Chemical Diversity of Plant Cyanogenic Glycosides: An Overview of Reported Natural Products
Abstract
1. Introduction
2. Results
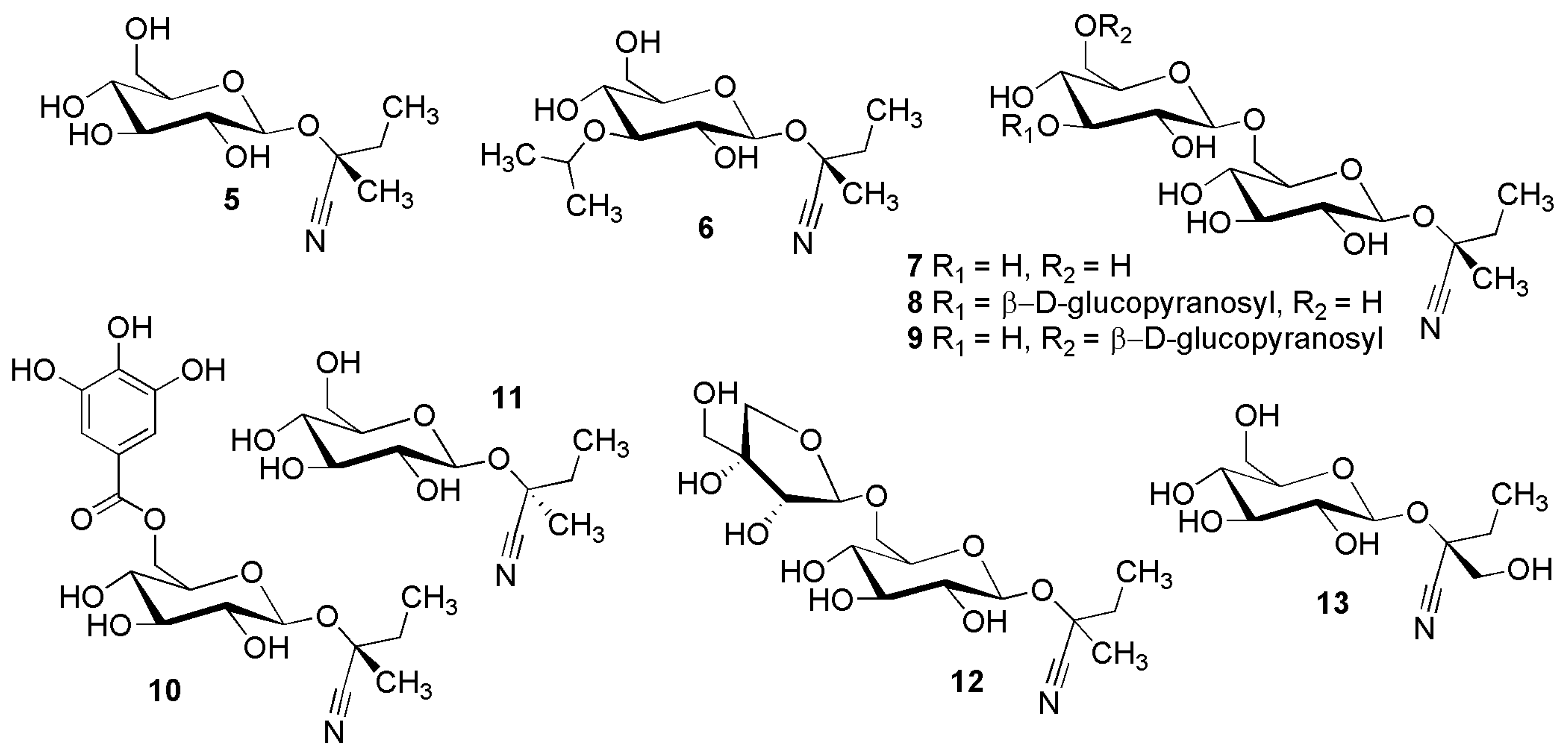
2.1. Group A: Cyanogenic Glycosides 1–33 Featuring Acyclic Aliphatic Aglycones






2.2. Group B: Cyanogenic Glycosides 34–53 Derived from Cyclopentenyl Glycine



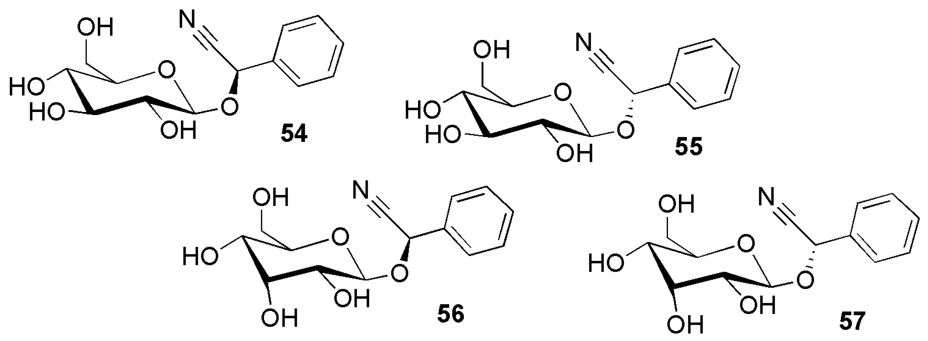
2.3. Group C: Cyanogenic Glycosides 54–108 Featuring an Aromatic Aglycone







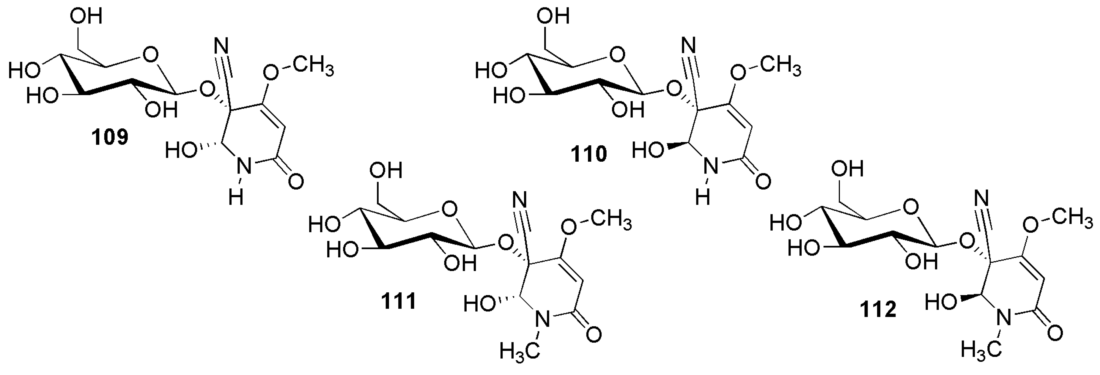
2.4. Group D: Cyanopyridone Glycosides 112–115

3. Bioactivity
4. Materials and Methods
5. Conclusions
Author Contributions
Funding
Institutional Review Board Statement
Informed Consent Statement
Acknowledgments
Conflicts of Interest
References
- Robiquet, B.-C. Neue Versuche über die bitteren Mandeln und deren flüchtiges Oel. Ann. der Phys. 1830, 96, 494–514. [Google Scholar] [CrossRef]
- Vetter, J. Plant cyanogenic glycosides. Toxicon 2000, 38, 11–36. [Google Scholar] [CrossRef]
- Baatouche, S.; Cheriet, T.; Sarri, D.; Mekkiou, R.; Boumaza, O.; Benayache, S.; Benayache, F.; Brouard, I.; León, F.; Seghiri, R. Centaurea microcarpa Coss. & Dur. (Asteraceae) extracts: New cyanogenic glucoside and other constituents. Nat. Prod. Res 2018, 33, 3070–3076. [Google Scholar] [CrossRef] [PubMed]
- Gleadow, R.M.; Møller, B.L. Cyanogenic glycosides: Synthesis, physiology, and phenotypic plasticity. Ann. Rev. Plant. Biol. 2014, 65, 155–185. [Google Scholar] [CrossRef] [PubMed]
- Henry, T.A.; Auld, S.J.M.; Rowland, D.W. On the probable existence of emulsin in yeast. Proc. R. Soc. Lond. B. 1905, 76, 568–580. [Google Scholar] [CrossRef]
- Hübel, W.; Nahrstedt, A.; Wray, V. A structural investigation by 13C-NMR of the cyanogenic glycosides. Arch. Pharm. 1981, 314, 609–617. [Google Scholar] [CrossRef]
- Olafsdottir, E.S.; Starensen, A.M.; Cornett, C.; Jaroszewski, J.W. Structure determination of natural epoxycyclopentanes by X-ray crystallography and NMR spectroscopy. J. Org. Chem. 1991, 56, 2650–2655. [Google Scholar] [CrossRef]
- Nahrstedt, A. Cyanogenic compounds as protecting agents for organisms. Plant Syst. Evol. 1985, 150, 35–47. [Google Scholar] [CrossRef]
- Zevallos, D.M.P.; Querol, M.P.; Ambrogi, B.G. Cassava wastewater as a natural pesticide: Current knowledge and challenges for broader utilization. Ann. Appl. Biol. 2018, 173, 191–201. [Google Scholar] [CrossRef]
- Tan, H.P.; Wong, D.Z.H.; Ling, S.K.; Chuah, C.H.; Kadir, H.A. Neuroprotective activity of galloylated cyanogenic glucosides and hydrolysable tannins isolated from leaves of Phyllagathis rotundifolia. Fitoterapia 2012, 83, 223–229. [Google Scholar] [CrossRef]
- Jorissen, A.; Hairs, E. La Linamarine. Nouveau glucoside fournissant de l’acide cyanhydrique par dedoublement, et retire du Linum usitatissimum. Bull. Acad. Roy. Sci. Belg. 1891, 21, 529–539. [Google Scholar]
- Qu, G.W.; Wu, C.J.; Gong, S.Z.; Xie, Z.P.; Lv, C.J. Leucine-derived cyanoglucosides from the aerial parts of Sorbaria sorbifolia (L.) A. Braun. Fitoterapia 2016, 111, 102–108. [Google Scholar] [CrossRef] [PubMed]
- Smith, C.R.; Weisleder, D.; Miller, R.W. Linustatin and neolinustatin: Cyanogenic glycosides of linseed meal that protect animals against selenium toxicity. J. Org. Chem. 1980, 45, 507–510. [Google Scholar] [CrossRef]
- Yang, Q.Y.; Song, L.; Zhang, J.F.; Shen, Z.F.; Liu, Q.; Liu, S.N.; Zheng, W.S.; Yao, C.S. Cyanogenetic glycosides and simple glycosides from the linseed meal. Fitoterapia 2015, 106, 78–83. [Google Scholar] [CrossRef] [PubMed]
- Agbo, M.O.; Lai, D.; Okoye, F.B.C.; Osadebe, P.O.; Proksch, P. Antioxidative polyphenols from Nigerian mistletoe Loranthus micranthus (Linn.) parasitizing on Hevea brasiliensis. Fitoterapia 2013, 86, 78–83. [Google Scholar] [CrossRef] [PubMed]
- Finnemore, H.; Cooper, J.M.; Stanley, M.B.; Cobcroft, J.H.; Harris, L.J. The cyanogenetic constituents of Australian and other plants. VII. J. Soc. Chem. Ind. Lond. 1938, 57, 162–169. [Google Scholar]
- Mohammed, M.M.D.; Christensen, L.P.; Ibrahim, N.A.; Awad, N.E.; Zeid, I.F.; Pedersen, E.B. New acylated flavone and cyanogenic glycosides from Linum grandiflorum. Nat. Prod. Res. 2009, 23, 489–497. [Google Scholar] [CrossRef]
- Cai, W.H.; Matsunami, K.; Otsuka, H. Supinaionosides A and B: Megastigmane glucosides and supinanitrilosides A—F: Hydroxynitrile glucosides from the whole plants of Euphorbia supina Rafinesque. Chem. Pharm. Bull. 2009, 57, 840–845. [Google Scholar] [CrossRef]
- Pitsch, C.; Keller, M.; Zinsmeister, H.D.; Nahrstedt, A. Cyanogene Glykoside aus Triticum monococcum. Planta Med. 1984, 50, 388–390. [Google Scholar] [CrossRef]
- Prawat, H.; Mahidol, C.; Ruchirawat, S.; Prawat, U.; Tuntiwachwuttikul, P.; Tooptakong, U. Cyanogenic and non-cyanogenic glycosides from Manihot esculenta. Phytochemistry 1995, 40, 1167–1173. [Google Scholar] [CrossRef]
- Nakamura, S.; Li, X.; Matsuda, H.; Ninomiya, K.; Morikawa, T.; Yamaguti, K.; Yoshikawa, M. Bioactive constituents from Chinese natural medicines. XXVI. Chemical structures and hepatoprotective effects of constituents from roots of Rhodiola sachalinensis. Chem. Pharm. Bull. 2007, 55, 1505–1511. [Google Scholar] [CrossRef] [PubMed]
- Nahrstedt, A.; Hübel, W. Die cyanogenen Verbindungen von Heterodendron oleaefolium. Phytochemistry 1978, 17, 314–315. [Google Scholar] [CrossRef]
- Seigler, D.S.; Butterfield, C.S.; Dunn, J.E.; Conn, E.E. Dihydroacacipetalin-a new cyanogenic glucoside from Acacia sieberiana var. woodii. Phytochemistry 1975, 14, 1419–1420. [Google Scholar] [CrossRef]
- Brimer, L.; Christensen, S.B.; Jaroszewski, J.W.; Nartey, F. Structural elucidation and partial synthesis of 3-hydroxyheterodendrin, A cyanogenic glucoside from Acacia sieberiana var. woodii. Phytochemistry 1981, 20, 2221–2223. [Google Scholar] [CrossRef]
- Seigler, D.S.; Eggerding, C.; Butterfield, C.S. A new cyanogenic glycoside from Cardiospermum hirsutum. Phytochemistry 1974, 13, 2330–2332. [Google Scholar] [CrossRef]
- Hübel, W.; Nahrstedt, A. Cardiosperminsulfate—A sulphur containing cyanogenic glucoside from Cardiospermum grandiflorum. Tetrahedron Lett. 1979, 20, 4395–4396. [Google Scholar] [CrossRef]
- Nahrstedt, A.; Scheid, H. Leusine-derived cyanogenic glucosides in the Rosaceae-Spiraeoideae. Phytochemistry 1981, 20, 1309–1310. [Google Scholar] [CrossRef]
- Nahrstedt, A. Ein neues cyanogenes Glykosid aus der Rosacee Sorbaria arborea: A new cyanogenic glycoside from Sorbaria arborea (Rosaceae). Z. Naturforsch. C 1976, 31c, 397–400. [Google Scholar] [CrossRef][Green Version]
- Steyn, D.G.; Rimington, C. The occurrence of cyanogenetic glucosides in South African species of Acacia I. Onderstepoort J. Vet. Sci. Anim. Ind. 1935, 4, 51–63. Available online: http://hdl.handle.net/2263/50001 (accessed on 14 August 2017).
- Ettlinger, M.G.; Jaroszewski, J.W. Proacacipetalin and acacipetalin. J. Chem. Soc. Chem. Commun. 1977, 24, 952–953. [Google Scholar] [CrossRef]
- Seigler, D.S.; Dunn, J.E.; Conn, E.E.; Pereira, J.R. Cyanogenic glycosides from four Latin American species of Acacia. Biochem. Syst. Ecol. 1983, 11, 15–16. [Google Scholar] [CrossRef]
- She, G.M.; Zhang, Y.J.; Yang, C.R. A new phenolic constituent and a cyanogenic glycoside from Balanophora involucrata (Balanophoraceae). Chem. Biodivers. 2013, 10, 1081–1087. [Google Scholar] [CrossRef]
- Nartey, F.; Brimer, L.; Christensen, S.B. Proacaciberin, A cyanogenic glycoside from Acacia sieberiana var. woodii. Phytochemistry 1981, 20, 1311–1314. [Google Scholar] [CrossRef]
- Eyjólffson, R. Isolation and structure determination of triglochinin, a new cyanogenic glucoside from Triglochin maritimum. Phytochemistry 1970, 9, 845–851. [Google Scholar] [CrossRef]
- Nahrstedt, A. Cyanogenese der Araceen. Phytochemistry 1975, 14, 1339–1340. [Google Scholar] [CrossRef]
- Shawles, D.; Spring, M.S.; Stoker, J.R. The major cyanogenic glycoside in Thalictrum aquilegifolium. Phytochemistry 1972, 11, 3069–3071. [Google Scholar] [CrossRef]
- Power, F.B.; Lee, F.H. XLII.—Gynocardin, a new cyanogenetic glucoside. J. Chem. Soc. Trans. 1905, 87, 349–357. [Google Scholar] [CrossRef][Green Version]
- Jaroszewski, J.W.; Olafsdottir, E.S.; Wellendorph, P.; Christensen, J.; Franzyk, H.; Somanadhan, B.; Budnik, B.A.; Jørgensen, L.B.; Clausen, V. Cyanohydrin glycosides of Passiflora: Distribution pattern, a saturated cyclopentane derivative from P. guatemalensis, and formation of pseudocyanogenic α-hydroxyamides as isolation artefacts. Phytochemistry 2002, 59, 501–511. [Google Scholar] [CrossRef]
- Clapp, R.C.; Ettlinger, M.G.; Long, L. Deidaclin. A natural glucoside of cyclopentenone cyanhydrin. J. Am. Chem. Soc. 1970, 6378–6379. [Google Scholar] [CrossRef]
- Tantisewie, B.; Ruijgrok, H.W.L.; Hegnauer, R. Die Verbreitung der Blausäure bei den Cormophyten. Mitteilung: Über cyanogene Verbindungen bei den Parietales und bei einigen weiteren Sippen. Pharm. Weekbl. 1969, 104, 1341. [Google Scholar]
- Russel, G.B.; Reay, P.F. The structure of tetraphyllin A and B, two new cyanoglucosides from Tetrapathea tetrandra. Phytochemistry 1971, 10, 1373–1377. [Google Scholar] [CrossRef]
- Gondwe, A.T.D.; Seigler, D.S.; Dunn, J.E. Two cyanogenic glucosides, tetraphyllin B and epi-tetraphyllin B from Adenia volkensii. Phytochemistry 1978, 17, 271–274. [Google Scholar] [CrossRef]
- Jaroszewski, J.W.; Olafsdottir, E.S. Natural glycosides of cyclopentenone cyanohydrins. Part II. Revised structure of so-called epitetraphyllin B. Tetrahedron Lett. 1986, 27, 5297–5300. [Google Scholar] [CrossRef]
- Seigler, D.S.; Spencer, K.C.; Statler, W.S.; Conn, E.E.; Dunn, J.E. Tetraphyllin B and epitetraphyllin B sulfate: Novel cyanogenic glucosides from Passiflora caerulea and P. alato-caerulea. Phytochemistry 1982, 21, 2277–2285. [Google Scholar] [CrossRef]
- Spencer, K.C.; Seigler, D.S. Passicoriacin and epipassicoriacin: C-4 epimers of tetraphyllin B and epitetraphyllin B from Passiflora coriacea. Phytochemistry 1987, 26, 1661–1663. [Google Scholar] [CrossRef]
- Jaroszewski, J.W.; Bruun, D.; Clausen, V.; Cornett, C. Novel cyclopentenoid cyanohydrin rhamnoglucosides from Flacourtiaceae. Planta Med. 1988, 54, 333–337. [Google Scholar] [CrossRef]
- Spencer, K.C.; Seigler, D.S. Passibiflorin, epipassibiflorin and passitrifasciatin: Cyclopentenoid cyanogenic glycoside from Passiflora. Phytochemistry 1985, 24, 981–986. [Google Scholar] [CrossRef]
- Olafsdottir, E.S.; Jaroszewski, J.W.; Seigler, D.S. Cyanohydrin glycosides with unusual sugar residues: Revised structure of passitrifasciatin. Phytochemistry 1991, 30, 867–869. [Google Scholar] [CrossRef]
- Olafsdottir, E.S.; Cornett, C.; Jaroszewski, J.W. Cyclopentenoid cyanohydrin glycosides with unusual sugar residues. Acta Chem. Scand. 1989, 43, 51–55. [Google Scholar] [CrossRef]
- Fischer, F.C.; Fung, S.Y.; Lankhorst, P.P. Cyanogenesis in Passifloraceae: Cyanogenic compounds from Passiflora capsularis, P. warmingii and P. Perfoliata. Planta Med. 1982, 45, 42–45. [Google Scholar] [CrossRef]
- Spencer, K.C.; Seigler, D.S. Passicoccin: A sulfated cyanogenic glycoside Passiflora coccinea. Phytochemistry 1985, 24, 2615–2617. [Google Scholar] [CrossRef]
- Spencer, K.C.; Seigler, D.S. Passisuberosin and epipassisuberosin: Two cyclopentenoid cyanogenic glycosides from Passiflora suberosa. Phytochemistry 1987, 26, 1665–1667. [Google Scholar] [CrossRef]
- Fischer, E. Ueber ein neues dem amygdalin ähhnliches glucosid. Ber. Dtsch. Chem. Ges. 1895, 28, 1508–1511. [Google Scholar] [CrossRef]
- Armstrong, H.E.; Armstrong, E.F.; Horton, E. Studies on enzyme action. XVI. The enzymes of emulsin. (I) Prunase, the correlate of prunasin. Proc. R. Soc. Lond. B. 1912, 85, 359–362. [Google Scholar] [CrossRef]
- Bourquelot, E.; Hérissey, H. Ueber das vorkommen von amygdonitrilglykosid in Cerasus padus Delarb. Arch. Pharm. Pharm. Med. Chem. 1907, 245, 0641–0644. [Google Scholar] [CrossRef][Green Version]
- Power, F.B.; Moore, C.W. XXXII.The constituents of the bark of Prunus serotina. Isolation of l-mandelonitrile glucoside. J. Chem. Soc. Trans 1909, 95, 243–261. [Google Scholar] [CrossRef][Green Version]
- Bourquelot, E.; Danjou, E. Sur la sambunigrine, glucoside cyanhydrique nouveau, retiré des feuilles de Sureau noir. Compt. Rend. Hebd. Séances Acad. Sci. 1905, 141, 598–600. Available online: https://www.biodiversitylibrary.org/item/28086 (accessed on 9 May 2019).
- Christensen, J.; Jaroszewski, J.W. Natural glycosides containing allopyranose from the passion fruit plant and circular dichroism of benzaldehyde cyanohydrin glycosides. Org. Lett. 2001, 3, 2193–2195. [Google Scholar] [CrossRef]
- Seigler, D.S.; Pauli, G.F.; Nahrstedt, A.; Leen, R. Cyanogenic allosides and glucosides from Passiflora edulis and Carica papaya. Phytochemistry 2002, 60, 873–882. [Google Scholar] [CrossRef]
- Chassacne, D.; Crouzet, J. A cyanogenic glycoside from Passiflora edulis fruits. Phytochemistry 1998, 49, 757–759. [Google Scholar] [CrossRef]
- Saeki, D.; Yamada, T.; Kajimoto, T.; Muraoka, O.; Tanaka, R. A set of two diastereomers of cyanogenic glycosides from Passiflora quadrangularis. Nat. Prod. Commun. 2011, 6, 1091–1094. [Google Scholar] [CrossRef]
- Bertrand, G. Vicianin, a new glucoside containing hydrocyanic acid, found in the seeds of vetch. Compt. Rend. Acad. Sci. 1906, 143, 832–834. Available online: https://www.biodiversitylibrary.org/item/31398 (accessed on 8 May 2019).
- Eyjólffson, R. Constitution and stereochemistry of lucumin, a cyanogenic glycoside from Lucuma mammosa Gaertn. Acta Chem. Scand. 1971, 25, 1898–1900. [Google Scholar] [CrossRef]
- Nahrstedt, A.; Wray, V.; Grotjahn, L.; Fikenscher, L.H.; Hegnauer, R. New acylated cyanogenic diglycosides from fruits of Anthemis cairica. Planta Med. 1983, 49, 143–148. [Google Scholar] [CrossRef]
- Rockenbach, J.; Nahrstedt, A.; Wray, V. Cyanogenic glycosides from Psydrax and Oxyanthus species. Phytochemistry 1992, 31, 567–570. [Google Scholar] [CrossRef]
- Dellagreca, M.; Fiorentino, A.; Monaco, P.; Previtera, L.; Simonet, A.M. Cyanogenic glycosides from Sambucus nigra. Nat. Prod. Lett. 2000, 14, 175–182. [Google Scholar] [CrossRef]
- Wang, G.W.; Li, T.; Deng, F.Y.; Li, Y.L.; Ye, W.C. Five new phenolic glycosides from Hedyotis scandens. Bioorg. Med. Chem. Lett. 2013, 23, 1379–1382. [Google Scholar] [CrossRef]
- Schwarz, B.; Wray, V.; Proksch, P. A cyanogenic glycoside from Canthium schimperianum. Phytochemistry 1996, 42, 633–636. [Google Scholar] [CrossRef]
- Walker, J.W. The catalytic racemisation of amygdalin. J. Chem. Soc. Trans. 1903, 83, 472–479. [Google Scholar] [CrossRef][Green Version]
- Syah, Y.M.; Ghisalberti, E.L. Biologically active cyanogenetic, iridoid and lignan glycosides from Eremophila maculata. Fitoterapia 1996, 67, 447–451. [Google Scholar]
- Neilson, E.H.; Goodger, J.Q.D.; Motawia, M.S.; Bjarnholt, N.; Frisch, T.; Olsen, C.A.; Møller, B.L.; Woodrow, I.E. Phenylalanine derived cyanogenic diglucosides from Eucalyptus camphora and their abundances in relation to ontogeny and tissue type. Phytochemistry 2011, 72, 2325–2334. [Google Scholar] [CrossRef] [PubMed]
- Nahrstedt, A.; Sattar, E.A.; El-Zalabani, S.M.H. Amygdalin acyl derivatives, cyanogenic glycosides from the seeds of Merremia dissecta. Phytochemistry 1990, 29, 1179–1181. [Google Scholar] [CrossRef]
- Fu, P.; Zhao, C.C.; Tang, J.; Shen, Y.H.; Xu, X.K.; Zhang, W.D. New flavonoid glycosides and cyanogenic glycosides from Dracocephalum peregrinum. Chem. Pharm. Bull. 2009, 57, 207–210. [Google Scholar] [CrossRef] [PubMed]
- Cardona, L.; Fernandez, I.; Pedro, J.R.; Vidal, R. Polyoxygenated terpenes and cyanogenic glucosides from Centaurea aspera var. subinermis. Phytochemistry 1992, 31, 3507–3509. [Google Scholar] [CrossRef]
- Nahrstedt, A.; Jensen, P.S.; Wray, V. Prunasin-6′-malonate, a cyanogenic glucoside from Merremia dissecta. Phytochemistry 1989, 28, 623–624. [Google Scholar] [CrossRef]
- Lechtenberg, M.; Nahrstedt, A.; Brinker, A.M.; Seigler, D.S.; Readel, K. Prunasin 6′-malonate from Lotononis fruticoides and Lotononis aff. falcata (Fabaceae). Biochem. Syst. Ecol. 1999, 27, 607–612. [Google Scholar] [CrossRef]
- Ling, S.K.; Tanaka, T.; Kouno, I. New cyanogenic and alkyl glycoside constituents from Phyllagathis rotundifolia. J. Nat. Prod. 2002, 65, 131–135. [Google Scholar] [CrossRef]
- Miller, R.E.; Stewart, M.; Capon, R.J.; Woodrow, I.E. A galloylated cyanogenic glycoside from the Australian endemic rainforest tree Elaeocarpus sericopetalus (Elaeocarpaceae). Phytochemistry 2006, 67, 1365–1371. [Google Scholar] [CrossRef]
- Shimomura, H.; Sashida, Y.; Adachi, T. Cyanogenic and phenylpropanoid glucosides from Prunus grayana. Phytochemistry 1987, 26, 2363–2366. [Google Scholar] [CrossRef]
- Wada, H.; Daidohji, K.; Tanaka, N. Two new cyanogenic glycosides from Microlepia strigose. Nat. Med. 1997, 51, 69–70. [Google Scholar]
- Finnemore, H.; Reichard, S.K.; Large, D.K. Cyanogenetic glucosides in Australian plants. Part 5. Phyllanthus gastroemii. J. Proc. R. Soc. N.S.W. 1937, 70, 257–264. Available online: https://www.biodiversitylibrary.org/item/173912 (accessed on 8 May 2019).
- Towers, G.H.N.; Mc Innes, A.G.; Neish, A.C. The absolute configurations of the phenolic cyanogenetic glucosides taxyphillin and dhurrin. Tetrahedron 1964, 20, 71–77. [Google Scholar] [CrossRef]
- Dunstan, W.R.; Henry, T.A. VII. Cyanogenesis in Plants. Part II. The great millet, Sorghum vulgare. Phil. Trans. R. Soc. Lond. A 1902, 199, 399–410. [Google Scholar] [CrossRef][Green Version]
- Selmar, D.; Irandoost, Z.; Wray, V. Dhurrin-6′-glucoside, a cyanogenic diglucoside from Sorghum bicolor. Phytochemistry 1996, 43, 569–572. [Google Scholar] [CrossRef]
- Miller, R.E.; Tuck, K.L. The rare cyanogen proteacin and dhurrin, from foliage of Polyscias australiana, a tropical Araliaceae. Phytochemistry 2013, 93, 210–215. [Google Scholar] [CrossRef]
- Mamdouh, N.S.; Sugimoto, S.; Matsunami, K.; Otsuka, H.; Kamel, M.S. Taxiphyllin 6’ O-gallate, Actinidioionoside 6′-O-gallate and Myricetrin 2″-O-sulfate from the leaves of Syzygium samarangense and their biological activities. Chem. Pharm. Bull. 2014, 62, 1013–1018. [Google Scholar] [CrossRef]
- Otsuka, H.; Takeda, Y.; Hirata, E.; Shinzato, T.; Bando, M. Glochidiolide, isoglochidiolide, acuminaminoside, and glochidacuminosides A-D from the leaves of Glochidion acuminatum Muell. Chem. Pharm. Bull. 2004, 52, 591–596. [Google Scholar] [CrossRef]
- Sharples, D.; Stoker, J.R. Identification and biosynthesis of two cyanogenic glycosides in Thalictrum aquilegifolium. Phytochemistry 1969, 8, 597–601. [Google Scholar] [CrossRef]
- Gmelin, R.; Schüler, M.; Bordas, E. Holocalin: Ein neues cyanogenes Glykosid aus Holocalyx balansae. Phytochemistry 1973, 12, 457–461. [Google Scholar] [CrossRef]
- Finnemore, H.; Cooper, J.M. Cyanogenetic glucosides in Australian plants. Part 4. Zieria lævigata. J. Proc. R. Soc. N.S.W. 1937, 70, 175–182. Available online: https://www.biodiversitylibrary.org/item/173912 (accessed on 8 May 2019).
- Hübel, W.; Nahrstedt, A.; Fikenscher, L.H.; Hegnauer, R. Zierinxylosid, ein neues cyanogenes Glykosid aus Xeranthemum cylindraceum. Planta Med. 1982, 44, 178–180. [Google Scholar] [CrossRef] [PubMed]
- Schwind, P.; Wray, V.; Nahrstedt, A. Structure elucidation of an acylated cyanogenic triglycoside, and further cyanogenic constituents from Xeranthemum cylindraceum. Phytochemistry 1990, 29, 1903–1911. [Google Scholar] [CrossRef]
- Nakamura, S.; Wang, Z.; Xu, F.; Matsuda, H.; Wu, L.; Yoshikawa, M. The absolute stereostructures of cyanogenic glycosides, hydracyanosides A, B, and C, from the leaves and stems of Hydrangea macrophylla. Tetrahedron Lett. 2009, 50, 4639–4642. [Google Scholar] [CrossRef]
- Wang, Z.; Nakamura, S.; Matsuda, H.; Wu, L.; Yoshikawa, M. New cyanoglycosides, hydracyanosides D, E, and F, from the leaves of Hydrangea macrophylla. Heterocycles 2010, 81, 909–916. [Google Scholar] [CrossRef]
- Yang, C.J.; Wang, Z.B.; Zhu, D.L.; Yu, Y.; Lei, Y.T.; Liu, Y. Two new cyanogenic glucosides from the leaves of Hydrangea macrophylla. Molecules 2012, 17, 5396–5403. [Google Scholar] [CrossRef]
- Rimington, C.; Roets, G.C.S. Chemical investigation of the plant Acalypha indica. Isolation of triacetonamine, a cyanogenetic glucoside and quebrachite. Onderstepoort J. Vet. Sci. Anim. Ind. 1937, 9, 193–201. Available online: http://hdl.handle.net/2263/55809 (accessed on 22 December 2020).
- Nahrstedt, A.; Kant, J.D.; Wray, V. Acalyphin, a cyanogenic glucoside from Acalypha indica. Phytochemistry 1982, 21, 101–105. [Google Scholar] [CrossRef]
- Fawzy, G.A.; Al-Taweel, A.M.; Perveen, S.; Khan, S.I.; Al-Omary, F.A. Bioactivity and chemical characterization of Acalypha fruticosa Forssk. growing in Saudi Arabia. SPJ 2017, 25, 104–109. [Google Scholar] [CrossRef] [PubMed]
- Hungeling, M.; Lechtenberg, M.; Fronczek, F.R.; Nahrstedt, A. Cyanogenic and non-cyanogenic pyridone glucosides from Acalypha indica (Euphorbiaceae). Phytochemistry 2009, 70, 270–277. [Google Scholar] [CrossRef] [PubMed]
- Chikezie, P.C.; Ibegbulem, C.O.; Mbagwu, F.N. Bioactive principles from medicinal plants. Res. J. Phytochem. 2015, 9, 88–115. [Google Scholar] [CrossRef]
- He, X.-Y.; Wu, L.-J.; Wang, W.-X.; Xie, P.-J.; Chen, Y.-H.; Wang, F. Amygdalin—A pharmacological and toxicological review. J. Ethnopharmacol. 2020, 254, 112717. [Google Scholar] [CrossRef] [PubMed]
- Barakat, H. Amygdalin as a plant-based bioactive constituent. A mini-review on intervention with gut microbiota, anticancer mechanisms, bioavailability, and microencapsulation. Proceedings 2020, 61, 15. [Google Scholar] [CrossRef]
- Mosayyebi, B.; Imani, M.; Mohammadi, L.; Akbarzadeh, A.; Zarghami, N.; Edalati, M. An update on the toxicity of cyanogenic glycosides bioactive compounds. Possible clinical application in targeted cancer therapy. Mat. Chem. Phys. 2020, 246, 122841. [Google Scholar] [CrossRef]
- Chen, H.; Singh, H.; Bhardwaj, N.; Bhardwaj, S.K.; Khatri, M.; Kim, K.H.; Peng, W. An exploration on the toxicity mechanisms of phytotoxins and their potential utilities. Crit. Rev. Env. Sci. Tech. 2020, 21, 1–41. [Google Scholar] [CrossRef]
- Sun, S.; Qu, G.; Wu, C.; Zhang, H.; Sun, Y.; Liu, J.; Yi, P.; Jing, J. CN106974921 A 20170725: Preparation of (2R)-cardiospermin-5-p-hydroxybenzoate and application thereof in preparation of medicine for treating rheumatoid arthritis. Faming Zhuanli Shenqing 2017, 1–4. [Google Scholar]
- Qu, G.; Zhang, H.; Wu, C.; Sun, S.; Sun, Y.; Liu, J.; Cao, Q.; Jing, J. CN106974922 A 20170725: Preparation of (2S)-cardiospermin-5-cis-p-coumarate and application thereof in preparation of medicine for treating rheumatoid arthritis. Faming Zhuanli Shenqing 2017, 1–12. [Google Scholar]
- Qu, G.; Wu, C.; Sun, S.; Sun, Y.; Liu, J.; Cao, Q.; Jing, J. CN106977560 A 20170725: Preparation of (2S)-cardiospermin-5-benzoate and application thereof in preparation of medicine for treating rheumatoid arthritis. Faming Zhuanli Shenqing 2017, 1–10. [Google Scholar]
- Bjarnholt, N.; Rook, F.; Motawia, M.S.; Cornett, C.; Jørgensen, C.; Olsen, C.E.; Jaroszewski, J.W.; Bak, S.; Moller, B.L. Diversification of an ancient theme. Hydroxynitrile glucosides. Phytochemistry 2008, 69, 1507–1516. [Google Scholar] [CrossRef]
- Sonnewald, U. Stoffwechselphysiologie. In Strasburger—Lehrbuch der Pflanzenwissenschaften; Kadereit, J.W., Körner, C., Kost, B., Sonnewald, U., Eds.; Springer Spektrum: Berlin/Heidelberg, Germany, 2014; pp. 337–446. [Google Scholar]

| Trivial/Semi-Trivial Name | Figure | Nr. | Trivial/Semi-Trivial Name | Figure | Nr. | 
|---|---|---|---|---|---|
| Aliphatic Compounds | Aromatic Compounds | ||||
| Linamarin | 2 | 1 | prunasin | 11 | 54 | 
| Linustatin | 2 | 2 | sambunigrin | 11 | 55 | 
| Linustatin C | 2 | 3 | passiedulin | 11 | 56 | 
| Linamarin gallate | 2 | 4 | - | 11 | 57 | 
| (R)-lotaustralin | 3 | 5 | epilucumin | 12 | 58 | 
| - | 3 | 6 | neoamygdalin | 12 | 59 | 
| neolinustatin | 3 | 7 | - | 12 | 60 | 
| linustatin A | 3 | 8 | - | 12 | 61 | 
| linustatin B | 3 | 9 | oxyanthin | 12 | 62 | 
| supinanitriloside C | 3 | 10 | vicianin | 12 | 63 | 
| (S)-epilotaustralin | 3 | 11 | lucumin | 12 | 64 | 
| - | 3 | 12 | amygdalin | 12 | 65 | 
| sachaloside V | 3 | 13 | - | 12 | 66 | 
| heterodendrin | 4 | 14 | eucalyptosin B | 12 | 67 | 
| epiheterodendrin | 4 | 15 | eucalyptosin C | 12 | 68 | 
| 3-hydroxyheterodendrin | 4 | 16 | eucalyptosin A | 12 | 69 | 
| epiproacacipetalin | 5 | 17 | peregrinumcin A | 13 | 70 | 
| proacacipetalin | 5 | 18 | prunasin 6’-O-methacrylate | 13 | 71 | 
| proacaciberin | 5 | 19 | prunasin 6’-O-trans-2-butenoate | 13 | 72 | 
| proacacipetalin-6’-O-β-d-glucoside | 5 | 20 | prunasin-6’-O-malonate | 13 | 73 | 
| epicardiospermin-5-p-hydroxybenzoate | 5 | 21 | prunasin 6’-O-gallate | 13 | 74 | 
| cardiospermin | 5 | 22 | grayanin | 13 | 75 | 
| cardiospermin-5-benzoate | 5 | 23 | prunasin 4’-O-p-coumarate | 13 | 76 | 
| cardiospermin-5-p-hydroxybenzoate | 5 | 24 | prunasin 4’-O-caffeate | 13 | 77 | 
| cardiospermin-5-cis-coumarate | 5 | 25 | prunasin 4’,6’-di-O-gallate | 13 | 78 | 
| cardiospermin-5-trans-p-coumarate | 5 | 26 | prunasin 3’,6’-di-O-gallate | 13 | 79 | 
| cardiospermin-5-sulfate | 5 | 27 | prunasin 2’,6’-di-O-gallate | 13 | 80 | 
| acacipetalin | 6 | 28 | prunasin 3’,4’,6’-tri-O-gallate | 13 | 81 | 
| acaciberin | 6 | 29 | prunasin 2’,3’,6’-tri-O-gallate | 13 | 82 | 
| isocardiospermin-5-p-hydroxybenzoate | 6 | 30 | prunasin 2’,3’,4’,6’-tetra-O-gallate | 13 | 83 | 
| triglochinin | 7 | 31 | 6’-O-galloylsambunigrin | 13 | 84 | 
| isotriglochinin | 7 | 32 | oxyanthin 5’’-O-benzoate | 14 | 85 | 
| isotriglochininmonomethylester | 7 | 33 | hedyotoside A | 14 | 86 | 
| deidaclin | 8 | 34 | canthium glycoside | 14 | 87 | 
| tetraphyllin A | 8 | 35 | amygdalin- 6’’-p-hydroxybenzoate | 14 | 88 | 
| volkenin | 8 | 36 | amygdalin-6’’-p-coumarate | 14 | 89 | 
| volkenin sulfate | 8 | 37 | anthemis glycoside A | 14 | 90 | 
| taraktophyllin | 8 | 38 | anthemis glycoside B | 14 | 91 | 
| 6’-O-α-l-rhamnosyltaraktophyllin | 8 | 39 | taxiphyllin | 15 | 92 | 
| epivolkenin/passicoriacin | 8 | 40 | taxiphyllin 6’-O-gallate | 15 | 93 | 
| 6’-O-α-l-rhamnopyranosylepivolkenin | 8 | 41 | glochidacuminoside D | 15 | 94 | 
| passicapsin | 8 | 42 | dhurrin | 15 | 95 | 
| passitrifasciatin | 8 | 43 | dhurrin 6’-glucoside | 15 | 96 | 
| passibiflorin | 8 | 44 | proteacin | 15 | 97 | 
| tetraphyllin B | 8 | 45 | holocalin | 16 | 98 | 
| tetraphyllin B sulfate | 8 | 46 | holocalin acetate | 16 | 99 | 
| passicoccin | 8 | 47 | zierin | 16 | 100 | 
| gynocardin | 9 | 48 | zierinxyloside | 16 | 101 | 
| suberin A | 10 | 49 | xeranthin | 16 | 102 | 
| 6′-O-β-d-glucopyranosylsuberin A | 10 | 50 | hydracyanoside A | 17 | 103 | 
| suberin B | 10 | 51 | - | 17 | 104 | 
| 6′-O-β-d-glucopyranosylsuberin B | 10 | 52 | hydracyanoside B | 17 | 105 | 
| passiguatemalin | 10 | 53 | hydracyanoside C | 17 | 106 | 
| hydracyanoside D | 17 | 107 | |||
| - | 17 | 108 | |||
| Dihydropyridone derivatives | |||||
| epinoracalyphin | 18 | 109 | |||
| noracalyphin | 18 | 110 | |||
| epiacalyphin | 18 | 111 | |||
| acalyphin | 18 | 112 | |||
| Publisher’s Note: MDPI stays neutral with regard to jurisdictional claims in published maps and institutional affiliations. | 
© 2021 by the authors. Licensee MDPI, Basel, Switzerland. This article is an open access article distributed under the terms and conditions of the Creative Commons Attribution (CC BY) license (http://creativecommons.org/licenses/by/4.0/).
Share and Cite
Yulvianti, M.; Zidorn, C. Chemical Diversity of Plant Cyanogenic Glycosides: An Overview of Reported Natural Products. Molecules 2021, 26, 719. https://doi.org/10.3390/molecules26030719
Yulvianti M, Zidorn C. Chemical Diversity of Plant Cyanogenic Glycosides: An Overview of Reported Natural Products. Molecules. 2021; 26(3):719. https://doi.org/10.3390/molecules26030719
Chicago/Turabian StyleYulvianti, Meri, and Christian Zidorn. 2021. "Chemical Diversity of Plant Cyanogenic Glycosides: An Overview of Reported Natural Products" Molecules 26, no. 3: 719. https://doi.org/10.3390/molecules26030719
APA StyleYulvianti, M., & Zidorn, C. (2021). Chemical Diversity of Plant Cyanogenic Glycosides: An Overview of Reported Natural Products. Molecules, 26(3), 719. https://doi.org/10.3390/molecules26030719
 
         
                                                


 
       
       