The Cohesive Energy and Vibration Characteristics of Parallel Single-Walled Carbon Nanotubes
Abstract
:1. Introduction
2. Quantification of the vdW Interaction between Carbon Atoms
3. Cohesive Energy between Two Finite-Length Parallel CNTs
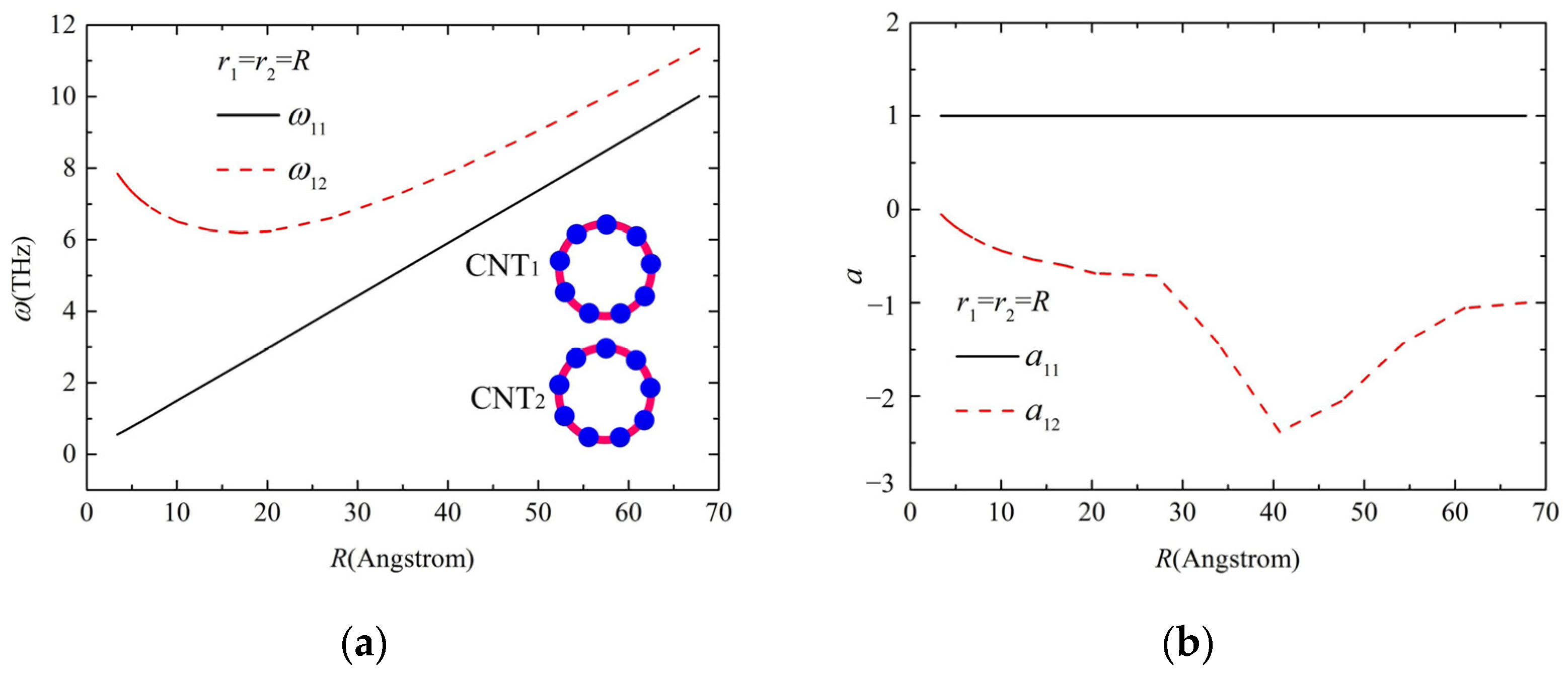
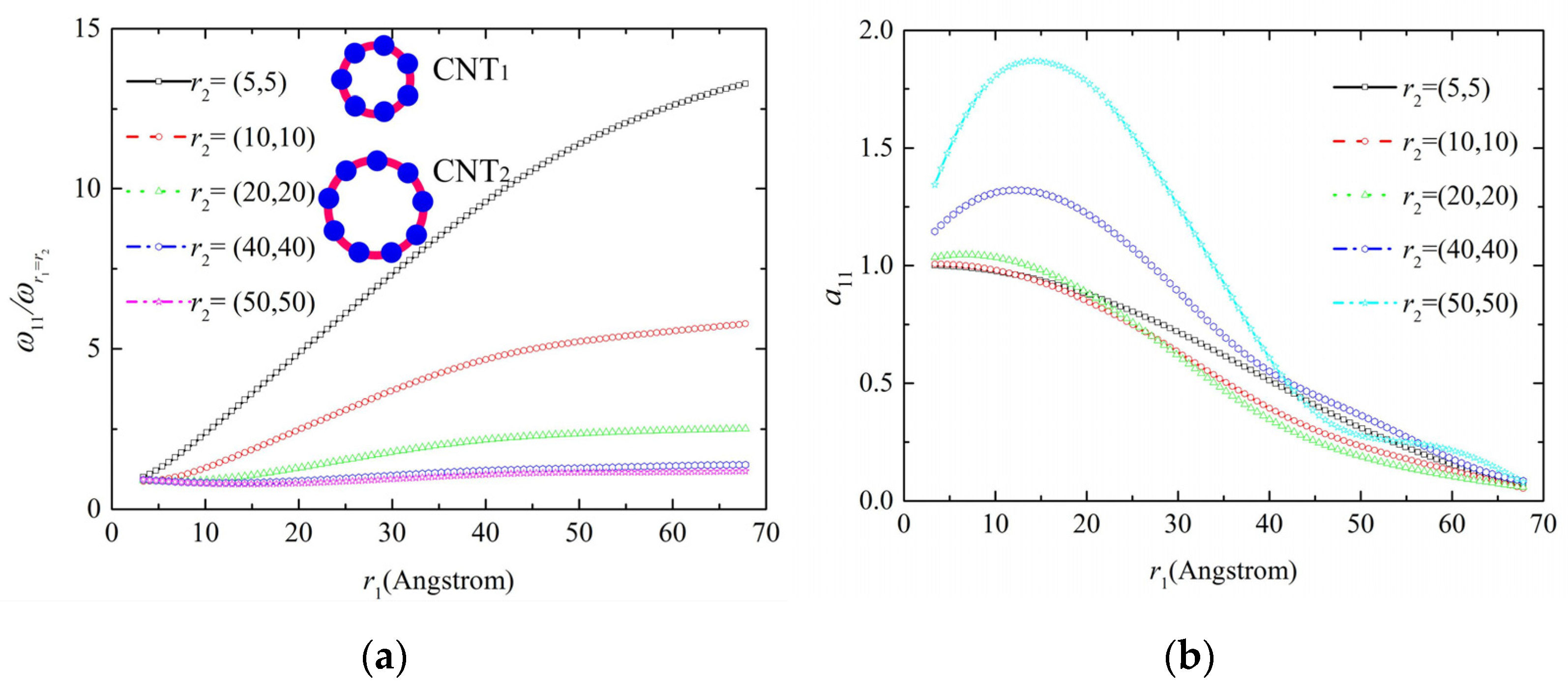
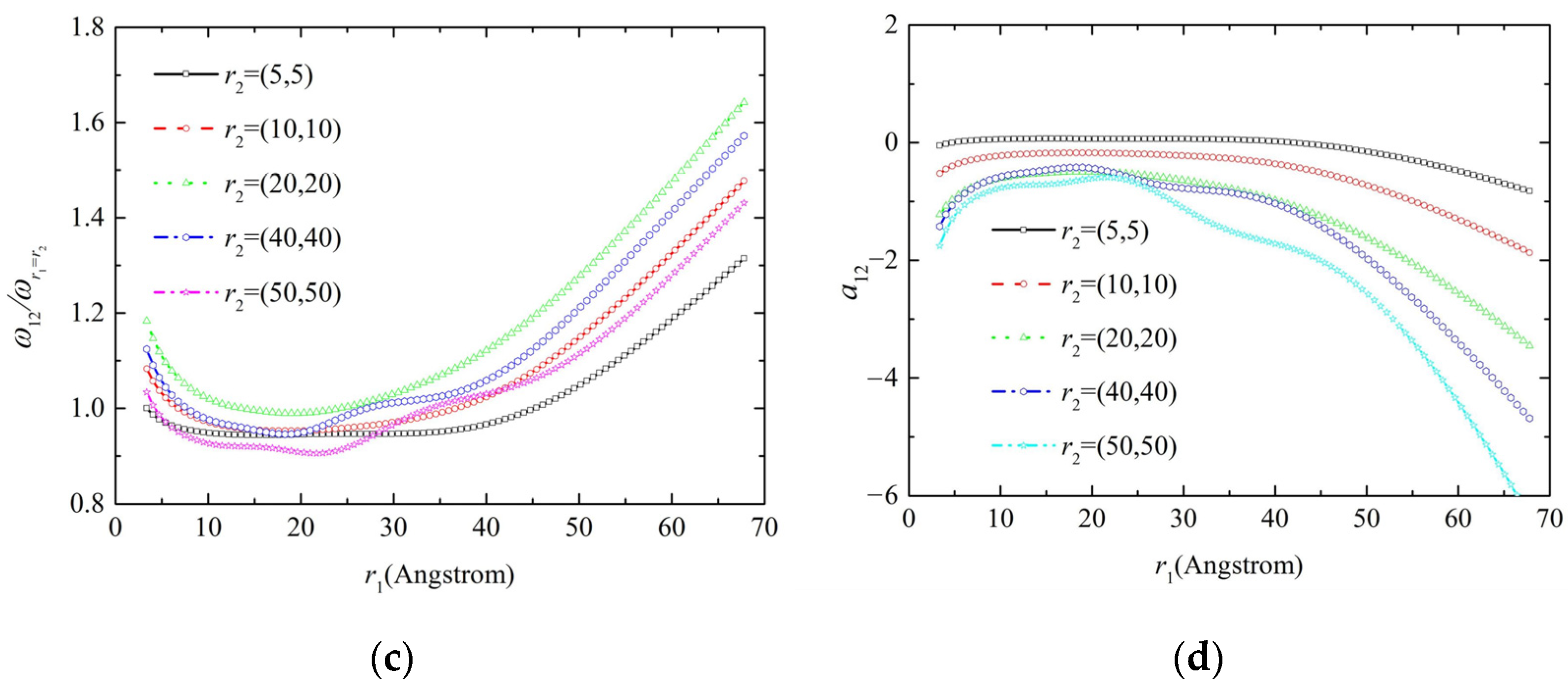
4. The Vibration Characteristic of the Two Parallel CNTs
5. Discussion
6. Conclusions
- (1)
- The analytical solutions for the vdW interaction between CNTs were obtained, which show remarkable nonlinear dependence on the interval distance between the tubes;
- (2)
- The cohesive energy between adjacent CNTs varies nonlinearly with increasing tube diameter;
- (3)
- The vibration frequency of the bi-CNT system is remarkably affected by the vibration mode and the tube diameter, which show different dependence on low-frequency and high-frequency vibrations.
Author Contributions
Funding
Institutional Review Board Statement
Informed Consent Statement
Data Availability Statement
Conflicts of Interest
Sample Availability
References
- Koenig, S.P.; Boddeti, N.G.; Dunn, M.L.; Bunch, J.S. Ultrastrong adhesion of graphene membranes. Nat. Nanotechnol. 2011, 6, 543–546. [Google Scholar] [CrossRef] [PubMed]
- Chang, T.C.; Gao, H.J. Size-dependent elastic properties of a single-walled carbon nanotube via a molecular mechanics model. J. Mech. Phys. Solids 2003, 51, 1059–1074. [Google Scholar] [CrossRef]
- Slepchenkov, M.M.; Barkov, P.V.; Glukhova, O.E. Hybrid films based on bilayer graphene and single-walled carbon nanotubes: Simulation of atomic structure and study of electrically conductive properties. Nanomaterials 2021, 11, 1934. [Google Scholar] [CrossRef]
- Shim, J.S.; Lee, G.H.; Cui, C.Y.; Beom, H.G. Mechanical behaviors of Si/CNT core/shell nanocomposites under tension: A molecular dynamics analysis. Nanomaterials 2021, 11, 1989. [Google Scholar] [CrossRef] [PubMed]
- Wei, H.; Peng, Z.; Yang, C.; Tian, Y.; Sun, L.; Wang, G.; Liu, M. Three-Dimensional Au/Ag nanoparticle/crossed carbon nanotube sers substrate for the detection of mixed toxic molecules. Nanomaterials 2021, 11, 2026. [Google Scholar] [CrossRef] [PubMed]
- Plimpton, S. Fast parallel algorithms for short-range molecular dynamics. J. Comput. Phys. 1995, 117, 1–19. [Google Scholar] [CrossRef] [Green Version]
- Alian, A.R.; Meguid, S.A.; Kundalwal, S.I. Unraveling the influence of grain boundaries on the mechanical properties of poly-crystalline carbon nanotubes. Carbon 2017, 125, 180–188. [Google Scholar] [CrossRef]
- Kothari, R.; Kundalwal, S.I.; Sahu, S.K. Transversely isotropic thermal properties of carbon nanotubes containing vacancies. Acta Mech. 2018, 229, 2787–2800. [Google Scholar] [CrossRef]
- Kundalwal, S.I.; Choyal, V. Transversely isotropic elastic properties of carbon nanotubes containing vacancy defects using MD. Acta Mech. 2018, 229, 2571–2584. [Google Scholar] [CrossRef]
- Carrella, A.; Brennan, M.J.; Waters, T.P. Static analysis of a passive vibration isolator with quasi-zero-stiffness characteristic. J. Sound Vib. 2007, 301, 678–689. [Google Scholar] [CrossRef]
- Ru, C.Q. Effect of van der Waals forces on axial buckling of a double-walled carbon nanotube. J. Appl. Phys. 2000, 87, 7227–7231. [Google Scholar] [CrossRef]
- Ru, C.Q. Axially compressed buckling of a doublewalled carbon nanotube embedded in an elastic medium. J. Mech. Phys. Solids 2001, 49, 1265–1279. [Google Scholar] [CrossRef]
- He, X.Q.; Kitipornchai, S.; Liew, K.M. Buckling analysis of multi-walled carbon nanotubes: A continuum model accounting for van der Waals interaction. J. Mech. Phys. Solids 2005, 53, 303–326. [Google Scholar] [CrossRef]
- Wang, C.Y.; Zhang, Y.Y.; Wang, C.M.; Tan, V.B.C. Buckling of carbon nanotubes: A literature survey. J. Nanosci. Nanotechnol. 2007, 7, 4221–4247. [Google Scholar] [CrossRef]
- Lu, W.B.; Wu, J.; Song, J.; Hwang, K.C.; Jiang, L.Y.; Huang, Y. A cohesive law for interfaces between multi-wall carbon nanotubes and polymers due to the van der Waals interactions. Comput. Methods Appl. Mech. Eng. 2008, 197, 3261–3267. [Google Scholar] [CrossRef]
- Zhao, J.; Jiang, J.-W.; Jia, Y.; Guo, W.; Rabczuk, T. A theoretical analysis of cohesive energy between carbon nanotubes, graphene and substrates. Carbon 2013, 57, 108–119. [Google Scholar] [CrossRef]
- Zhang, J.; Liu, S.; Nshimiyimana, J.P.; Deng, Y.; Hou, G.; Chi, X.; Hu, X.; Zhang, Z.; Wu, P.; Wang, G.; et al. Wafer-Scale fabrication of suspended single-walled carbon nanotube arrays by silver liquid dynamics. Small 2017, 13, 1701218. [Google Scholar] [CrossRef]
- Chang, T. A molecular based anisotropic shell model for single-walled carbon nanotubes. J. Mech. Phys. Solids 2010, 58, 1422–1433. [Google Scholar] [CrossRef]
- Ghabussi, A.; Ashrafi, N.; Shavalipour, A.; Hosseinpour, A.; Habibi, M.; Moayedi, H.; Babaei, B.; Safarpour, H. Free vibration analysis of an electro-elastic GPLRC cylindrical shell surrounded by viscoelastic foundation using modified length-couple stress parameter. Mech. Based Des. Struct. Mach. 2021, 49, 738–762. [Google Scholar] [CrossRef]
- Ghabussi, A.; Habibi, M.; NoormohammadiArani, O.; Shavalipour, A.; Moayedi, H.; Safarpour, H. Frequency characteristics of a viscoelastic graphene nanoplatelet–reinforced composite circular microplate. J. Vib. Control. 2021, 27, 101–118. [Google Scholar] [CrossRef]
- Safarpour, M.; Ghabussi, A.; Ebrahimi, F.; Habibi, M.; Safarpour, H. Frequency characteristics of FG-GPLRC viscoelastic thick annular plate with the aid of GDQM. Thin-Walled Struct. 2020, 150, 106683. [Google Scholar] [CrossRef]
- Habibi, M.; Darabi, R.; de Sa, J.C.; Reis, A. An innovation in finite element simulation via crystal plasticity assessment of grain morphology effect on sheet metal formability. Proc. Inst. Mech. Eng. Part L J. Mater. Des. Appl. 2021, 235, 1937–1951. [Google Scholar] [CrossRef]
- Peng, D.; Chen, S.; Darabi, R.; Ghabussi, A.; Habibi, M. Prediction of the bending and out-of-plane loading effects on formability response of the steel sheets. Arch. Civ. Mech. Eng. 2021, 21, 1–13. [Google Scholar] [CrossRef]
- Shariati, A.; Jung, D.W.; Mohammad-Sedighi, H.; Żur, K.K.; Habibi, M.; Safa, M. Stability and Dynamics of Viscoelastic Moving Rayleigh Beams with an Asymmetrical Distribution of Material Parameters. Symmetry 2020, 12, 586. [Google Scholar] [CrossRef] [Green Version]
- Ebrahimi, F.; Hashemabadi, D.; Habibi, M.; Safarpour, H. Thermal buckling and forced vibration characteristics of a porous GNP reinforced nanocomposite cylindrical shell. Microsyst. Technol. 2020, 26, 461–473. [Google Scholar] [CrossRef]
- Rueckes, T.; Kim, K.; Joselevich, E.; Tseng, G.Y.; Cheung, C.-L.; Lieber, C.M. Carbon nanotube-based nonvolatile random access memory for molecular computing. Science 2000, 289, 94–97. [Google Scholar] [CrossRef] [PubMed] [Green Version]
- Wang, L.; Hu, H. Thermal vibration of a rectangular single-layered graphene sheet with quantum effects. J. Appl. Phys. 2014, 115, 233515. [Google Scholar] [CrossRef]
- Al-Furjan, M.S.H.; Dehini, R.; Khorami, M.; Habibi, M.; Jung, D.W. On the dynamics of the ultra-fast rotating cantilever orthotropic piezoelectric nanodisk based on nonlocal strain gradient theory. Compos. Struct. 2021, 255, 112990. [Google Scholar] [CrossRef]
- Li, S.; Chen, Z.; Wang, Y.; Huang, Y.Y.; Yu, T. Quasi-static compression and hygrothermal stability of BMI/CE co-cured composite lattice cylindrical shell. Compos. Struct. 2021, 257, 113130. [Google Scholar] [CrossRef]
- Zhang, J.; Zhou, P.; Guan, C.; Liu, T.; Kang, W.-H.; Feng, P.; Gao, S. An ultra-lightweight CFRP beam-string structure. Compos. Struct. 2021, 257, 113149. [Google Scholar] [CrossRef]
- Dai, Z.; Zhang, L.; Bolandi, S.Y.; Habibi, M. On the vibrations of the non-polynomial viscoelastic composite open-type shell under residual stresses. Compos. Struct. 2021, 263, 113599. [Google Scholar] [CrossRef]
- Zhang, L.; Chen, Z.; Habibi, M.; Ghabussi, A.; Alyousef, R. Low-velocity impact, resonance, and frequency responses of FG-GPLRC viscoelastic doubly curved panel. Compos. Struct. 2021, 269, 114000. [Google Scholar] [CrossRef]
- Jiang, L.Y.; Huang, Y.; Jiang, H.; Ravichandran, G.; Gao, H.; Hwang, K.C.; Liu, B. A cohesive law for carbon nanotube/polymer interfaces based on the van der Waals force. J. Mech. Phys. Solids 2006, 54, 2436–2452. [Google Scholar] [CrossRef]
- Brenner, D.W.; Shenderova, O.A.; Harrison, J.A.; Stuart, S.J.; Ni, B.; Sinnott, S.B. A second-generation reactive empirical bond order (REBO) potential energy expression for hydrocarbons. Mater. Sci. 2002, 14, 783–802. [Google Scholar] [CrossRef]
- González Noya, E.; Srivastava, D.; Chernozatonskii, L.A.; Menon, M. Thermal conductivity of carbon nanotube peapods. Phys. Rev. B 2004, 70, 115416. [Google Scholar] [CrossRef] [Green Version]
- Xu, Z.; Buehler, M.J. Geometry controls conformation of graphene sheets: Membranes, ribbons, and scrolls. ACS Nano 2010, 4, 3869–3876. [Google Scholar] [CrossRef] [PubMed]
- Wei, N.; Fan, Z.; Xu, L.-Q.; Zheng, Y.-P.; Wang, H.-Q.; Zheng, J.-C. Knitted graphene-nanoribbon sheet: A mechanically robust structure. Nanoscale 2012, 4, 785–791. [Google Scholar] [CrossRef]
- Chen, Y.; Zhang, Y.; Cai, K.; Jiang, J.; Zheng, J.-C.; Zhao, J.; Wei, N. Interfacial thermal conductance in graphene/black phosphorus heterogeneous structures. Carbon 2017, 117, 399–410. [Google Scholar] [CrossRef] [Green Version]
- Polak, E. Optimization: Algorithms and Consistent Approximations; Springer: Berlin/Heidelberg, Germany, 1997. [Google Scholar]
- Nosé, S. A unified formulation of the constant temperature molecular dynamics methods. J. Chem. Phys. 1984, 81, 511–519. [Google Scholar] [CrossRef] [Green Version]
- Hoover, W.G. Canonical dynamics: Equilibrium phase-space distributions. Phys. Rev. A 1985, 31, 1695. [Google Scholar] [CrossRef] [Green Version]
- Yoon, J.; Ru, C.Q.; Mioduchowski, A. Vibration of an embedded multiwall carbon nanotube. Compos. Sci. Technol. 2003, 63, 1533–1542. [Google Scholar] [CrossRef]








Publisher’s Note: MDPI stays neutral with regard to jurisdictional claims in published maps and institutional affiliations. |
© 2021 by the authors. Licensee MDPI, Basel, Switzerland. This article is an open access article distributed under the terms and conditions of the Creative Commons Attribution (CC BY) license (https://creativecommons.org/licenses/by/4.0/).
Share and Cite
Wang, J.; Chen, Y.; Yu, P. The Cohesive Energy and Vibration Characteristics of Parallel Single-Walled Carbon Nanotubes. Molecules 2021, 26, 7470. https://doi.org/10.3390/molecules26247470
Wang J, Chen Y, Yu P. The Cohesive Energy and Vibration Characteristics of Parallel Single-Walled Carbon Nanotubes. Molecules. 2021; 26(24):7470. https://doi.org/10.3390/molecules26247470
Chicago/Turabian StyleWang, Jun, Yinfeng Chen, and Peishi Yu. 2021. "The Cohesive Energy and Vibration Characteristics of Parallel Single-Walled Carbon Nanotubes" Molecules 26, no. 24: 7470. https://doi.org/10.3390/molecules26247470
APA StyleWang, J., Chen, Y., & Yu, P. (2021). The Cohesive Energy and Vibration Characteristics of Parallel Single-Walled Carbon Nanotubes. Molecules, 26(24), 7470. https://doi.org/10.3390/molecules26247470
