Biomarker Discovery of Acute Coronary Syndrome Using Proteomic Approach
Abstract
1. Introduction
2. Results
2.1. Identification and Confirmation of Differentially Expressed Proteins between Patients with ACS and Healthy Controls
2.2. Functional Analysis of Differentially Expressed Proteins between Patients with ACS and Healthy Controls
2.3. Selection of Protein Candidates for Identification of ACS Diagnostic Biomarkers
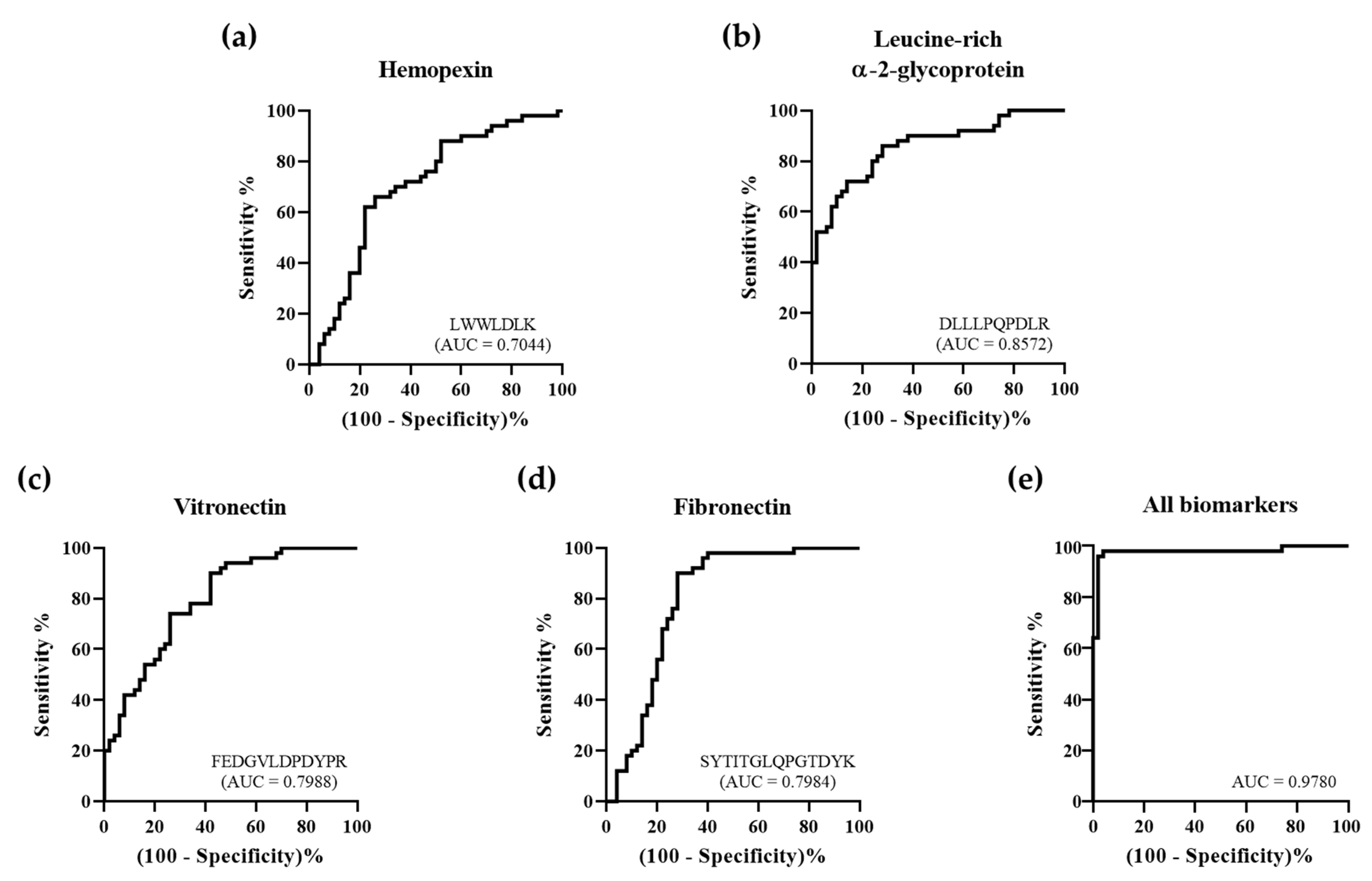
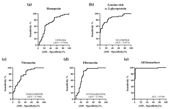
2.4. Discovery of ACS Diagnostic Biomarkers
3. Discussion
4. Materials and Methods
4.1. Subjects and Collection of Serum Samples
4.2. Preparation of Serum Samples
4.3. MS Analysis Using Mass Spectrometer
4.4. IDA Mode Using Pooled Serum Samples
4.5. SWATH Mode Using Individual Serum Samples
4.6. Protein Identification and Statistical and Functional Analysis for Selection of Protein Candidates
4.7. Validation of Protein Candidates Using the MRM Acquisition Mode for ACS Diagnostic Biomarker Discovery
Supplementary Materials
Author Contributions
Funding
Institutional Review Board Statement
Informed Consent Statement
Data Availability Statement
Conflicts of Interest
Sample Availability
References
- Kalra, S.; Duggal, S.; Valdez, G.; Smalligan, R.D. Review of acute coronary syndrome diagnosis and management. Postgrad. Med. 2008, 120, 18–27. [Google Scholar] [CrossRef]
- Arroyo, L.H.; Lee, R.T. Mechanisms of plaque rupture: Mechanical and biologic interactions. Cardiovasc. Res. 1999, 41, 369–375. [Google Scholar] [CrossRef]
- Vogel, B.; Claessen, B.E.; Arnold, S.V.; Chan, D.; Cohen, D.J.; Giannitsis, E.; Gibson, C.M.; Goto, S.; Katus, H.A.; Kerneis, M.; et al. ST-segment elevation myocardial infarction. Nat. Rev. Dis. Primers 2019, 5, 39. [Google Scholar] [CrossRef]
- Waller, D.G.; Sampson, A.P. Ischaemic heart disease. In Medical Pharmacology and Therapeutics; Elsevier: Amsterdam, The Netherlands, 2018; pp. 93–110. [Google Scholar] [CrossRef]
- Eisen, A.; Giugliano, R.P.; Braunwald, E. Updates on Acute Coronary Syndrome: A Review. JAMA Cardiol. 2016, 1, 718–730. [Google Scholar] [CrossRef]
- McCune, C.; McKavanagh, P.; Menown, I.B. A Review of Current Diagnosis, Investigation, and Management of Acute Coronary Syndromes in Elderly Patients. Cardiol. Ther. 2015, 4, 95–116. [Google Scholar] [CrossRef]
- Joo, J.H.; Liao, J.M.; Bakaeen, F.G.; Chu, D. Surgical revascularization for acute coronary syndromes: A narrative review. Vessel Plus 2018, 2. [Google Scholar] [CrossRef]
- Mueller, C. Biomarkers and acute coronary syndromes: An update. Eur. Heart J. 2014, 35, 552–556. [Google Scholar] [CrossRef]
- McCann, C.J.; Glover, B.M.; Menown, I.B.; Moore, M.J.; McEneny, J.; Owens, C.G.; Smith, B.; Sharpe, P.C.; Young, I.S.; Adgey, J.A. Novel biomarkers in early diagnosis of acute myocardial infarction compared with cardiac troponin T. Eur. Heart J. 2008, 29, 2843–2850. [Google Scholar] [CrossRef]
- Crutchfield, C.A.; Thomas, S.N.; Sokoll, L.J.; Chan, D.W. Advances in mass spectrometry-based clinical biomarker discovery. Clin. Proteom. 2016, 13, 1. [Google Scholar] [CrossRef]
- O’Gara, P.T.; Kushner, F.G.; Ascheim, D.D.; Casey, D.E., Jr.; Chung, M.K.; de Lemos, J.A.; Ettinger, S.M.; Fang, J.C.; Fesmire, F.M.; Franklin, B.A.; et al. 2013 ACCF/AHA guideline for the management of ST-elevation myocardial infarction: A report of the American College of Cardiology Foundation/American Heart Association Task Force on Practice Guidelines. J. Am. Coll. Cardiol. 2013, 61, e78–e140. [Google Scholar] [CrossRef]
- Bolatkale, M.; Acara, A.C. A Novel Index for Prompt Prediction of Severity in Patients with Unstable Angina Pectoris. Emerg. Med. Int. 2020, 2020, 7651610. [Google Scholar] [CrossRef] [PubMed]
- Betzen, C.; Alhamdani, M.S.; Lueong, S.; Schröder, C.; Stang, A.; Hoheisel, J.D. Clinical proteomics: Promises, challenges and limitations of affinity arrays. Proteom. Clin. Appl. 2015, 9, 342–347. [Google Scholar] [CrossRef] [PubMed]
- Han, X.; Aslanian, A.; Yates, J.R., 3rd. Mass spectrometry for proteomics. Curr. Opin. Chem. Biol. 2008, 12, 483–490. [Google Scholar] [CrossRef]
- Aslam, B.; Basit, M.; Nisar, M.A.; Khurshid, M.; Rasool, M.H. Proteomics: Technologies and Their Applications. J. Chromatogr. Sci. 2017, 55, 182–196. [Google Scholar] [CrossRef]
- Cho, W.C.S. Proteomics Technologies and Challenges. Genom. Proteom. Bioinform. 2007, 5, 77–85. [Google Scholar] [CrossRef]
- Park, A.; Lee, J.; Mun, S.; Kim, D.J.; Cha, B.H.; Moon, K.T.; Yoo, T.K.; Kang, H.G. Identification of Transcription Factor YY1 as a Regulator of a Prostate Cancer-Specific Pathway Using Proteomic Analysis. J. Cancer 2017, 8, 2303–2311. [Google Scholar] [CrossRef] [PubMed]
- Kim, D.; Mun, S.; Lee, J.; Park, A.; Seok, A.; Chun, Y.T.; Kang, H.G. Proteomics analysis reveals differential pattern of widespread protein expression and novel role of histidine-rich glycoprotein and lipopolysaccharide-binding protein in rheumatoid arthritis. Int. J. Biol. Macromol. 2018, 109, 704–710. [Google Scholar] [CrossRef]
- Aebersold, R.; Mann, M. Mass spectrometry-based proteomics. Nature 2003, 422, 198–207. [Google Scholar] [CrossRef]
- Bhosale, S.D.; Moulder, R.; Kouvonen, P.; Lahesmaa, R.; Goodlett, D.R. Mass Spectrometry-Based Serum Proteomics for Biomarker Discovery and Validation. Methods Mol. Biol. 2017, 1619, 451–466. [Google Scholar] [CrossRef] [PubMed]
- Diamandis, E.P. Mass spectrometry as a diagnostic and a cancer biomarker discovery tool: Opportunities and potential limitations. Mol. Cell. Proteom. 2004, 3, 367–378. [Google Scholar] [CrossRef]
- Lee, J.; Mun, S.; Kim, D.; Lee, Y.R.; Sheen, D.H.; Ihm, C.; Lee, S.H.; Kang, H.G. Proteomics Analysis for Verification of Rheumatoid Arthritis Biomarker Candidates Using Multiple Reaction Monitoring. Proteom. Clin. Appl. 2019, 13, e1800011. [Google Scholar] [CrossRef]
- Lee, J.; Mun, S.; Park, A.; Kim, D.; Lee, Y.J.; Kim, H.J.; Choi, H.; Shin, M.; Lee, S.J.; Kim, J.G.; et al. Proteomics Reveals Plasma Biomarkers for Ischemic Stroke Related to the Coagulation Cascade. J. Mol. Neurosci. 2020. [Google Scholar] [CrossRef]
- Lam, M.P.Y.; Ping, P.; Murphy, E. Proteomics Research in Cardiovascular Medicine and Biomarker Discovery. J. Am. Coll. Cardiol. 2016, 68, 2819–2830. [Google Scholar] [CrossRef] [PubMed]
- Ku, E.J.; Cho, K.-C.; Lim, C.; Kang, J.W.; Oh, J.W.; Choi, Y.R.; Park, J.-M.; Han, N.-Y.; Oh, J.J.; Oh, T.J.; et al. Discovery of plasma biomarkers for predicting the severity of coronary artery atherosclerosis by quantitative proteomics. BMJ Open Diabetes Res. Care 2020, 8, e001152. [Google Scholar] [CrossRef] [PubMed]
- Gao, S.; Liu, J. Association between circulating oxidized low-density lipoprotein and atherosclerotic cardiovascular disease. Chronic Dis. Transl. Med. 2017, 3, 89–94. [Google Scholar] [CrossRef]
- Tousoulis, D.; Kampoli, A.M.; Papageorgiou, N.; Androulakis, E.; Antoniades, C.; Toutouzas, K.; Stefanadis, C. Pathophysiology of atherosclerosis: The role of inflammation. Curr. Pharm. Des. 2011, 17, 4089–4110. [Google Scholar] [CrossRef] [PubMed]
- Lindstedt, K.A.; Leskinen, M.J.; Kovanen, P.T. Proteolysis of the Pericellular Matrix. Arterioscler. Thromb. Vasc. Biol. 2004, 24, 1350–1358. [Google Scholar] [CrossRef][Green Version]
- Jung, J.Y.; Kwak, Y.H.; Chang, I.; Kwon, W.Y.; Suh, G.J.; Choi, D. Protective effect of hemopexin on systemic inflammation and acute lung injury in an endotoxemia model. J. Surg. Res. 2017, 212, 15–21. [Google Scholar] [CrossRef]
- Tolosano, E.; Altruda, F. Hemopexin: Structure, function, and regulation. DNA Cell Biol. 2002, 21, 297–306. [Google Scholar] [CrossRef]
- Lin, T.; Sammy, F.; Yang, H.; Thundivalappil, S.; Hellman, J.; Tracey, K.J.; Warren, H.S. Identification of hemopexin as an anti-inflammatory factor that inhibits synergy of hemoglobin with HMGB1 in sterile and infectious inflammation. J. Immunol. 2012, 189, 2017–2022. [Google Scholar] [CrossRef]
- Alfakry, H.; Malle, E.; Koyani, C.N.; Pussinen, P.J.; Sorsa, T. Neutrophil proteolytic activation cascades: A possible mechanistic link between chronic periodontitis and coronary heart disease. Innate Immun. 2016, 22, 85–99. [Google Scholar] [CrossRef] [PubMed]
- Mehta, N.U.; Grijalva, V.; Hama, S.; Wagner, A.; Navab, M.; Fogelman, A.M.; Reddy, S.T. Apolipoprotein E-/- Mice Lacking Hemopexin Develop Increased Atherosclerosis via Mechanisms That Include Oxidative Stress and Altered Macrophage Function. Arterioscler. Thromb. Vasc. Biol. 2016, 36, 1152–1163. [Google Scholar] [CrossRef]
- Stefanic, P.; Sihotsky, V.; Hertelyova, Z.; Kopolovets, I.; Mathews, A.J.; Toth, S.; Kubikova, M.; Svajdler, P.; Mucha, R.; Vasko, L.; et al. Interleukin-4, hemopexin, and lipoprotein-associated phospholipase A2 are significantly increased in patients with unstable carotid plaque. Open Chem. 2019, 17, 1105. [Google Scholar] [CrossRef]
- Yalamanoglu, A.; Deuel, J.W.; Hunt, R.C.; Baek, J.H.; Hassell, K.; Redinius, K.; Irwin, D.C.; Schaer, D.J.; Buehler, P.W. Depletion of haptoglobin and hemopexin promote hemoglobin-mediated lipoprotein oxidation in sickle cell disease. Am. J. Physiol. Lung Cell Mol. Physiol. 2018, 315, L765–L774. [Google Scholar] [CrossRef] [PubMed]
- Cubedo, J.; Suades, R.; Padro, T.; Martin-Yuste, V.; Sabate-Tenas, M.; Cinca, J.; Sans-Rosello, J.; Sionis, A.; Badimon, L. Erythrocyte-heme proteins and STEMI: Implications in prognosis. Thromb. Haemost. 2017, 117, 1970–1980. [Google Scholar] [CrossRef]
- Kumagai, S.; Nakayama, H.; Fujimoto, M.; Honda, H.; Serada, S.; Ishibashi-Ueda, H.; Kasai, A.; Obana, M.; Sakata, Y.; Sawa, Y.; et al. Myeloid cell-derived LRG attenuates adverse cardiac remodelling after myocardial infarction. Cardiovasc. Res. 2016, 109, 272–282. [Google Scholar] [CrossRef] [PubMed]
- Yang, F.J.; Hsieh, C.Y.; Shu, K.H.; Chen, I.Y.; Pan, S.Y.; Chuang, Y.F.; Chiu, Y.L.; Yang, W.S. Plasma Leucine-Rich α-2-Glycoprotein 1 Predicts Cardiovascular Disease Risk in End-Stage Renal Disease. Sci. Rep. 2020, 10, 5988. [Google Scholar] [CrossRef] [PubMed]
- Yang, Y.; Luo, R.; Cheng, Y.; Liu, T.; Dai, W.; Li, Y.; Ge, S.; Xu, G. Leucine-rich α2-glycoprotein-1 upregulation in plasma and kidney of patients with lupus nephritis. BMC Nephrol. 2020, 21, 122. [Google Scholar] [CrossRef] [PubMed]
- Saito, K.; Tanaka, T.; Kanda, H.; Ebisuno, Y.; Izawa, D.; Kawamoto, S.; Okubo, K.; Miyasaka, M. Gene Expression Profiling of Mucosal Addressin Cell Adhesion Molecule-1+ High Endothelial Venule Cells (HEV) and Identification of a Leucine-Rich HEV Glycoprotein as a HEV Marker. J. Immunol. 2002, 168, 1050–1059. [Google Scholar] [CrossRef]
- Naka, T.; Fujimoto, M. LRG is a novel inflammatory marker clinically useful for the evaluation of disease activity in rheumatoid arthritis and inflammatory bowel disease. Immunol. Med. 2018, 41, 62–67. [Google Scholar] [CrossRef]
- Ngan, D.A.; Vickerman, S.V.; Granville, D.J.; Man, S.F.P.; Sin, D.D. The possible role of granzyme B in the pathogenesis of chronic obstructive pulmonary disease. Ther. Adv. Respir. Dis. 2009, 3, 113–129. [Google Scholar] [CrossRef]
- Xuan, C.; Li, H.; Li, L.L.; Tian, Q.W.; Wang, Q.; Zhang, B.B.; Guo, J.J.; He, G.W.; Lun, L.M. Screening and Identification of Pregnancy Zone Protein and Leucine-Rich Alpha-2-Glycoprotein as Potential Serum Biomarkers for Early-Onset Myocardial Infarction using Protein Profile Analysis. Proteom. Clin. Appl. 2019, 13, e1800079. [Google Scholar] [CrossRef] [PubMed]
- Yaghoubi, A.; Ghojazadeh, M.; Abolhasani, S.; Alikhah, H.; Khaki-Khatibi, F. Correlation of Serum Levels of Vitronectin, Malondialdehyde and Hs- CRP With Disease Severity in Coronary Artery Disease. J. Cardiovasc. Thorac. Res. 2015, 7, 113–117. [Google Scholar] [CrossRef]
- Aslan, S.; Ikitimur, B.; Cakmak, H.A.; Karadag, B.; Tufekcioglu, E.Y.; Ekmekci, H.; Yuksel, H. Prognostic utility of serum vitronectin levels in acute myocardial infarction. Herz 2015, 40, 685–689. [Google Scholar] [CrossRef]
- Zhong, J.; Yang, H.-C.; Kon, V.; Fogo, A.B.; Lawrence, D.A.; Ma, J. Vitronectin-binding PAI-1 protects against the development of cardiac fibrosis through interaction with fibroblasts. Lab. Investig. 2014, 94, 633–644. [Google Scholar] [CrossRef] [PubMed]
- Konstantinides, S.; Schäfer, K.; Thinnes, T.; Loskutoff, D.J. Plasminogen Activator Inhibitor-1 and Its Cofactor Vitronectin Stabilize Arterial Thrombi After Vascular Injury in Mice. Circulation 2001, 103, 576–583. [Google Scholar] [CrossRef] [PubMed]
- Lee, C.-C.; Huang, T.-S. Plasminogen activator inhibitor-1: The expression, biological functions, and effects on tumorigenesis and tumor cell adhesion and migration. J. Cancer Mol. 2005, 1, 25–36. [Google Scholar] [CrossRef]
- Ekmekci, H.; Sonmez, H.; Ekmekci, O.B.; Ozturk, Z.; Domanic, N.; Kokoglu, E. Plasma vitronectin levels in patients with coronary atherosclerosis are increased and correlate with extent of disease. J. Thromb. Thrombolysis 2002, 14, 221–225. [Google Scholar] [CrossRef] [PubMed]
- Raghunath, P.N.; Tomaszewski, J.E.; Brady, S.T.; Caron, R.J.; Okada, S.S.; Barnathan, E.S. Plasminogen Activator System in Human Coronary Atherosclerosis. Arterioscler. Thromb. Vasc. Biol. 1995, 15, 1432–1443. [Google Scholar] [CrossRef]
- Al-Yafeai, Z.; Yurdagul, A., Jr.; Peretik, J.M.; Alfaidi, M.; Murphy, P.A.; Orr, A.W. Endothelial FN (Fibronectin) Deposition by alpha5beta1 Integrins Drives Atherogenic Inflammation. Arterioscler. Thromb. Vasc. Biol. 2018, 38, 2601–2614. [Google Scholar] [CrossRef] [PubMed]
- Dai, R.; Iwama, A.; Wang, S.; Kapila, Y.L. Disease-associated fibronectin matrix fragments trigger anoikis of human primary ligament cells: p53 and c-myc are suppressed. Apoptosis 2005, 10, 503–512. [Google Scholar] [CrossRef] [PubMed][Green Version]
- Dollery, C.M.; Libby, P. Atherosclerosis and proteinase activation. Cardiovasc. Res. 2006, 69, 625–635. [Google Scholar] [CrossRef]
- Yamac, A.H.; Sevgili, E.; Kucukbuzcu, S.; Nasifov, M.; Ismailoglu, Z.; Kilic, E.; Ercan, C.; Jafarov, P.; Uyarel, H.; Bacaksiz, A. Role of cathepsin D activation in major adverse cardiovascular events and new-onset heart failure after STEMI. Herz 2015, 40, 912–920. [Google Scholar] [CrossRef]
- Velez, P.; Parguina, A.F.; Ocaranza-Sanchez, R.; Grigorian-Shamagian, L.; Rosa, I.; Alonso-Orgaz, S.; de la Cuesta, F.; Guitian, E.; Moreu, J.; Barderas, M.G.; et al. Identification of a circulating microvesicle protein network involved in ST-elevation myocardial infarction. Thromb. Haemost. 2014, 112, 716–726. [Google Scholar] [CrossRef] [PubMed]
- Rathnayake, N.; Gustafsson, A.; Norhammar, A.; Kjellström, B.; Klinge, B.; Rydén, L.; Tervahartiala, T.; Sorsa, T.; Group, P.S. Salivary Matrix Metalloproteinase-8 and -9 and Myeloperoxidase in Relation to Coronary Heart and Periodontal Diseases: A Subgroup Report from the PAROKRANK Study (Periodontitis and Its Relation to Coronary Artery Disease). PLoS ONE 2015, 10, e0126370. [Google Scholar] [CrossRef] [PubMed]
- Salminen, A.; Åström, P.; Metso, J.; Soliymani, R.; Salo, T.; Jauhiainen, M.; Pussinen, P.J.; Sorsa, T. Matrix metalloproteinase 8 degrades apolipoprotein A-I and reduces its cholesterol efflux capacity. Faseb J. 2015, 29, 1435–1445. [Google Scholar] [CrossRef]





| No. | UniProt Accession No. | Protein Name | Expression | p-Value | Fold Change |
|---|---|---|---|---|---|
| 1 | P01011 | α-1-antichymotrypsin | Up | 7.50 × 10−4 | 1.22 |
| 2 | P10909 | Clusterin | Up | 2.75 × 10−5 | 1.40 |
| 3 | P02790 | Hemopexin | Up | 2.60 × 10−7 | 1.38 |
| 4 | P02750 | Leucine-rich α-2-glycoprotein | Up | 1.87 × 10−6 | 1.64 |
| 5 | P04004 | Vitronectin | Up | 2.90 × 10−4 | 1.43 |
| 6 | P02654 | Apolipoprotein C-I | Down | 1.74 × 10−2 | 0.74 |
| 7 | P02751 | Fibronectin | Down | 2.10 × 10−5 | 0.39 |
| No. | UniProt Accession No. | Protein Name | Peptide Sequence | Target Ion | Q1 (m/z) | Q3 (m/z) | RT (min) | DP (V) | CE (V) |
|---|---|---|---|---|---|---|---|---|---|
| 1 | P01011 | α-1-antichymotrypsin | ITLLSALVETR | 2y4 | 608.369 | 504.278 | 11.56 | 75.5 | 30.8 |
| 2y8 | 608.369 | 888.515 | 11.56 | 75.5 | 30.8 | ||||
| 3y4 | 405.915 | 504.278 | 11.56 | 60.7 | 19.7 | ||||
| 2 | P10909 | Clusterin | LFDSDPITVTVPVEVSR | 2y6 | 937.499 | 686.383 | 10.56 | 99.5 | 42.6 |
| 2y8 | 937.499 | 886.499 | 10.56 | 99.5 | 42.6 | ||||
| 3y6 | 625.335 | 686.383 | 10.56 | 76.7 | 31.6 | ||||
| 3 | P02790 | Hemopexin | LWWLDLK | 2b2 | 487.279 | 300.171 | 12.81 | 66.6 | 26.4 |
| 2y2 | 487.279 | 260.197 | 12.79 | 66.6 | 26.4 | ||||
| 2y5 | 487.279 | 674.387 | 12.85 | 66.6 | 26.4 | ||||
| 4 | P02750 | Leucine-rich α-2-glycoprotein | DLLLPQPDLR | 2b2 | 590.34 | 229.118 | 8.99 | 74.2 | 30.1 |
| 2b3 | 590.34 | 342.202 | 9.00 | 74.2 | 30.1 | ||||
| 2y6 | 590.34 | 725.394 | 9.00 | 74.2 | 30.1 | ||||
| 5 | P04004 | Vitronectin | FEDGVLDPDYPR | 2b2 | 711.83 | 277.118 | 5.90 | 83.0 | 34.5 |
| 2y5 | 711.83 | 647.315 | 5.90 | 83.0 | 34.5 | ||||
| 2y7 | 711.83 | 875.426 | 5.90 | 83.0 | 34.5 | ||||
| 6 | P02654 | Apolipoprotein C-I | TPDVSSALDK | 2y6 | 516.764 | 620.325 | 3.20 | 68.8 | 27.5 |
| 2y7 | 516.764 | 719.393 | 3.19 | 68.8 | 27.5 | ||||
| 2y8 | 516.764 | 834.420 | 3.19 | 68.8 | 27.5 | ||||
| 7 | P02751 | Fibronectin | SYTITGLQPGTDYK | 2b3 | 772.386 | 352.150 | 5.18 | 87.4 | 36.7 |
| 2y6 | 772.386 | 680.325 | 5.18 | 87.4 | 36.7 | ||||
| 2y10 | 772.386 | 1079.537 | 5.18 | 87.4 | 36.7 |
| Parameter | Discovery Set | Validation Set | ||
|---|---|---|---|---|
| Patients With ACS (n = 20) | Healthy Controls (n = 20) | Patients With ACS (n = 50) | Healthy Controls (n = 50) | |
| Sex (Female/Male) | 9/11 | 8/12 | 19/31 | 24/26 |
| Age a (Years) | 63.1 ± 11.8 | 54.9 ± 7.8 | 64.5 ± 11.7 | 53.8 ± 5.9 |
| BMI a (kg/m2) | 24.7 ± 3.5 | 23.9 ± 3.2 | 24.6 ± 3.3 | 23.2 ± 2.6 |
| Blood pressure a (Systolic/Diastolic mm Hg) | 131.0 ± 33.6/80.4 ± 11.1 | 123.7 ± 16.3/77.1 ± 11.9 | 128.1 ± 25.1/79.3 ± 13.2 | 123.5 ± 14.7/76.4 ± 10.5 |
| Smoking (No/Yes) | 13/7 | 10/10 | 32/18 | 35/15 |
| Diabetes Mellitus (No/Yes) | 11/9 | 20/0 | 34/16 | 49/1 |
| Hyperlipidemia (No/Yes) | 9/11 | 19/1 | 24/26 | 50/0 |
| Hypertension (No/Yes) | 8/12 | 20/0 | 23/27 | 50/0 |
| Familial CAD (No/Yes) | 20/0 | 17/3 | 50/0 | 46/4 |
| Previous CABG (No/Yes) | 20/0 | N/A | 50/0 | N/A |
| Previous PCI (No/Yes) | 16/4 | N/A | 40/10 | N/A |
| LVEF a (%) | 56.8 ± 9.3 | N/A | 55.1 ± 9.2 | N/A |
| CK-MB a (ng/mL) | 28.1 ± 72.7 | N/A | 35.9 ± 76.1 | N/A |
| LDL a (mg/dL) | 92.9 ± 30.3 | 118 ± 32.1 | 99.3 ± 33.2 | 118.6 ± 29.7 |
| Triglyceride a (mg/dL) | 129.1 ± 61.9 | 139.3 ± 74.8 | 157.9 ± 108.0 | 109.6 ± 45.0 |
| Troponin T a (ng/mL) | 0.9 ± 2.1 | N/A | 1.3 ± 2.4 | N/A |
Publisher’s Note: MDPI stays neutral with regard to jurisdictional claims in published maps and institutional affiliations. |
© 2021 by the authors. Licensee MDPI, Basel, Switzerland. This article is an open access article distributed under the terms and conditions of the Creative Commons Attribution (CC BY) license (http://creativecommons.org/licenses/by/4.0/).
Share and Cite
Shin, M.; Park, S.H.; Mun, S.; Lee, J.; Kang, H.-G. Biomarker Discovery of Acute Coronary Syndrome Using Proteomic Approach. Molecules 2021, 26, 1136. https://doi.org/10.3390/molecules26041136
Shin M, Park SH, Mun S, Lee J, Kang H-G. Biomarker Discovery of Acute Coronary Syndrome Using Proteomic Approach. Molecules. 2021; 26(4):1136. https://doi.org/10.3390/molecules26041136
Chicago/Turabian StyleShin, Miji, Sang Hyun Park, Sora Mun, Jiyeong Lee, and Hee-Gyoo Kang. 2021. "Biomarker Discovery of Acute Coronary Syndrome Using Proteomic Approach" Molecules 26, no. 4: 1136. https://doi.org/10.3390/molecules26041136
APA StyleShin, M., Park, S. H., Mun, S., Lee, J., & Kang, H.-G. (2021). Biomarker Discovery of Acute Coronary Syndrome Using Proteomic Approach. Molecules, 26(4), 1136. https://doi.org/10.3390/molecules26041136

