Enhancement of Antibiotic Activity by 1,8-Naphthyridine Derivatives against Multi-Resistant Bacterial Strains
Abstract
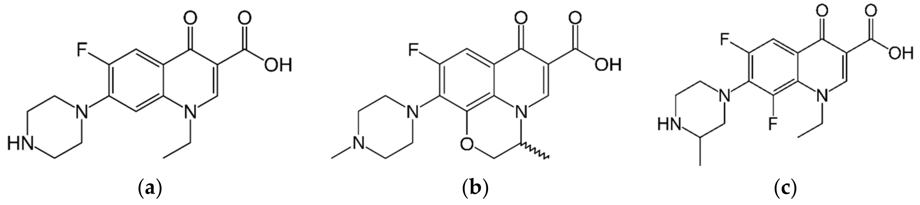
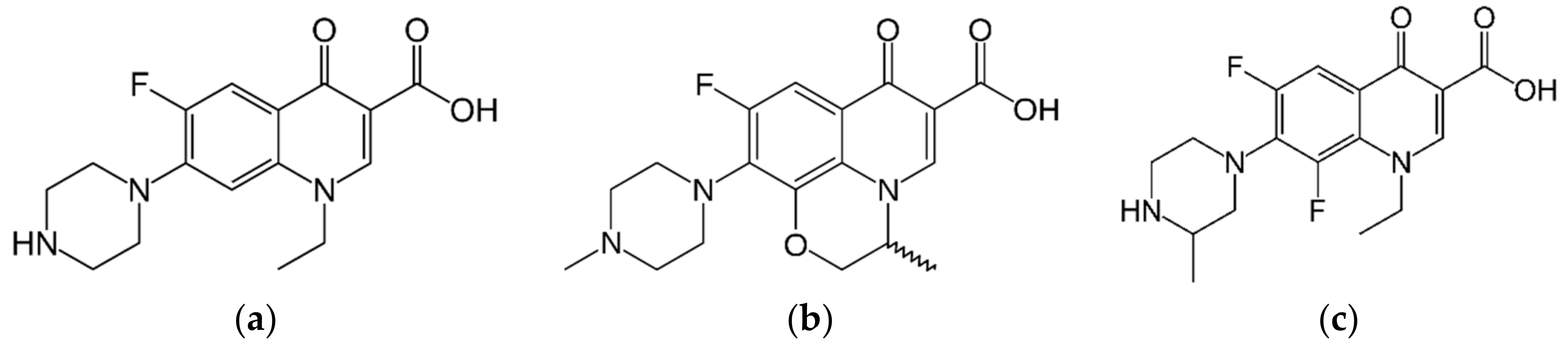
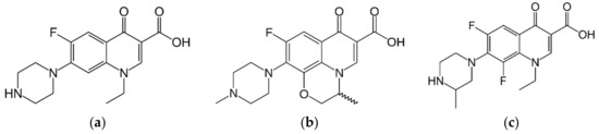
:1. Introduction
2. Results
2.1. Antibacterial Activity
2.2. Antibiotic-Modulating Activity
3. Discussion
4. Materials and Methods
4.1. Obtaining and Preparation of Nitrogen-Containing Heterocycles and Antibiotics
4.2. Bacterial Strains and Preparation of Inocula
4.3. Minimum Inhibitory Concentration (MIC)
4.4. Evaluation of the Antibiotic-Modulating Activity
4.5. Statistical Analysis
5. Conclusions
Supplementary Materials
Author Contributions
Funding
Institutional Review Board Statement
Informed Consent Statement
Data Availability Statement
Conflicts of Interest
Sample Availability
References
- Ribeiro Da Cunha, B.; Fonseca, L.P.; Calado, C.R.C. Antibiotic discovery: Where have we come from, where do we go? Antibiotics 2019, 8, 45. [Google Scholar] [CrossRef] [Green Version]
- Hutchings, M.I.; Truman, A.W.; Wilkinson, B. Antibiotics: Past, present and future. Curr. Opin. Microbiol. 2019, 51, 72–80. [Google Scholar] [CrossRef]
- Jacopin, E.; Lehtinen, S.; Débarre, F.; Blanquart, F. Factors favouring the evolution of multidrug resistance in bacteria. J. R. Soc. Interface 2020, 17, 20200105. [Google Scholar] [CrossRef]
- Tacconelli, E.; Carrara, E.; Savoldi, A.; Harbarth, S.; Mendelson, M.; Monnet, D.L.; Pulcini, C.; Kahlmeter, G.; Kluytmans, J.; Carmeli, Y.; et al. Discovery, research, and development of new antibiotics: The WHO priority list of antibiotic-resistant bacteria and tuberculosis. Lancet Infect. Dis. 2018, 18, 318–327. [Google Scholar] [CrossRef]
- Blair, J.M.A.; Webber, M.A.; Baylay, A.J.; Ogbolu, D.O.; Piddock, L.J.V. Molecular mechanisms of antibiotic resistance. Nat. Rev. Microbiol. 2015, 13, 42–51. [Google Scholar] [CrossRef]
- Varela, M.F.; Stephen, J.; Lekshmi, J.; Ojha, M.; Wenzel, N.; Sanford, L.M.; Hernandez, A.J.; Parvathi, A.; Kumar, S.H. Bacterial Resistance to Antimicrobial Agents. Antibiotics 2021, 10, 593. [Google Scholar] [CrossRef]
- León-Buitimea, A.; Garza-Cárdenas, C.R.; Garza-Cervantes, J.A.; Lerma-Escalera, J.A.; Morones-Ramírez, J.R. The demand for new antibiotics: Antimicrobial peptides, nanoparticles, and combinatorial therapies as future strategies in antibacterial agent design. Front. Microbiol. 2020, 11, 1669. [Google Scholar] [CrossRef]
- Saini, M.S.; Kumar, A.; Dwivedi, J.; Singh, R. A review: Biological significances of heterocyclic compounds. Int. J. Pharm. Sci. Res. 2013, 4, 66–77. [Google Scholar]
- Walsh, C.T. Nature loves nitrogen heterocycles. Tetrahedron Lett. 2015, 56, 3075–3081. [Google Scholar] [CrossRef]
- Taylor, A.P.; Robinson, R.P.; Fobian, Y.M.; Blakemore, D.C.; Jones, L.H.; Fadeyi, O. Modern advances in heterocyclic chemistry in drug discovery. Org. Biomol. Chem. 2016, 14, 6611–6637. [Google Scholar] [CrossRef]
- Parhi, A.K.; Zhang, Y.; Saionz, K.W.; Pradhan, P.; Kaul, M.; Trivedi, K.; Pilch, D.S.; LaVoie, E.J. Antibacterial activity of quinoxalines, quinazolines, and 1,5-naphthyridines. Bioorg. Med. Chem. Lett. 2013, 23, 4968–4974. [Google Scholar] [CrossRef]
- Gurjar, V.K.; Pal, D.; Mazumder, A.; Mazumder, R. Synthesis, Biological Evaluation and Molecular Docking Studies of Novel 1,8-Naphthyridine-3-carboxylic Acid Derivatives as Potential Antimicrobial Agents (Part-1). Indian J. Pharm. Sci. 2020, 82, 37–42. [Google Scholar] [CrossRef] [Green Version]
- Garvey, E.P.; Johns, B.A.; Gartland, M.J.; Foster, S.A.; Miller, W.H.; Ferris, R.G.; Hazen, R.J.; Underwood, M.R.; Boros, E.E.; Thompson, J.B.; et al. The naphthyridinone GSK364735 is a novel, potent human immunodeficiency virus type 1 integrase inhibitor and antiretroviral. Antimicrob. Agents Chemother. 2008, 52, 901–908. [Google Scholar] [CrossRef] [Green Version]
- Kumar, V.; Jaggi, M.; Singh, A.T.; Madaan, A.; Sanna, V.; Singh, P.; Sharma, P.K.; Irchhaiya, R.; Burman, A.C. 1,8-Naphthyridine-3-carboxamide derivatives with anticancer and anti-inflammatory activity. Eur. J. Med. Chem. 2009, 44, 3356–3362. [Google Scholar] [CrossRef]
- Zhuo, L.S.; Xu, H.C.; Wang, M.S.; Zhao, X.E.; Ming, Z.H.; Zhu, X.L.; Huang, W.; Yang, G.F. 2,7-naphthyridinone-based MET kinase inhibitors: A promising novel scaffold for antitumor drug development. Eur. J. Med. Chem. 2019, 178, 705–714. [Google Scholar] [CrossRef]
- Roma, G.; Di Braccio, M.; Grossi, G.; Piras, D.; Ballabeni, V.; Tognolini, M.; Bertoni, S.; Barocelli, E. 1,8-Naphthyridines VIII. Novel 5-aminoimidazo [1,2-a][1,8] naphthyridine-6-carboxamide and 5-amino [1,2,4] triazolo [4,3-a][1,8] naphthyridine-6-carboxamide derivatives showing potent analgesic or anti-inflammatory activity, respectively, and completely devoid of acute gastrolesivity. Eur. J. Med. Chem. 2010, 45, 352–366. [Google Scholar] [CrossRef]
- Abu-Melha, S.; Edrees, M.M.; Salem, H.H.; Kheder, N.A.; Gomha, S.M.; Abdelaziz, M.R. Synthesis and biological evaluation of some novel thiazole-based heterocycles as potential anticancer and antimicrobial agents. Molecules 2019, 24, 539. [Google Scholar] [CrossRef] [Green Version]
- Hong, C.Y.; Kim, Y.K.; Chang, J.H.; Kim, S.H.; Choi, H.; Nam, D.H.; Yong, Z.K.; Kwak, J.H. Novel Fluoroquinolone Antibacterial Agents Containing Oxime-Substituted (Aminomethyl) pyrrolidines: Synthesis and Antibacterial Activity of 7-(4-(Aminomethyl)-3-(methoxyimino)pyrrolidin-1-yl)-1-cyclopropyl-6-fluoro-4-oxo-1,4-dihydro[1,8]naphthyridine-3-carboxylic Acid (LB20304), 1. J. Med. Chem. 1997, 40, 3584–3593. [Google Scholar] [CrossRef]
- Suresh, T.; Dhanabal, T.; Kumar, R.N.; Mohan, P.S. Synthesis, characterization and antimicrobial activities of fused 1, 6-naphthyridines. Indian J. Chem. 2005, 44, 2375–2379. [Google Scholar] [CrossRef]
- Houghton, P.J.; Howes, M.J.; Lee, C.C.; Steventon, G. Uses and abuses of in vitro tests in ethnopharmacology: Visualizing an elephant. J. Ethnopharmacol. 2007, 110, 391–400. [Google Scholar] [CrossRef]
- Ezelarab, H.A.; Abbas, S.H.; Hassan, H.A.; Abuo-Rahma, G.E.D.A. Recent updates of fluoroquinolones as antibacterial agents. Arch. Pharmaz. 2018, 351, 1800141. [Google Scholar] [CrossRef]
- Drlica, K.; Zhao, X.; Malik, M.; Hiasa, H.; Mustaev, A.; Kerns, R. Fluoroquinolone resistance. In Bacterial Resistance to Antibiotics–From Molecules to Man, 1st ed.; Bonev, B.B., Brown, N.M., Eds.; John Wiley & Sons: Hoboken, NJ, USA, 2019; pp. 125–161. [Google Scholar]
- Hooper, D.C.; Jacoby, G.A. Topoisomerase inhibitors: Fluoroquinolone mechanisms of action and resistance. Cold Spring Harb. Perspect. Med. 2016, 6, a025320. [Google Scholar] [CrossRef] [Green Version]
- Everson da Silva, L.; Carlos Joussef, A.; Kramer Pacheco, L.; Bibas Legat Albino, D.; Mauricio Camilo Duarte, A.; Steindel, M.; Andrade Rebelo, R. Synthesis and antiparasitic activity against Trypanosoma cruzi and Leishmania amazonensis of chlorinated 1,7- and 1,8-naphthyridines. Lett. Drug Des. Discov. 2007, 4, 154–159. [Google Scholar] [CrossRef]
- Nasato, M.C. 1,8-naftiridinas Sulfonamídicas: Obtenção, Caracterização e Avaliação Antiprotozoária e Antifúngica. Master’s Thesis, Fundação Universidade Regional de Blumenau, Blumenau, Brazil, 2017. [Google Scholar]
- Singh, S.B.; Kaelin, D.E.; Wu, J.; Miesel, L.; Tan, C.M.; Black, T.; Nargund, R.; Meinke, P.T.; Olsen, D.B.; Lagrutta, A.; et al. Tricyclic 1,5-naphthyridinone oxabicyclooctane-linked novel bacterial topoisomerase inhibitors as broad-spectrum antibacterial agents-SAR of left-hand-side moiety (Part-2). Bioorg. Med. Chem. Lett. 2015, 25, 1831–1835. [Google Scholar] [CrossRef] [PubMed]
- Sampson, P.B.; Picard, C.; Handerson, S.; McGrath, T.E.; Domagala, M.; Leeson, A.; Romanov, V.; Awrey, D.E.; Thambipillai, D.; Bardouniotis, E.; et al. Spiro-naphthyridinone piperidines as inhibitors of S. aureus and E. coli enoyl-ACP reductase (FabI). Bioorg. Med. Chem. Lett. 2009, 19, 5355–5358. [Google Scholar] [CrossRef]
- Eweas, A.F.; Khalifa, N.M.; Ismail, N.S.; Al-Omar, M.A.; Soliman, A.M.M. Synthesis, molecular docking of novel 1,8-naphthyridine derivatives and their cytotoxic activity against HepG2 cell lines. Med. Chem. Res. 2014, 23, 76–86. [Google Scholar] [CrossRef]
- Gençer, H.K.; Levent, S.; Çevik, U.A.; Özkay, Y.; Ilgın, S. New 1,4-dihydro [1,8] naphthyridine derivatives as DNA gyrase inhibitors. Bioorg. Med. Chem. Lett. 2017, 27, 1162. [Google Scholar] [CrossRef]
- Da Silva, M.M.; De Araújo-Neto, J.B.; De Araújo, A.C.; Freitas, P.R.; Oliveira-Tintino, C.D.D.M.; Begnini, I.M.; Rebelo, R.A.; Da Silva, L.E.; Mireski, S.L.; Nasato, M.C.; et al. Potentiation of Antibiotic Activity by a Meldrum’s Acid Arylamino Methylene Derivative against Multidrug-Resistant Bacterial Strains. Indian J. Microbiol. 2021, 61, 100–103. [Google Scholar] [CrossRef] [PubMed]
- De Morais Oliveira-Tintino, C.D.; Tintino, S.R.; Muniz, D.F.; Dos Santos Barbosa, C.R.; Pereira, R.L.S.; Begnini, I.M.; Rebelo, R.A.; Da Silva, L.E.; Mireski, S.L.; Nasato, M.C.; et al. Do 1,8-naphthyridine sulfonamides possess an inhibitory action against Tet (K) and MsrA efflux pumps in multiresistant Staphylococcus aureus strains? Microb. Pathog. 2020, 147, 104268. [Google Scholar] [CrossRef]
- Tintino, S.R.; de Souza, V.C.; Silva, J.; Oliveira-Tintino, C.D.D.M.; Pereira, P.S.; Leal-Balbino, T.C.; Pereira-Neves, A.; Siqueira-Junior, J.P.; da Costa, J.G.; Rodrigues, F.F.; et al. Effect of vitamin K3 inhibiting the function of NorA efflux pump and its gene expression on Staphylococcus aureus. Membranes 2020, 10, 130. [Google Scholar] [CrossRef]
- De Morais Oliveira-Tintino, C.D.; Muniz, D.F.; Dos Santos Barbosa, C.R.; Pereira, R.L.S.; Begnini, I.M.; Rebelo, R.A.; Da Silva, L.E.; Mireski, S.L.; Nasato, M.C.; Krautler, M.I.L.; et al. The 1,8-naphthyridines sulfonamides are NorA efflux pump inhibitors. J. Glob. Antimicrob. Resist. 2021, 24, 233. [Google Scholar] [CrossRef]
- De Morais Oliveira-Tintino, C.D.; Tintino, S.R.; Muniz, D.F.; Dos Santos Barbosa, C.R.; Pereira, R.L.S.; Begnini, I.M.; Rebelo, R.A.; Da Silva, L.E.; Mireski, S.L.; Nasato, M.C.; et al. Chemical synthesis, molecular docking and MepA efflux pump inhibitory effect by 1,8-naphthyridines sulfonamides. Eur. J. Pharm. Sci. 2021, 160, 105753. [Google Scholar] [CrossRef]
- Madaan, A.; Verma, R.; Kumar, V.; Singh, A.T.; Jain, S.K.; Jaggi, M. 1,8-Naphthyridine Derivatives: A Review of Multiple Biological Activities. Arch. Pharmaz. 2015, 348, 837–860. [Google Scholar] [CrossRef]
- Leonard, J.T.; Gangadhar, R.; Gnanasam, S.K.; Ramachandran, S.; Saravanan, M.; Sridhar, S.K. Synthesis and pharmacological activities of 1,8-naphthyridine derivatives. Biol. Pharm. Bull. 2002, 25, 798–802. [Google Scholar] [CrossRef] [Green Version]
- Martinez, S.R.; Pavani, C.C.; Baptista, M.S.; Becerra, M.C.; Quevedo, M.A.; Ribone, S.R. Identification of the potential biological target of N-benzenesulfonyl-1,2,3,4-tetrahydroquinoline compounds active against gram-positive and gram-negative bacteria. J. Biomol. Struct. Dyn. 2019, 23, 2412–2421. [Google Scholar] [CrossRef]
- Coutinho, H.D.M.; De Freitas, M.A.; Gondim, C.N.F.L.; De Albuquerque, R.S.; De Alencar Ferreira, J.V.; Andrade, J.C. In vitro antimicrobial activity of Geraniol and Cariophyllene against Staphylococcus aureus. Rev. Cuba. Plantas Med. 2015, 20, 98–105. [Google Scholar]
- Brunton, L.; Chabner, B.; Knollman, B. Goodman and Gilman’s The Pharmacological Basis of Therapeutics, 12th ed.; McGraw-Hill: San Diego, CA, USA, 2011; p. 1808. [Google Scholar]
- Sampaio, G.M.; Teixeira, A.M.; Coutinho, H.D.; Junior, D.M.S.; Freire, P.T.; Bento, R.R.; Silva, L.E. Synthesis and antibacterial activity of a new derivative of the Meldrun acid: 2,2-dimethyl-5-(4H-1,2,4-triazol-4-ylaminomethylene)-1,3-dioxane-4,6-dione (C9H10N4O4). EXCLI J. 2014, 13, 1022. [Google Scholar]
- Gomes, F.M.S.; Da Cunha Xavier, J.; Dos Santos, J.F.S.; De Matos, Y.M.L.S.; Tintino, S.R.; De Freitas, T.S.; Coutinho, H.D.M. Evaluation of antibacterial and modifying action of catechin antibiotics in resistant strains. Microb. Pathog. 2018, 115, 175–178. [Google Scholar] [CrossRef]
- Bezerra, C.F.; Camilo, C.J.; Do Nascimento Silva, M.K.; De Freitas, T.S.; Ribeiro-Filho, J.; Coutinho, H.D.M. Vanillin selectively modulates the action of antibiotics against resistant bacteria. Microb. Pathog. 2017, 113, 265–268. [Google Scholar] [CrossRef]
- De Sousa Oliveira, F.; De Freitas, T.S.; Da Cruz, R.P.; Do Socorro Costa, M.; Pereira, R.L.S.; Quintans-Júnior, L.J.; Andrade, T.A.; Menezes, P.P.; Sousa, B.M.H.; Nunes, P.S.; et al. Evaluation of the antibacterial and modulatory potential of α-bisabolol, β-cyclodextrin and α-bisabolol/β-cyclodextrin complex. Biomed. Pharmacother. 2017, 92, 1111–1118. [Google Scholar] [CrossRef]
- Javadpour, M.M.; Juban, M.M.; Lo, W.C.J.; Bishop, S.M.; Alberty, J.B.; Cowell, S.M.; Becker, C.L.; McLaughlin, M.L. De novo antimicrobial peptides with low mammalian cell toxicity. J. Med. Chem. 1996, 39, 3107–3113. [Google Scholar] [CrossRef]
- Coutinho, H.D.; Costa, J.G.; Lima, E.O.; Falcão-Silva, V.S.; Siqueira-Júnior, J.P. Enhancement of the antibiotic activity against a multiresistant Escherichia coli by Mentha arvensis L. and chlorpromazine. Chemotherapy 2008, 54, 328–330. [Google Scholar] [CrossRef]




Publisher’s Note: MDPI stays neutral with regard to jurisdictional claims in published maps and institutional affiliations. |
© 2021 by the authors. Licensee MDPI, Basel, Switzerland. This article is an open access article distributed under the terms and conditions of the Creative Commons Attribution (CC BY) license (https://creativecommons.org/licenses/by/4.0/).
Share and Cite
Araújo-Neto, J.B.d.; Silva, M.M.C.d.; Oliveira-Tintino, C.D.d.M.; Begnini, I.M.; Rebelo, R.A.; Silva, L.E.d.; Mireski, S.L.; Nasato, M.C.; Krautler, M.I.L.; Ribeiro-Filho, J.; et al. Enhancement of Antibiotic Activity by 1,8-Naphthyridine Derivatives against Multi-Resistant Bacterial Strains. Molecules 2021, 26, 7400. https://doi.org/10.3390/molecules26237400
Araújo-Neto JBd, Silva MMCd, Oliveira-Tintino CDdM, Begnini IM, Rebelo RA, Silva LEd, Mireski SL, Nasato MC, Krautler MIL, Ribeiro-Filho J, et al. Enhancement of Antibiotic Activity by 1,8-Naphthyridine Derivatives against Multi-Resistant Bacterial Strains. Molecules. 2021; 26(23):7400. https://doi.org/10.3390/molecules26237400
Chicago/Turabian StyleAraújo-Neto, José B. de, Maria M. C. da Silva, Cícera D. de M. Oliveira-Tintino, Iêda M. Begnini, Ricardo A. Rebelo, Luiz E. da Silva, Sandro L. Mireski, Michele C. Nasato, Maria I. L. Krautler, Jaime Ribeiro-Filho, and et al. 2021. "Enhancement of Antibiotic Activity by 1,8-Naphthyridine Derivatives against Multi-Resistant Bacterial Strains" Molecules 26, no. 23: 7400. https://doi.org/10.3390/molecules26237400
APA StyleAraújo-Neto, J. B. d., Silva, M. M. C. d., Oliveira-Tintino, C. D. d. M., Begnini, I. M., Rebelo, R. A., Silva, L. E. d., Mireski, S. L., Nasato, M. C., Krautler, M. I. L., Ribeiro-Filho, J., Siyadatpanah, A., Wilairatana, P., Coutinho, H. D. M., & Tintino, S. R. (2021). Enhancement of Antibiotic Activity by 1,8-Naphthyridine Derivatives against Multi-Resistant Bacterial Strains. Molecules, 26(23), 7400. https://doi.org/10.3390/molecules26237400

