A Review of Analytical Methods for Codeine Determination
Abstract
1. Introduction
2. Colorimetric Assays
3. Spectrophotometric Analysis
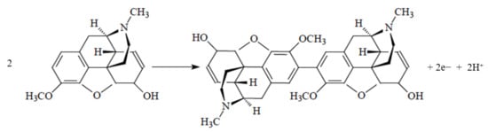
4. Electrochemical Detection
5. Chromatographic Analysis
5.1. Gas Chromatography-Mass Spectrometry (GC-MS)
5.2. High-Performance Liquid Chromatography (HPLC)
6. Capillary Electromigration Techniques
7. Conclusions
Author Contributions
Funding
Conflicts of Interest
References
- Bhandari, M.; Bhandari, A.; Bhandari, A. Recent Updates on Codeine. Pharm. Methods 2011, 2, 3–8. [Google Scholar] [CrossRef]
- Tremlett, M.; Anderson, B.J.; Wolf, A. Pro-Con Debate: Is Codeine a Drug That Still Has a Useful Role in Pediatric Practice? Paediatr. Anaesth. 2010, 20, 183–194. [Google Scholar] [CrossRef]
- Szabó, B.; Lakatos, Á.; Kőszegi, T.; Botz, L. HPTLC and HPLC determination of alkaloids in poppies subjected to stress. J. Planar Chromatogr. Mod. TLC 2003, 16, 293–297. [Google Scholar] [CrossRef]
- Chary, S.; Goughnour, B.R.; Moulin, D.E.; Thorpe, W.R.; Harsanyi, Z.; Darke, A.C. The dose—Response relationship of controlled-release codeine (Codeine Contin) in chronic cancer pain. J. Pain Symptom Manag. 1994, 9, 363–371. [Google Scholar] [CrossRef]
- Farmilo, C.G. The Ultraviolet Spectrophotometric Method. 1954. Available online: https://www.unodc.org/unodc/en/data-and-analysis/bulletin/bulletin_1954-01-01_3_page005.html (accessed on 9 January 2021).
- Medsafe. Classification of Codeine: Information Paper for the Medicines Classification Committee; Ministry of Health: Wellington, New Zeland, 2019; pp. 1–24. Available online: https://www.medsafe.govt.nz/profs/class/Agendas/Agen63/MCC63_53a_Reclassificationofcodeine.pdf (accessed on 28 August 2020).
- WHO. International Pharmacopeia. 2019. Available online: https://apps.who.int/phint/en/p/docf/ (accessed on 9 November 2020).
- Atluri, S.; Sudarshan, G.; Manchikanti, L. Assessment of the trends in medical use and misuse of opioid analgesics from 2004 to 2011. Pain Physician 2014, 17, 119–128. [Google Scholar]
- Wu, X.; Zhang, W.; Bai, Y.; Guo, T.; Gu, J. Simultaneous analysis of codeine and its active metabolites in human plasma using liquid chromatography–tandem mass spectrometry: Application to a pharmacokinetic study after oral administration of codeine. J. Pharm. Biomed. Anal. 2013, 78–79, 261–268. [Google Scholar] [CrossRef]
- Sriram, G.; Bhat, M.P.; Patil, P.; Uthappa, U.T.; Jung, H.-Y.; Altalhi, T.; Kumeria, T.; Aminabhavi, T.; Pai, R.K.; Madhuprasad; et al. Paper-based microfluidic analytical devices for colorimetric detection of toxic ions: A review. TrAC Trends Anal. Chem. 2017, 93, 212–227. [Google Scholar] [CrossRef]
- PubChem. Codeine. Available online: https://pubchem.ncbi.nlm.nih.gov/compound/Codeine (accessed on 9 January 2021).
- Pournaghi-Azar, M.H.; Saadatirad, A. Simultaneous voltammetric and amperometric determination of morphine and codeine using a chemically modified-palladized aluminum electrode. J. Electroanal. Chem. 2008, 624, 293–298. [Google Scholar] [CrossRef]
- UNODC. Rapid Testing Methods of Drugs of Abuse; United Nation: New York, NY, USA, 1994. [Google Scholar]
- Feldstein, M.; Klendshoj, N.C.; Sprague, A. 2-Anthraquinone Sulfonate Derivatives of Morphine and Codeine. Anal. Chem. 1949, 21, 1580–1581. [Google Scholar] [CrossRef]
- Moffat, A.C.; Osselton, M.D.; Widdop, B. Clarke’s Analysis of Drugs and Poisons in Pharmaceuticals, Body Fluids and Postmortem Material; Pharmaceutical Press: London, UK, 2011. [Google Scholar]
- Sharma, N.; Barstis, T.; Giri, B. Advances in paper-analytical methods for pharmaceutical analysis. Eur. J. Pharm. Sci. 2018, 111, 46–56. [Google Scholar] [CrossRef]
- Lodha, A.; Pandya, A.; Sutariya, P.G.; Menon, S. A smart and rapid colorimetric method for the detection of codeine sulphate, using unmodified gold nanoprobe. RSC Adv. 2014, 4, 50443–50448. [Google Scholar] [CrossRef]
- Li, F.; You, M.; Li, S.; Hu, J.; Liu, C.; Gong, Y.; Yang, H.; Xu, F. Paper-based point-of-care immunoassays: Recent advances and emerging trends. Biotechnol. Adv. 2020, 39, 107442. [Google Scholar] [CrossRef]
- Bogaart, E.V.D.; Schoone, G.J.; England, P.; Faber, D.; Orrling, K.M.; Dujardin, J.-C.; Sundar, S.; Schallig, H.D.F.H.; Adams, E.R. Simple Colorimetric Trypanothione Reductase-Based Assay for High-Throughput Screening of Drugs against Leishmania Intracellular Amastigotes. Antimicrob. Agents Chemother. 2013, 58, 527–535. [Google Scholar] [CrossRef]
- Wang, Z.; Zhang, J.; Liu, L.; Wu, X.; Kuang, H.; Xu, C.; Xu, L. A colorimetric paper-based sensor for toltrazuril and its metabolites in feed, chicken, and egg samples. Food Chem. 2019, 276, 707–713. [Google Scholar] [CrossRef] [PubMed]
- Chen, C.-A.; Wang, P.-W.; Yen, Y.-C.; Lin, H.-L.; Fan, Y.-C.; Wu, S.-M.; Chen, C.-F. Fast analysis of ketamine using a colorimetric immunosorbent assay on a paper-based analytical device. Sens. Actuators B Chem. 2019, 282, 251–258. [Google Scholar] [CrossRef]
- Schieser, D.W. Free Radicals in Alkaloidal Color Identification Tests. J. Pharm. Sci. 1964, 53, 909–913. [Google Scholar] [CrossRef]
- O’Neal, C.L.; Crouch, D.J.; Fatah, A.A. Validation of twelve chemical spot tests for the detection of drugs of abuse. Forensic Sci. Int. 2000, 109, 189–201. [Google Scholar] [CrossRef]
- Ahmed, S.; Rasul, A.; Masood, Z. Spectrophotometry in Pharmaceutical Analysis: Determination of Cefaclor in Formulations; LAP Lambert Academic Publishing: Saarbücken, Germany, 2011. [Google Scholar]
- Redasani, V.K.; Patel, P.R.; Marathe, D.Y.; Chaudhari, S.R.; Shirkhedkar, A.A.; Surana, S.J. A review on derivative uv-spectrophotometry analysis of drugs in pharmaceutical formulations and biological samples review. J. Chil. Chem. Soc. 2018, 63, 4126–4134. [Google Scholar] [CrossRef]
- Edebi, V.; Ebeshi, B.; Anganabiri, E. Simultaneous Assay of Codeine Phosphate and Diphenhydramine Hydrochloride in Cough Mixtures by Zero-Order Derivative UV Spectrophotometry. Afr. J. Pure Appl. Chem. 2011, 5, 104–110. [Google Scholar]
- Dinç, E.; Baleanu, D.; Onur, F. Simultaneous spectrophotometric analysis of codeine phosphate, acetylsalicylic acid and caffeine in tablets by inverse least-squares and principal component regression techniques. Anal. Lett. 2002, 35, 545–558. [Google Scholar] [CrossRef]
- Diaconu, I.; Aboul-Enein, H.Y.; Bunaciu, A.A.; Tănase, I.G. Estimation of Uncertainty for Measuring Codeine Phosphate Tablets Formulation Using UV-Vis Spectrophotometry. Anal. Lett. 2010, 43, 1207–1216. [Google Scholar] [CrossRef]
- Gharbavi, M.; Sereshti, H. Optimized Of Dispersive Liquid-Liquid Micro Extraction and UV- Vis Spectrophotometer for Determination of Codeine in Waters. J. Curr. Res. Sci. 2014, 2, 570–574. [Google Scholar]
- Rojas, F.S.; Ojeda Bosch, C.; Cano Pavon, J.M. Derivative Ultraviolet-Visible Region Absorption Spectrophotometry and Its Analytical Applications. Talanta 1988, 35, 753–761. [Google Scholar] [CrossRef]
- Ojeda, C.B.; Rojas, F.S.; Rojas, M.F.S. Recent developments in derivative ultraviolet/visible absorption spectrophotometry. Anal. Chim. Acta 2004, 518, 1–24. [Google Scholar] [CrossRef]
- Kuś, S.; Marczenko, Z.; Obarski, N. Derivative UV-VIS Spectrophotometry in Analytical Chemistry. Chem. Anal. 1996, 41, 899–929. [Google Scholar]
- An, D.T.T.; Hoang, V.D. Simultaneous Determination of Paracetamol and Codeine Phosphate in Combined Tablets by First-Order Derivative and Ratio Spectra First-Order Derivative UV Spectrophotometry. Asian J. Res. Chem. 2009, 2, 143–147. [Google Scholar]
- Karpiska, J. Derivative spectrophotometry?recent applications and directions of developments. Talanta 2004, 64, 801–822. [Google Scholar] [CrossRef] [PubMed]
- Lotfi, A.; Karimi, S.; Hassanzadeh, J. Preconcentration of codeine in pharmaceutical and human urine samples by multi-walled carbon nanotubes and its spectrophotometric determination. Can. J. Chem. 2016, 94, 857–864. [Google Scholar] [CrossRef]
- Mashhadizadeh, M.H.; Jafari, L. Cloud point extraction and spectrophotometric determination of codeine in pharmaceutical and biological samples. J. Iran. Chem. Soc. 2010, 7, 678–684. [Google Scholar] [CrossRef]
- Al-Anbakey, A.M.; Qasim, N. Simultaneous Spectrophotometric Determination of Paracetamol and Codeine. Eur. J. Pharm. Med. Res. 2018, 5, 11–15. [Google Scholar]
- Freitas, J.M.; Ramos, D.L.; Sousa, R.M.; Paixão, T.R.; Santana, M.H.; Muñoz, R.A.; Richter, E.M. A portable electrochemical method for cocaine quantification and rapid screening of common adulterants in seized samples. Sens. Actuators B Chem. 2017, 243, 557–565. [Google Scholar] [CrossRef]
- Balbino, A.; Oiye, M.; Érica, N.; Ribeiro, M.F.M.; Cruz, J.W., Jr.; Eleotério, I.C.; Ipólito, A.J.; de Oliveira, M.F. Use of screen-printed electrodes for quantification of cocaine and Δ9-THC: Adaptions to portable systems for forensic purposes. J. Solid State Electrochem. 2016, 20, 2435–2443. [Google Scholar] [CrossRef]
- He, H.; Shay, S.D.; Caraco, Y.; Wood, M.; Wood, A.J. Simultaneous determination of codeine and it seven metabolites in plasma and urine by high-performance liquid chromatography with ultraviolet and electrochemical detection. J. Chromatogr. B Biomed. Sci. Appl. 1998, 708, 185–193. [Google Scholar] [CrossRef]
- Gerostamoulos, J.; Crump, K.; McIntyre, I.M.; Drummer, O.H. Simultaneous determination of 6-monoacetylmorphine, morphine and codeine in urine using high-performance liquid chromatography with combined ultraviolet and electrochemical detection. J. Chromatogr. B Biomed. Sci. Appl. 1993, 617, 152–156. [Google Scholar] [CrossRef]
- Gimenes, D.T.; Cunha, R.R.; Ribeiro, M.M.A.D.C.; Pereira, P.F.; Munoz, R.A.; Richter, E.M. Two new electrochemical methods for fast and simultaneous determination of codeine and diclofenac. Talanta 2013, 116, 1026–1032. [Google Scholar] [CrossRef] [PubMed]
- Zhou, T.; Yu, H.; Hu, Q.; Fang, Y. Determination of codeine and its metabolite in human urine by CE with amperometric detection. J. Pharm. Biomed. Anal. 2002, 30, 13–19. [Google Scholar] [CrossRef]
- Shih, Y.; Zen, J.-M.; Yang, H.-H. Determination of codeine in urine and drug formulations using a clay-modified screen-printed carbon electrode. J. Pharm. Biomed. Anal. 2002, 29, 827–833. [Google Scholar] [CrossRef]
- Garrido, J.; Delerue-Matos, C.; Borges, F.; Macedo, T.R.A.; Oliveira-Brett, A.M. Electroanalytical determination of codeine in pharmaceutical preparations. Anal. Lett. 2002, 35, 2487–2498. [Google Scholar] [CrossRef][Green Version]
- Simioni, N.B.; Oliveira, G.G.; Vicentini, F.C.; Lanza, M.R.; Janegitz, B.C.; Fatibello-Filho, O. Nanodiamonds stabilized in dihexadecyl phosphate film for electrochemical study and quantification of codeine in biological and pharmaceutical samples. Diam. Relat. Mater. 2017, 74, 191–196. [Google Scholar] [CrossRef]
- Švorc, L.; Sochr, J.; Svítková, J.; Rievaj, M.; Bustin, D. Rapid and sensitive electrochemical determination of codeine in pharmaceutical formulations and human urine using a boron-doped diamond film electrode. Electrochim. Acta 2013, 87, 503–510. [Google Scholar] [CrossRef]
- MacPherson, J.V. A practical guide to using boron doped diamond in electrochemical research. Phys. Chem. Chem. Phys. 2015, 17, 2935–2949. [Google Scholar] [CrossRef]
- Silva, T.A.; Zanin, H.; Corat, E.J.; Fatibello-Filho, O. Simultaneous Voltammetric Determination of Paracetamol, Codeine and Caffeine on Diamond-like Carbon Porous Electrodes. Electroanalysis 2017, 29, 907–916. [Google Scholar] [CrossRef]
- McCreery, R.L. Advanced Carbon Electrode Materials for Molecular Electrochemistry. Chem. Rev. 2008, 108, 2646–2687. [Google Scholar] [CrossRef] [PubMed]
- Bagheri, H.; Khoshsafar, H.; Afkhami, A.; Amidi, S. Sensitive and simple simultaneous determination of morphine and codeine using a Zn2SnO4nanoparticle/graphene composite modified electrochemical sensor. New J. Chem. 2016, 40, 7102–7112. [Google Scholar] [CrossRef]
- Ensafi, A.A.; Ahmadi, N.; Rezaei, B.; Abarghoui, M.M. A new electrochemical sensor for the simultaneous determination of acetaminophen and codeine based on porous silicon/palladium nanostructure. Talanta 2015, 134, 745–753. [Google Scholar] [CrossRef] [PubMed]
- Bauer, C.G.; Kühn, A.; Gajovic, N.; Skorobogatko, O.; Holt, P.-J.; Bruce, N.C.; Makower, A.; Lowe, C.R.; Scheller, F.W. New enzyme sensors for morphine and codeine based on morphine dehydrogenase and laccase. Anal. Bioanal. Chem. 1999, 364, 179–183. [Google Scholar] [CrossRef]
- Asturias-Arribas, L.; Alonso-Lomillo, M.A.; Domínguez-Renedo, O.; Arcos-Martínez, M.J. Screen-printed biosensor based on the inhibition of the acetylcholinesterase activity for the determination of codeine. Talanta 2013, 111, 8–12. [Google Scholar] [CrossRef]
- Asturias-Arribas, L.; Alonso-Lomillo, M.A.; Domínguez-Renedo, O.; Arcos-Martínez, M.J. Cytochrome P450 2D6 based electrochemical sensor for the determination of codeine. Talanta 2014, 129, 315–319. [Google Scholar] [CrossRef]
- Saberian, M.; Hamzeiy, H.; Aghanejad, A.; Asgari, D. Aptamer-based Nanosensors: Juglone as an Attached-Redox Molecule for Detection of Small Molecules. BioImpacts 2011, 1, 31–36. [Google Scholar]
- Huang, L.; Yang, X.; Qi, C.; Niu, X.; Zhao, C.; Zhao, X.; Shangguan, D.; Yang, Y. A label-free electrochemical biosensor based on a DNA aptamer against codeine. Anal. Chim. Acta 2013, 787, 203–210. [Google Scholar] [CrossRef]
- Santos, A.M.; Silva, T.A.; Vicentini, F.C.; Fatibello-Filho, O. Flow injection analysis system with electrochemical detection for the simultaneous determination of nanomolar levels of acetaminophen and codeine. Arab. J. Chem. 2020, 13, 335–345. [Google Scholar] [CrossRef]
- Pereira, P.F.; Marra, M.C.; Cunha, R.R.; Da Silva, W.P.; Munoz, R.A.; Richter, E.M. Two simple and fast electrochemical methods for simultaneous determination of promethazine and codeine. J. Electroanal. Chem. 2014, 713, 32–38. [Google Scholar] [CrossRef]
- Mashhadizadeh, M.H.; Rasouli, F. Design of a New Carbon Paste Electrode Modified with TiO2 Nanoparticles to Use in an Electrochemical Study of Codeine and Simultaneous Determination of Codeine and Acetaminophen in Human Plasma Serum Samples. Electroanalysis 2014, 26, 2033–2042. [Google Scholar] [CrossRef]
- Afkhami, A.; Khoshsafar, H.; Bagheri, H.; Madrakian, T. Facile Simultaneous Electrochemical Determination of Codeine and Acetaminophen in Pharmaceutical Samples and Biological Fluids by Graphene-CoFe2O4 Nancomposite Modified Carbon Paste Electrode. Sens. Actuators B Chem. 2014, 203, 909–918. [Google Scholar] [CrossRef]
- Deroco, P.B.; Vicentini, F.C.; Fatibello-Filho, O. An Electrochemical Sensor for the Simultaneous Determination of Paracetamol and Codeine Using a Glassy Carbon Electrode Modified with Nickel Oxide Nanoparticles and Carbon Black. Electroanalysis 2015, 27, 2214–2220. [Google Scholar] [CrossRef]
- Santos, A.M.; Vicentini, F.C.; Deroco, P.B.; Rocha-Filho, R.C.; Fatibello-Filho, O. Square-Wave Voltammetric Determination of Paracetamol and Codeine in Pharmaceutical and Human Body Fluid Samples Using a Cathodically Pretreated Boron-Doped Diamond Electrode. J. Braz. Chem. Soc. 2015, 26, 2159–2168. [Google Scholar] [CrossRef]
- Taei, M.; Hasanpour, F.; Habibollahi, S.; Baghlani, H.; Salavati, H. Simultaneous determination of ascorbic acid, acetaminophen and codeine based on multi-walled carbon nanotubes modified with magnetic nanoparticles paste electrode. Mater. Sci. Eng. C 2016, 69, 1–11. [Google Scholar] [CrossRef]
- Ensafi, A.A.; Abarghoui, M.M.; Rezaei, B. Simultaneous determination of morphine and codeine using Pt nanoparticles supported on porous silicon flour modified ionic liquid carbon paste electrode. Sens. Actuators B Chem. 2015, 219, 1–9. [Google Scholar] [CrossRef]
- Ensafi, A.A.; Heydari-Bafrooei, E.; Rezaei, B. Different interaction of codeine and morphine with DNA: A concept for simultaneous determination. Biosens. Bioelectron. 2013, 41, 627–633. [Google Scholar] [CrossRef] [PubMed]
- Afkhami, A.; Gomar, F.; Madrakian, T. CoFe2O4 nanoparticles modified carbon paste electrode for simultaneous detection of oxycodone and codeine in human plasma and urine. Sens. Actuators B Chem. 2016, 233, 263–271. [Google Scholar] [CrossRef]
- Usman, M.; Naseer, A.; Baig, Y.; Jamshaid, T.; Shahwar, M.; Khurshuid, S. Forensic toxicological analysis of hair: A review. Egypt. J. Forensic Sci. 2019, 9, 17. [Google Scholar] [CrossRef]
- Dutta, M.; Cai, J.; Gui, W.; Patterson, A.D. A review of analytical platforms for accurate bile acid measurement. Anal. Bioanal. Chem. 2019, 411, 4541–4549. [Google Scholar] [CrossRef]
- Zhang, X.; Chen, M.; Cao, G.; Hu, G. Determination of Morphine and Codeine in Human Urine by Gas Chromatography-Mass Spectrometry. J. Anal. Methods Chem. 2013, 2013, 1–6. [Google Scholar] [CrossRef]
- Rana, S.; Garg, R.K.; Singla, A. Rapid analysis of urinary opiates using fast gas chromatography–mass spectrometry and hydrogen as a carrier gas. Egypt. J. Forensic Sci. 2014, 4, 100–107. [Google Scholar] [CrossRef]
- Orata, F. Derivatization Reactions and Reagents for Gas Chromatography Analysis. In Advanced Gas Chromatography—Progress in Agricultural, Biomedical and Industrial Applications; IntechOpen: Rijeka, Croatia, 2012. [Google Scholar]
- Lin, Z.; Lafolie, P.; Beck, O. Evaluation of Analytical Procedures for Urinary Codeine and Morphine Measurements. J. Anal. Toxicol. 1994, 18, 129–133. [Google Scholar] [CrossRef]
- Kushnir, M.M.; Crockett, D.K.; Nelson, G.; Urry, F.M. Comparison of four derivatizing reagents for 6-acetylmorphine GC-MS analysis. J. Anal. Toxicol. 1999, 23, 262–269. [Google Scholar] [CrossRef][Green Version]
- Huestis, M.A.; Oyler, J.M.; Cone, E.J.; Wstadik, A.T.; Schoendorfer, D.; Joseph, R.E. Sweat testing for cocaine, codeine and metabolites by gas chromatography-mass spectrometry. J. Chromatogr. B Biomed. Sci. Appl. 1999, 733, 247–264. [Google Scholar] [CrossRef]
- Chittrakarn, S.; Penjamras, P.; Keawpradub, N. Quantitative analysis of mitragynine, codeine, caffeine, chlorpheniramine and phenylephrine in a kratom (Mitragyna speciosa Korth.) cocktail using high-performance liquid chromatography. Forensic Sci. Int. 2012, 217, 81–86. [Google Scholar] [CrossRef] [PubMed]
- Plotnikov, A.N.; Karpenko, Y.N.; Vikhareva, E.V.; Tyumina, E.A.; Richkova, M.I.; Selyaninov, A.A. Determination of Codeine Phosphate in the Culture Fluid of Rhodococcus by High-Performance Liquid Chromatography. Mosc. Univ. Chem. Bull. 2017, 72, 328–332. [Google Scholar] [CrossRef]
- Coles, R.; Kushnir, M.M.; Nelson, G.J.; McMillin, G.A.; Urry, F.M. Simultaneous Determination of Codeine, Morphine, Hydrocodone, Hydromorphone, Oxycodone, and 6-Acetylmorphine in Urine, Serum, Plasma, Whole Blood, and Meconium by LC-MS-MS. J. Anal. Toxicol. 2007, 31, 1–14. [Google Scholar] [CrossRef] [PubMed]
- Hu, Z.; Zou, Q.; Tian, J.; Sun, L.; Zhang, Z. Simultaneous determination of codeine, ephedrine, guaiphenesin and chlorpheniramine in beagle dog plasma using high performance liquid chromatography coupled with tandem mass spectrometric detection: Application to a bioequivalence study. J. Chromatogr. B 2011, 879, 3937–3942. [Google Scholar] [CrossRef] [PubMed]
- Grabenauer, M.; Moore, K.N.; Bynum, N.D.; White, R.M.; Mitchell, J.M.; Hayes, E.D.; Flegel, R. Development of a Quantitative LC–MS-MS Assay for Codeine, Morphine, 6-Acetylmorphine, Hydrocodone, Hydromorphone, Oxycodone and Oxymorphone in Neat Oral Fluid. J. Anal. Toxicol. 2018, 42, 392–399. [Google Scholar] [CrossRef] [PubMed]
- Sproll, C.; Perz, R.; Lachenmeier, D.W. Optimized LC/MS/MS Analysis of Morphine and Codeine in Poppy Seed and Evaluation of Their Fate during Food Processing as a Basis for Risk Analysis. J. Agric. Food Chem. 2006, 54, 5292–5298. [Google Scholar] [CrossRef]
- Guo, Q.; Zhang, J.; Zhao, S.; Shao, B. Determination of Five Alkaloids of Pericarpium Papaveris in Hot Pot Broth Using Ultra-Performance Liquid Chromatography Coupled to Triple Quadruple Mass Spectrometry. Food Anal. Methods 2013, 6, 698–704. [Google Scholar] [CrossRef]
- Maslarska, V.; Tencheva, J. Simultaneous Determination and Validation of Paracetamol and Codeine Phosphate in Pharmaceutical Preparation by RP-HPLC. Int. J. Pharm. Pharm. Sci. 2013, 5, 417–419. [Google Scholar]
- Kommana, R.; Basappa, P. Validated Stability Indicating RP-HPLC Method for Simultaneous Estimation of Codeine Phosphate and Chlorpheniramine Maleate from Their Combined Liquid Dosage Form. Chromatogr. Res. Int. 2013, 2013, 1–7. [Google Scholar] [CrossRef]
- Manassra, A.; Khamis, M.; El-Dakiky, M.; Abdel-Qader, Z.; Al-Rimawi, F. Simultaneous HPLC analysis of pseudophedrine hydrochloride, codeine phosphate, and triprolidine hydrochloride in liquid dosage forms. J. Pharm. Biomed. Anal. 2010, 51, 991–993. [Google Scholar] [CrossRef]
- Weingarten, B.; Wang, H.-Y.; Roberts, D.M. Determination of codeine in human plasma by high-performance liquid chromatography with fluorescence detection. J. Chromatogr. A 1995, 696, 83–92. [Google Scholar] [CrossRef]
- Belal, F.; Omar, M.A.; Derayea, S.; Zayed, S.; Hammad, M.A.; Saleh, S.F. Simultaneous determination of paracetamol, caffeine and codeine in tablets and human plasma by micellar liquid chromatography. Eur. J. Chem. 2015, 6, 468–474. [Google Scholar] [CrossRef]
- García-Alvarez-Coque, M.C.; Baeza-Baeza, J.J.; Ramis-Ramos, G. Reversed Phase Liquid Chromatography. In Analytical Separation Science; Wiley-VCH: New York, NY, USA, 2015; pp. 159–198. [Google Scholar]
- Hetem, M.J.J.; De Haan, J.W.; Claessens, H.A.; Van De Ven, L.J.M.; Cramers, C.A.; Kinkel, J.N. Influence of alkyl chain length on the stability of n-alkyl-modified reversed phases. 1. Chromatographic and physical analysis. Anal. Chem. 1990, 62, 2288–2296. [Google Scholar] [CrossRef][Green Version]
- Claessens, H.A.; van Straten, M.A. Review on the Chemical and Thermal Stability of Stationary Phases for Reversed-Phase Liquid Chromatography. J. Chromatogr. A 2004, 1060, 23–41. [Google Scholar] [CrossRef]
- Hood, D.J.; Cheung, H.-Y. A chromatographic method for rapid and simultaneous analysis of codeine phosphate, ephedrine HCl and chlorpheniramine maleate in cough-cold syrup formulation. J. Pharm. Biomed. Anal. 2003, 30, 1595–1601. [Google Scholar] [CrossRef]
- Walash, M.I.; Belal, F.; Tolba, M.M.; Halawa, M.I. Micellar Liquid Chromatography and Derivative Spectrophotometry for the Simultaneous Determination of Acemetacin and Chlorzoxazone in their Tablets and Human Plasma. Sep. Sci. Technol. 2014, 50, 1403–1412. [Google Scholar] [CrossRef]
- Korfmacher, W.A. Foundation review: Principles and applications of LC-MS in new drug discovery. Drug Discov. Today 2005, 10, 1357–1367. [Google Scholar] [CrossRef]
- Grebe, S.K.G.; Singh, R.J. LC-MS/MS in the Clinical Laboratory—Where to from Here? Clin. Biochem. Rev. 2011, 32, 5–31. [Google Scholar] [PubMed]
- Peters, F.T. Recent advances of liquid chromatography–(tandem) mass spectrometry in clinical and forensic toxicology. Clin. Biochem. 2011, 44, 54–65. [Google Scholar] [CrossRef]
- Eichhorst, J.C.; Etter, M.L.; Hall, P.L.; Lehotay, D.C. LC-MS/MS Techniques for High-Volume Screening of Drugs of Abuse and Target Drug Quantitation in Urine/Blood Matrices. Adv. Struct. Saf. Stud. 2012, 902, 29–41. [Google Scholar] [CrossRef]
- Lee, Y.-W. Simultaneous Screening of 177 Drugs of Abuse in Urine Using Ultra-performance Liquid Chromatography with Tandem Mass Spectrometry in Drug-intoxicated Patients. Clin. Psychopharmacol. Neurosci. 2013, 11, 158–164. [Google Scholar] [CrossRef] [PubMed]
- Mueller, C.A.; Weinmann, W.; Dresen, S.; Schreiber, A.; Gergov, M. Development of a multi-target screening analysis for 301 drugs using a QTrap liquid chromatography/tandem mass spectrometry system and automated library searching. Rapid Commun. Mass Spectrom. 2005, 19, 1332–1338. [Google Scholar] [CrossRef]
- Lee, H.-H.; Lee, J.-F.; Lin, S.-Y.; Chen, B.H. Simultaneous identification of abused drugs, benzodiazepines, and new psychoactive substances in urine by liquid chromatography tandem mass spectrometry. Kaohsiung J. Med. Sci. 2016, 32, 118–127. [Google Scholar] [CrossRef]
- Tsai, I.-L.; Weng, T.-I.; Tseng, Y.J.; Tan, H.K.-L.; Sun, H.-J.; Kuo, C.-H. Screening and Confirmation of 62 Drugs of Abuse and Metabolites in Urine by Ultra-High-Performance Liquid Chromatography-Quadrupole Time-of-Flight Mass Spectrometry. J. Anal. Toxicol. 2013, 37, 642–651. [Google Scholar] [CrossRef] [PubMed]
- Baciu, T.; Botello, I.; Borrull, F.; Calull, M.; Aguilar, C. Capillary electrophoresis and related techniques in the determination of drugs of abuse and their metabolites. TrAC Trends Anal. Chem. 2015, 74, 89–108. [Google Scholar] [CrossRef]
- Jorgenson, J.W.; Lukacs, K.D. Zone electrophoresis in open-tubular glass capillaries. Anal. Chem. 1981, 53, 1298–1302. [Google Scholar] [CrossRef]
- Sieradzka, E.; Witt, K.; Milnerowicz, H. The application of capillary electrophoresis techniques in toxicological analysis. Biomed. Chromatogr. 2014, 28, 1507–1513. [Google Scholar] [CrossRef]
- Keyon, A.S.A.; Miskam, M.; Ishak, N.S.; Mahat, N.A.; Huri, M.A.M.; Wahab, R.A.; Chandren, S.; Razak, F.I.A.; Ng, N.-T.; Ali, T.G.; et al. Capillary electrophoresis for the analysis of antidepressant drugs: A review. J. Sep. Sci. 2019, 42, 906–924. [Google Scholar] [CrossRef]
- Breadmore, M.C.; Grochocki, W.; Kalsoom, U.; Alves, M.N.; Phung, S.C.; Rokh, M.T.; Cabot, J.M.; Ghiasvand, A.; Li, F.; Shallan, A.I.; et al. Recent advances in enhancing the sensitivity of electrophoresis and electrochromatography in capillaries and microchips (2016–2018). Electrophoresis 2019, 40, 17–39. [Google Scholar] [CrossRef]
- Hamidi, S. Recent Progresses in Sensitive Determination of Drugs of Abuse by Capillary Electrophoresis. Curr. Anal. Chem. 2020, 16, 369–380. [Google Scholar] [CrossRef]
- Gottardo, R.; Mikšík, I.; Aturki, Z.; Sorio, D.; Seri, C.; Fanali, S.; Tagliaro, F. Analysis of drugs of forensic interest with capillary zone electrophoresis/time-of-flight mass spectrometry based on the use of non-volatile buffers. Electrophoresis 2012, 33, 599–606. [Google Scholar] [CrossRef]
- Botello, I.; Borrull, F.; Aguilar, C.; Calull, M. Investigation of in-line solid-phase extraction capillary electrophoresis for the analysis of drugs of abuse and their metabolites in water samples. Electrophoresis 2012, 33, 528–535. [Google Scholar] [CrossRef] [PubMed]
- Chen, M.; Suo, L.-L.; Gao, Q.; Feng, Y.-Q. Determination of eight illegal drugs in human urine by combination of magnetic solid-phase extraction with capillary zone electrophoresis. Electrophoresis 2011, 32, 2099–2106. [Google Scholar] [CrossRef] [PubMed]
- Lu, M.; Li, Q.; Lai, Y.; Zhang, L.; Qiu, B.; Chen, G.; Cai, Z. Determination of stimulants and narcotics as well as their in vitro metabolites by online CE-ESI-MS. Electrophoresis 2011, 32, 472–478. [Google Scholar] [CrossRef]
- Fakhari, A.R.; Nojavan, S.; Ebrahimi, S.N.; Evenhuis, C.J. Optimized ultrasound-assisted extraction procedure for the analysis of opium alkaloids in papaver plants by cyclodextrin-modified capillary electrophoresis. J. Sep. Sci. 2010, 33, 2153–2159. [Google Scholar] [CrossRef]
- Gao, Y.; Xiang, Q.; Xu, Y.; Tian, Y.; Wang, E. The use of CE-electrochemiluminescence with ionic liquid for the determination of bioactive constituents in Chinese traditional medicine. Electrophoresis 2006, 27, 4842–4848. [Google Scholar] [CrossRef]
- Hamidi, S. Simultaneous and Sensitive Determination of Amphetamine, Codeine and Morphine in Exhaled Breath Condensate, Using Capillary Electrophoresis Coupled with On-line and Off-line Enhancing Methods. Curr. Pharm. Anal. 2020, 16, 872–879. [Google Scholar] [CrossRef]
- Cakir, K.; Erkmen, C.; Uslu, B.; Goger, N.G. Quantitative determination of paracetamol, caffeine and codeine phosphate in pharmaceutical dosage forms by using capillary electrophoresis method. Rev. Roum. Chim. 2019, 64, 801–808. [Google Scholar] [CrossRef]
- Ciura, K.; Pawelec, A.; Buszewska-Forajta, M.; Markuszewski, M.J.; Nowakowska, J.; Prahl, A.; Wielgomas, B.; Dziomba, S. Evaluation of sample injection precision in respect to sensitivity in capillary electrophoresis using various injection modes. J. Sep. Sci. 2017, 40, 1167–1175. [Google Scholar] [CrossRef] [PubMed]
- Cunha, R.R.; Ribeiro, M.M.A.C.; Muñoz, R.A.A.; Richter, E.M. Fast determination of codeine, orphenadrine, promethazine, scopolamine, tramadol, and paracetamol in pharmaceutical formulations by capillary electrophoresis. J. Sep. Sci. 2017, 40, 1815–1823. [Google Scholar] [CrossRef] [PubMed]
- Baciu, T.; Borrull, F.; Neusüß, C.; Aguilar, C.; Calull, M. Capillary electrophoresis combined in-line with solid-phase extraction using magnetic particles as new adsorbents for the determination of drugs of abuse in human urine. Electrophoresis 2016, 37, 1232–1244. [Google Scholar] [CrossRef]
- Baciu, T.; Borrull, F.; Aguilar, C.; Calull, M. Findings in the hair of drug abusers using pressurized liquid extraction and solid-phase extraction coupled in-line with capillary electrophoresis. J. Pharm. Biomed. Anal. 2016, 131, 420–428. [Google Scholar] [CrossRef]
- Botello, I.; Borrull, F.; Calull, M.; Aguilar, C.; Somsen, G.W.; De Jong, G.J. In-line solid-phase extraction–capillary electrophoresis coupled with mass spectrometry for determination of drugs of abuse in human urine. Anal. Bioanal. Chem. 2012, 403, 777–784. [Google Scholar] [CrossRef]
- Meng, P.; Wang, Y.; Meng, L. PH-Mediated Stacking in Capillary Electrophoresis for Analysis of Opiates in Saliva. Anal. Methods 2012, 4, 3695–3700. [Google Scholar] [CrossRef]
- Rodríguez, J.F.; Castañeda, G.; Muñoz, L.; López-Sanz, S. Development and validation of a non-aqueous capillary electrophoresis method for the determination of imatinib, codeine and morphine in human urine. Anal. Methods 2014, 6, 3842. [Google Scholar] [CrossRef]
- Bonvin, G.; Schappler, J.; Rudaz, S. Non-aqueous capillary electrophoresis for the analysis of acidic compounds using negative electrospray ionization mass spectrometry. J. Chromatogr. A 2014, 1323, 163–173. [Google Scholar] [CrossRef] [PubMed]
- Ho, Y.-H.; Wang, C.-C.; Hsiao, Y.-T.; Ko, W.-K.; Wu, S.-M. Analysis of ten abused drugs in urine by large volume sample stacking–sweeping capillary electrophoresis with an experimental design strategy. J. Chromatogr. A 2013, 1295, 136–141. [Google Scholar] [CrossRef]
- Anres, P.; Gareil, P.; Delaunay, N.; Vial, J.; Thormann, W. Influence of high-conductivity buffer composition on field-enhanced sample injection coupled to sweeping in CE. Electrophoresis 2013, 34, 353–362. [Google Scholar] [CrossRef]
- Jarvas, G.; Guttman, A.; Miękus, N.; Bączek, T.; Jeong, S.; Chung, D.S.; Pätoprstý, V.; Masár, M.; Hutta, M.; Datinská, V.; et al. Practical Sample Pretreatment Techniques Coupled with Capillary Electrophoresis for Real Samples in Complex Matrices. TrAC Trends Anal. Chem. 2020, 122, 115702. [Google Scholar] [CrossRef]
- Elbashir, A.A.; Elgorashe, R.E.E.; Alnajjar, A.O.; Aboul-Enein, H.Y. Application of Capillary Electrophoresis with Capacitively Coupled Contactless Conductivity Detection (CE-C4D): 2017–2020. Crit. Rev. Anal. Chem. 2020, 24, 1–9. [Google Scholar] [CrossRef]
- Adcock, J.L.; Conlan, X.A.; Barrow, C.J.; Barnett, N.W.; Hogan, C.F.; Francis, P. Chemiluminescence and electrochemiluminescence detection of controlled drugs. Drug Test. Anal. 2010, 3, 145–160. [Google Scholar] [CrossRef]


| Compound | Codeine | Heroin | Morphine | Ref. |
|---|---|---|---|---|
| Marquis | violet | violet | violet | [15] |
| Mecke | blue to green | blue to green | blue to green | [15,22] |
| Froehde | light green | n/a | violet to grey | [15,23] |
| Mandelin | green to blue | blue-grey | light grey | [15] |
| Lieberman | Black | n/a | black | [15] |
| Ferric sulfate | n/a | n/a | red | [13] |
| Nitric acid | orange slowly changing to yellow | yellow slowly changing to light green | orange rapidly changing to red then slowly to yellow | [13] |
| AuNPs | green | - | - | [17] |
| Analyte | Matrix | Method | Maximum Wavelength | LOD/LOQ | % RSD/Recovery | Ref. |
|---|---|---|---|---|---|---|
| Codeine | Tablet | UV/VIS spectrophotometry | 284 nm 0.1 M NaOH | NA | RSD = 0.0003 | [28] |
| Codeine | Water | UV/VIS spectrophotometry | 270 nm in methanol | LOD = 18 ng/mL | RSD = 1.9% Recovery = 97.2–97.9% | [29] |
| Codeine | Human urine | UV spectrophotometry | 265 nm in methanol | LOD = 0.4 ng/mL LOQ = 1.3 ng/mL | RSD = 1.56% for 0.01 mg/L | [35] |
| Codeine phosphate, Diphenhydramine HCl | Cough mixture | Zero-order derivative UV spectrophotometry | 258 nm for codeine phosphate; 264 nm for diphenhydramine HCl (in HCl) | LOD = 1000 ng/mL LOQ = 50,000 ng/mL | RSD = 2.64% Recovery = 96.99–102.4% | [26] |
| Codeine phosphate, Paracetamol | Tablet | First-order derivative UV spectrophotometry | 263.5 nm for paracetamol; 218.4 nm for codeine phosphate (in ethanol) | LOD = 260 ng/mL LOQ = 870 ng/mL | RSD = 0.36% Recovery = 99% | [33] |
| Codeine phosphate, Acetylsalicylic acid, Caffeine | Tablet | Spectrophotometric simultaneous analysis by inverse least-squares (ILS) and principal component regression (PCR) techniques (chemometric) | The absorbance values were measured at 15 points in the wavelength range 220–290 nm (in HCl) | NA | RSD = 1.23% for ILS 2.1% for PCR Recovery = 100.2% for ILS 99.5% for PCR | [27] |
| Codeine | Acetaminophen codeine tablet and blood | UV/VIS spectrophotometry | 430 nm in ethanol | LOD = 4.6 ng/mL | RSD = 2.15%. | [36] |
| Codeine, Paracetamol | Tablets | UV spectrophotometric | 243 nm for paracetamol; 278 nm for codeine (in H2O:ACN 90:10 v/v) | LOD = 50 ng/mL LOQ = 165 ng/mL | RSD = 0.81% Recovery = 100.53% | [37] |
| Analyte | Matrix | Method | Electrode | LOD | % RSD/Recovery | Ref. |
|---|---|---|---|---|---|---|
| Codeine | Tablet and urine | Chrono-amperometry | Tetrathiafulvalene/AChE- modified screen-printed carbon | LOD = 20,000 nM | RSD = 3.3% Recovery = 102 ± 10% (tablet) 101 ± 11% (urine) | [54] |
| Tablet and urine | Chrono-amperometry | CYP2D6-modified screen-printed carbon | LOD = 4900 nM | RSD = 8.9% Recovery = 105 ± 7% (tablet) 108 ± 13% (urine) | [55] | |
| Tablet, urine, and serum | SWV | Nanodiamond/dihexadecyl phosphate-modified glassy carbon | LOD = 54.5 nM | RSD = 3.2% Recovery = 84–95% (tablet) 88-101% (urine) 93-100% (serum) | [46] | |
| Tablet and urine | DPV | BDD | LOD = 80 nM | RSD = 5% Recovery = 95–103% (tablet) In agreement with HPLC-PDA (urine) | [47] | |
| Standard solution | DPV | Au-mesoporous Si NPs/aptamer-modified glassy carbon | LOD = 0.003 nM | - | [57] | |
| Codeine Acetaminophen | Tablet, urine, and serum | Amperometry and DPV | Pd NPs/porous Si microparticle-modified CNT paste | LOD = 200 nM (amperometry) LOD = 300 nM (DPV) | RSD = 4.9% Recovery = 97–105% (tablet) 96–104% (urine) 97–99% (serum) | [52] |
| Tablet, urine and serum | MPA with FIA | Cathodically treated BDD | LOD = 35 nM | RSD = 3–4% Recovery = In agreement with HPLC (tablet) 102–107% (urine) 98–108% (serum) | [58] | |
| Serum | DPV | TiO2 NPs-modified carbon paste | LOD = 18 nM | RSD = 1.3% Recovery = 95–100% | [60] | |
| Tablet, urine, and serum | SWV | NiO NPs/carbon black/DHP-modified glassy carbon | LOD = 480 nM | RSD = 8.8% Recovery = In agreement with HPLC (tablet) 98–110% (urine) 97–108% (serum) | [62] | |
| Pharmaceutical formulations, plasma, and urine | SWV | Graphene/CoFe2O4 NPs-modified carbon paste | LOD = 11 nM | RSD = 4% Recovery = 98 ± 20% (tablet) 99 ± 2% (syrup) 98–102% (urine) 98–102% (plasma) | [61] | |
| Tablet, urine, and serum | SWV | Cathodically treated BDD | LOD = 14 nM | RSD = 4.2% Recovery = 76–98% (tablet) 98–100% (urine) 98–106% (serum) | [63] | |
| Codeine Acetaminophen Ascorbic acid | Tablet, urine, and serum | SWV | ZnCrFeO4 NPs-modified MWCNT paste | LOD = 10 nM | RSD = 2.1% Recovery = 93–102% (tablet) 94–99% (syrup) 91–102% (urine) 96–102% (serum) | [64] |
| Codeine Acetaminophen Caffeine | Urine and serum | SWV | Diamond-like carbon film grown on vertically aligned MWCNT | LOD = 160 nM | RSD = <8% Recovery = 91–110% (urine) 85–98% (serum) | [49] |
| Codeine Morphine | Urine and serum | DPV | Pt NPs/porous Si flour-modified ionic liquid carbon paste | LOD = 20 nM | RSD = 5.7% Recovery = 104–107% (urine) 96–103% (serum) | [65] |
| Pharmaceutical formulations, urine, and plasma | DPV | Zn2SnO4 NPs/graphene-modified carbon paste | LOD = 9 nM | RSD = 3.2% Recovery = 99 ± 3% (syrup) 99 ± 3% (injection) 98–101% (urine) 97–104% (plasma) | [51] | |
| Pharmaceutical formulations, urine and plasma | DPV | dsDNA/MWCNT/PDDA-modified pencil graphite | LOD = 41 ng/mL | RSD = 6.9% Recovery = 102 ± 9% (syrup) 105 ± 14% (injection) 104 ± 10% (urine) 102 ± 10% (plasma) | [66] | |
| Codeine Diclofenac | Tablet | Amperometry with BIA | BDD | LOD = 1000 nM | RSD = 0.9% Recovery = 99–104% | [42] |
| Codeine Promethazine | Pharmaceutical formulation | MPA with BIA | BDD | LOD = 140 ng/mL | RSD = 7.9% Recovery = 96–98% | [59] |
| Codeine Oxycodone | Plasma and urine | DPV | CoFe2O4 NPs-modified carbon paste | LOD = 20 nM | RSD = 0.1% Recovery = 98–103% (urine) 98–102% (plasma) | [67] |
| Analyte | Matrix | Method | Elution Type and Mobile Phase/Flow Rate | Column/Temperature | Detector | LOD/LOQ | % RSD/Recovery | Ref. |
|---|---|---|---|---|---|---|---|---|
| Morphine Codeine | Human urine | GC-MS | Helium as the carrier gas; 1.0 mL/min | HP-1MS column; temperature programming | MS-selected ion monitoring (SIM) mode | LLOQ = 25 ng/mL | RSD = 13%, Recovery = 87.2–108.5%. | [70] |
| Morphine Codeine Hydrocodone Hydromorphone | Human urine | GC-MS | Hydrogen as the carrier gas; 1.0 mL/min | GC column; temperature programming | MS-electron impact mode | LOD = 50 ng/mL LOQ = 100 ng/mL | RSD = 2.3% Recovery = 99.97% | [71] |
| Cocaine Codeine Metabolites | Sweat | GC-MS | Helium as the carrier gas | HP-1 fused silica capillary column; temperature programming | MS-selected ion monitoring (SIM) mode | LOD = 2.5 ng/patch LOQ = 2.5 ng/patch | RSD = 3.0% Recovery = 111.1% | [75] |
| Codeine | Human plasma | RP-HPLC | Acetonitrile and 5 mM ammonium phosphate dibasic (8:92, v/v) adjusted to pH 5.8 with phosphoric acid; 1.0 mL/min | Reversed-phased C8 column; ambient temperature | Fluorescence | LOD = 5 ng/mL LOQ = 10 ng/mL | RSD = 1.35–16.1% Recovery = 82.7–108% | [86] |
| Mitragynine Codeine Caffeine Chlorpheniramine Phenylephrine | Kratom cocktail (Mitragyna speciosa Korth.) | RP-HPLC | Isocratic elution 0.01 M KH2PO4/methanol/ Acetonitrile/isopropanol (74:8:9:9, v/v/v/v); 1.0 mL/min | Eclipse XDB-C8 column; 25 °C. | PDA | LOD = 5 ng/mL LOQ = 10 ng/mL | RSD = 2.495% Recovery = 98.96% | [76] |
| Codeine phosphate Chlorpheniramine maleate | Oral syrup | RP-HPLC | Isocratic elution; 1% o-phosphoric acid in water/acetonitrile/methanol (78:10:12); 1 mL/min | Phenomenex C18 column; 23 °C | UV/VIS | LOD = 2263 ng/mL LOQ = 6859 ng/mL | RSD = 0.23% Recovery = 99.01% | [84] |
| Codeine phosphate | Culture fluid of Rhodococcus | RP-HPLC | Phosphate buffer (pH 3.0) and acetonitrile (15:85); 1 mL/min | C18-modified silica gel; 40 °C | PDA | LOD = 200 ng/mL LOQ = 500 ng/mL | RSD = 0.35% Recovery = 97.92% | [77] |
| Caffeine Codeine Paracetamol | Tablets and human plasma | Micellar liquid chromatography | 140 mM sodium dodecyl sulfate, 25 mM phosphate buffer, and 10% acetonitrile at pH = 3; 1 mL/min | Cyano column; 35 °C | UV | LOD = 54 ng/mL LOQ = 164 ng/mL | RSD = 0.803% Recovery = 99.51% | [87] |
| Codeine phosphate Triprolidine Hydrochloride Pseudophedrine hydrochloride | Liquid formulation | RP-HPLC | Methanol/acetate buffer/acetonitrile (85:5:10, v/v); 1.5 mL/min | C18 column | UV | LOD = 54 ng/mL LOQ = 164 ng/mL | RSD = 0.6% Recovery = 99.4% | [85] |
| Codeine phosphate Paracetamol | Tablet | RP-HPLC | Isocratic elution; acetonitrile/buffer solution (pH = 2.5) (15:85); 1 mL/min | LiChrospher® RP-18 column | UV/VIS | LOD = 60 ng/mL LOQ = 600 ng/mL | RSD = 0.6% Recovery = 99.33–100.3% | [83] |
| Codeine phosphate Ephedrine HCl Chlorpheniramine maleate | Syrup | RP-HPLC | Mobile phase A consisted of methanol/glacial acetic acid/triethylamine (980:15:6 v/v) and mobile phase B was water/glacial acetic acid/triethylamine (980:15:6 v/v); 1.5 mL/min | Zorbax XDB C8 column; 30 °C | UV-diode array | Not evaluated | RSD = 0.08% Recovery = 99.87–100.96% | [91] |
| Morphine Codeine Thebaine Papaverine Noscapine | Pericarpium papaveris (Papaver somniferum L.) in hot pot broth | UPLC-QqQ-MS | Gradient elution; methanol (solvent B) and water (solvent A); 0.3 mL/min | Acquity BEH C18 column; 40 °C | MS in positive electrospray ionization with multiple reaction monitoring (MRM) | LOD = 40 ng/kg LOQ = 100 ng/kg | RSD = 16.9–20.5% Recovery = 78.9–124% | [82] |
| Codeine Guaiphenesin Chlorpheniramine Ephedrine | Beagle dog plasma | LC-MS/MS | Formic acid: 10 mM ammonium acetate/methanol (0.2:62:38, v/v); 0.2 mL/min | Phenomenex Luna C18 analytical column; | MS-selected reaction monitoring (SRM) mode | LLOQ = 0.08 ng/mL | RSD = 7% Recovery = 91% | [79] |
| Codeine Morphine 6-acetylmorphine Hydrocodone Hydromorphone Oxycodone Oxymorphone | Neat oral fluid | LC-MS/MS | Mobile phase was initially 95% 5 mM ammonium formate in water with 0.1% formic acid, decreased to 85% over 2 min then 5% over 1.5 min; 0.5 mL/min | Agilent Poroshell 120 SB-C18 column; | MS-positive electrospray ionization (ESI) mode | LOD = 0.04 ng/mL LLOQ 1.5 ng/mL | RSD = 3.7% Recovery = 99.3% | [80] |
| Codeine Morphine Hydrocodone Hydromorphone Oxycodone 6-Acetylmorphine | Urine, serum, plasma, whole blood, and meconium | LC-MS-MS | Isocratic acetonitrile and 2mM ammonium formate buffer at pH 3.0. (15%:85%) | 0.525 mL/min | MS in positive electrospray ionization with multiple reaction monitoring (MRM) | LOD = 1 LLOQ = 2 ng/mL in urine, serum/plasma, and whole blood; ng/g in meconium | Recovery = 90.8% in urine and 50.4% in meconium | [78] |
| Morphine Codeine | Poppy seed | LC-MS/MS | Gradient program; mobile phase A (water, 20 mM ammonium hydrogen carbonate, adjusted with ammonia to pH 9) and mobile phase B (water/methanol 5:95 (v/v), 20 mM ammonium hydrogen carbonate, adjusted with ammonia to pH 9); 0.2 mL/min | Reversed-phase Phenomenex, RP 18 Gemini column; 40 °C | MS-positive electrospray ionization (ESI) mode | LOD = 300,000 ng/kg | Precision = 7.4-9.0% Accuracy = 9.8–17.6% | [81] |
| Analytes | Matrix | CET | Analysis Conditions | Analysis Time | LOD/LOQ | % RSD/Recovery | Ref. |
|---|---|---|---|---|---|---|---|
| Amphetamine Codeine Morphine | Exhaled breath condensate | CE-DAD | Bare fused silica capillary (41.5 cm effective length, 50 µm I.D.) 100 mM phosphoric acid/TEA at pH 2.5 including 20% (v/v) methanol 20 kV, 25 °C | 15 min | LOQ = 30 ng/mL | RSD = 0.60–9.70% Recovery = −1.70–5.40% | [113] |
| Paracetamol Caffeine Codeine | Pharmaceutical dosage forms | CE-DAD | Uncoated fused silica capillary (47.5 cm effective length, 50 μm I.D.) 25 mM Na2HPO4 buffer containing 10% methanol at pH 8.5 27 kV, 25 °C | 5 min | - | - | [114] |
| Arecoline Codeine Papaverine | Standard | CE-DAD | Uncoated fused silica capillary (60 cm total length, 50 μm I.D.) 160 mM Tris and 200 mM phosphoric acid at pH 2.5 30 kV, 25 °C | 9 min | LOQ = 4 ng/mL | - | [115] |
| Codeine Orphenadrine Promethazine Scopolamine Tramadol Paracetamol | Pharmaceutical formulations | CE-C4D | Fused silica capillary (40 cm effective length, 50 µm I.D.) 20 mM β-alanine + 4 mM of NaOH + 4 mM NaCl at pH 9.6 25 kV, 25 °C | 3 min | LOD = 15,000 nM | Recovery = 94–104% | [116] |
| Cocaine Codeine Methadone Morphine | Urine | MSPE-CE-DAD | Fused silica capillary (71.5 cm effective length, 50 μm I.D.) with trapped magnetic particles Aqueous solution of 40mM ammonium acetate adjusted with 28% ammonium hydroxide to pH 8.7 15 kV, 25 °C | 14 min | LOD = 2 ng/mL | RSD = 6.5–13.8% | [117] |
| Cocaine Benzoylecgonine 6-acetylmorphine Codeine Morphine Methadone | Hair | SPE-CE-DAD | Fused silica capillary (80 cm total length, 50 µm I.D.) 11 mM α-cyclodextrin in an aqueous solution of 80 mM sodium phosphate at pH 2.530 kV, 25 °C | 32 min | LOD = 0.12 ng/mg | RSD = 2.48-9.70% Recovery = 87.85–95.32% | [118] |
| Imatinib Metabolite (Imatinib) Codeine Morphine | Urine | NACE-DAD | Fused silica capillary (29 cm effective length, 75 µm I.D.) 15 mM ammonium acetate and 1% acetic acid in methanol 22 kV, 25 °C | 9 min | LOD = 40 ng/mL | Recovery = 80.3–102.2% | [121] |
| Morphine-3-β-glucuronide Codeine-6-β-glucuronide Naloxone-6-β-glucuronide Ethyl-β-glucuronide | Standard and urine | NACE-MS | Fused silica capillary (100 cm effective length, 50 µm I.D.) or uncoated fused silica capillary with a porous tip (100 cm effective length, 30 µm I.D.) 5 mM ammonium acetate in ACN-MeOH 60:40 (v/v) 30 kV | 15 min | LOD = 500 ng/mL | - | [122] |
| Promethazine Codeine | Pharmaceutical formulation | CE-C4D | Fused silica capillary (10 cm effective length, 50 µm I.D.) 10 mM oxalic acid and 1.8 mM triethanolamine at pH 8.425 kV | 0.5 min | LOD = 28,000 ng/mL | RSD = 3.9–4.7% | [59] |
| Quinine Propranolol Strychnine Atropine Nicotine Codeine | Standard | MECK-DAD | Fused silica capillary (51.5 cm effective length, 50 µm I.D.) 46 mM aqueous sodium phosphate buffer, pH 2.1/ACN 80:20 v/v containing 70 mM SDS−15 kV | -- | - | - | [124] |
| Codeine Morphine Methamphetamine Ketamine Alprazolam Clonazepam Diazepam Flunitrazepam Nitrazepam Oxazepam | Urine | MECK-UV | Uncoated fused silica capillary (40.2 cm effective length, 50 µm I.D.) 50 mM NaH2PO4 buffer at pH 2.3 containing 10% methanol and 150 mM SDS −15 kV, 25 °C | 18 min | LOD = 28,000 ng/mL | Recovery = 77.6% | [123] |
| Codeine Diclofenac | Pharmaceutical formulation | CE-C4D | Fused silica capillary (10 cm effective length, 50 µm I.D.) 10 mM Tris/Taps at pH 8.225 kV | 1 min | LOD = 21,000 nM | RSD = 0.7–1.5% | [42] |
| 2-ethylidene-1,5-dimethyl- 3,3-diphenylpyrrolidine Codeine Hydrocodeine 6-acetylmorphine | Urine | SPE-CE-MS | Fused silica capillary (91.5 cm effective length, 50 µm I.D.) 60 mM ammonium acetate at pH 3.8 30 kV | 17 min | LOD = 0.20 ng/mL | RSD = 4.9% | [119] |
| Morphine Codeine 6-monoacetylmorphine | Saliva | CE-UV | Fused silica capillary (60.3 cm effective length, 75 µm I.D.) 100 mM phosphate buffer at pH 3) containing 20% methanol and 5% isopropanol (v/v) 25 kV | 20 min | LOD = 7 ng/mL | RSD = 6.1–17.7% | [120] |
| 2-ethylidene-1,5-dimethyl- 3,3-diphenylpyrrolidine Codeine Cocaine 6-acetylmorphine | Water | SPE-CE-UV | Fused silica capillary (53 cm effective length, 50 µm I.D.) 80 mM disodium phosphate anhydrous and 6 mM of HCl at pH 3 30 kV, 25 °C | 7 min | LOD = 200 ng/mL | RSD = 3.2–7.6% | [108] |
| 3,4-methylenedioxyamphetamine 3,4-methylenedioxymethamphetamine Methadone Cocaine Morphine Codeine 6-monoacetylmorphine | Hair | CE-MS | Uncoated fused silica capillary (100 cm total length, 50 µm I.D.) 50 mM ammonium phosphate at pH 6.5 15 kV, 20 °C | 25 min | LOD = 0.002 ng/mg | - | [107] |
| Amphetamine Methamphetamine 3,4-methylenedioxyamphetamine 3,4-methylenedioxymethamphetamine Ketamine Codeine Acetylcodeine Heroin | Urine | CE-UV | Fused silica capillary (60 cm effective length, 75 µm I.D.) 30 mM PBS at pH 2.0 containing 15% v/v ACN 20 kV, 25 °C | 15 min | LOD = 53 ng/mL | RSD = 2.8–12.4% Recovery = 85.4–109.7% | [109] |
| Amphetamine Ephedrine Methadone Pethidine Tetracaine Codeine Heroin | Liver microsomes | CE-MS | Fused silica capillary (70 cm effective length, 50 µm I.D.) 20 mM ammonium acetate at pH 9.022 kV, 25 °C | 5 min | LOD = 1.0 ng/mL | RSD = 1.08–1.12% | [110] |
| Morphine Codeine Thebaine | Plant extracts | CE-UV | Fused silica capillary (50 cm effective length, 50 µm I.D.) 100 mM phosphate buffer pH 3.0 containing 5 mM α-cyclodextrin 20 kV, 25 °C | 15 min | LOD = 2000 ng/mL | RSD = 1.6–2.9% Recovery = 2.7% | [111] |
| Hebaine Codeine Morphine Narcotine | Plant extracts | CE-ECL | Uncoated fused silica capillary (50 cm effective length, 25 µm I.D.) 25 mM borax and 8mM EMImBF4 at pH 9.1815 kV 5 mM Ru(bpy)3 and 50mM phosphate at pH 9.18 (detection cell) | 6 min | LOD = 250 nM | RSD = 4.11–5.01% | [112] |
Publisher’s Note: MDPI stays neutral with regard to jurisdictional claims in published maps and institutional affiliations. |
© 2021 by the authors. Licensee MDPI, Basel, Switzerland. This article is an open access article distributed under the terms and conditions of the Creative Commons Attribution (CC BY) license (http://creativecommons.org/licenses/by/4.0/).
Share and Cite
Pratiwi, R.; Noviana, E.; Fauziati, R.; Carrão, D.B.; Gandhi, F.A.; Majid, M.A.; Saputri, F.A. A Review of Analytical Methods for Codeine Determination. Molecules 2021, 26, 800. https://doi.org/10.3390/molecules26040800
Pratiwi R, Noviana E, Fauziati R, Carrão DB, Gandhi FA, Majid MA, Saputri FA. A Review of Analytical Methods for Codeine Determination. Molecules. 2021; 26(4):800. https://doi.org/10.3390/molecules26040800
Chicago/Turabian StylePratiwi, Rimadani, Eka Noviana, Rizky Fauziati, Daniel Blascke Carrão, Firas Adinda Gandhi, Mutiara Aini Majid, and Febrina Amelia Saputri. 2021. "A Review of Analytical Methods for Codeine Determination" Molecules 26, no. 4: 800. https://doi.org/10.3390/molecules26040800
APA StylePratiwi, R., Noviana, E., Fauziati, R., Carrão, D. B., Gandhi, F. A., Majid, M. A., & Saputri, F. A. (2021). A Review of Analytical Methods for Codeine Determination. Molecules, 26(4), 800. https://doi.org/10.3390/molecules26040800

