Development of Sustainable Chemistry in Madagascar: Example of the Valuation of CNSL and the Use of Chromones as an Attractant for Mosquitoes
Abstract
1. Introduction
2. Materials and Methods
2.1. Cashew Nut Shell Liquid Valorization as Surfactant
2.1.1. Materials
2.1.2. Extraction of CNSL
2.1.3. Separation of CNSL Constituents
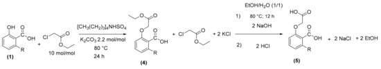
2.1.4. Oxyacetic Acid of Anacardic Acid (5) Synthesis
2.1.5. Dioxyacetic Acid of Cardol (6) Synthesis
2.1.6. Oxyacetic Acids of CNSL (7) Synthesis
2.1.7. Physicochemical, Biological, and Application Tests
2.1.8. Method of Analysis
2.2. Chemical Ecology as Alternative to Insecticides
2.2.1. Synthesis of Substituted Chromones
General Procedure for the Synthesis of Chromones Derivatives by Using Phase Transfer Catalysis Reaction
General Procedure for the Synthesis of Chromone Derivatives by using Mitsunobu Reaction
2.2.2. Chemical Analysis
2.2.3. Mosquitoes
2.2.4. Bioassay
2.2.5. Analysis of Data
2.2.6. Products Tested
3. Results and Discussions
3.1. Cashew Nut Shell Liquid Valorization as Surfactant
3.1.1. CNSL Extraction
3.1.2. Oxyacetic Acid of Anacardic Acid (5) and Optimization
3.1.3. Oxyacetic Acid of Anacardic Acid (5) Synthesis with Ethyl Chloroacetate
3.1.4. Oxyacetic Acid of Anacardic Acid (5) Synthesis with Sodium Choroacetate
3.1.5. Optimization
Nature of the Base
Solvent and Temperature
Stoichiometry and Reaction Time
3.1.6. Oxyacetic Acid of Cardol (6)
3.1.7. Oxyacetic Acid of CNSL (7) and Sodium Oxyacetates of CNSL (8)
3.1.8. Physicochemical, Biological, and Application Tests
Solubility of Oxyacetic Acid Derivatives
CMC and HLB Value of Sodium Oxyacetate of CNSL (8) Surfactants
Ecotoxicology Study
Cytotoxicity on Viability of Dermal Fibroblasts and Normal Human Epidermal Keratinocytes
Effect on Viability of NHDF (Normal Human Dermal Fibroblasts)
Effect on Viability of NHEK (Normal Human Epidermal Keratinocytes)
Foaming Property and Cleaning Powers
3.2. Chemical Ecology
3.2.1. Synthesis of Substituted Chromones
3.2.2. Chemical analysis of products
3.2.3. Biological Activities of Substituted Chromones
Chromone Derivatives with Repellent Activities against Aedes albopictus
Chromone Derivatives with Attractant Activities towards Aedes albopictus
4. Conclusions
Supplementary Materials
Author Contributions
Funding
Institutional Review Board Statement
Data Availability Statement
Conflicts of Interest
Sample Availability
References
- Delatte, H.; Paupy, C.; Dehecq, J.S.; Thiria, J.; Failloux, A.B.; Fontenille, D. Aedes Albopictus, Vecteur Des Virus Du Chikungunya et de La Dengue à La Réunion: Biologie et Contrôle. Parasite 2008, 15, 3–13. [Google Scholar] [CrossRef]
- Vazeille, M.; Mousson, L.; Martin, E.; Failloux, A.-B. Orally Co-Infected Aedes Albopictus from La Reunion Island, Indian Ocean, Can Deliver Both Dengue and Chikungunya Infectious Viral Particles in Their Saliva. PLoS Negl. Trop. Dis. 2010, 4, e706. [Google Scholar] [CrossRef]
- Arrhenius, S. On the Influence of Carbonic Acid in the Air upon the Temperature of the Ground. Lond. Edinb. Dublin Philos. Mag. J. Sci. 1896, 41, 237–276. [Google Scholar] [CrossRef]
- Yang, X.H.; Wang, Z.M.; Jing, F.; Hu, L.H.; Zhou, Y.H. A Brief Review of Cardanol-Based Surfactants. AMM 2013, 483, 83–87. [Google Scholar] [CrossRef]
- Gandhi, T.S.; Dholakiya, B.Z.; Patel, M.R. Extraction Protocol for Isolation of CNSL by Using Protic and Aprotic Solvents from Cashew Nut and Study of Their Physico-Chemical Parameter. Polish J. Chem. Technol. 2013, 15, 24–27. [Google Scholar] [CrossRef]
- Lubi, M.C.; Thachil, E.T. Cashew Nut Shell Liquid (CNSL)—A Versatile Monomer for Polymer Synthesis. Des. Monomers Polym. 2000, 3, 123–153. [Google Scholar] [CrossRef]
- Rodrigues, F.H.A.; França, F.C.F.; Souza, J.R.R.; Ricardo, N.M.P.S.; Feitosa, J.P.A. Comparison between Physico-Chemical Properties of the Technical Cashew Nut Shell Liquid (CNSL) and Those Natural Extracted from Solvent and Pressing. Polímeros 2011, 21, 156–160. [Google Scholar] [CrossRef]
- Faye, I.; Besse, V.; David, G.; Caillol, S. Sustainable Cardanol-Based Ionic Surfactants. Green Mater. 2017, 5, 144–152. [Google Scholar] [CrossRef]
- Scorzza, C.; Nieves, J.; Vejar, F.; Bullón, J. Synthesis and Physicochemical Characterization of Anionic Surfactants Derived from Cashew Nut Shell Oil. J. Surfact. Deterg. 2010, 13, 27–31. [Google Scholar] [CrossRef]
- Peungjitton, P.; Sangvanich, P.; Pornpakakul, S.; Petsom, A.; Roengsumran, S. Sodium Cardanol Sulfonate Surfactant from Cashew Nut Shell Liquid. J. Surfact. Deterg. 2009, 12, 85–89. [Google Scholar] [CrossRef]
- Delage, B.; Briou, B.; Brossier, T.; Catrouillet, S.; Robin, J.; Lapinte, V. Polyoxazoline Associated with Cardanol for Bio-based Linear Alkyl Benzene Surfactants. Polym. Int. 2019, 68, 755–763. [Google Scholar] [CrossRef]
- Deletre, E.; Martin, T.; Duménil, C.; Chandre, F. Insecticide Resistance Modifies Mosquito Response to DEET and Natural Repellents. Parasites Vectors 2019, 12, 89. [Google Scholar] [CrossRef] [PubMed]
- Generic Risk Assessment Models for Insecticide-Treated Clothing, Skin-Applied Repellents and Household Insecticides; World Health Organization: Geneva, Switzerland, 2019.
- Devine, G. Global Pesticide Resistance in Arthropods—By M. E. Whalon, D. Mota-Sanchez & R. M. Hollingworth. Entomol. Exp. Appl. 2009, 131, 106. [Google Scholar] [CrossRef]
- Andrianjafy, T.M.; Ravaomanarivo, L.H.; Ramanandraibe, V.V.; Rakotondramanga, M.F.; Mavingui, P.; Lemaire, M. Synthesis, Bioassays and Field Evaluation of Hydroxycoumarins and Their Alkyl Derivatives as Repellents or Kairomones for Aedes Albopictus Skuse (Diptera: Culicidae). J. Chem. Ecol. 2018, 44, 299–311. [Google Scholar] [CrossRef] [PubMed]
- Andrianjafy, T.M.; Ramanandraibe, V.V.; Andrianarijaona, E.T.; Ramarosandratana, N.H.; Ravaomanarivo, L.H.; Mavingui, P.; Lemaire, M. Field Assessment of 4-Hydroxycoumarin as an Attractant for Anthropophilic Anopheles Spp. Vectors of Malaria in Madagascar. Sci. Rep. 2020, 10, 3048. [Google Scholar] [CrossRef] [PubMed]
- Gaspar, A.; Matos, M.J.; Garrido, J.; Uriarte, E.; Borges, F. Chromone: A Valid Scaffold in Medicinal Chemistry. Chem. Rev. 2014, 114, 4960–4992. [Google Scholar] [CrossRef]
- Reis, J.; Gaspar, A.; Milhazes, N.; Borges, F. Chromone as a Privileged Scaffold in Drug Discovery: Recent Advances: Miniperspective. J. Med. Chem. 2017, 60, 7941–7957. [Google Scholar] [CrossRef]
- Mohsin, N.A.; Irfan, M.; Hassan, S.; Saleem, U. Current Strategies in Development of New Chromone Derivatives with Diversified Pharmacological Activities: A Review. Pharm. Chem. J. 2020, 54, 241–257. [Google Scholar] [CrossRef]
- Irawadi, T.T.; Nur, M.A.; Sailah, I. Isolation of Cardanol from Cashew Nut Shell Liquid Using The Vacuum Distillation Method. Indones. J. Agric. 2009, 2, 11–20. [Google Scholar]
- Morais, S.; Silva, K.; Araujo, H.; Vieira, I.; Alves, D.; Fontenelle, R.; Silva, A. Anacardic Acid Constituents from Cashew Nut Shell Liquid: NMR Characterization and the Effect of Unsaturation on Its Biological Activities. Pharmaceuticals 2017, 10, 31. [Google Scholar] [CrossRef]
- Yuliana, M.; Nguyen-Thi, B.T.; Faika, S.; Huynh, L.H.; Soetaredjo, F.E.; Ju, Y.-H. Separation and Purification of Cardol, Cardanol and Anacardic Acid from Cashew (Anacardium occidentale L.) Nut-Shell Liquid Using a Simple Two-Step Column Chromatography. J. Taiwan Inst. Chem. Eng. 2014, 45, 2187–2193. [Google Scholar] [CrossRef][Green Version]
- Azira, H.; Tazerouti, A.; Canselier, J.P. Study of Foaming Properties and Effect of the Isomeric Distribution of Some Anionic Surfactants. J. Surfact. Deterg. 2008, 11, 279–286. [Google Scholar] [CrossRef]
- Yadav, G.D.; Deshmukh, G.P. Insight into Solid-Liquid Phase Transfer Catalyzed Synthesis of Mecoprop Ester Using K2CO3 as Base and Development of New Kinetic Model Involving Liquid Product and Two Solid Co-Products. J. Chem. Sci. 2017, 129, 1677–1685. [Google Scholar] [CrossRef]
- Kürti, L.; Czakó, B. Strategic Applications of Named Reactions in Organic Synthesis: Background and Detailed Mechanisms; Elsevier: Amsterdam, The Netherlands, 2005; ISBN 978-0-12-429785-2. [Google Scholar]
- Mitsunobu, O.; Yamada, M. Preparation of Esters of Carboxylic and Phosphoric Acid via Quaternary Phosphonium Salts. BCSJ 1967, 40, 2380–2382. [Google Scholar] [CrossRef]
- Borrego, L.G.; Ramarosandratana, N.; Jeanneau, E.; Métay, E.; Ramanandraibe, V.V.; Andrianjafy, M.T.; Lemaire, M. Effect of the Stereoselectivity of Para-Menthane-3,8-Diol Isomers on Repulsion toward Aedes albopictus. J. Agric. Food Chem. 2021, 69, 11095–11109. [Google Scholar] [CrossRef]
- Victor-Oji, C.O.; Chukwu, U.J.; Akaranta, O. Comparative Study of Cashew Nut Shell Liquid and a Commercial Demulsifier for Treating Crude Oil Emulsions. CSIJ 2020, 28, 1–17. [Google Scholar] [CrossRef]
- Koteich Khatib, S.; Bullón, J.; Vivas, J.; Bahsas, A.; Rosales-Oballos, Y.; Marquez, R.; Forgiarini, A.; Salager, J.L. Synthesis, Characterization, Evaluation of Interfacial Properties and Antibacterial Activities of Dicarboxylate Anacardic Acid Derivatives from Cashew Nut Shell Liquid of Anacardium occidentale L. J Surfact. Deterg. 2020, 23, 503–512. [Google Scholar] [CrossRef]
- Arshia; Ahad, F.; Ghouri, N.; Kanwal; Khan, K.M.; Perveen, S.; Choudhary, M.I. Synthesis of 4-Substituted Ethers of Benzophenone and Their Antileishmanial Activities. R. Soc. Open Sci. 2018, 5, 171771. [Google Scholar] [CrossRef]
- El-Sayed, A.M.; Abd Allah, O.A.; El-Saghier, A.M.M.; Mohamed, S.K. Synthesis and Reactions of Five-Membered Heterocycles Using Phase Transfer Catalyst (PTC) Techniques. J. Chem. 2014, 2014, 163074. [Google Scholar] [CrossRef]
- Lewandowski, A.; Szymczyk, K. Partitioning of Selected Anisole and Veratrole Derivatives between Water and Anionic Surfactant Micelles. Molecules 2020, 25, 5818. [Google Scholar] [CrossRef]
- Joseph, K.E. Tunable Synthesis and Characterization of Oleo-Furan Sulfonate Surfactants from Renewable Furan and Fatty Acids. Ph.D. Thesis, University of Minnesota, Minneapolis, MN, USA, 2018. [Google Scholar]
- Davies, J.T. A Quantitative Kinetic Theory of Emulsion Type, I. Physical Chemistry of The Emulsifying Agent, Gas/Liquid and Liquid/Liquid Interface. In Proceedings of the International Congress of Surface Activity; Butterworths: London, UK, 1957; Volume 13, pp. 426–438. [Google Scholar]
- Deese, R.D.; LeBlanc, M.R.; Cook, R.L. Surfactant Toxicity to Artemia Franciscana and the Influence of Humic Acid and Chemical Composition. Environ. Chem. 2016, 13, 507. [Google Scholar] [CrossRef] [PubMed]
- Ho Tan Tai, L.; Nardello-Rataj, V. Detergents: Detergents The Main Surfactants Used in Detergents and Personal Care Products. OCL 2001, 8, 141–144. [Google Scholar] [CrossRef]
- Sindhu, M.R.; Potty, V.P. Biodegradation of Cashew Nut Shell Liquid by Delftia Acidovorans and Pseudomonas Aeruginosa Isolated from Marine Environment. Int. J. Agric. Environ. Biotechnol. 2015, 8, 837. [Google Scholar] [CrossRef]
- Dormont, L.; Mulatier, M.; Carrasco, D.; Cohuet, A. Mosquito Attractants. J. Chem. Ecol. 2021, 47, 351–393. [Google Scholar] [CrossRef] [PubMed]














| 7-Hydroxy Chromone | Halogenoalkane | K2CO3 | TBAHS | Toluene | T (°C)/ Time (h) | Product |
|---|---|---|---|---|---|---|
| 2 g 12 mmoL | Rac 2-Bromobutane 10.14 g 74 mmoL | 8.4 g 61 mmoL | 0.1 g 5% of P. | 100 mL | 120 °C/ 6 h | 7-sec-butoxychromone (10) |
| 1 g 6.1 mmoL | Rac 2-Bromopentane 5 g 33 mmoL | 4.2 g 30.6 mmoL | 0.05 g 5% of P. | 100 mL | 120 °C/ 6 h | 7-sec-pentoxychromone (11) |
| 0.15 g 0.9 mmoL | Rac 2-Bromononane 0.9 g 4.34 mmoL | 0.64 g 4.63 mmoL | 0.07 g 50% of P. | 7 mL | 120 °C/ 2.5 h | 7-sec-nonyloxychromone (12) |
| 0.2 g 1.2 mmoL | Rac 1-Bromoethylhexane 0.58 g 3 mmoL | 0.69 g 5 mmoL | 0.02 g 10% of P. | 10 mL | 120 °C/ 6 h | 7-(2′-ethyl) hexyloxychromone (13) |
| 7-Hydroxychromone | Chiral Alcohol | PPh3 | CH2Cl2 | DEAD | Product |
|---|---|---|---|---|---|
|
1 g 6.2 mmoL | S-butan-2-ol 1.2 mL 12.4 mmoL | 3.2 g 12.4 mmoL | 15 mL | 2.2 mL 5 mmoL | R-(−)-7-sec-butoxychromone (14) |
|
2 g 12.4 mmoL | R-butan-2-ol 2.4 mL 24.6 mmoL | 6.4 g 24.6 mmoL | 30 mL | 4.2 mL 10 mmoL | S-(+)-7-sec-butoxychromone (15) |
|
1 g 6.2 mmoL | S-pentan-2-ol 1.4 mL 12.3 mmoL | 3.23 g 12.3 mmoL | 15 mL | 2.1 mL 5 mmoL | R-(−)-7-sec-pentoxychromone (16) |
|
1 g 6.2 mmoL | R-pentan-2-ol 1.4 mL 12.3 mmoL | 3.23 g 12.3 mmoL | 15 mL | 2.1 mL 5 mmoL | S-(+)-7-sec-pentoxychromone (17) |
| Products | Quantity Tested (mg) |
|---|---|
| Synthesized Compounds | |
| Racemic 7-sec-Butoxychromone | 5, 10, 30, 60 |
| R-(−)-7-sec-Butoxychromone | |
| S-(+)-sec-Butoxychromone | |
| Racemic 7-sec-Pentoxychromone | 1, 5, 10, 30 |
| R-(−)-7-sec-Pentoxychromone | |
| S-(+)-7-sec-Pentoxychromone | |
| Racemic 7-sec-Nonyloxychromone | |
| Racemic 7-(2′-Ethyl)hexyloxychromone | |
| Positive References | |
| Deet (repellent) | 5, 10, 30 |
| Picaridine (repellent) | 5, 10, 30 |
| Octenol (kairomone) | 5, 10, 30 |
| 4-Hydroxycoumarin (kairomone) | 1, 5, 10, 30 |
| Combination Compounds | |
| 7-sec-Nonyloxychromone + 4-Hydroxycoumarin (50/50) | 1, 5, 10, 30 |
| Base | Concentration | Conversion |
|---|---|---|
| NaOH | 2 mol/L | <50% |
| K2CO3 | 2 mol/L | <15% |
| KOH | 2 mol/L | >90% |
| Solvent | Temperature | Conversion |
|---|---|---|
| Acetone | 50 °C | <15% |
| H2O | 80 °C | <15% |
| EtOH/H2O (1/1) | 70 °C | <70% |
| EtOH | 70 °C | >90% |
| Sodium Chloroacetate | Reaction Time | Conversion |
|---|---|---|
| 2.4 mol/mol of anacardic acid | 72 h | >90% |
| 2.2 mol/mol of anacardic acid | 72 h | >90% |
| 2 mol/mol of anacardic acid | 48 h | >90% |
| 1.8 mol/mol of anacardic acid | 24 h | >90% |
| 1.5 mol/mol of anacardic acid | 24 h | <80% |
| 1.3 mol/mol of anacardic acid | 24 h | <70% |
| Anacardic Acid | Sodium Chloroacetate | Ethanol Potassium Hydroxide Solution | Reaction Time | Conversion | Crude Yield |
|---|---|---|---|---|---|
| 10 mmoL | 1.8 mol/mol | 2 mol/L | 24 h | >90% | 96% |
| Product | Water Solubility | Hexane Solubility |
|---|---|---|
| Oxyacetic acid of AA (5) | 4.1 mg/mL | 3.6 mg/mL |
| Oxyacetic acid of CNSL (7) | 13.3 mg/mL | 9.2 mg/mL |
| Hydrophilic Groups | Hydrophobic Groups | ||
|---|---|---|---|
| -SO4 Na+ | 38.7 | −CH- | −0.475 |
| -COOK+ | 21.1 | CH2 | −0.475 |
| -COONa+ | 19.1 | CH3– | −0.475 |
| -COOH | 2.1 | =CH- | −0.475 |
| -OH | 1.9 | ||
| -O- | 1.3 | ||
| Lethal Concentration | LC50 | LC90 | ||||||
|---|---|---|---|---|---|---|---|---|
| Cfinal (mg/mL) | 0.06 | 0.08 | 0.12 | 0.14 | 0.17 | 0.19 | 0.21 | 0.22 |
| Nauplii death rate | 0 | 0 | 16.7 ± 4.4 | 26.7 ± 4.4 | 50 | 60 ± 4.4 | 76.7 ± 4.4 | 86.7 ± 4.4 |
| Lethal Concentration | LC50 | LC90 | ||||||
|---|---|---|---|---|---|---|---|---|
| Cfinal (mg/mL) | 0.23 | 0.42 | 0.58 | 0.71 | 0.83 | 0.94 | 1.03 | 1.11 |
| Nauplii death rate | 6.7 ± 4.4 | 13.3 ± 4.4 | 30.0 ± 6.7 | 50 | 63.3 ± 4.4 | 76.7 ± 4.4 | 83.3 ± 4.4 | 93.3 ± 4.4 |
| Lethal Concentration | LC50 | LC90 | |||||
|---|---|---|---|---|---|---|---|
| Cfinal (mg/mL) | 0.91 | 1.67 | 2.31 | 2.86 | 3.33 | 3.75 | 4.12 |
| Nauplii death rate | 6.7 ± 4.4 | 23.3 ± 4.4 | 40.0 ± 6.7 | 46.7 ± 4.4 | 53.3 ± 4.4 | 70 ± 6.7 | 86.7 ± 4.4 |
| Surfactant | Impact of NHDF | Impact of NHEK |
|---|---|---|
| Sodium oxyacetate of CNSL (8) | 1 mg/mL | 1 mg/mL |
| LABSA | 0.05 mg/mL | 0.01 µg/mL |
| SDS | 0.03 g/mL | 1.52 µg/mL |
| Product | Yield | Aspect |
|---|---|---|
| 7-sec-butoxychromone (10) | 73% | Yellow oil |
| 7-sec-pentoxychromone (11) | 33.1% | Yellow oil |
| 7-sec-nonyloxychromone (12) | 92% | Yellow oil |
| 7-(2′-ethyl)hexyloxychromone (13) | 65% | Yellow oil |
| Products | Yields | Aspect | Optical Rotation (0.2% in EtOH) |
|---|---|---|---|
| R-(−)-7-sec-butoxychromone (14) | 52.6% | Pale yellow oil | −35 |
| S-(+)-7-sec-butoxychromone (15) | 53% | Pale yellow oil | +35 |
| R-(−)-7-sec-pentoxychromone (16) | 63.3% | Pale yellow oil | −22.5 |
| S-(+)-7-sec-pentoxychromone (17) | 42.4% | Pale yellow oil | +22.5 |
| Compounds | Quantity (mg) | Treated ± SD | Control ± SD | t | p-Value | AI (%) |
|---|---|---|---|---|---|---|
| Racemic 7-sec-butoxychromone | 5 | 3.3 ± 0.1 | 7.3 ± 0.4 | −12.8 | 0.0002 | 71.1 |
| 10 | 3.6 ± 0.4 | 7.2 ± 0.9 | −4.52 | 0.01 | 71.8 | |
| 30 | 3.4 ± 0.9 | 8.3 ± 0.5 | −5.43 | 0.006 | 78 | |
| 60 | 1.8 ± 0.2 | 11.8 ± 0.7 | −16.5 | <0.0001 | 90.6 | |
| R-(−)-7-sec-butoxychromone | 5 | 3.1 ± 0.1 | 9.5 ± 0.3 | −25.12 | <0.0001 | 84 |
| 10 | 2.3 ± 0.7 | 11 ± 0.3 | −16.4 | <0.0001 | 88.9 | |
| 30 | 1.4 ± 0.1 | 12.4 ± 0.1 | −93.3 | <0.0001 | 92.2 | |
| 60 | 1.6 ± 0.2 | 12.2 ± 0.1 | −66.7 | <0.0001 | 92 | |
| S-(+)-7-sec-butoxychromone | 5 | 9.0 ± 0.2 | 4.8 ± 0.5 | 10.4 | 0.0004 | 91.7 |
| 10 | 8.9 ± 1.1 | 4.2 ± 0.9 | 4.03 | 0.016 | 87.2 | |
| 30 | 3.3 ± 0.2 | 9.3 ± 0.8 | −8.8 | 0.001 | 83.3 | |
| 60 | 2.0 ± 0.0 | 11.4 ± 0.8 | −15.6 | <0.0001 | 89.4 |
| 5 mg | 10 mg | 30 mg | |
|---|---|---|---|
| R-(−)-7-sec-butoxychromone | 51% | 65.6% | 79.5% |
| DEET | 55.5% | 60.4% | 59.1% |
| Picaridin | 42.6% | 49.6% | 59.7% |
| Compounds | Quantity (mg) | Treated ± SD | Control ± SD | t | p-Value | AI (%) |
|---|---|---|---|---|---|---|
| Racemic 7-sec-Pentoxychromone | 1 | 9.3 ± 0.7 | 3.5 ± 0.5 | 8.49 | 0.001 | 85 |
| 5 | 9.5 ± 0.2 | 2.5 ± 0.3 | 23.5 | <0.0001 | 80.1 | |
| 10 | 9.8 ± 1.1 | 3.4 ± 0.4 | 6.8 | 0.002 | 88.3 | |
| 30 | 8.7 ± 0.4 | 4.8 ± 0.4 | 8.5 | 0.001 | 90 | |
| R-(−)-7-sec-Pentoxychromone | 1 | 8.6 ± 0.2 | 5.3 ± 0.3 | 10 | 0.001 | 92.2 |
| 5 | 10.8 ± 0.6 | 2.2 ± 0.4 | 14.7 | 0.001 | 86.7 | |
| 10 | 8.6 ± 0.1 | 3.6 ± 0.4 | 16 | <0.0001 | 81.1 | |
| 30 | 6.9 ± 0.3 | 6.6 ± 0.4 | 0.89 | NS | 90 | |
| S-(+)-7-sec-Pentoxychromone | 1 | 10.3 ± 0.7 | 3.8 ± 0.3 | 10.3 | 0.0004 | 93.3 |
| 5 | 9.5 ± 0.7 | 3.1 ± 1.2 | 5.9 | 0.004 | 83.9 | |
| 10 | 8.4 ± 0.1 | 5.8 ± 0.2 | 13.8 | 0.0001 | 95 | |
| 30 | 6.5 ± 0.7 | 5.2 ± 0.3 | 2.15 | NS | 77.8 |
| Compounds | Quantity (mg) | Treated ± SD | Control ± SD | t | p-Value | AI (%) |
|---|---|---|---|---|---|---|
| 7-sec-nonyloxychromone | 0.5 | 7.3 ± 0.2 | 4.3 ± 0.4 | 9.09 | <0.0001 | 70.8 |
| 1 | 8.2 ± 0.4 | 3.3 ± 0.4 | 12.13 | <0.0001 | 76.1 | |
| 5 | 9.8 ± 0.6 | 2.8 ± 0.3 | 15.31 | <0.0001 | 74,0 | |
| 10 | 7.8 ±0.4 | 4.3 ± 0.5 | 8.82 | 0.0001 | 77.5 | |
| 30 | 7.2 ±0.4 | 4.9 ± 0.2 | 8.79 | 0.0001 | 81.7 | |
| 7-(2′ethyl)hexyloxychromone | 0.5 | 9.2 ± 1.7 | 2.9 ± 1.1 | 5.12 | 0.0022 | 80.8 |
| 1 | 7.5 ± 0.1 | 2.9 ± 0.2 | 23.43 | <0.0001 | 69.6 | |
| 5 | 8.4 ± 0.4 | 3.3 ± 0.1 | 20.55 | <0.0001 | 77.9 | |
| 10 | 7 ± 0.5 | 4.1 ± 0.5 | 6.15 | 0.0008 | 74.6 | |
| 30 | 7.7 ± 0.9 | 4.5 ± 0.4 | 4.79 | 0.0030 | 82.1 |
| 5 mg | 10 mg | 30 mg | |
|---|---|---|---|
| 7-sec-pentoxychromone | 59.2% | 47.8% | 28.7% |
| 7-sec-nonyloxychromone | 57.5% | 33.9% | 18.2% |
| Octen-3-ol | 41.7% | 54.7% | 61.6% |
| 0.5 mg | 1 mg | 5 mg | 10 mg | 30 mg | |
|---|---|---|---|---|---|
| 7-sec-nonyloxychromone | 32.1 | 43.5 | 57.5 | 33.9 | 18.2 |
| 4-hydroxycoumarin | 21.1 | 38.1 | 41 | 52.7 | 49 |
| Synergy 50% of each | 55.1 | 62.4 | 60.5 | 60.1 |
Publisher’s Note: MDPI stays neutral with regard to jurisdictional claims in published maps and institutional affiliations. |
© 2021 by the authors. Licensee MDPI, Basel, Switzerland. This article is an open access article distributed under the terms and conditions of the Creative Commons Attribution (CC BY) license (https://creativecommons.org/licenses/by/4.0/).
Share and Cite
Ranarijaona, M.M.; Rambala Rakotomena, N.A.H.; Andrianjafy, M.T.; Ramiharimanana, F.D.; Herinirina, L.C.; Ramarosandratana, N.H.; Briou, B.; Fajardie, P.; Mavingui, P.; Métay, E.; et al. Development of Sustainable Chemistry in Madagascar: Example of the Valuation of CNSL and the Use of Chromones as an Attractant for Mosquitoes. Molecules 2021, 26, 7625. https://doi.org/10.3390/molecules26247625
Ranarijaona MM, Rambala Rakotomena NAH, Andrianjafy MT, Ramiharimanana FD, Herinirina LC, Ramarosandratana NH, Briou B, Fajardie P, Mavingui P, Métay E, et al. Development of Sustainable Chemistry in Madagascar: Example of the Valuation of CNSL and the Use of Chromones as an Attractant for Mosquitoes. Molecules. 2021; 26(24):7625. https://doi.org/10.3390/molecules26247625
Chicago/Turabian StyleRanarijaona, Miarintsoa Michaele, Ny Aina Harivony Rambala Rakotomena, Mbolatiana Tovo Andrianjafy, Fenia Diane Ramiharimanana, Lydia Clarisse Herinirina, Niry Hasinandrianina Ramarosandratana, Benoit Briou, Pauline Fajardie, Patrick Mavingui, Estelle Métay, and et al. 2021. "Development of Sustainable Chemistry in Madagascar: Example of the Valuation of CNSL and the Use of Chromones as an Attractant for Mosquitoes" Molecules 26, no. 24: 7625. https://doi.org/10.3390/molecules26247625
APA StyleRanarijaona, M. M., Rambala Rakotomena, N. A. H., Andrianjafy, M. T., Ramiharimanana, F. D., Herinirina, L. C., Ramarosandratana, N. H., Briou, B., Fajardie, P., Mavingui, P., Métay, E., Ramanandraibe, V. V., & Lemaire, M. (2021). Development of Sustainable Chemistry in Madagascar: Example of the Valuation of CNSL and the Use of Chromones as an Attractant for Mosquitoes. Molecules, 26(24), 7625. https://doi.org/10.3390/molecules26247625

