Discriminant Profiles of Volatile Compounds in the Alveolar Air of Patients with Squamous Cell Lung Cancer, Lung Adenocarcinoma or Colon Cancer
Abstract
1. Introduction
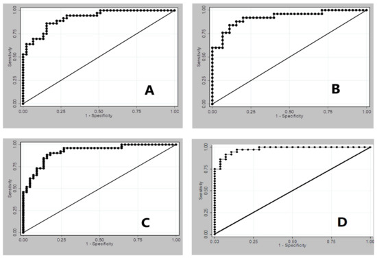
2. Results
3. Discussion
4. Materials and Methods
4.1. Study Population
4.1.1. Patients with Lung Cancer (Group 1 and 2)
4.1.2. Patients with Colorectal Cancer (Group 3)
4.1.3. Control Subjects
4.2. Alveolar Air Sampling
4.3. Equipment
4.4. Statistics
5. Conclusions
Author Contributions
Funding
Institutional Review Board Statement
Informed Consent Statement
Data Availability Statement
Acknowledgments
Conflicts of Interest
References
- Boots, A.W.; van Berkel, J.J.; Dallinga, J.W.; Smolinska, A.; Wouters, E.F.; van Schooten, F.J. The versatile use of exhaled volatile organic compounds in human health and disease. J. Breath Res. 2012, 6, 027108. [Google Scholar] [CrossRef] [PubMed]
- Cancer Today. Available online: https://gco.iarc.fr/today/home (accessed on 17 July 2020).
- Siegel, R.L.; Jemal, A.; Wender, R.C.; Gansler, T.; Ma, J.; Brawley, O.W. An assessment of progress in cancer control. CA Cancer J. Clin. 2018, 68, 329–339. [Google Scholar] [CrossRef] [PubMed]
- Coviello, V.; Buzzoni, C.; Fusco, M.; Barchielli, A.; Cuccaro, F.; de Angelis, R.; Giacomin, A.; Luminari, S.; Randi, G.; Mangone, L.; et al. Survival of cancer patients in Italy. Epidemiol. Prev. 2017, 2 (Suppl. S1), 1–244. [Google Scholar]
- Weitz, J.; Koch, M.; Debus, J.; Hohler, T.; Galle, P.R.; Buchler, M.W. Colorectal cancer. Lancet 2005, 365, 153–165. [Google Scholar] [CrossRef]
- Siegel, R.; de Santis, C.; Virgo, K.; Stein, K.; Mariotto, A.; Smith, T.; Cooper, D.; Gansler, T.; Lerro, C.; Fedewa, S.; et al. Cancer treatment and survivorship statistics. CA Cancer J. Clin. 2012, 62, 220–241. [Google Scholar] [CrossRef]
- Ferlay, J.; Colombet, M.; Soerjomataram, I.; Dyba, T.; Randi, G.; Bettio, M.; Gavin, A.; Visser, O.; Bray, F. Cancer incidence and mortality patterns in Europe: Estimates for 40 countries and 25 major cancers in 2018. Eur. J. Cancer 2018, 103, 356–387. [Google Scholar] [CrossRef]
- Gordon, S.M.; Szldon, J.P.; Krotoszynski, B.K.; Gibbons, R.D.; O’Neill, H.J. Volatile Organic Compoundsin Exhaled Air from Patients with Lung Cancer. Clin. Chem. 1985, 31, 1278–1282. [Google Scholar] [CrossRef]
- Wang, C.; Ke, C.; Wang, X.; Chi, C.; Guo, L.; Luo, S.; Guo, Z.; Xu, G.; Zhang, F.; Li, E. Noninvasive detection of colorectal cancer by analysis of exhaled breath. Anal. Bioanal. Chem. 2014, 406, 4757–4763. [Google Scholar] [CrossRef]
- Girvan, I.O.; Davis, S.W. Breath based volatile organic compounds in the detection of breast, lung, and colorectal cancers: A systematic review. Cancer Biomark. 2017, 21, 29–39. [Google Scholar] [CrossRef]
- Phillips, M.; Cataneo, R.N.; Cummin, A.R.; Gagliardi, A.J.; Gleeson, K.; Greenberg, J.; Maxfield, R.A.; Romet, W. Detection of lung cancer with volatile markers in the breath. Chest 2003, 123, 2115–2123. [Google Scholar] [CrossRef]
- Phillips, M.; Cataneo, R.N.; Saunders, C.; Hope, P.; Schmitt, P.; Wai, J. Volatile biomarkers in the breath of women with breast cancer. J. Breath Res. 2010, 4, 026003. [Google Scholar] [CrossRef] [PubMed]
- Kumar, S.; Huang, J.; Ghadi, N.A.; Mackenzie, H.A.; Veselkov, K.A.; Hoare, J.M.; Lovat, L.B.; Spanel, P.; Smith, D.; Hanna, G.B. Mass Spectrometric Analysis of Exhaled Breath for the Identification of Volatile Organic Compound Biomarkers in Esophageal and Gastric Adenocarcinoma. Ann. Surg. 2015, 262, 981–990. [Google Scholar] [CrossRef] [PubMed]
- Altomare, D.F.; di Lena, M.; Porcelli, F.; Trizio, L.; Travaglio, E.; Tutino, M.; Dragonieri, S.; Memeo, V.; de Gennaro, V. Exhaled volatile organic compounds identify patients with colorectal cancer. Br. J. Surg. 2013, 100, 144–150. [Google Scholar] [CrossRef] [PubMed]
- Zhou, W.; Huang, C.; Zou, X.; Lu, Y.; Shen, C.; Ding, X.; Wang, H.; Jiang, H.; Chu, Y. Exhaled breath online measurement for cervical cancer patients and healthy subjects by proton transfer reaction mass spectrometry. Anal. Bioanal. Chem. 2017, 409, 5603–5612. [Google Scholar] [CrossRef] [PubMed]
- Amal, H.; Shi, D.Y.; Ionescu, R.; Zhang, W.; Hua, Q.L.; Pan, Y.Y.; Tao, L.; Liu, H.; Haick, H. Assessment of ovarian cancer conditions from exhaled breath. Int. J. Cancer 2015, 36, 614–622. [Google Scholar] [CrossRef]
- Princivalle, A.; Monasta, L.; Butturini, G.; Bassi, C.; Perbellini, L. Pancreatic ductal adenocarcinoma can be detected by analysis of volatile organic compounds (VOCs) in alveolar air. BMC Cancer 2018, 18, 529. [Google Scholar] [CrossRef]
- Markar, S.R.; Brodie, B.; Chin, S.T.; Romano, A.; Spalding, D.; Hanna, G.B. Profile of exhaled-breath volatile organic compounds to diagnose pancreatic cancer. Br. J. Surg. 2018, 105, 1493–1500. [Google Scholar] [CrossRef]
- Patel, N.; Alkhouri, N.; Eng, K.; Cikach, F.; Mahajan, L.; Yan, C.; Grove, D.; Rome, E.S.; Lopez, R.; Dweik, R.A. 2014 Metabolomic analysis of breath volatile organic compounds reveals unique breathprints in children with inflammatory bowel disease: A pilot study. Aliment. Pharmacol. Ther. 2014, 40, 498–507. [Google Scholar]
- Arasaradnam, R.P.; McFarlane, M.; Daulton, E.; Skinner, J.; O’Connell, N.; Wurie, S.; Chambers, S.; Nwokolo, C.; Bardhan, K.; Savage, R.; et al. Non-invasive exhaled volatile organic biomarker analysis to detect inflammatory bowel disease (IBD). Dig. Liver Dis. 2016, 48, 148–153. [Google Scholar] [CrossRef]
- Monasta, L.; Pierobon, C.; Princivalle, A.; Martelossi, S.; Marcuzzi, A.; Pasini, F.; Perbellini, L. Inflammatory bowel disease and patterns of volatile organic compounds in the exhaled breath of children: A case-control study using Ion Molecule Reaction-Mass Spectrometry. PLoS ONE 2017, 12, e0184118. [Google Scholar] [CrossRef]
- Robroeks, C.M.; van Berkel, J.J.; Dallinga, J.W.; Jöbsis, Q.; Zimmermann, L.J.; Hendriks, H.J.; Wouters, M.F.; van der Grinten, C.P.; van de Kant, K.D.; van Schooten, F.J. Metabolomics of volatile organic compounds in cystic fibrosis patients and controls. Pediatr. Res. 2010, 68, 75–80. [Google Scholar] [CrossRef] [PubMed]
- Van Berkel, J.J.; Dallinga, J.W.; Möller, G.M.; Godschalk, R.W.; Moonen, E.J.; Wouters, E.F.; Van Schooten, F.J. A profile of volatile organic compounds in breath discriminates COPD patients from controls. Respir. Med. 2010, 104, 557–563. [Google Scholar] [CrossRef] [PubMed]
- Ahmed, W.M.; Lawal, O.; Nijsen, T.M.; Goodacre, R.; Fowler, S.J. Exhaled Volatile Organic Compounds of Infection: A Systematic Review. ACS Infect. Dis. 2017, 3, 695–710. [Google Scholar] [CrossRef] [PubMed]
- Schallschmidt, K.; Becker, R.; Jung, C.; Bremser, W.; Walles, T.; Neudecker, J.; Leschber, G.; Frese, S.; Nehls, I. Comparison of volatile organic compounds from lung cancer patients and healthy controls—Challenges and limitations of an observational study. J. Breath Res. 2016, 10, 046007. [Google Scholar] [CrossRef] [PubMed]
- Hornuss, C.; Dolch, M.E.; Janitza, S.; Souza, K.; Praun, S.; Apfel, C.C.; Schelling, G. Determination of breath isoprene allows the identification of the expiratory fraction of the propofol breath signal during real-time propofol breath monitoring. J. Clin. Monit. Comput. 2013, 27, 509–516. [Google Scholar] [CrossRef]
- Zhan, X.; Duan, J.; Duan, Y. Recent developments of proton-transfer reaction mass spectrometry (PTR-MS) and its applications in medical research. Mass Spectrom Rev. 2013, 32, 143–165. [Google Scholar] [CrossRef]
- De Long, E.R.; de Long, D.M.; Pearson, D.L.C. Comparing the areas under two or more correlated receiver operating characteristic curves: A nonparametric approach. Biometrics 1988, 44, 837–845. [Google Scholar] [CrossRef]
- Zumft, W.G.; Kroneck, P.M. Respiratory transformation of nitrous oxide (N2O) to dinitrogen by Bacteria and Archaea. Adv. Microb. Physiol. 2007, 52, 107–227. [Google Scholar]
- Nadif, R.; Rava, M.; Decoster, B.; Huyvaert, H.; Moual, N.L.; Bousquet, J.; Siroux, V.; Varraso, R.; Pin, I.; Zerimech, F.; et al. Exhaled nitric oxide, nitrite/nitrate levels, allergy, rhinitis and asthma in the EGEA study. Eur. Respir. J. 2014, 44, 351–360. [Google Scholar] [CrossRef]
- Miekisch, W.; Herbig, J.; Schubert, J.K. Data interpretation in breath biomarker research: Pitfalls and directions. J. Breath Res. 2012, 6, 036007. [Google Scholar] [CrossRef]
- Sakumura, Y.; Koyama, Y.; Tokutake, H.; Hida, T.; Sato, K.; Itoh, T.; Akamatsu, T.; Shin, W. Diagnosis by Volatile Organic Compounds in Exhaled Breath from Lung Cancer Patients Using Support Vector Machine Algorithm. Sensors 2017, 17, 287. [Google Scholar] [CrossRef]
- Oguma, T.; Nagaoka, T.; Kurahashi, M.; Kobayashi, N.; Yamamori, S.; Tsuji, C.; Takiguchi, H.; Niimi, K.; Tomomatsu, H.; Tomomatsu, K.; et al. Clinical contributions of exhaled volatile organic compounds in the diagnosis of lung cancer. PLoS ONE 2017, 12, e0174802. [Google Scholar] [CrossRef] [PubMed]
- Sanchez, L.C.; Lucas, M.A.M.; Martin, O.G.; Sanz, J.A.M.; Tejuca, C.C.; Ortega, C.G.; Trigo, G.R.; Esteban, J.J. Observation of nonanoic acid and aldehydes in exhaled breath of patients with lung cancer. J. Breath Res. 2017, 11, 026004. [Google Scholar] [CrossRef] [PubMed]
- Rudnicka, J.; Kowalkowski, T.; Ligor, T.; Buszewski, B. Determination of volatile organic compounds as biomarkers of lung cancer by SPME–GC–TOF/MS and chemometrics. J. Chromatogr. B 2011, 879, 3360–3366. [Google Scholar] [CrossRef]
- Song, G.; Qin, T.; Liu, H.; Xu, G.B.; Pan, Y.Y.; Xiong, F.X.; Gu, K.S.; Sun, G.P.; Chen, Z.D. Quantitative breath analysis of volatile organic compounds of lung cancer patients. Lung Cancer 2010, 67, 227–231. [Google Scholar] [CrossRef]
- Saalberg, Y.; Wolff, M. VOC breath biomarkers in lung cancer. Clin. Chim. Acta 2016, 459, 5–9. [Google Scholar] [CrossRef] [PubMed]
- Ligor, M.; Ligor, T.; Bajtarevic, A.; Ager, C.; Pienz, M.; Klieber, M.; Denz, H.; Fiegl, M.; Hilbe, W.; Weiss, W.; et al. Determination of volatile organic compounds in exhaled breath of patients with lung cancer using solid phase microextraction and gas chromatography mass spectrometry. Clin. Chem. Lab. Med. 2009, 47, 550–560. [Google Scholar] [CrossRef]
- Poli, D.; Carbognani, P.; Corradi, M.; Goldoni, M.; Acampa, O.; Balbi, B.; Bianchi, L.; Rusca, M.; Mutti, A. Exhaled volatile organic compounds in patients with non-small cell lung cancer: Cross sectional and nested short-term follow-up study. Respir. Res. 2005, 6, 71–80. [Google Scholar] [CrossRef]
- Ulanowska, A.; Kowalkowski, T.; Trawińska, E.; Buszewski, B. The application of statistical methods using VOCs to identify patients with lung cancer. J. Breath Res. 2011, 5, 046008. [Google Scholar] [CrossRef]
- Bajtarevic, A.; Ager, C.; Pienz, M.; Klieber, M.; Schwarz, K.; Ligor, M.; Ligor, T.; Filipiak, W.; Denz, H.; Fiegl, M.; et al. Noninvasive detection of lung cancer by analysis of exhaled breath. BMC Cancer 2009, 9, 348. [Google Scholar] [CrossRef]
- Chen, X.; Xu, F.; Wang, Y.; Pan, Y.; Lu, D.; Wang, P.; Ying, K.; Chen, E.; Zhang, W. A study of the volatile organic compounds exhaled by lung cancer cells in vitro for breath diagnosis. Cancer 2007, 110, 835–844. [Google Scholar] [CrossRef] [PubMed]
- Silva, C.; Perestrelo, R.; Silva, P.; Capelinha, F.; Tomás, H.; Câmara, J.S. Volatomic pattern of breast cancer and cancer-free tissues as a powerful strategy to identify potential biomarkers. Analyst 2019, 144, 4153–4161. [Google Scholar] [CrossRef] [PubMed]
- Španěl, P.; Sovová, K.; Dryahina, K.; Doušová, T.; Dřevínek, P.; Smith, D. Acetic acid is elevated in the exhaled breath of cystic fibrosis patients. J. Cyst. Fibros. 2017, 16, e17–e18. [Google Scholar] [CrossRef] [PubMed]
- Smith, D.; Sovová, K.; Dryahina, K.; Doušová, T.; Dřevínek, P.; Španěl, P. Breath concentration of acetic acid vapour is elevated in patients with cystic fibrosis. J. Breath Res. 2016, 10, 021002. [Google Scholar] [CrossRef] [PubMed]
- Sponring, A.; Filipiak, W.; Mikoviny, T.; Ager, C.; Schubert, J.; Miekisch, W.; Amann, A.; Troppmair, J. Release of Volatile Organic Compounds from the Lung Cancer Cell Line NCI-H2087 In Vitro. Anticancer Res. 2009, 29, 419–426. [Google Scholar]
- Bevc, S.; Mohorko, E.; Kolar, M.; Brglez, P.; Holobar, A.; Kniepeiss, D.; Podbregar, M.; Piko, N.; Hojs, N.; Knehtl, M.; et al. Measurement of breath ammonia for detection of patients with chronic kidney disease. Clin. Nephrol. 2017, 88 (Suppl. S1), S14–S17. [Google Scholar] [CrossRef]
- Brannelly, N.T.; Shield, J.P.H.; Killard, A.J. The Measurement of Ammonia in Human Breath and its Potential in Clinical Diagnostics. Crit. Rev. Anal. Chem. 2016, 46, 490–501. [Google Scholar] [CrossRef]
- Hicks, L.C.; Huang, J.; Kumar, S.; Powles, S.T.; Orchard, T.R.; Hanna, G.B.; Williams, H.R.T. Analysis of Exhaled Breath Volatile Organic Compounds in Inflammatory Bowel Disease: A Pilot Study. J. Crohn’s Colitis 2015, 9, 731–737. [Google Scholar] [CrossRef]
- Van den Velde, S.; Quirynen, M.; van Heeb, P.; van Steenberghe, D. Halitosis associated volatiles in breath of healthy subjects. J. Chromatogr. B 2007, 853, 54–61. [Google Scholar] [CrossRef]
- Peled, N.; Hakim, M.; Bunn, P.A., Jr.; Miller, Y.E.; Kennedy, T.C.; Mattei, J.; Mitchell, J.D.; Hirsch, F.R.; Haick, H. Non-invasive breath analysis of pulmonary nodules. J. Thorac. Oncol. 2012, 10, 1528–1533. [Google Scholar] [CrossRef]
- Filipiak, W.; Sponring, A.; Filipiak, A.; Ager, C.; Schubert, J.; Miekisch, W.; Amann, A.; Troppmair, J. TD-GC-MS analysis of volatile metabolites of human lung cancer and normal cells in vitro. Cancer Epidemiol. Biomark. Prev. 2010, 1, 182–195. [Google Scholar] [CrossRef] [PubMed]
- Perbellini, L.; Princivalle, A.; Cerpelloni, M.; Pasini, F.; Brugnone, F. Comparison of breath, blood and urine in biomonitoring of environmental exposure to 1,3-butadiene, 2,5-dimethylfuran and benzene. Int. Arch. Occup. Environ. Health 2003, 76, 461–466. [Google Scholar] [CrossRef] [PubMed]
- Beauchamp, J. Inhaled today, not gone tomorrow: Pharmacokinetics and environmental exposure of volatiles in exhaled breath. J. Breath Res. 2011, 5, 037103. [Google Scholar] [CrossRef] [PubMed]
- Altomare, D.F.; di Lena, M.; Porcelli, F.; Travaglio, E.; Longobardi, F.; Tutino, M.; Depalma, N.; Tedesco, G.; Sardaro, A.; Memeo, R.; et al. Effects of Curative Colorectal Cancer Surgery on Exhaled Volatile Organic Compounds and Potential Implications in Clinical Follow-up. Ann. Surg. 2015, 262, 862–867. [Google Scholar] [CrossRef] [PubMed]
- Di Lena, M.; Porcelli, F.; Altomare, D.F. Volatile organic compounds as new biomarkers for colorectal cancer: A review. Colorectal Dis. 2016, 18, 654–663. [Google Scholar] [CrossRef]
- Leja, M.; Amal, H.; Lasina, I.; Skapars, R.; Sivins, A.; Ancans, G.; Tolmanis, I.; Vanags, A.; Kupcinskas, J.; Ramonaite, R.; et al. Analysis of the effects of microbiome-related confounding factors on the reproducibility of the volatolomic test. J. Breath Res. 2016, 10, 037101. [Google Scholar] [CrossRef]
- Amal, H.; Leja, M.; Funka, K.; Lasina, I.; Skapars, R.; Sivins, A.; Ancans, G.; Kikuste, I.; Vanags, A.; Tolmanis, I.; et al. Breath testing as potential colorectal cancer screening tool. Int. J. Cancer 2016, 138, 229–236. [Google Scholar] [CrossRef]
- Arasaradnam, R.P.; McFarlane, M.J.; Fisher, C.R.; Westenbrink, E.; Hodges, P.; Thomas, M.G.; Chambers, S.; O’Connell, N.; Bailey, C.; Harmston, C.; et al. Detection of colorectal cancer (CRC) by urinary volatile organic compound analysis. PLoS ONE 2014, 9, e108750. [Google Scholar] [CrossRef]
- De Lacy Costello, B.; Ewen, R.; Ewer, A.K.; Garner, C.E.; Probert, C.S.; Ratcliffe, N.M.; Smith, S. An analysis of volatiles in the headspace of the faeces of neonates. J. Breath Res. 2008, 2, 037023. [Google Scholar] [CrossRef]
- De Gennaro, G.; Dragonieri, S.; Longobardi, F.; Musti, M.; Stallone, G.; Trizio, L.; Tutino, M. Chemical characterization of exhaled breath to differentiate between patients with malignant plueral mesothelioma from subjects with similar professional asbestos exposure. Anal. Bioanal. Chem. 2010, 398, 3043–3050. [Google Scholar] [CrossRef]
- Edge, S.B.; Compton, C.C. The American Joint Committee on Cancer: The 7th edition of the AJCC cancer staging manual and the future of TNM. Ann. Surg. Oncol. 2010, 17, 1471–1474. [Google Scholar] [CrossRef] [PubMed]
- Labianca, R.; Nordlinger, B.; Beretta, G.D.; Mosconi, S.; Mandalà, M.; Cervantes, A.; Arnold, D.; ESMO Guidelines Working Group. Early colon cancer: ESMO Clinical Practice Guidelines for diagnosis, treatment and follow-up. Ann. Oncol. 2013, 24 (Suppl. S6), 64–72. [Google Scholar] [CrossRef] [PubMed]
- Hornuss, C.; Praun, S.; Villinger, J.; Dornauer, A.; Moehnle, P.; Dolch, M.; Weninger, E.; Chouker, A.; Feil, C.; Briegel, J.; et al. Real-time monitoring of propofol in expired air in humans undergoing total intravenous anesthesia. Anesthesiology 2007, 106, 665–674. [Google Scholar] [CrossRef] [PubMed]
- Netzer, M.; Millonig, G.; Osl, M.; Pfeifer, B.; Praun, S.; Villinger, J.; Vogel, W.; Baumgartner, C. A new ensemble-based algorithm for identifying breath gas marker candidates in liver disease using ion molecule reaction mass spectrometry (IMR-MS). Bioinformatics 2009, 25, 941–947. [Google Scholar] [CrossRef] [PubMed]
- Goeman, J.J. L1 Penalised estimation in the cox proportional hazards model. Biom. J. 2010, 52, 70–84. [Google Scholar]
- Huang, J.; Ma, S.; Zhang, C. The Iterated Lasso for High-Dimensional Logistic Regression; Technical Report No. 392; Department of Statistics and Actuarial Science, The University of Iowa: Iowa City, IA, USA, 2008. [Google Scholar]
- Zou, H. The adaptive lasso and its Oracle properties. J. Am. Stat. Assoc. 2006, 101, 1418–1429. [Google Scholar] [CrossRef]




| Control Subjects * n = 45 (men = 30) | Patients with Lung Adenocarcinoma n = 36 (men = 21) | Patients with Lung Squamous Cell Carcinoma n = 25 (men = 13) | Patients with Colorectal Cancer n = 52 (men = 24) | |
|---|---|---|---|---|
| Age | ||||
| Men | 64.5 (43–87) | 69.0 (45–80) | 72.5 (55–80) | 66.5 (43–81) |
| Women | 68.0 (44–83) | 62.0 (52–85) | 72.5 (65–86) | 68.5 (44–89) |
| Smoking status | ||||
| Non-smokers | 28 (62.2%) | 3 (8.3%) | 0 | 42 (80.8%) |
| Former smokers | 14 (31.1%) | 5 (13.9%) | 3 (12%) | 6 (11.5) |
| Current smokers | 3 (6.7%) | 28 (77.8%) | 22 (88%) | 4 (7.7) |
| Pack-years | 0 (0–90) | 10 (0–30) | 20 (10–30) | 0 (0–80) |
| Variables | Coefficients | 95% CI * |
|---|---|---|
| Intercept | +0.0307786 | +0.768–+8.541 |
| Age | −0.0002355 | −0.134–+0.000 |
| Acetic Acid | +0.0018644 | +0.000–+0.004 |
| Ammonia (NH3) | −0.0007868 | −0.004–+0.000 |
| M43 | −0.0009794 | −0.005–+0.002 |
| Acetaldehyde | −0.0003237 | −0.001–+0.000 |
| M48 | +0.0179830 | +0.001–+0.384 |
| M62 | +0.0851835 | −0.044–+0.346 |
| M67 | −0.0833412 | −0.272–−0.032 |
| Pentane | +0.0285685 | +0.000–+0.080 |
| M93 | −0.0418881 | −0.183–+0.058 |
| M98 | −0.0065165 | −0.020–+0.057 |
| M103 | +0.0161747 | −0.312–+0.044 |
| Predicted Probability | Sensitivity in ADK Lung Cases (n = 36) | Specificity in Overall Controls (n = 45) |
|---|---|---|
| 0.1730204 | 100.00% (36) | 48.89% (22) |
| 0.1791286 | 97.22% (35) | 51.11% (23) |
| 0.2633279 | 94.44% (34) | 71.11% (32) |
| 0.3165469 | 91.67% (33) | 73.33% (33) |
| 0.3633479 | 88.89% (32) | 77.78% (35) |
| 0.3929707 | 86.11% (31) | 84.44% (38) |
| Acetic Acid | Ammonia (NH3) | M43 | Acetaldehyde | M48 | M62 | M67 | Pentane | M93 | M98 | M103 | |
|---|---|---|---|---|---|---|---|---|---|---|---|
| Control subjects | |||||||||||
| Median | 1124.0 | 160.6 | 1193.0 | 818.0 | 6.8 | 8.7 | 34.4 | 64.3 | 31.9 | 58.4 | 4.2 |
| Arithmetic mean | 1336.8 | 602.3 | 1430.5 | 1976.1 | 7.8 | 9.2 | 35.9 | 64.5 | 35.7 | 67.1 | 7.1 |
| Range | 402.5–3742.7 | 52.1–6375.2 | 606.5–6938.6 | 202.2–9423.5 | 3.0–17.3 | 2.7–19.9 | 12.5–75.5 | 29.5–130.2 | 6.3–299.6 | 23.2–256.9 | 1.3–31.7 |
| Patients with lung adenocarcinoma | |||||||||||
| Median | 1872.8 | 173.6 | 927.9 | 580.2 | 6.3 | 8.9 | 27.2 | 78.8 | 24.2 | 62.6 | 6.1 |
| Arithmetic mean | 1855.5 | 171.1 | 1071.5 | 1901.1 | 11.6 | 10.5 | 28.6 | 85.6 | 26.9 | 65.0 | 14.4 |
| Range | 376.1–3999.2 | 32.6–384.4 | 284.5–2773.8 | 105.5–11,089.2 | 1.6–199.3 | 1.9–31.1 | 4.0–52.1 | 37.4–188.0 | 4.4–92.5 | 26.3–135.4 | 0.6–131.6 |
| Variables | Coefficients | 95% CI * |
|---|---|---|
| Intercept | −6.8203051 | −8.816–−0.266 |
| Sex | 2.0805581 | +0.311–+2.933 |
| Age | 0.0489415 | +0.000–+0.075 |
| Acetic Acid | 0.0009828 | +0.000–+0.002 |
| Ammonia (NH3) | −0.0004396 | −0.001–+0.000 |
| M43 | −0.0003079 | −0.001–+0.000 |
| Acetaldehyde | −0.0001551 | −0.0005–+0.000 |
| M48 | −0.0513673 | −0.357–+0.000 |
| 1,3-Butadiene | 0.0215291 | −0.116–+0.038 |
| M74 | 0.0247382 | +0.000–+0.065 |
| M105 | 0.1281680 | −0.118–+0.153 |
| M121 | −0.2698088 | −0.247–+0.000 |
| Predicted Probability | Sensitivity in KSQ Lung Cases (n = 25) | Specificity in Overall Controls (n = 45) |
|---|---|---|
| 0.0427018 | 100.00% (25) | 28.89% (13) |
| 0.1533398 | 96.00% (24) | 60.00% (27) |
| 0.3268180 | 92.00% (23) | 80.00% (36) |
| 0.3502457 | 88.00% (22) | 84.44% (38) |
| Acetic Acid | Ammonia (NH3) | M43 | Acetaldehyde | M48 | 1.3-Butadiene | M74 | M105 | M121 | |
|---|---|---|---|---|---|---|---|---|---|
| Control subjects | |||||||||
| Median | 1124.0 | 160.6 | 1193.0 | 818.0 | 6.8 | 10.9 | 23.4 | 9.4 | 3.7 |
| Arithmetic mean | 1336.8 | 602.3 | 1430.5 | 1976.1 | 7.8 | 11.8 | 31.6 | 9.9 | 5.1 |
| Range | 402.5–3742.7 | 52.1–6375.2 | 606.5–6938.6 | 202.2–9423.5 | 3.0–17.3 | 3.2–25.6 | 9.7–90.7 | 3.7–25.9 | 1.1–23.5 |
| Patients with lung squamous cell carcinoma | |||||||||
| Median | 2119.7 | 219.9 | 1260.8 | 1362.2 | 6.4 | 13.6 | 37.8 | 11.1 | 4.5 |
| Arithmetic mean | 2627.4 | 276.2 | 1599.1 | 2120.2 | 8.1 | 27.6 | 58.9 | 15.2 | 5.1 |
| Range | 478.9–8398.6 | 42.7–947.4 | 350.6–7699.2 | 116.7–9456.8 | 2.0–26.8 | 3.2–255.1 | 9.8–231.8 | 5.3–57.3 | 1.5–10.2 |
| Predicted Probability | Sensitivity in Lung Cancer Cases (n = 61) | Specificity in Overall Controls (n = 45) |
|---|---|---|
| 0.2023985 | 100.00% (61) | 33.33% (15) |
| 0.2269116 | 98.36% (60) | 40.00% (18) |
| 0.3327646 | 96.72% (59) | 60.00% (27) |
| 0.3458832 | 95.08% (58) | 62.22% (28) |
| 0.3995484 | 93.44% (57) | 64.44% (29) |
| 0.4249765 | 90.16% (55) | 68.89% (31) |
| 0.4429406 | 88.52% (54) | 73.33% (33) |
| 0.4653800 | 86.89% (53) | 75.56% (34) |
| 0.4811265 | 85.25% (52) | 77.78% (35) |
| 0.4998874 | 83.61% (51) | 80.00% (36) |
| Variables | Coefficients | 95% C.I. * |
|---|---|---|
| Intercept | +22.1958604 | +11.232–+32.608 |
| Sex | −3.3337238 | −5.149–−0.257 |
| Age | −0.1922859 | −0.328–−0.024 |
| Methane | +0.3596812 | +0.000–+1.162 |
| Acetic Acid | −0.0012951 | −0.003–+0.000 |
| Ammonia | −0.0058067 | −0.008–+0.000 |
| Acetaldehyde | +0.0002347 | 0.000–+0.000 |
| M47 | +0.2469311 | +0.000–+0.760 |
| 1,3-Butadiene | −0.0163303 | −0.105–+0.000 |
| M67 | −0.0061998 | −0.086–+0.000 |
| M74 | −0.0294491 | −0.059–+0.000 |
| M99 | −0.0591310 | −0.187–+0.000 |
| M109 | −0.1435140 | −0.306–+0.000 |
| M120 | +0.8725725 | +0.000–+1.436 |
| M123 | −0.0316772 | −0.129–+0.000 |
| Predicted Probability | Sensitivity in Lung Adenocarcinoma Cases (n = 36) | Sensitivity in Squamous Cell Carcinoma Cases (n = 28) |
|---|---|---|
| 0.2556554 | 100.00% (36) | 71.43% (20) |
| 0.4313545 | 97.22% (35) | 85.71% (24) |
| 0.5177129 | 94.44% (34) | 89.29% (25) |
| 0.5752254 | 91.67% (33) | 92.86% (26) |
| 0.5956354 | 88.89% (32) | 96.43% (27) |
| 0.7448977 | 75.00% (27) | 100.00% (28) |
| Variables | Coefficients | 95% CI * |
|---|---|---|
| Intercept | −2.737 | −8.821–+6.131 |
| Sex | +0.8569 | +0.000–+1.952 |
| Age | +0.008 | −7.881 × 10−4–+0.084 |
| Dinitrogen Oxide (N2O) | +8.700 × 10−5 | −4.721 × 10−4–+0.002 |
| Nitrous Acid (HNO2) | −0.026 | −1.029–+0.000 |
| Acetic Acid | −5.426 × 10−4 | −0.027–+0.000 |
| M19 | −0.002 | −4.165 × 10−3–+0.000 |
| M33 | +0.009 | +0.000–+0.483 |
| M43 | +3.467 × 10−4 | +0.000–+0.002 |
| 1,3-Butadiene | +0.004 | −0.228–+1.387 |
| M67 | +0.029 | +0.000–+0.049 |
| M74 | +0.0172 | +1.751 × 10−3–+1.289 |
| M75 | −0.0833 | −2.934–−0.015 |
| M91 | +0.103 | +0.000–+0.159 |
| M106 | +0.027 | +0.000–+1.545 |
| M120 | −0.0917 | −7.893–+0.000 |
| Predicted Probability | Sensitivity in Colon Adenocarcinoma Cases (n = 52) | Specificity in Overall Controls (n = 45) |
|---|---|---|
| 0.2321 | 100.00% (52) | 35.56% (16) |
| 0.3786 | 96.15% (50) | 73.33% (33) |
| 0.4125 | 92.31% (48) | 75.56% (34) |
| 0.4824 | 90.38% (47) | 82.22% (37) |
| 0.4988 | 88.46% (46) | 84.44% (38) |
| N2O | HNO2 | Acetic Acid | M19 | M33 | M43 | 1.3-Butadiene | M67 | M74 | M75 | M91 | M106 | M120 | |
|---|---|---|---|---|---|---|---|---|---|---|---|---|---|
| Control subjects | |||||||||||||
| Median | 6438.0 | 21.3 | 1124.0 | 350.4 | 46.1 | 1193.0 | 10.9 | 34.4 | 23.4 | 6.7 | 6.7 | 9.4 | 3.2 |
| Arithmetic mean | 6311.9 | 25.6 | 1336.8 | 623.2 | 51.8 | 1430.5 | 11.8 | 35.9 | 31.6 | 13.5 | 9.0 | 11.2 | 3.9 |
| Range | 2323.5–11,934.3 | 10.1–70.7 | 402.5–3742.7 | 84.3–1953.8 | 8.0–200.6 | 606.5–6938.6 | 3.2–25.6 | 12.5–75.5 | 9.7–90.7 | 1.7–101.4 | 2.2–35.3 | 3.9–37.6 | 0.6–19.4 |
| Patients with Colon Adenocarcinoma | |||||||||||||
| Median | 7306.1 | 23.2 | 1015.1 | 590.0 | 55.5 | 1650.7 | 12.3 | 39.1 | 17.2 | 3.8 | 13.3 | 8.0 | 2.1 |
| Arithmetic mean | 7183.9 | 24.3 | 1155.9 | 708.7 | 81.1 | 1906.7 | 16.3 | 42.9 | 46.9 | 8.7 | 14.9 | 20.3 | 3.2 |
| Range | 3985.6–11,263.5 | 10.0–58.5 | 433.4–2302.8 | 102.8–3443.9 | 6.5 -296.8 | 715.5–5582.1 | 1.8–177.3 | 16.5–117.7 | 5.8–460.2 | 0.6–53.0 | 0.6–38.9 | 3.0–116.8 | 0.2–12.1 |
| Sakumura et al. [32] | hydrogen cyanide, methanol, acetonitrile, isoprene, 1-propanol |
|---|---|
| Oguma et al. [33] | cyclohexane and xylene |
| Callol-Sanchez et al. [34] | nonanoic acid |
| Schallschmidt et al. [25] | some aldehydes, 2-butanone and 1-butanol. |
| Rudnicka et al. [35] | propane, carbon disulfide, 2-propenal, ethylbenzene and isopropyl alcohol |
| Song et al. [36] | 1-butanol and 3-hydroxy-2-butanone |
Publisher’s Note: MDPI stays neutral with regard to jurisdictional claims in published maps and institutional affiliations. |
© 2021 by the authors. Licensee MDPI, Basel, Switzerland. This article is an open access article distributed under the terms and conditions of the Creative Commons Attribution (CC BY) license (http://creativecommons.org/licenses/by/4.0/).
Share and Cite
Politi, L.; Monasta, L.; Rigressi, M.N.; Princivalle, A.; Gonfiotti, A.; Camiciottoli, G.; Perbellini, L. Discriminant Profiles of Volatile Compounds in the Alveolar Air of Patients with Squamous Cell Lung Cancer, Lung Adenocarcinoma or Colon Cancer. Molecules 2021, 26, 550. https://doi.org/10.3390/molecules26030550
Politi L, Monasta L, Rigressi MN, Princivalle A, Gonfiotti A, Camiciottoli G, Perbellini L. Discriminant Profiles of Volatile Compounds in the Alveolar Air of Patients with Squamous Cell Lung Cancer, Lung Adenocarcinoma or Colon Cancer. Molecules. 2021; 26(3):550. https://doi.org/10.3390/molecules26030550
Chicago/Turabian StylePoliti, Leonardo, Lorenzo Monasta, Maria Novella Rigressi, Andrea Princivalle, Alessandro Gonfiotti, Gianna Camiciottoli, and Luigi Perbellini. 2021. "Discriminant Profiles of Volatile Compounds in the Alveolar Air of Patients with Squamous Cell Lung Cancer, Lung Adenocarcinoma or Colon Cancer" Molecules 26, no. 3: 550. https://doi.org/10.3390/molecules26030550
APA StylePoliti, L., Monasta, L., Rigressi, M. N., Princivalle, A., Gonfiotti, A., Camiciottoli, G., & Perbellini, L. (2021). Discriminant Profiles of Volatile Compounds in the Alveolar Air of Patients with Squamous Cell Lung Cancer, Lung Adenocarcinoma or Colon Cancer. Molecules, 26(3), 550. https://doi.org/10.3390/molecules26030550

