Scholar] [CrossRef]
- Wang, B.; Han, Y.; Liu, S. Effect of Highly Dispersed Carbon Nanotubes on the Flexural Toughness of Cement-Based Compo-sites. Constr. Build. Mater. 2013, 46, 8–12. [Google Scholar] [CrossRef]
- Shi, T.; Li, Z.; Guo, J.; Gong, H.; Gu, C. Research progress on CNTs/CNFs-modified cement-based composites—A review. Constr. Build. Mater. 2019, 202, 290–307. [Google Scholar] [CrossRef]
- Rashad, A.M. Effect of carbon nanotubes (CNTs) on the properties of traditional cementitious materials. Constr. Build. Mater. 2017, 153, 81–101. [Google Scholar] [CrossRef]
- Kodur, V. Properties of Concrete at Elevated Temperatures. Isrn. Civ. Eng. 2014, 2014, 1–15. [Google Scholar] [CrossRef]
- Moghadam, M.A.; Izadifard, R.A. Effects of steel and glass fibers on mechanical and durability properties of concrete exposed to high temperatures. Fire Saf. J. 2020, 113, 102978. [Google Scholar] [CrossRef]
- Naser, M.Z.; Uppala, V.A. Properties and Material Models for Construction Materials Post Exposure to Elevated Tempera-tures. Mech. Mater. 2020, 142, 103293. [Google Scholar] [CrossRef]
- Zhang, L.W.; Kai, M.F.; Liew, K.M. Evaluation of Microstructure and Mechanical Performance of CNT-Reinforced Cementi-tious Composites at Elevated Temperatures. Compos. Part A Appl. Sci. Manuf. 2017, 95, 286–293. [Google Scholar] [CrossRef]
- Baloch, W.L.; Khushnood, R.A.; Khaliq, W. Influence of multi-walled carbon nanotubes on the residual performance of concrete exposed to high temperatures. Constr. Build. Mater. 2018, 185, 44–56. [Google Scholar] [CrossRef]
- Sedaghatdoost, A.; Behfarnia, K. Mechanical Properties of Portland Cement Mortar Containing Multi-Walled Carbon Nano-tubes at Elevated Temperatures. Constr. Build. Mater. 2018, 176, 482–489. [Google Scholar] [CrossRef]
- Sedaghatdoost, A.; Behfarnia, K.; Bayati, M. The effect of curing period on the residual strength of Portland cement mortar containing MWCNTs at elevated temperature. Constr. Build. Mater. 2019, 196, 144–153. [Google Scholar] [CrossRef]
- Irshidat, M.R.; Al-Nuaimi, N.; Salim, S.; Rabie, M. Carbon Nanotubes Dosage Optimization for Strength Enhancement of Cementitious Composites. Procedia Manuf. 2020, 44, 366–370. [Google Scholar] [CrossRef]
- Piasta, J.; Sawicz, Z.; Rudzinski, L. Changes in the structure of hardened cement paste due to high temperature. Mater. Struct. 1984, 17, 291–296. [Google Scholar] [CrossRef]
- Hassanzadeh-Aghdam, M.K.; Mahmoodi, M.J.; Safi, M. Effect of adding carbon nanotubes on the thermal conductivity of steel fiber-reinforced concrete. Compos. Part B Eng. 2019, 174, 106972. [Google Scholar] [CrossRef]
- Irshidat, M.R.; Al-Saleh, M.H. Thermal performance and fire resistance of nanoclay modified cementitious materials. Constr. Build. Mater. 2018, 159, 213–219. [Google Scholar] [CrossRef]
- Pavlík, Z.; Trník, A.; Kulovaná, T.; Scheinherrová, L.; Rahhal, V.; Irassar, E.; Černý, R. DSC and TG Analysis of a Blended Binder Based on Waste Ceramic Powder and Portland Cement. Int. J. 2016, 37, 32. [Google Scholar] [CrossRef]
- Jung, S.; Oh, S.; Kim, S.; Moon, J.-H. Effects of CNT Dosages in Cement Composites on the Mechanical Properties and Hydration Reaction with Low Water-to-Binder Ratio. Appl. Sci. 2019, 9, 4630. [Google Scholar] [CrossRef]
- Almeida, A.E.F.D.S.; Sichieri, E.P. Thermogravimetric analyses and mineralogical study of polymer modified mortar with silica fume. Mater. Res. 2006, 9, 321–326. [Google Scholar] [CrossRef]










| Compound Name | Content Percentage |
|---|---|
| CaO | 66.4% |
| SiO2 | 18.4% |
| Fe2O3 | 6.1% |
| SO3 | 3.0% |
| Al2O3 | 2.2% |
| MgO | 1.4% |
| Na2O | 0.8% |
| LOI | 1.5% |
| Property | Value |
|---|---|
| Average length (µm) | 1.5 |
| Average diameter (nm) | 9.5 |
| CNTs concentration by weight | 3.0% |
| Carbon purity (%) | 90 |
| Surface area (m2/g) | 250–300 |
| Mortar Batch | Cement | Sand | Water | CNTs | Superplasticizer |
|---|---|---|---|---|---|
| (kg/m3) | (kg/m3) | (kg/m3) | (kg/m3) | (kg/m3) | |
| 1 | 706.67 | 1943.33 | 342.67 | - | 7.06 |
| 2 | 706.67 | 1943.33 | 342.67 | 0.353 | 7.06 |
| 3 | 706.67 | 1943.33 | 342.67 | 1.412 | 7.06 |
| Specimen | Compressive Strength (MPa) | Flexural Strength (kN) |
|---|---|---|
| C-RT | 30.3 | 2.00 |
| C-150 | 31.3 | 2.80 |
| C-200 | 33.2 | 2.63 |
| C-450 | 18.5 | 1.27 |
| C-600 | 9.9 | 0.21 |
| CNT-RT | 33.3 | 2.25 |
| CNT-150 | 36.0 | 3.10 |
| CNT-200 | 37.0 | 3.23 |
| CNT-450 | 23.9 | 1.60 |
| CNT-600 | 12.0 | NA |
Publisher’s Note: MDPI stays neutral with regard to jurisdictional claims in published maps and institutional affiliations. |
© 2021 by the authors. Licensee MDPI, Basel, Switzerland. This article is an open access article distributed under the terms and conditions of the Creative Commons Attribution (CC BY) license (http://creativecommons.org/licenses/by/4.0/).
Share and Cite
Irshidat, M.R.; Al-Nuaimi, N.; Rabie, M. Influence of Carbon Nanotubes on Phase Composition, Thermal and Post-Heating Behavior of Cementitious Composites. Molecules 2021, 26, 850. https://doi.org/10.3390/molecules26040850
Irshidat MR, Al-Nuaimi N, Rabie M. Influence of Carbon Nanotubes on Phase Composition, Thermal and Post-Heating Behavior of Cementitious Composites. Molecules. 2021; 26(4):850. https://doi.org/10.3390/molecules26040850
Chicago/Turabian StyleIrshidat, Mohammad R., Nasser Al-Nuaimi, and Mohamed Rabie. 2021. "Influence of Carbon Nanotubes on Phase Composition, Thermal and Post-Heating Behavior of Cementitious Composites" Molecules 26, no. 4: 850. https://doi.org/10.3390/molecules26040850
APA StyleIrshidat, M. R., Al-Nuaimi, N., & Rabie, M. (2021). Influence of Carbon Nanotubes on Phase Composition, Thermal and Post-Heating Behavior of Cementitious Composites. Molecules, 26(4), 850. https://doi.org/10.3390/molecules26040850

