Abstract
The research on resveratrol (1) has been conducted intensively over a long time due to its proven antioxidant activity and disease-fighting capabilities. Many efforts have also been made to increase these biological effects. In the present study, six new extended aromatic resveratrol analogues containing naphthalene (2) and its bioisosteres quinoline (3 and 4), isoquinoline (5) quinoxaline (6) and quinazoline (7) scaffolds were designed and synthesized using an annulation strategy. The antioxidant and anti-inflammatory activities of these compounds were investigated. All compounds showed better antioxidant activity than resveratrol in ABTS assay. As for the anti-inflammatory test, 5 and 7 exhibited better activity than resveratrol. It is worth noting that nitrogen substitution on the extended aromatic resveratrol analogues has a significant impact on cell viability. Taking the antioxidant activities and NO inhibition activities into consideration, we conclude that isoquinoline analogue 5 may qualify for the further investigation of antioxidant and anti-inflammatory therapy. Furthermore, our study results suggest that in order to improve the biological activity of polyphenolic compounds, extended aromaticity and nitrogen substitution strategy could be a viable method for the design of future drug candidates.
1. Introduction
The oxygen element is essential for human life, but under certain circumstances, it also has harmful effects. Free radicals are known as reactive oxygen species (ROS), generated by the oxygen metabolism in the human body, and have many biochemical activities such as cell growth, proliferation, and survival at their physiological concentrations [1]. Nevertheless, excessive production of ROS and reactive nitrogen species (RNS) causes damage to DNA, cellular proteins, carbohydrates, and membrane lipids and eventually cell injury and death. The human body’s protective attempt against this damage is achieved by endogenous antioxidant enzymes (superoxide dismutase, catalase, and glutathione peroxidase) or nonenzymatic antioxidants (uric acid, bilirubin, lipoic acid, metallothioneins) [2]. The antioxidant component can interact with ROS/RNS to stop the radical chain reactions, and thereby delay or block cellular damage. When the balance between free radical generation and antioxidant defenses is disturbed, the situation is called oxidative stress (OS) [3]. OS causes various pathological conditions such as cancer, hypertension, neurological disorder, and diabetes. When the endogenous antioxidant system fails to protect the organism against ROS/RNS damage, exogenous antioxidants are needed as diet, nutritional supplements or pharmaceutical products, which contain antioxidants as the principle active compound [4].
Inflammation is a natural response of living tissue against injury or infection. Activated inflammatory pathway generates several inflammatory mediators such as cytokines (IL-1β, IL6 and TNF-α, chemokines, free radicals, NO (nitric oxide) and eicosanoids (prostaglandins)) in the affected tissues that eventually guide the restoration of the normal tissue structure. However, their secretion for an extended period can lead to OS and chronic inflammation-associated disorders. Excess ROS/RNS can trigger an intracellular signaling cascade that augments pro-inflammatory gene expression [5]. Moreover, the upsurge of NO magnitude by macrophages during the inflammatory response leads to undesirable tissue destruction [6]. Hence, inflammation and OS are closely related to pathophysiological events [7]. This mutual interdependence has a crucial role in the pathogenesis and management of various diseases, and we may expect beneficial effects from the antioxidant and anti-inflammatory therapy.
Resveratrol (3,5,4′-trihydroxy-trans-stilbene) (1) (Figure 1) is a natural polyphenolic stilbenoid produced in some plants as a phytoalexin. It is widely recognized as a nutraceutical and therapeutic compound given its positive effects on human health. Promising activities of 1 include antioxidant, anti-aging, anticancer, anti-inflammatory, antidiabetic, and cardioprotective properties [8,9,10]. Antioxidant activity of 1 is due to its substantial scavenging property of ROS, RNS and other secondary organic radicals formed by the reaction of ROS and RNS with biomolecules. It also acts as a useful metal ions chelator, maintains the oxidation-reduction balance in a cell, and reduces the activity of the enzymes which involve in ROS production. However, its potential application in some cancer studies was ambiguous due to its poor bioavailability [11].
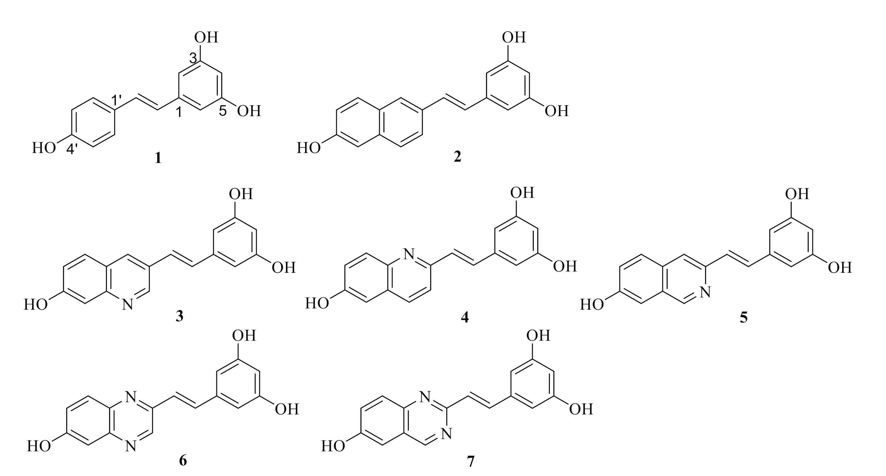
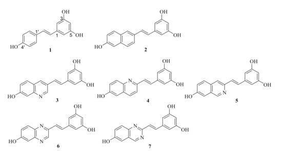
Figure 1.
Structures of resveratrol (1) and its naphthalene (2), quinoline (3 and 4), isoquinoline (5) quinoxaline (6) and quinazoline (7) analogues.
Previous studies of 1 have evidenced that the presence of three hydroxy groups in 3, 5 and 4′ positions, presence of aromatic rings and a trans-double bond between the aromatic rings, are vital for its antioxidant activity [12,13]. Analogues of 1 bearing electron-donating groups on the benzene rings displayed increased its antioxidant activity [14]. The free radical scavenging property undoubtedly depends on the resonance stabilization of the resulting phenoxy radicals. Hence, an extension of π-conjugation could lead to the better stabilization of the phenoxy radical, which can result in lowering the phenolic O–H bond dissociation energy, thereby increased antioxidant activity can be obtained [15]. Zhou et al. applied this concept in designing analogues of 1 by introducing additional double bonds between two benzene rings and observed increased antioxidant activity compared to 1 [16]. Another promising approach to achieve the extended π-conjugation would be extended aromaticity strategy. It is also apparent that π-delocalization is maximized in cyclic π-systems compared to acyclic ones because the former systems contain extended π-surfaces [17]. We believe that no report has been observed in the literature based on the π-system elongation of 1 through aromaticity extension in a systematic way.
According to a recent report, heterocyclic replacements for benzene can have a significant impact on ADME (absorption, distribution, metabolism, and excretion) -related parameters [18]. Many biologically active natural products such as alkaloids, niacin, and vitamin B6 contain nitrogen. These two facts inspired us to investigate the effect of nitrogen incorporation in extended aromatic compounds on biological activity. In this context, we designed and synthesized new analogues of 1 with extended aromaticity in which the 4’-hydroxy group-containing benzene ring is fused with benzene (naphthalene analogue 2) and its bioisosteres pyridine (quinoline and isoquinoline analogues 3, 4 and 5), pyrazine (quinoxaline analogue 6) and pyrimidine (quinazoline analogue 7) scaffolds (Figure 1), and investigated their trends in their antioxidant and anti-inflammatory activity with respect to the extended aromaticity as well as the substitution with nitrogen atoms.
2. Results and Discussion
2.1. Chemistry
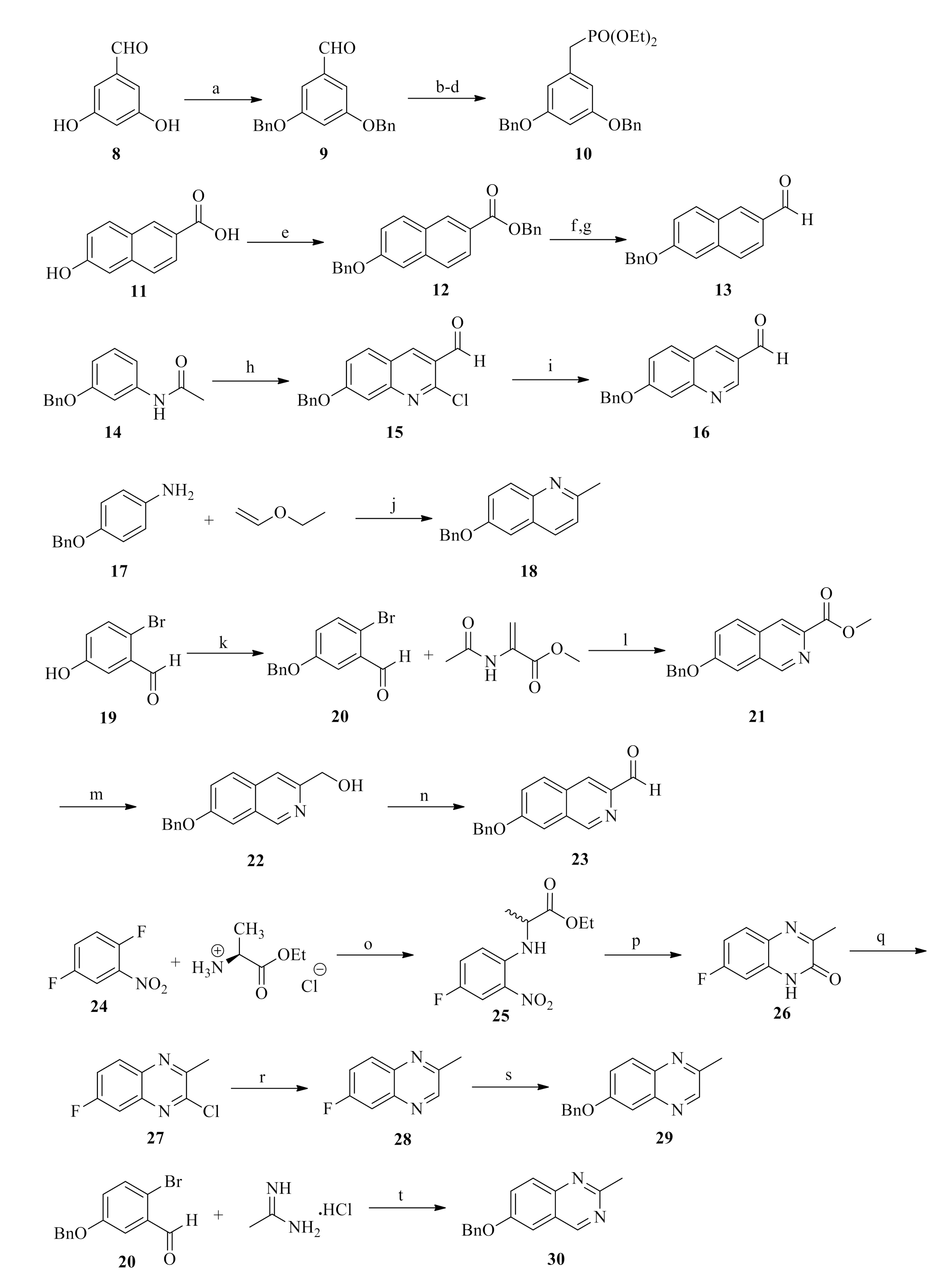
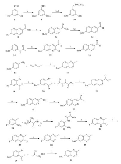
Synthesis of resveratrol analogues 2–7 commenced with the protection of phenolic hydroxyl groups of 3,5-dihydroxybenzaldehyde 8 (Scheme 1). Treatment of 8 with benzyl bromide (BnBr) in the presence of K2CO3 afforded bis(Bn) ether 9 which was further transformed to the corresponding phosphonate ester 10 after reduction, bromination and Arbuzov reactions on the aldehyde group of 9, successively [19]. Naphthalene aldehyde 13, which was used for the resveratrol analogue synthesis, was obtained from 6-hydroxy-2-naphthoic acid 11. Treatment of 11 with BnBr/K2CO3 resulted in compound 12, which was subjected to reduction and oxidation synthetic sequence to provide the aldehyde 13 in high yields. For the synthesis of quinoline-3-carbaldehyde moiety 16, we employed Vilsmeier–Haack reaction. 3-Benzyloxyacetanilide 14 efficiently underwent Vilsmeier–Haack cyclization [20] to afford 2-chloro-3-formyl quinoline derivative 15 and subsequent hydrodechlorination of 15 was realized to yield 16 using Pd(PPh3)4/Et3N/HCO2 H system in DMF at 110 °C. Next, a metal-free, mild and efficient method was employed for the synthesis of 2-methylquinoline moiety 18 by condensation of 4-(benzyloxy)aniline 17 with ethyl vinyl ether in the presence of catalytic amount of iodine [21]. To achieve isoquinoline moiety 23, Heck reaction was performed on 5-(benzyloxy)-2-bromobenzaldehyde 20 which in turn obtained from 2-bromo-5-hydroxybenzaldehyde 19. Treatment of 20 with methyl ester of N-acetyl dehydroalanine using Pd(OAc)2/P(o-tol)3/TEA system in DMSO underwent Heck reaction, whereupon a spontaneous intramolecular transesterification resulted in the isoquinoline-3-carboxylate derivative 21. Subsequent reduction to the corresponding alcohol 22 and oxidation with IBX gave the isoquinoline aldehyde 23. 1,4-Difluoro-2-nitrobenzene 24 was used as a precursor to obtain the quinoxaline moiety 29 [22]. Nucleophilic displacement reaction of 24 with l-alanine ethyl ester hydrochloride furnished 25, which subsequently underwent cyclization to give quinoxalone 26. When 26 was subjected to Vilsmeier–Haack condition, quinoxaline moiety 27 was formed which finally transformed to the desired moiety 29 by hydrodechlorination and nucleophilic displacement reaction synthetic sequences, respectively. The requisite quinazoline moiety 30 was constructed by copper-catalyzed cascade coupling of 20 with acetamidine HCl [23].
Scheme 1.
Reagents and conditions: (a) BnBr, K2CO3 , acetone, reflux, 5 h, 78%; (b), (c) CH2Cl2 , rt, 6 h; 93%; (d) P(OEt)3, xylene, reflux, 10 h, 99% (over 3 steps); (e) BnBr, K2CO3 , DMF, 60 °C, 2 h, 77%; (f) LiAlH4 (2.0 M in THF), THF, rt, 2 h; (g) IBX, DMSO, rt, 1 h, 94% (over 2 steps); (h) POCl3, DMF, 90 °C, 2 h, 78%; (i) TEA, HCO2H, Pd(PPh3)4, DMF, 110 °C, 2 h, 74%; (j) Iodine, toluene, 80 °C, 2 h, 49%; (k) BnBr, K2CO3 , DMF, rt, 2 h, 90%; (l) TEA, P(o-tol)3, Pd(OAc)2, DMSO, 110 °C, 18 h, 56%; (m) 1.0 M LiAlH4 (in THF), THF, rt, 1 h, 61%; (n) IBX, DMSO, rt, 1 h, 66%; (o) TEA, pyridine, reflux, 17 h, 93%; (p) (i) SnCl2·2H2O, EtOH, H2 O, reflux, 1 h; (ii) DDQ, acetonitrile, 0.5 h, rt, 18 h, quantitative, (over 2 steps); (q) POCl3, N, N-dimethylaniline, reflux, 1 h, 86%; (r) TEA, HCOOH, Pd(PPh3)4, DMF, 110 °C, 2 h, 83% (s) BnOH, 60% NaH (in mineral oil), DMF, 100 °C, 2 h, 83%; (t) l-proline, Cs2CO3 , CuI(I), DMF, 110 °C, 18 h, 27%.
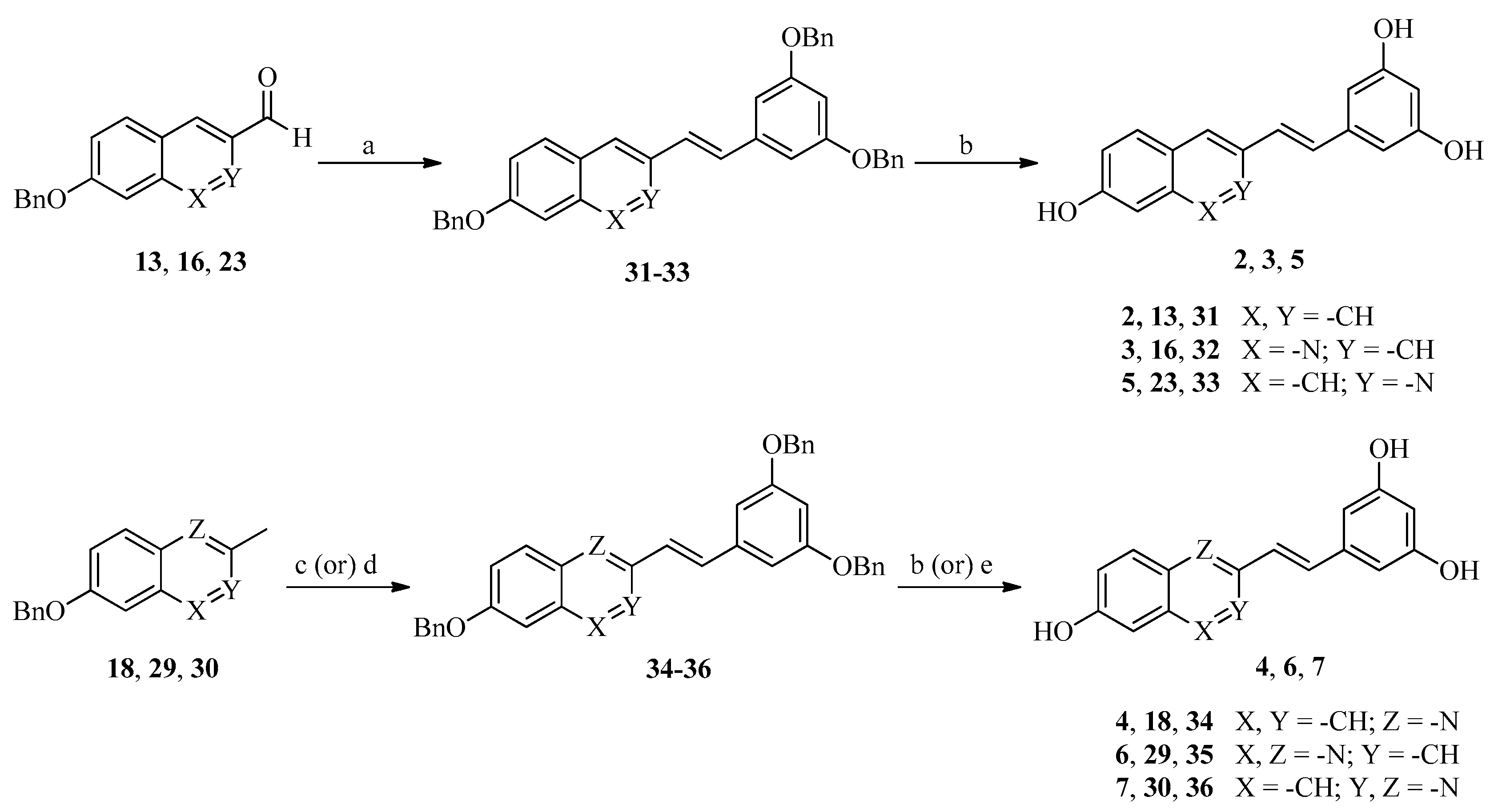
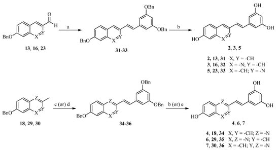
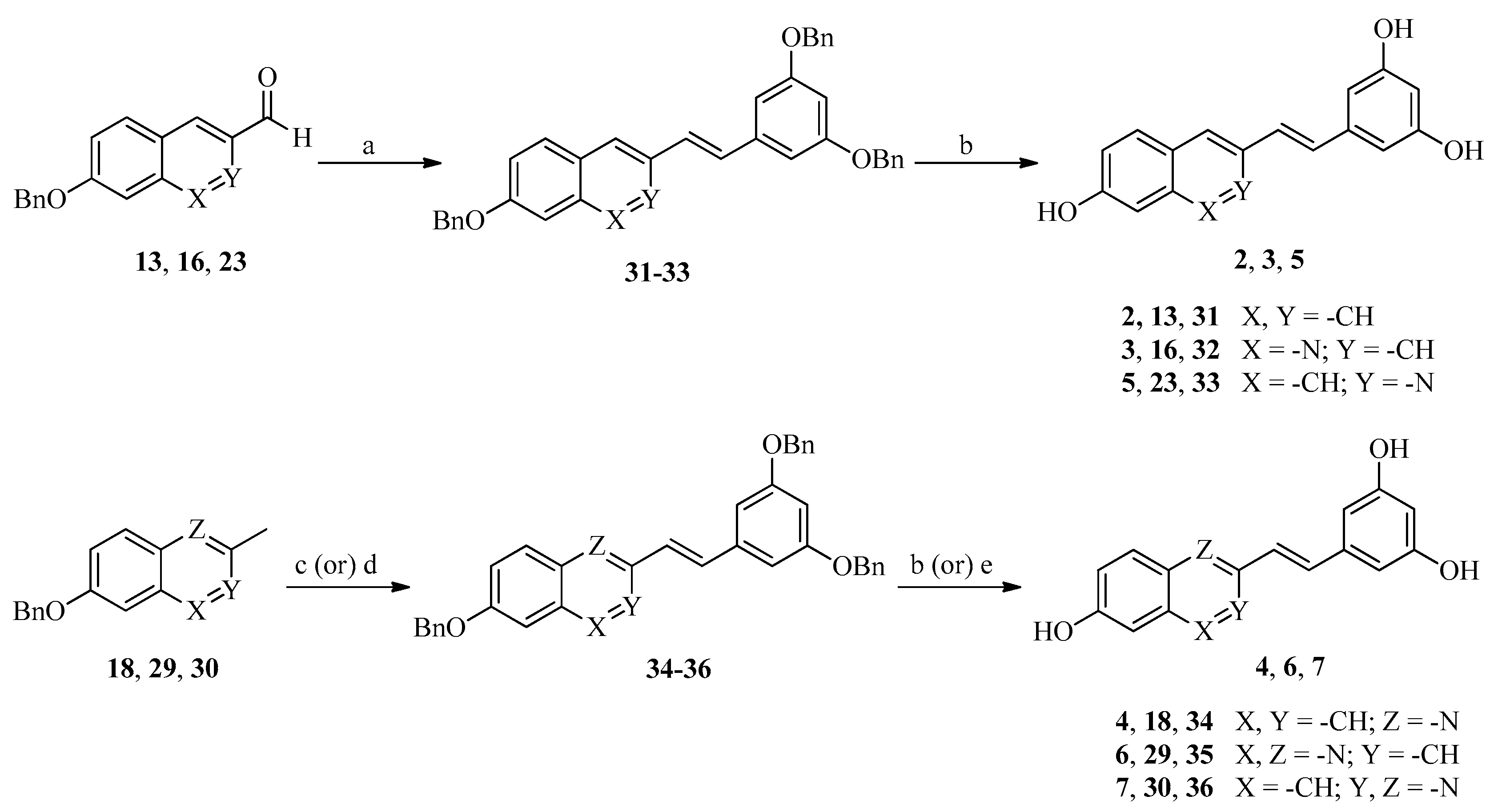
With all the key fragments secured, their linkage to construct analogues of 1 was then executed (Scheme 2). At first, we tried the Wittig–Horner reaction between 13 and 10 using NaH in DMF, and the resulting benzyl protected naphthalene based 1 analogue 31 was obtained in high yield. In a similar manner, quinoline and isoquinoline analogues 32 and 33 were also acquired. Next, compounds 34–36 were built up through C(sp3)–H functionalization of methyl azaarenes 18, 29 and 30 with the aldehyde 9, respectively [24]. Notably, excellent stereoselectivity (based on 1H-NMR) was achieved in both conditions. Finally, benzyl (Bn) group deprotection of 31–35 using 1.0 M BBr3 (in CH2Cl2 ) smoothly furnished the desired target compounds 2–6, respectively. Unfortunately, very poor yield was observed for quinazoline-based analogue 7 even after extended reaction time. To solve this problem, we employed AlCl3/N,N-dimethylaniline system [25]. This reagent system afforded the product 7 in 3 h, albeit in low yield. All the structures of the final products 2–7 were settled from their spectral data (1H and 13C NMR and MS) (see the Supplementary Materials).
Scheme 2.
Reagents and conditions: (a) 10, 60% NaH (in mineral oil), DMF, rt, 2 h, 82–89%; (b) 1.0 M BBr3 (in CH2Cl2), CH2 Cl2 , 0 °C, 2 h, 61–87%; (c) 9, Fe(OAc)2, TFA, toluene, reflux, 24 h, 56% (34); 64% (35); (d) 9, t-BuOK, DMF, rt, 4 h, 39% (36); (e) AlCl3, N,N-dimethylaniline, CH2Cl2 , rt, 3 h, 20% (7).
2.2. Antioxidant Activity
ABTS (2,2′-azinobis (3-ethylbenzothiazoline-6-sulfonic acid) diammonium salt) assay was used for the antioxidant estimation. Though many methods are available, this appears to be the most popular because of its operational simplicity, short experimental time, and the employment of the inexpensive spectrophotometer [26]. In vitro ABTS radical scavenging activities of 1 and its analogues 2–7 are summarized in Table 1. The table illustrates that all the analogues 2–7 showed excellent ABTS free radical scavenging activity with better IC50 values (43~23% better activity, 3.14 ± 0.445, 3.57 ± 0.496, 3.61 ± 0.253, 2.81 ± 0.034, 3.10 ± 0.953 and 3.54 ± 0.714 μM, respectively) than the standard/positive control 1 (4.88 ± 0.35 μM). We believe that the high ABTS radical scavenging activity of 2–7 was due to the enhanced resonance stabilization of the resulting phenoxy radicals. Compared to 1, all the analogues 2–7 showed bicyclic aromatic moieties instead of a benzene ring, and this feature facilitated the extended and planar π conjugation by which the stronger capability to stabilize the radical species via delocalization of the π-electrons can be achieved. The lower the IC50 value of a compound, the higher its antioxidant activity. Compound 5, which contains an isoquinoline moiety, expressed the best activity among all analogues. The nitrogen in the Y position (such as compounds 5 and 7 in Scheme 2) increased the antioxidant activity, and the nitrogen in the Z position (such as compounds 4 and 6 in Scheme 2) decreased the antioxidant activity. However, there appears to be no clear correlation between antioxidant activity and the number of nitrogen atom substitutions in the ABTS assay results. It seems that the position of nitrogen substitution is more important than the number of nitrogen substitution on the activity.
Table 1.
In vitro ABTS radical scavenging activities of ascorbic acid, resveratrol 1 and analogues 2–7.
2.3. Anti-Iinflammatory Effects on Macrophage
In the pathogenesis of inflammatory-related disorders, NO is recognized as one of the important mediators. Hence, its inhibition is considered as a beneficial approach for the prevention of inflammation [27]. Herein, to understand the anti-inflammatory properties of the resveratrol analogues, we studied their inhibitory effects against NO production in LPS-treated RAW 264.7 cells. Although it is not possible to measure NO quantitatively in a biological environment due to its rapid oxidation to NO2 (nitrite), short physiological half-life and presence of other free radicals, NO secretion activity in cells is indirectly determined by Griess assay counting its stable product NO2 levels [28]. The inhibitory effects of 1–7 on NO production were collected in Table 2. Pretreatment with 1 and its analogues 2–7 showed some reduction in the NO production dose-dependently in LPS-treated cells (see Supplementary Materials, Figure S2). The median effective doses (ED50) for inhibiting the production of NO by 1–7 were calculated on the basis of NO2 released into the culture media and were observed in the range of 13.08–56.88 μM. The activities of 5 (ED50 = 13.08 μM) and 7 (ED50 = 21.67 μM) were superior to that of 1 (26.89 ± 1.210), while the activities of 2 (ED50 = 29.50 μM), 3 (ED50 = 44.60 μM), 4 (ED50 = 38.81 μM) and 6 (ED50 = 56.88 μM) were inferior to that of 1. Notably, isoquinoline analogue 5 exerted the highest reduction in NO production. Next, an assessment of cellular metabolic activity was conducted by MTT assay to prove that inhibitory effects of 1–7 on LPS-stimulated NO secretion was not associated with their cytotoxic effect. Cell viability was not affected up to 50 μM except for 2. We also applied in vitro efficacy index (iEI) paradigm [29], the ratio of toxicity (LD50)/anti-inflammatory potency (ED50), to confirm that the anti-inflammatory activity is in the viable cells only. All nitrogen substituted extended resveratrol analogues 3–7 (iEI = 2.11~4.84) are more potent than their non-nitrogenated bioisostere 2 (iEI = 0.98); especially, compounds 3–5 and 7 showed better iEI values than even the parent compound 1. This result leads us to conclude that nitrogen substitution of extended aromatic resveratrol conferred a significant advantage over non-substituted extended aromatic resveratrol in terms of cytotoxicity. On the whole, compounds 5 and 7 have much-improved iEI values compared to any other compounds. When we combine the results from the antioxidant activity and anti-inflammatory activity, we may conclude that isoquinoline analogue 5 had a strong correlation between antioxidant and anti-inflammatory effects (Table 1 and Table 2) and could be the lead compound for both antioxidant and anti-inflammatory agents.
Table 2.
Inhibitory effects of resveratrol 1 and its analogues 2–7 on NO production.
We have further investigated whether resveratrol and its analogues can reduce the inflammatory activity of macrophages. For this purpose, we examined the downregulation of pro-inflammatory cytokine gene expression of LPS-stimulated RAW 264.7 cells by potent inhibitors of NO production (1, 2, 5, and 7) (Figure 2). As expected, the levels of IL-1β and IL-6 were significantly reduced by treatment of resveratrol and its analogues. On the other hand, the level of TNF-α did not change upon treatment. Treatment with 50 μM of analogue 2 was highly toxic to the cells. Since most of the RNA was degraded by cell death, gene amplification by PCR did not occur.
Figure 2.
Inhibitory effects of 1–7 on pro-inflammatory cytokine production of activated macrophage cells. RAW 264.7 cells were treated with 1 μg/mL LPS for 24 h in the presence of the indicated amounts (12.5~50 μM) of compounds. Gene expression levels were analyzed by endpoint reverse transcriptase-polymerase chain reaction and 1.5% agarose gel electrophoresis. GAPDH was used as a control.
3. Materials and Methods
All starting materials, chemical and biological reagents, and solvents were purchased from commercial sources and used without any additional purification. Solvents used for reactions were purchased as either anhydrous grade products or freshly distilled using proper dehydrating agents. 1H NMR and 13C NMR spectra were recorded at room temperature on a Varian Mercury TM 300 MHz FT-NMR (Varian, CA, USA) and JNM-ECZ400S 400 MHz FT-NMR (JEOL Ltd., Tokyo, Japan). Chloroform-d/acetone-d6/methanol-d4/dimethyl sulfoxide-d6 were used as NMR solvents. Chemical shifts (δ) were reported in parts per million (ppm) downfield relative to tetramethylsilane (TMS). The following pattern was used for 1H NMR data: δ value (multiplicity (singlet = s), (doublet = d), (triplet = t), (quartet = q), (doublet of doublet = dd), and (multiplet = m), number of protons, coupling constants (J) quoted in Hz). Mass spectra analyses were taken on a JMS-700 (JEOL Ltd.) spectrometer at the central laboratory of Kangwon National University. Melting points were uncorrected and observed on a MEL-TEMP II (Triad Scientific, Manasquan, NJ, USA) open capillary melting points apparatus. All reactions were monitored through thin-layer chromatography utilizing Merck silica gel plates 60 F254 and spots visualization was accomplished by UV light absorption and/or p-anisaldehyde/phosphomolybdic acid stain. Silica gel 60 (230–400 mesh (40–63 μm), Merck, Darmstadt, Germany) was employed for chromatographic purification.
Antioxidant activity was tested in the dark room by ABTS assay [30]. UV-1800 (Shimadzu Corporation, Kyoto, Japan) was used to measure UV absorption. Hellma’s 104.600-QC Quartz cell was used as a UV cell. IC50 values were obtained using OriginPro 8.0 software (OriginLab Corporation, Northampton, MA, USA).
Anti-inflammatory activity was measured as the effect of compounds on inhibiting NO production versus cell viability [31]. Their inhibitory effect was also tested for pro-inflammatory cytokine gene expression.
Detailed synthetic methods and characterization of compounds and assay methods are included in Supplementary Materials.
4. Conclusions
Six new extended aromatic resveratrol analogues containing naphthalene (2) and its bioisosteres quinoline (3 and 4), isoquinoline (5) quinoxaline (6) and quinazoline (7) scaffolds were designed using an annulation strategy and investigated for their in vitro ABTS radical scavenging activity. All compounds exhibited enhanced antioxidant activity in the ABTS test (IC50 = 2.81~3.61 μM) compared with 1. Besides, 2–7 also showed dose-dependent inhibition of NO production in LPS-treated RAW 264.7 cells. Analogues 5 (ED50 = 13.08 μM; iEI = 4.84) and 7 (ED50 = 21.67 μM; iEI = 4.27) furnished superior activity than 1 (ED50 = 26.89 μM; iEI = 3.02). The inhibition potency was further evidenced by the downregulation of the pro-inflammatory cytokine (IL-1β and IL-6) gene expression of activated macrophage cells. Though further research is required to explore the exact mechanisms of 5-induced regulation of inflammatory signaling pathway and antioxidant activity, our study indicates that isoquinoline analogue 5 may show therapeutic potential in both antioxidant and anti-inflammatory therapy. Our research verified that extended aromaticity renders better antioxidant activity. In addition to extended aromaticity, nitrogen substitution gives better cell viability regardless of location and number of nitrogen atoms. Therefore, it suggests that in order to improve the biological activity of resveratrol analogues, aromaticity extension and nitrogen substitution could be a viable method for the design of future drug candidates. We are currently working on the substitution of heteroatoms other than nitrogen in the extended aromatic resveratrol.
Supplementary Materials
The following are available online. All the synthetic procedures of compounds 2–7, Figure S1: ABTS assay of compounds 1–7 (statistical analysis), Figure S2: Inhibitory effect of compounds 1–7 on NO production., Figure S3: Cell viability (MTT) assay of compounds 1–7, 1H & 13C NMR spectra of compounds 2–7, IR spectra and UV-Vis spectra.
Author Contributions
Conceptualization: J.T.L.; methodology: K.Y.N., Y.L., L.S.P., J.G.G., J.P.P.; investigation: K.Y.N., Y.L., L.S.P., J.G.G., J.P.P.; resources: K.Y.N. and Y.L.; data curation: K.Y.N., K.D., Y.L., L.S.P., J.G.G. and J.P.P.; writing—original draft preparation: K.Y.N., K.D. and Y.L.; writing—review and editing: K.D., J.T.L. and S.H.J.; supervision: J.T.L. and S.H.J.; project administration: J.T.L. and S.H.J.; funding acquisition: J.T.L. and S.H.J. All authors have read and agreed to the published version of the manuscript.
Funding
This work was supported by the National Research Foundation of Korea (NRF) grant funded by the Korea government (MOE) (2017R1D1A1A02018831 to J.T. Lee) and (MIST) (No. 2020R1A2C101017311, S.H. Jeon).
Institutional Review Board Statement
Not applicable.
Informed Consent Statement
Not applicable.
Data Availability Statement
Data is contained within the article or Supplementary Materials.
Conflicts of Interest
The authors declare no conflict of interest.
Sample Availability
Samples of the compounds 2–7 are available from the authors.
References
- Litescu, S.C.; Eremia, S.; Radu, G.L. Methods for the Determination of Antioxidant Capacity in Food and Raw Materials. In Bio-Farms for Nutraceuticals: Advances in Experimental Medicine and Biology; Giardi, M.T., Rea, G., Berra, B., Eds.; Springer: Boston, MA, USA, 2010; Volume 698, pp. 241–249. [Google Scholar]
- Ruttkay-Nedecky, B.; Nejdl, L.; Gumulec, J.; Zitka, O.; Masarik, M.; Eckschlager, T.; Stiborova, M.; Adam, V.; Kizek, R. The Role of Metallothionein in Oxidative Stress. Int. J. Mol. Sci. 2013, 14, 6044–6066. [Google Scholar] [CrossRef] [PubMed]
- Nimse, S.B.; Pal, D. Free radicals, natural antioxidants, and their reaction mechanisms. RSC Adv. 2015, 5, 27986–28006. [Google Scholar] [CrossRef]
- Saeed, N.; Khan, M.R.; Shabbir, M. Antioxidant activity, total phenolic and total flavonoid contents of whole plant extracts Torilis leptophylla L. BMC Complement. Altern. Med. 2012, 12, 221. [Google Scholar] [CrossRef] [PubMed]
- Li, S.; Hong, M.; Tan, H.-Y.; Wang, N.; Feng, Y. Insights into the Role and Interdependence of Oxidative Stress and Inflammation in Liver Diseases. Oxid. Med. Cell. Longev. 2016, 2016, 4234061. [Google Scholar]
- Sharma, J.N.; Al-Omran, A.; Parvathy, S.S. Role of nitric oxide in inflammatory diseases. Inflammopharmacology 2007, 15, 252–259. [Google Scholar] [CrossRef]
- Chatterjee, S. Oxidative Stress, Inflammation, and Disease. In Oxidative Stress and Biomaterials, 1st ed.; Dziubla, T., Butterfield, D.A., Eds.; Academic Press: Cambridge, UK; Volume 2016, pp. 35–58.
- Rauf, A.; Imran, M.; Suleria, H.A.R.; Ahmad, B.; Peters, D.G.; Mubarak, M.S. A comprehensive review of the health perspectives of resveratrol. Food Funct. 2017, 8, 4284–4305. [Google Scholar] [CrossRef]
- Salehi, B.; Mishar, A.P.; Nigam, M.; Sener, B.; Kilic, M.; Sharifi-Rad, M.; Fokou, P.V.T.; Martins, N. Sharifi-Rad, Resveratrol: A Double-Edged Sword in Health Benefits. Biomedicines 2018, 6, 91. [Google Scholar] [CrossRef]
- Singh, A.P.; Singh, R.; Verma, S.S.; Rai, V.; Kaschula, C.H.; Maiti, P.; Gupta, S.C. Health benefits of resveratrol: Evidence from clinical studies. Med. Res. Rev. 2019, 39, 1851–1891. [Google Scholar] [CrossRef]
- Wenzel, E.; Somoza, V. Metabolism and bioavailability of trans-resveratrol. Mol. Nutr. Food Res. 2005, 49, 472–481. [Google Scholar] [CrossRef]
- Cao, H.; Pan, X.; Li, C.; Zhou, C.; Deng, F.; Li, T. Density functional theory calculations for resveratrol. Bioorg. Med. Chem. Lett. 2003, 13, 1869–1871. [Google Scholar] [CrossRef]
- Iuga, C.; Alvares-Idaboy, J.R.; Russo, N. Antioxidant Activity of trans-Resveratrol toward Hydroxyl and Hydroperoxyl Radicals: A Quantum Chemical and Computational Kinetics Study. J. Org. Chem. 2012, 77, 3868–3877. [Google Scholar] [CrossRef] [PubMed]
- Shang, Y.-J.; Qian, Y.-P.; Liu, X.-D.; Dai, F.; Shang, X.-L.; Jia, W.-Q.; Liu, Q.; Fang, J.-G.; Zhou, B. Radical-Scavenging Activity and Mechanism of Resveratrol-Oriented Analogues: Influence of the Solvent, Radical, and Substitution. J. Org. Chem. 2009, 74, 5025–5031. [Google Scholar] [CrossRef] [PubMed]
- Li, X.; Xie, Y.; Xie, H.; Yang, J.; Chen, D. π-π Conjugation Enhances Oligostilbene’s Antioxidant Capacity: Evidence from α-Viniferin and Caraphenol, A. Molecules 2018, 23, 694. [Google Scholar] [CrossRef]
- Tang, J.-J.; Fan, G.-J.; Dai, F.; Ding, D.-J.; Wang, Q.; Lu, D.-L.; Li, R.-R.; Li, X.-Z.; Hu, L.-M.; Jin, X.-L.; et al. Finding more active antioxidants and cancer chemoprevention agents by elongating the conjugated links of resveratrol. Free Radic. Biol. Med. 2011, 50, 1447–1457. [Google Scholar] [CrossRef]
- Hicks, R.G. What’s new in stable radical chemistry? Org. Biomol. Chem. 2007, 5, 1321–1338. [Google Scholar] [CrossRef]
- Ritchie, T.J.; Macdonald, S.J.F. Heterocyclic replacements for benzene: Maximising ADME benefits by considering individual ring isomers. Eur. J. Med. Chem. 2016, 124, 1057–1068. [Google Scholar] [CrossRef]
- Fukuhara, K.; Nakanishi, I.; Matsuoka, A.; Matsumura, T.; Honda, S.; Hayashi, M.; Ozawa, T.; Miyata, N.; Saito, S.; Ikota, N.; et al. Effect of methyl substitution on the antioxidative property and genotoxicity of resveratrol. Chem. Res. Toxicol. 2008, 21, 282–287. [Google Scholar] [CrossRef]
- Meth-Cohn, O.; Narine, B.; Tarnowski, B. A versatile new synthesis of quinolines and related fused pyridines, Part 5. The synthesis of 2-chloroquinoline-3-carbaldehydes. J. Chem. Soc. Perkin Trans. 1520, 1, 1520–1530. [Google Scholar] [CrossRef]
- Le, S.T.; Yasuok, C.; Asahara, H.; Nishiwaki, N. Dual Behavior of Iodine Species in Condensation of Anilines and Vinyl Ethers Affording 2-Methylquinolines. Molecules 2016, 21, 827. [Google Scholar] [CrossRef]
- Morimoto, H.; Sakamoto, T.; Himiyama, T.; Kawanishi, E.; Matsumura, T. Aromatic Nitrogen-Containing 6-Membered Ring Compounds and Their Use. WO Patent 2010030027, 2010. Available online: https://patentscope.wipo.int/search/en/search.jsf (accessed on 23 January 2021).
- Hunga, C.; Fu, Y.; Fu, H.; Jiang, Y.; Zhao, Y. Highly efficient copper-catalyzed cascade synthesis of quinazoline and quinazolinone derivatives. Chem. Commun. 2008, 6333–6335. [Google Scholar] [CrossRef] [PubMed]
- Pi, D.; Jiang, K.; Zhou, H.; Sui, Y.; Uozumi, Y.; Zou, K. Iron-catalyzed C(sp3)–H functionalization of methyl azaarenes: A green approach to azaarene-substituted α- or β-hydroxy carboxylic derivatives and 2-alkenylazaarenes. RSC Adv. 2014, 4, 57875–57884. [Google Scholar] [CrossRef]
- Akiyama, T.; Hirofuji, H.; Ozaki, S. AlCl3-N, N-dimethylaniline: A new benzyl and allyl ether cleavage reagent. Tetrahedron Lett. 1991, 32, 1321–1324. [Google Scholar] [CrossRef]
- Amorati, R.; Valgimigli, L. Advantages and limitations of common testing methods for antioxidants. Free Radic. Res. 2015, 49, 633–649. [Google Scholar] [CrossRef] [PubMed]
- Morbidelli, L.; Bonavida, B. Therapeutic Application of Nitric Oxide in Cancer and Inflammatory Disorders, 1st ed.; Academic Press: Cambridge, UK, 2019. [Google Scholar]
- Giusarini, D.; Rossi, R.; Milzani, A.; Dalle-Donne, I. Nitrite and nitrate measurement by Griess reagent in human plasma: Evaluation of interferences and standardization. Methods Enzymol. 2008, 440, 361–380. [Google Scholar]
- Mazzio, E.A.; Bauer, D.; Mendonca, P.; Taka, E.; Soliman, K.F. Natural product HTP screening for attenuation of cytokine-induced neutrophil chemo attractants (CINCs) and NO2 − in LPS/IFNγ activated glioma cells. J. Neuroimmunol. 2017, 302, 10–19. [Google Scholar] [CrossRef]
- Kim, J.H.; Shyam, P.K.; Kim, M.J.; Lee, H.-J.; Lee, J.T.; Jang, H.-Y. Enantioselective synthesis and antioxidant activity of 3,4,5-substituted piperidine derivatives. Bioorg. Med. Chem. Lett. 2016, 26, 3119–3121. [Google Scholar] [CrossRef]
- Barltrop, J.A.; Owen, T.C.; Cory, A.H.; Cory, J.G. 5-(3-carboxymethoxyphenyl)-2-(4,5-dimethylthiazolyl)-3-(4-sulfophenyl)tetrazolium, inner salt (MTS) and related analogs of 3-(4,5-dimethylthiazolyl)-2,5-diphenyltetrazolium bromide (MTT) reducing to purple water-soluble formazans As cell-viability indicators. Bioorg. Med. Chem. Lett. 1991, 1, 611–614. [Google Scholar]
Publisher’s Note: MDPI stays neutral with regard to jurisdictional claims in published maps and institutional affiliations. |
© 2021 by the authors. Licensee MDPI, Basel, Switzerland. This article is an open access article distributed under the terms and conditions of the Creative Commons Attribution (CC BY) license (http://creativecommons.org/licenses/by/4.0/).



