Synthesis of Chiral Helic[1]triptycene[3]arenes and Their Enantioselective Recognition towards Chiral Guests Containing Aminoindan Groups
Abstract
1. Introduction
2. Results and Discussion
2.1. Synthesis and Structures
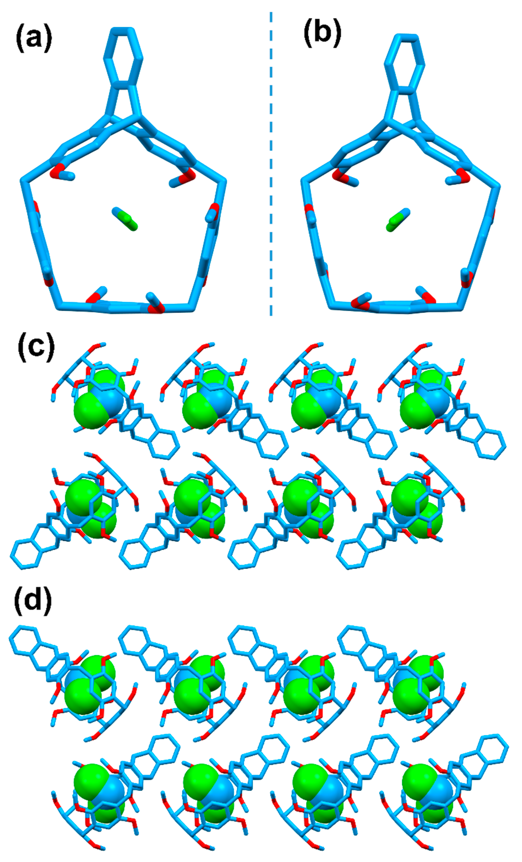
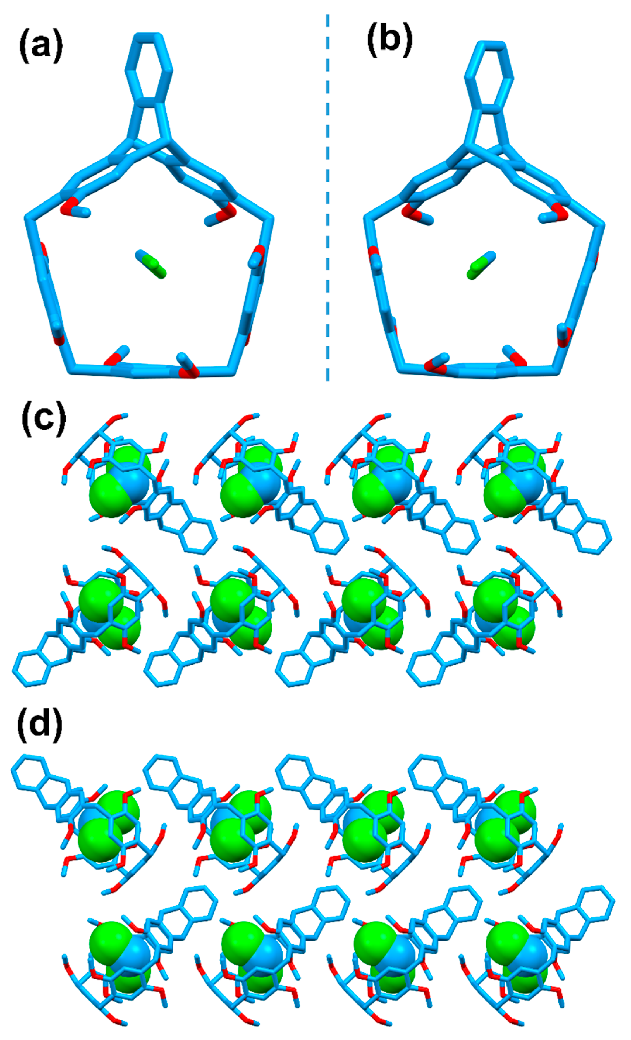
2.2. Crystal Structures
2.3. Enantioselective Recognition Ability of the Macrocyclic Hosts towards Ammonium Salts
2.4. DFT and IGM Analyses of Complexes P-H·R-G1 and P-H·S-G1
3. Conclusions
4. Materials and Methods
4.1. General Methods
4.2. General Synthesis Procedure for the Hosts
4.3. General Synthesis Procedure for the Guests
4.4. Characterization Data
Supplementary Materials
Author Contributions
Funding
Informed Consent Statement
Data Availability Statement
Conflicts of Interest
References
- Rascol, O.; Brooks, D.J.; Melamed, E.; Oertel, W.; Poewe, W.; Stocchi, F.; Tolosa, E.; LARGO Study Group. Rasagiline as an adjunct to levodopa in patients with Parkinson’s disease and motor fluctuations (LARGO, Lasting effect in Adjunct therapy with Rasagiline Given Once daily, study): A randomised, double-blind, parallel-group trial. Lancet 2005, 365, 947–954. [Google Scholar] [CrossRef]
- Hubálek, F.; Binda, C.; Li, M.; Herzig, Y.; Sterling, J.; Youdim, M.B.H.; Mattevi, A.; Edmondson, D.E. Inactivation of purified human recombinant monoamine oxidases A and B by rasagiline and its analogues. J. Med. Chem. 2004, 47, 1760–1766. [Google Scholar] [CrossRef] [PubMed]
- Tak, K.M.; Park, E.J.; Hyun, M.H. Liquid chromatographic resolution of racemic rasagiline and its analogues on a chiral stationary phase based on (+)-(18-crown-6)-2,3,11,12-tetracarboxylic acid. J. Sep. Sci. 2013, 36, 3682–3687. [Google Scholar] [CrossRef] [PubMed]
- Chen, C.-F.; Han, Y. Triptycene-derived macrocyclic arenes: From calixarenes to helicarenes. Acc. Chem. Res. 2018, 51, 2093–2106. [Google Scholar] [CrossRef] [PubMed]
- Shu, X.; Chen, S.; Li, J.; Chen, Z.; Weng, L.; Jia, X.; Li, C. Highly effective binding of neutral dinitriles by simple pillar[5]arenes. Chem. Commun. 2012, 48, 2967–2969. [Google Scholar] [CrossRef]
- Guo, D.-S.; Liu, Y. Supramolecular chemistry of p-sulfonatocalix[n]arenes and its biological applications. Acc. Chem. Res. 2014, 47, 1925–1934. [Google Scholar] [CrossRef]
- Ma, X.; Zhao, Y. Biomedical applications of supramolecular systems based on host-guest interactions. Chem. Rev. 2015, 115, 7794–7839. [Google Scholar] [CrossRef]
- Gui, J.-C.; Yan, Z.-Q.; Peng, Y.; Yi, J.-G.; Zhou, D.-Y.; Su, D.; Zhong, Z.-H.; Gao, G.-W.; Wu, W.-H.; Yang, C. Enhanced head-to-head photodimers in the photocyclodimerization of anthracenecarboxylic acid with a cationic pillar[6]arene. Chin. Chem. Lett. 2016, 27, 1017–1021. [Google Scholar] [CrossRef]
- Li, J.; Shi, Q.; Han, Y.; Chen, C.-F. Complexation of 2,6-helic[6]arene and its derivatives with 1,1′-dimethyl-4,4′-bipyridinium salts and protonated 4,4′-bipyridinium salts: An acid–base controllable complexation. Beilstein J. Org. Chem. 2019, 15, 1795–1804. [Google Scholar] [CrossRef]
- Han, X.-N.; Han, Y.; Chen, C.-F. Pagoda[4]arene and i-pagoda[4]arene. J. Am. Chem. Soc. 2020, 142, 8262–8269. [Google Scholar] [CrossRef]
- Avestro, A.-J.; Belowicha, M.E.; Stoddart, J.F. Cooperative self-assembly: Producing synthetic polymers with precise and concise primary structures. Chem. Soc. Rev. 2012, 41, 5881–5895. [Google Scholar] [CrossRef] [PubMed]
- Kakuta, T.; Yamagishi, T.-A.; Ogoshi, T. Stimuli-responsive supramolecular assemblies constructed from pillar[n]arenes. Acc. Chem. Res. 2018, 51, 1656–1666. [Google Scholar] [CrossRef] [PubMed]
- Dong, S.; Yuan, J.; Huang, F. A pillar[5]arene/imidazolium [2]rotaxane: Solvent- and thermo-driven molecular motions and supramolecular gel formation. Chem. Sci. 2013, 5, 247–252. [Google Scholar] [CrossRef]
- Wang, S.; Xu, Z.; Wang, T.; Xiao, T.; Hu, X.-Y.; Shen, Y.-Z.; Wang, L. Warm/cool-tone switchable thermochromic material for smart windows by orthogonally integrating properties of pillar[6]arene and ferrocene. Nat. Commun. 2018, 9, 1737. [Google Scholar] [CrossRef]
- Jie, K.; Zhou, Y.; Li, E.; Huang, F. Nonporous adaptive crystals of pillararenes. Acc. Chem. Res. 2018, 51, 2064–2072. [Google Scholar] [CrossRef]
- Wang, Y.; Xu, K.; Li, B.; Cui, L.; Li, J.; Jia, X.; Zhao, H.; Fang, J.; Li, C. Efficient separation of cis- and trans-1,2-dichloroethene isomers by adaptive biphen[3]arene crystals. Angew. Chem. Int. Ed. 2019, 58, 10281–10284. [Google Scholar] [CrossRef]
- Li, J.; Han, Y.; Chen, C.-F. Recent advances in novel macrocyclic arenes. Chin. J. Org. Chem. 2020, 40, 3714. [Google Scholar] [CrossRef]
- Ogoshi, T.; Kayama, H.; Yamafuji, D.; Aoki, T.; Yamagishi, T.A. Supramolecular polymers with alternating pillar[5]arene and pillar[6]arene units from a highly selective multiple host–guest complexation system and monofunctionalized pillar[6]arene. Chem. Sci. 2012, 3, 3221–3226. [Google Scholar] [CrossRef]
- Yu, G.; Han, C.; Zhang, Z.; Chen, J.; Yan, X.; Zheng, B.; Liu, S.; Huang, F. Pillar[6]arene-based photoresponsive host−guest complexation. J. Am. Chem. Soc. 2012, 134, 8711–8717. [Google Scholar] [CrossRef]
- Li, C.; Shu, X.; Li, J.; Fan, J.; Chen, Z.; Weng, L.; Jia, X. Selective and effective binding of pillar[5,6]arenes toward secondary ammonium salts with a weakly coordinating counteranion. Org. Lett. 2012, 14, 4126–4129. [Google Scholar] [CrossRef]
- Shi, Q.; Han, Y.; Chen, C.-F. Complexation between (O-methyl)6-2,6-helic[6]arene and tertiary ammonium salts: Acid/base- or chloride-ion-responsive host–guest systems and synthesis of [2]rotaxane. Chem. Asian J. 2017, 12, 2576–2582. [Google Scholar] [CrossRef] [PubMed]
- Zhang, G.-W.; Li, P.-F.; Wang, H.-X.; Han, Y.; Chen, C.-F. Complexation of racemic 2,6-helic[6]arene and its hexamethyl substituted derivative with quaternary ammonium salts, N-heterocyclic salts, and tetracyanoquinodimethane. Chem. Eur. J. 2017, 23, 3735–3742. [Google Scholar] [CrossRef] [PubMed]
- Zhang, G.-W.; Li, P.; Meng, Z.; Wang, H.-X.; Han-Xiao, W.; Chen, C.-F. Triptycene-based chiral macrocyclic hosts for highly enantioselective recognition of chiral guests containing a trimethylamino group. Angew. Chem. Int. Ed. 2016, 55, 5304–5308. [Google Scholar] [CrossRef] [PubMed]
- Li, J.; Han, X.-N.; Zhou, H.-Y.; Han, Y.; Chen, C.-F. Helic[1]triptycene[3]arene: Synthesis, complexation, and formation of [2]rotaxane shuttle. J. Org. Chem. 2020, 85, 11465–11474. [Google Scholar] [CrossRef]
- Witiak, D.T.; Loper, J.T.; Ananthan, S.; Almerico, A.M.; Verhoef, V.L.; Filppi, J.A. Mono and bis(bioreductive) alkylating agents: Synthesis and antitumor activities in a B16 melanoma model. J. Med. Chem. 1989, 32, 1636–1642. [Google Scholar] [CrossRef]
- Thordarson, P. Determining association constants from titration experiments in supramolecular chemistry. Chem. Soc. Rev. 2010, 40, 1305–1323. [Google Scholar] [CrossRef]
- Frisch, M.J.; Trucks, G.W.; Schlegel, H.B.; Scuseria, G.E.; Robb, M.A.; Cheeseman, J.R.; Scalmani, G.; Barone, V.; Mennucci, B.; Petersson, G.A.; et al. Gaussian 09, Revision A.02; Gaussian, Inc.: Wallingford, CT, USA, 2009. [Google Scholar]
- Castellano, R.K. Progress toward understanding the nature and function of C-H…O interactions. Curr. Org. Chem. 2004, 8, 845–865. [Google Scholar] [CrossRef]
- Lu, T.; Chen, F. Multiwfn: A multifunctional wavefunction analyzer. J. Comput. Chem. 2012, 33, 580–592. [Google Scholar] [CrossRef]









| P-H | M-H | |||
|---|---|---|---|---|
| Guests | Ka M−1 | KR/KS | Ka M−1 | KR/KS |
| R-G1 1 | (7.63 ± 0.75) × 103 | 3.89/1 | (2.10 ± 0.20) ×103 | 1/3.28 |
| S-G1 1 | (1.96 ± 0.18) × 103 | (6.98 ± 0.67) ×103 | ||
| R-G2 2 | (3.44 ± 0.32) ×102 | 1.61/1 | (2.06 ± 0.19) ×102 | 1/1.40 |
| S-G2 2 | (2.14 ± 0.19) × 102 | (2.88 ± 0.27) ×102 | ||
Publisher’s Note: MDPI stays neutral with regard to jurisdictional claims in published maps and institutional affiliations. |
© 2021 by the authors. Licensee MDPI, Basel, Switzerland. This article is an open access article distributed under the terms and conditions of the Creative Commons Attribution (CC BY) license (http://creativecommons.org/licenses/by/4.0/).
Share and Cite
Li, J.; Han, Y.; Chen, C.-F. Synthesis of Chiral Helic[1]triptycene[3]arenes and Their Enantioselective Recognition towards Chiral Guests Containing Aminoindan Groups. Molecules 2021, 26, 536. https://doi.org/10.3390/molecules26030536
Li J, Han Y, Chen C-F. Synthesis of Chiral Helic[1]triptycene[3]arenes and Their Enantioselective Recognition towards Chiral Guests Containing Aminoindan Groups. Molecules. 2021; 26(3):536. https://doi.org/10.3390/molecules26030536
Chicago/Turabian StyleLi, Jing, Ying Han, and Chuan-Feng Chen. 2021. "Synthesis of Chiral Helic[1]triptycene[3]arenes and Their Enantioselective Recognition towards Chiral Guests Containing Aminoindan Groups" Molecules 26, no. 3: 536. https://doi.org/10.3390/molecules26030536
APA StyleLi, J., Han, Y., & Chen, C.-F. (2021). Synthesis of Chiral Helic[1]triptycene[3]arenes and Their Enantioselective Recognition towards Chiral Guests Containing Aminoindan Groups. Molecules, 26(3), 536. https://doi.org/10.3390/molecules26030536

