Synthesis of Epoxy Methacrylate Resin and Coatings Preparation by Cationic and Radical Photocrosslinking
Abstract
:1. Introduction
2. Results and Discussion
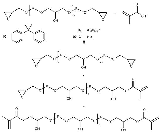
2.1. Synthesis Parameters and Properties of Obtained Epoxy Methacrylate Resin
2.2. The Photocuring of the Epoxy Methacrylate Pre-Polymers
2.3. The Cationic and Radical Photopolymerization of Epoxy Methacrylates
3. Materials and Methods
3.1. Materials
3.2. Synthesis of Hybrid Oligomer Based on the Epoxy Methacrylate Resin
3.3. Characterization and Performance Evaluation
3.4. Preparation of Coating Compositions and Cured Films
3.5. Characteristics of the Photopolymerization Process and Properties of Cured Coatings
4. Conclusions
Supplementary Materials
Author Contributions
Funding
Institutional Review Board Statement
Informed Consent Statement
Data Availability Statement
Conflicts of Interest
Sample Availability
References
- Launikitis, M.B. Vinyl Ester Resins. In Handbook of Composites; Springer US: Boston, MA, USA, 1982; pp. 38–49. [Google Scholar]
- Jaswal, S.; Gaur, B. New trends in vinyl ester resins. Rev. Chem. Eng. 2014, 30, 567–581. [Google Scholar] [CrossRef]
- Kandelbauer, A.; Tondi, G.; Zaske, O.C.; Goodman, S.H. Unsaturated Polyesters and Vinyl Esters. In Handbook of Thermoset Plastics; Elsevier Inc.: Amsterdam, The Netherlands, 2014; pp. 111–172. [Google Scholar]
- Siva, P.; Varma, I.K.; Patel, D.M.; Sinha, T.J.M. Effect of structure on properties of vinyl ester resins. Bull. Mater. Sci. 1994, 17, 1095–1101. [Google Scholar] [CrossRef]
- Jackson, R.J. Thickenable Thermosetting Vinyl Ester Resins. U.S. Patent 4,197,390A, 22 February 1979. [Google Scholar]
- Wu, Y.; Fei, M.; Qiu, R.; Liu, W.; Qiu, J. A Review on Styrene Substitutes in Thermosets and Their Composites. Polymers 2019, 11, 1815. [Google Scholar] [CrossRef] [Green Version]
- Yadav, S.K.; Schmalbach, K.M.; Kinaci, E.; Stanzione, J.F.; Palmese, G.R. Recent advances in plant-based vinyl ester resins and reactive diluents. Eur. Polym. J. 2018, 98, 199–215. [Google Scholar] [CrossRef]
- Scott, T.F.; Cook, W.D.; Forsythe, J.S. Photo-DSC cure kinetics of vinyl ester resins. I. Influence of temperature. Polymer 2002, 43, 5839–5845. [Google Scholar] [CrossRef]
- Andrzejewska, E. Photopolymerization kinetics of multifunctional monomers. Prog. Polym. Sci. 2001, 26, 605–665. [Google Scholar] [CrossRef]
- Park, Y.J.; Lim, D.H.; Kim, H.J.; Park, D.S.; Sung, I.K. UV- and thermal-curing behaviors of dual-curable adhesives based on epoxy acrylate oligomers. Int. J. Adhes. Adhes. 2009, 29, 710–717. [Google Scholar] [CrossRef]
- Atia, A.A.; Donia, A.M.; Elwakeel, K.Z. Selective separation of mercury (II) using a synthetic resin containing amine and mercaptan as chelating groups. React. Funct. Polym. 2005, 65, 267–275. [Google Scholar] [CrossRef]
- Atia, A.A.; Donia, A.M.; Elwakeel, K.Z. Adsorption behaviour of non-transition metal ions on a synthetic chelating resin bearing iminoacetate functions. Sep. Purif. Technol. 2005, 43, 43–48. [Google Scholar] [CrossRef]
- Donia, A.M.; Atia, A.A.; Elwakeel, K.Z. Gold(III) recovery using synthetic chelating resins with amine, thio and amine/mercaptan functionalities. Sep. Purif. Technol. 2005, 42, 111–116. [Google Scholar] [CrossRef]
- Elwakeel, K.Z.; Rekaby, M. Efficient removal of Reactive Black 5 from aqueous media using glycidyl methacrylate resin modified with tetraethelenepentamine. J. Hazard. Mater. 2011, 188, 10–18. [Google Scholar] [CrossRef]
- Yildiz, Z.; Gungor, A.; Onen, A.; Usta, I. Synthesis and characterization of dual-curable epoxyacrylates for polyester cord/rubber applications. J. Ind. Text. 2016, 46, 596–610. [Google Scholar] [CrossRef]
- Su, Y.C.; Cheng, L.P.; Cheng, K.C.; Don, T.M. Synthesis and characterization of UV-and thermo-curable difunctional epoxyacrylates. Mater. Chem. Phys. 2012, 132, 540–549. [Google Scholar] [CrossRef]
- Kardar, P.; Ebrahimi, M.; Bastani, S. Study the effect of nano-alumina particles on physical-mechanical properties of UV cured epoxy acrylate via nano-indentation. Prog. Org. Coat. 2008, 62, 321–325. [Google Scholar] [CrossRef]
- Biswas, K.; Gilmer, D.; Ghezawi, N.; Cao, P.F.; Saito, T. Demonstration of self-healing barrier films for vacuum insulation panels. Vacuum 2019, 164, 132–139. [Google Scholar] [CrossRef]
- Bednarczyk, P.; Irska, I.; Gziut, K.; Ossowicz-Rupniewska, P. Novel Multifunctional Epoxy (Meth)Acrylate Resins and Coatings Preparation via Cationic and Free-Radical Photopolymerization. Polymers 2021, 13, 1718. [Google Scholar] [CrossRef] [PubMed]
- Bajpai, M.; Shukla, V.; Kumar, A. Film performance and UV curing of epoxy acrylate resins. Prog. Org. Coat. 2002, 44, 271–278. [Google Scholar] [CrossRef]
- Cho, C.H.; Son, I.; Yoo, J.Y.; Kim, J.H.; Lee, B.; Moon, G.; Lee, E.; Lee, J.H. New UV/heat dual-curable sealant containing acrylate-epoxy hybrid resin for highly adhesive liquid crystal device. Mol. Cryst. Liq. Cryst. 2019, 678, 84–90. [Google Scholar] [CrossRef]
- Feng, Y.; Hu, J.; Wang, F.; Huang, Q.; Peng, C.; Xu, Z. Synthesizing promising epoxy acrylate prepolymers applied in ultraviolet cured adhesives based on esterification reaction. Mater. Res. Express 2018, 5, 065321. [Google Scholar] [CrossRef]
- Bayramoǧlu, G.; Kahraman, M.V.; Kayaman-Apohan, N.; Güngör, A. Synthesis and characterization of UV-curable dual hybrid oligomers based on epoxy acrylate containing pendant alkoxysilane groups. Prog. Org. Coat. 2006, 57, 50–55. [Google Scholar] [CrossRef]
- Yan, R.; Yang, D.; Zhang, N.; Zhao, Q.; Liu, B.; Xiang, W.; Sun, Z.; Xu, R.; Zhang, M.; Hu, W. Performance of UV curable lignin based epoxy acrylate coatings. Prog. Org. Coat. 2018, 116, 83–89. [Google Scholar] [CrossRef]
- Fischer, J.; Ritter, H. Oligomeric epoxide–amine adducts based on 2-amino- N -isopropylacetamide and α-amino-ε-caprolactam: Solubility in presence of cyclodextrin and curing properties. Beilstein J. Org. Chem. 2013, 9, 2803–2811. [Google Scholar] [CrossRef] [Green Version]
- Chowdhury, R.A.; Hosur, M.V.; Nuruddin, M.; Tcherbi-Narteh, A.; Kumar, A.; Boddu, V.; Jeelani, S. Self-healing epoxy composites: Preparation, characterization and healing performance. J. Mater. Res. Technol. 2015, 4, 33–43. [Google Scholar] [CrossRef] [Green Version]
- González, M.G.; Cabanelas, J.C.; Baselga, J. Applications of FTIR on Epoxy Resins—Identification, Monitoring the Curing Process, Phase Separation and Water Uptake. In Infrared Spectroscopy—Materials Science, Engineering and Technology; InTech: London, UK, 2012. [Google Scholar]
- Asman, S.; Mohamad, S.; Sarih, N.M. Exploiting F-Cyclodextrin in molecular imprinting for achieving recognition of benzylparaben in aqueous media. Int. J. Mol. Sci. 2015, 16, 3656–3676. [Google Scholar] [CrossRef]
- Yanti, W.; Nurhayati, T.; Royani, I.; Widayani; Khairurrujal. Synthesis and characterization of MAA-based molecularly-imprinted polymer (MIP) with D-glucose template. J. Phys. Conf. Ser. 2016, 739, 012143. [Google Scholar] [CrossRef] [Green Version]
- Arbain, N.H.; Salimon, J. Synthesis And Characterization Of Ester Trimethylolpropane Based Jatropha Curcas Oil As Biolubricant Base Stocks. J. Sci. Technol. 2010, 2, 47–58. [Google Scholar]
- Wu, Z.; Li, S.; Liu, M.; Wang, Z.; Liu, X. Liquid oxygen compatible epoxy resin: Modification and characterization. RSC Adv. 2015, 5, 11325–11333. [Google Scholar] [CrossRef]
- Park, C.H.; Lee, S.W.; Park, J.W.; Kim, H.J. Preparation and characterization of dual curable adhesives containing epoxy and acrylate functionalities. React. Funct. Polym. 2013, 73, 641–646. [Google Scholar] [CrossRef]
- Bednarczyk, P.; Mozelewska, K.; Nowak, M.; Czech, Z. Photocurable Epoxy Acrylate Coatings Preparation by Dual Cationic and Radical Photocrosslinking. Materials 2021, 14, 4150. [Google Scholar] [CrossRef] [PubMed]
- Nowak, D.; Ortyl, J.; Kamińska-Borek, I.; Kukuła, K.; Topa, M.; Popielarz, R. Photopolymerization of hybrid monomers: Part I: Comparison of the performance of selected photoinitiators in cationic and free-radical polymerization of hybrid monomers. Polym. Test. 2017, 64, 313–320. [Google Scholar] [CrossRef]
- Yin, B.; Zhang, J. A novel photocurable modified epoxy resin for high heat resistance coatings. Colloid Polym. Sci. 2020, 298, 1303–1312. [Google Scholar] [CrossRef]
- Decker, C.; Masson, F.; Schwalm, R. Dual-Curing of Waterborne Urethane-Acrylate Coatings by UV and Thermal Processing. Macromol. Mater. Eng. 2003, 288, 17–28. [Google Scholar] [CrossRef]
- Duran, H.; Meng, S.; Kim, N.; Hu, J.; Kyu, T.; Natarajan, L.V.; Tondiglia, V.P.; Bunning, T.J. Kinetics of photopolymerization-induced phase separation and morphology development in mixtures of a nematic liquid crystal and multifunctional acrylate. Polymer 2008, 49, 534–545. [Google Scholar] [CrossRef]









| Sample | Tack-Free Time (s) | Hardness (s) | Scratchability (N) | Gloss (GU) | Yellowness Index |
|---|---|---|---|---|---|
| EA-0 min | 45 | 363 ± 2 | 2 | 160 ± 2 | 3.90 ± 0.2 |
| EA-60 min | 45 | 358 ± 2 | 2 | 168 ± 2 | 4.08 ± 0.3 |
| EA-120 min | 45 | 346 ± 2 | 2 | 169 ± 2 | 4.29 ± 0.3 |
| EA-180 min | 60 | 343 ± 1 | 1 | 190 ± 2 | 3.97 ± 0.2 |
| EA-240 min | 80 | 319 ± 1 | 1 | 197 ± 2 | 3.98 ± 0.2 |
| EA-300 min | 90 | 299 ± 1 | 1 | 197 ± 2 | 4.23 ± 0.2 |
| Sample | Tack-Free Time (s) | Curing Time (s) | Hardness (s) | Gloss (GU) | Yellowness Index |
|---|---|---|---|---|---|
| EA-C | 60 | 30 | 139 ± 1 | 3 ± 2 | 3.19 ± 0.2 |
| 45 | 260 ± 1 | 25 ± 2 | 3.29 ± 0.2 | ||
| 60 | 268 ± 2 | 100 ± 2 | 3.48 ± 0.2 | ||
| 75 | 276 ± 2 | 150 ± 2 | 3.70 ± 0.3 | ||
| 90 | 296 ± 2 | 157 ± 2 | 3.71 ± 0.3 | ||
| EA-R | 9 | 3 | 140 ± 1 | 71 ± 2 | 3.18 ± 0.2 |
| 6 | 161 ± 1 | 82 ± 2 | 3.70 ± 0.2 | ||
| 9 | 175 ± 2 | 110 ± 2 | 3.99 ± 0.2 | ||
| 12 | 282 ± 2 | 129 ± 2 | 4.07 ± 0.3 | ||
| 15 | 299 ± 2 | 134 ± 2 | 4.21 ± 0.3 |
Publisher’s Note: MDPI stays neutral with regard to jurisdictional claims in published maps and institutional affiliations. |
© 2021 by the authors. Licensee MDPI, Basel, Switzerland. This article is an open access article distributed under the terms and conditions of the Creative Commons Attribution (CC BY) license (https://creativecommons.org/licenses/by/4.0/).
Share and Cite
Bednarczyk, P.; Irska, I.; Gziut, K.; Ossowicz-Rupniewska, P. Synthesis of Epoxy Methacrylate Resin and Coatings Preparation by Cationic and Radical Photocrosslinking. Molecules 2021, 26, 7663. https://doi.org/10.3390/molecules26247663
Bednarczyk P, Irska I, Gziut K, Ossowicz-Rupniewska P. Synthesis of Epoxy Methacrylate Resin and Coatings Preparation by Cationic and Radical Photocrosslinking. Molecules. 2021; 26(24):7663. https://doi.org/10.3390/molecules26247663
Chicago/Turabian StyleBednarczyk, Paulina, Izabela Irska, Konrad Gziut, and Paula Ossowicz-Rupniewska. 2021. "Synthesis of Epoxy Methacrylate Resin and Coatings Preparation by Cationic and Radical Photocrosslinking" Molecules 26, no. 24: 7663. https://doi.org/10.3390/molecules26247663
APA StyleBednarczyk, P., Irska, I., Gziut, K., & Ossowicz-Rupniewska, P. (2021). Synthesis of Epoxy Methacrylate Resin and Coatings Preparation by Cationic and Radical Photocrosslinking. Molecules, 26(24), 7663. https://doi.org/10.3390/molecules26247663

