The First Selenoanhydride in the Series of Chlorophyll a Derivatives, Its Stability and Photoinduced Cytotoxicity
Abstract
:1. Introduction
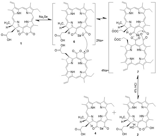
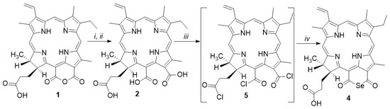
2. Results
3. Discussion
4. Materials and Methods
4.1. Materials and Instruments
4.2. Synthesis
4.3. A Study of Stability at Different pH Values
4.4. A Study of Photoinduced Production of Singlet Oxygen and ∙OH-Radicals
4.5. A Study of Photoinduced Activity In Vitro
4.6. A Study Intracellular Accumulation
4.7. Assessment of Intracellular Accumulation
5. Conclusions
Supplementary Materials
Author Contributions
Funding
Data Availability Statement
Acknowledgments
Conflicts of Interest
Sample Availability
References
- Furdyna, J.K.; Dong, S.N.; Lee, S.; Liu, X.; Dobrowolska, M. The ubiquitous nature of chalcogenides in science and technology. In Chalcogenide; Woodhead Publishing: Duxford, UK, 2020; pp. 1–30. [Google Scholar] [CrossRef]
- Ho, P.C.; Wang, J.Z.; Meloni, F.; Vargas-Baca, I. Chalcogen bonding in materials chemistry. Coord. Chem. Rev. 2020, 422, 213464. [Google Scholar] [CrossRef]
- Wessjohann, L.A.; Schneider, A.; Abbas, M.; Brandt, W. Selenium in chemistry and biochemistry in comparison to sulfur. Biol. Chem. 2007, 338, 997–1006. [Google Scholar] [CrossRef]
- Bhagavan, N.V.; Ha, C.-E. Chapter 3—Amino Acids. In Essentials of Medical Biochemistry, 2nd ed.; Academic Press: Cambridge, MA, USA, 2015; pp. 21–29. [Google Scholar] [CrossRef]
- Jacob, C.; Giles, G.I.; Giles, N.M.; Sies, H. Sulfur and selenium: The role of oxidation state in protein structure and function. Angew. Chem. Int. Ed. 2003, 42, 4742–4758. [Google Scholar] [CrossRef]
- Gladyshev, V.N.; Hatfield, D.L. Selenocysteine-containing proteins in mammals. J. Biomed. Sci. 1999, 6, 151–160. [Google Scholar] [CrossRef]
- Clark, D.P.; Pazdernik, N.J.; McGehee, M.R. Chapter 13—Protein Synthesis. In Molecular Biology, 3rd ed.; Elsevier: Amsterdam, The Netherlands, 2019; pp. 397–444. [Google Scholar]
- Singh, V.P.; Poon, J.F.; Butcher, R.J.; Engman, L. Pyridoxine-derived organoselenium compounds with glutathione peroxidase-like and chain-breaking antioxidant activity. Chem. Eur. J. 2014, 20, 12563–12571. [Google Scholar] [CrossRef]
- Brigelius-Flohé, R.; Maiorino, M. Glutathione peroxidases. Biochim. Biophys. Acta Gen. Subj. 2013, 1830, 3289–3303. [Google Scholar] [CrossRef]
- Rayman, M.P. The importance of selenium to human health. Lancet 2000, 356, 233–241. [Google Scholar] [CrossRef] [Green Version]
- Rayman, M.P. Selenium and human health. Lancet 2012, 379, 1256–1268. [Google Scholar] [CrossRef]
- Levander, O.A. Selenium and sulfur in antioxidant protective systems: Relationships with vitamin E and malaria. Proc. Soc. Exp. Biol. Med. 1992, 200, 255–259. [Google Scholar] [CrossRef] [PubMed]
- Battin, E.E.; Brumaghim, J.L. Antioxidant activity of sulfur and selenium: A review of reactive oxygen species scavenging, glutathione peroxidase, and metal-binding antioxidant mechanisms. Cell Biochem. Biophys. 2009, 55, 1–23. [Google Scholar] [CrossRef] [PubMed]
- Cheng, B.; Lian, H.-F.; Liu, Y.-Y.; Yu, X.-H.; Sun, Y.-L.; Sun, X.-D.; Shi, Q.-H.; Liu, S.-Q. Effects of selenium and sulfur on antioxidants and physiological parameters of garlic plants during senescence. J. Integr. Agric. 2016, 15, 566–572. [Google Scholar] [CrossRef] [Green Version]
- Kamal, A.; Iqbal, M.A.; Bhatti, H.N. Therapeutic applications of selenium-derived compounds. Rev. Inorg. Chem. 2018, 38, 49–76. [Google Scholar] [CrossRef]
- Gandin, V.; Khalkar, P.; Braude, J.; Fernandes, A.P. Organic selenium compounds as potential chemotherapeutic agents for improved cancer treatment. Free Radic. Biol. Med. 2018, 127, 80–97. [Google Scholar] [CrossRef] [PubMed]
- Radomska, D.; Czarnomysy, R.; Radomski, D.; Bielawski, K. Selenium Compounds as Novel Potential Anticancer Agents. Int. J. Mol. Sci. 2021, 22, 1009. [Google Scholar] [CrossRef]
- Li, T.; Xu, H. Selenium-containing nanomaterials for cancer treatment. Cell Rep. Phys. Sci. 2020, 1, 100111. [Google Scholar] [CrossRef]
- Plano, D.; Baquedano, Y.; Ibáñez, E.; Jiménez, I.; Palop, J.A.; Spallholz, J.E.; Sanmartín, C. Antioxidant-prooxidant properties of a new organoselenium compound library. Molecules 2010, 15, 7292–7312. [Google Scholar] [CrossRef] [PubMed]
- George, S.; Abrahamse, H. Redox potential of antioxidants in cancer progression and prevention. Antioxidants 2020, 9, 1156. [Google Scholar] [CrossRef] [PubMed]
- Zalewska-Ziob, M.; Adamek, B.; Kasperczyk, J.; Romuk, E.; Hudziec, E.; Chwalińska, E.; Dobija-Kubica, K.; Rogoziński, P.; Bruliński, K. Activity of antioxidant enzymes in the tumor and adjacent noncancerous tissues of non-small-cell lung cancer. Oxidative Med. Cell. Longev. 2019, 2019, 2901840. [Google Scholar] [CrossRef] [Green Version]
- Marengo, B.; Nitti, M.; Furfaro, A.L.; Colla, R.; De Ciucis, C.; Marinari, U.M.; Pronzato, M.A.; Traverso, N.; Domenicotti, C. Redox homeostasis and cellular antioxidant systems: Crucial players in cancer growth and therapy. Oxid. Med. Cell. Longev. 2016, 2016, 6235641. [Google Scholar] [CrossRef] [Green Version]
- Eicher, T.; Hauptmann, S.; Speicher, A. The Chemistry of Heterocycles: Structures, Reactions, Synthesis, and Applications; John Wiley & Sons: Hoboken, NJ, USA, 2013; pp. 69–70. [Google Scholar]
- Pelkey, E.T. 3.13—Selenophenes. In Comprehensive Heterocyclic Chemistry; Elsevier: Amsterdam, The Netherlands, 2008; Volume 3, pp. 975–1006. [Google Scholar] [CrossRef]
- Mugesh, G.; du Mont, W.W.; Sies, H. Chemistry of biologically important synthetic organoselenium compounds. Chem. Rev. 2001, 101, 2125–2180. [Google Scholar] [CrossRef] [PubMed]
- Makhal, P.N.; Nandi, A.; Kaki, V.R. Insights into the Recent Synthetic Advances of Organoselenium Compounds. ChemistrySelect 2021, 6, 663–679. [Google Scholar] [CrossRef]
- Kalyanam, N.; Majeed, M. Selenium compounds in medicine and nutrition. Chim. Oggi 2007, 25, 36–38. [Google Scholar]
- Kanari, N.; Allain, E.; Shallari, S.; Diot, F.; Diliberto, S.; Patisson, F.; Yvon, J. Thermochemical route for extraction and recycling of critical, strategic and high value elements from by-products and end-of-life materials, Part I: Treatment of a Copper By-Product in Air Atmosphere. Materials 2019, 12, 1625. [Google Scholar] [CrossRef] [Green Version]
- Patra, A.; Bendikov, M.; Chand, S. Poly(3,4-ethylenedioxyselenophene) and its derivatives: Novel organic electronic materials. Acc. Chem. Res. 2014, 47, 1465–1474. [Google Scholar] [CrossRef] [PubMed]
- Sun, C.; Ji, S.; Li, F.; Xu, H. Diselenide-containing hyperbranched polymer with light-induced cytotoxicity. ACS Appl. Mater. Interfaces 2017, 9, 12924–12929. [Google Scholar] [CrossRef] [PubMed]
- Li, T.; Pan, S.; Gao, S.; Xiang, W.; Sun, C.; Cao, W.; Xu, H. Diselenide–Pemetrexed Assemblies for Combined Cancer Immuno-, Radio-, and Chemotherapies. Angew. Chem. Int. Ed. 2020, 59, 2700–2704. [Google Scholar] [CrossRef]
- Kwiatkowski, S.; Knap, B.; Przystupski, D.; Saczko, J.; Kędzierska, E.; Knap-Czop, K.; Kulbacka, J. Photodynamic therapy—Mechanisms, photosensitizers and combinations. Biomed. Pharmacother. 2018, 106, 1098–1107. [Google Scholar] [CrossRef]
- Pucelik, B.; Sułek, A.; Dąbrowski, J.M. Bacteriochlorins and their metal complexes as NIR-absorbing photosensitizers: Properties, mechanisms, and applications. Coord. Chem. Rev. 2020, 416, 213340. [Google Scholar] [CrossRef]
- Koifman, O.; Ageeva, T.; Beletskaya, I.; Averin, A.; Yakushev, A.; Tomilova, L.; Dubinina, T.; Tsivadze, A.; Gorbunova, Y.; Martynov, A.; et al. Macroheterocyclic Compounds—A Key Building Block in New Functional Materials and Molecular Devices. Macroheterocyclic 2020, 13, 316–447. [Google Scholar] [CrossRef]
- Lam, M.; Oleinick, N.L.; Nieminen, A.L. Photodynamic therapy-induced apoptosis in epidermoid carcinoma cells: Reactive oxygen species and mitochondrial inner membrane permeabilization. J. Biol. Chem. 2001, 276, 47379–47386. [Google Scholar] [CrossRef] [Green Version]
- Semyonov, D.Y.; Vasil’ev, Y.L.; Dydykin, S.S.; Stranadko, E.F.; Shubin, V.K.; Bogomazov, Y.K.; Morokhotov, V.A.; Shcherbyuk, A.N.; Morozov, S.V.; Zakharov, Y.I. Antimicrobial and antimycotic photodynamic therapy (review of literature). Biomed. Photonics 2021, 10, 25–31. [Google Scholar] [CrossRef]
- Grin, M.A.; Tikhonov, S.I.; Petrova, A.S.; Pogorilyy, V.A.; Noev, A.N.; Tatarskiy, V.V.; Shpakovsky, D.B.; Milaeva, E.R.; Kalinina, E.V.; Chernov, N.N.; et al. New Derivatives of Bacteriopurpurin with Thiolated Au (I) Complexes: Dual Darkand Light Activated Antitumor Potency. Anti Cancer Agents Med. Chem. 2020, 20, 49–58. [Google Scholar] [CrossRef]
- Suvorov, N.V.; Machulkin, A.E.; Ivanova, A.V.; Popkov, A.M.; Bondareva, E.A.; Plotnikova, E.A.; Yakubovskaya, R.I.; Majouga, A.G.; Mironov, A.F.; Grin, M.A. Synthesis of PSMA-targeted 131- and 152-substituted chlorin e6 derivatives and their biological properties. J. Porphyr. Phthalocyanines 2018, 22, 1030–1038. [Google Scholar] [CrossRef]
- Mironov, A.F.; Grin, M.A.; Pantushenko, I.V.; Ostroverkhov, P.V.; Ivanenkov, Y.A.; Filkov, G.I.; Plotnikova, E.A.; Karmakova, T.A.; Starovoitova, A.V.; Burmistrova, N.; et al. Synthesis and Investigation of photophysical and biological properties of novel s-containing bacteriopurpurinimides. J. Med. Chem. 2017, 60, 10220–10230. [Google Scholar] [CrossRef]
- Mironov, A.F.; Ostroverkhov, P.V.; Tikhonov, S.I.; Pogorilyy, V.A.; Kirin, N.S.; Chudakova, O.O.; Tsygankov, A.A.; Grin, M.A. Amino acid derivatives of natural chlorins as a platform for the creation of targeted photosensitizers in oncology. Fine Chem. Technol. 2021, 15, 16–33. [Google Scholar] [CrossRef]
- Latos-Grażyński, L.; Pacholska, E.; Chmielewski, P.J.; Olmstead, M.M.; Balch, A.L.; Latos-Grażyński, L. Alteration of the Reactivity of a Tellurophene Within a Core-Modified Porphyrin Environment: Synthesis and Oxidation of 21-Telluraporphyrin. Angew. Chem. Int. Ed. Engl. 1995, 34, 2252–2254. [Google Scholar] [CrossRef]
- Kobayashi, N.; Kadish, K.M.; Smith, K.M.; Guilard, R. The Porphyrin Handbook; Academic Press: San Diego, CA, USA, 2000; Volume 2, pp. 301–360. [Google Scholar]
- Srinivasan, A.; Mahajan, S.; Pushpan, S.K.; Ravikumar, M.; Chandrashekar, T.K. Synthesis of meso-substituted core modified expanded porphyrins; effect of acid catalysts on the cyclization. Tetrahedron Lett. 1998, 39, 1961–1964. [Google Scholar] [CrossRef]
- Latos-Grazynski, L.; Lisowski, J.; Olmstead, M.M.; Balch, A.L. Five-coordinate complexes of 21-thiaporphyrin. Preparations, spectra, and structures of iron(II), nickel(II), and copper(II) complexes. Inorg. Chem. 1989, 28, 1183–1188. [Google Scholar] [CrossRef]
- Latos-Grazynski, L.; Olmstead, M.M.; Balch, A.L. The first structural characterization of a nickel(I) macrocyclic system: Structure of nickel(I) diphenyldi-p-toyl-21-thiaporphyrin. Inorg. Chem. 1989, 28, 4065–4066. [Google Scholar] [CrossRef]
- Gebauer, A.; Schmidt, J.A.; Arnold, J. Synthesis, characterization, and properties of a lithium 21-thiaporphyrin complex. Inorg. Chem. 2000, 39, 3424–3427. [Google Scholar] [CrossRef] [PubMed]
- Smith, K.M. Porphyrins and Metalloporphyrins; Elsevier: Amsterdam, The Netherlands, 1975; Volume 9, pp. 3–27. [Google Scholar]
- Latos-Grazynski, L.; Lisowski, J.; Olmstead, M.M.; Balch, A.L. 21-Thiatetra-p-tolylporphyrin and its copper(II) bicarbonate complex. Structural effects of copper-thiophene binding. J. Am. Chem. Soc. 1987, 109, 4428–4429. [Google Scholar] [CrossRef]
- Symonowicz, K.; Ziolkowski, P.; Chmielewski, P.; Latos-Grazynski, L.; Rabczynski, J.; Osiecka, B.J.; Milach, J. Tumor histopathology following new sensitizers: Dithiaporphyrin- and sulfoxaporphyrin-mediated photodynamic therapy. Anticancer Res. 1999, 19, 5385–5391. [Google Scholar]
- Pogorilyy, V.; Kirin, N.; Mironov, A.; Grin, M. A new cyclic thioanhydride derived from chlorophyll a and its aurophilic properties. Dye Pigments 2021, 184, 108858. [Google Scholar] [CrossRef]
- Ishihara, H.; Koketsu, M.; Fukuta, Y.; Nada, F. Reaction of lithium aluminum hydride with elemental selenium: Its application as a selenating reagent into organic molecules. J. Am. Chem. Soc. 2001, 123, 8408–8409. [Google Scholar] [CrossRef]
- Zhang, X.; Lin, Y.; Gillies, R.J. Tumor pH and its measurement. J. Nucl. Med. 2010, 51, 1167–1170. [Google Scholar] [CrossRef] [PubMed] [Green Version]
- Pylina, Y.I.; Shadrin, D.M.; Shevchenko, O.G.; Startseva, O.M.; Velegzhaninov, I.O.; Belykh, D.V.; Velegzhaninov, I.O. Dark and photoinduced cytotoxic activity of the new chlorophyll-a derivatives with oligoethylene glycol substituents on the periphery of their macrocycles. Int. J. Mol. Sci. 2017, 18, 103. [Google Scholar] [CrossRef] [PubMed] [Green Version]
- Zenkevich, E.; Sagun, E.; Knyukshto, V.; Shulga, A.; Mironov, A.; Efremova, O.; Bonnett, R.; Songca, S.P.; Kassem, M. Photophysical and photochemical properties of potential porphyrin and chlorin photosensitizers for PDT. J. Photochem. Photobiol. B Biol. 1996, 33, 171–180. [Google Scholar] [CrossRef]
- Blum, A.; Grossweiner, L.I. Singlet oxygen generation by hematoporphyrin IX, uroporphyrin I and hematoporphyrin derivative at 546 nm in phosphate buffer and in the presence of egg phosphatidylcholine liposomes. Photochem. Photobiol. Sci. 1985, 41, 27–32. [Google Scholar] [CrossRef] [PubMed]
- Efremenko, A.V.; Ignatova, A.A.; Borsheva, A.A.; Grin, M.A.; Bregadze, V.I.; Sivaev, I.B.; Sivaev, I.B.; Mironov, A.F.; Feofanov, A.V. Cobalt bis(dicarbollide) versus closo-dodecaborate in boronated chlorin e6 conjugates: Implications for photodynamic and boron-neutron capture therapy. Photochem. Photobiol. Sci. 2012, 11, 645–652. [Google Scholar] [CrossRef]
- Gandin, E.; Lion, Y.; Van de Vorst, A. Quantum yield of singlet oxygen production by xanthene derivatives. Photochem. Photobiol. 1983, 37, 271–278. [Google Scholar] [CrossRef]
- Bors, W.; Saran, M.; Lengfelder, E.; Michel, C.; Fuchs, C.; Frenzel, C. Detection of oxygen radicals in biological reactions. Photochem. Photobiol. 1978, 28, 629–637. [Google Scholar] [CrossRef] [PubMed]









| Time, min. | Purpurin-18 (1) | Chlorin p6 Thioanhydride (3) | Chlorin p6 Selenoanhydride (4) | |||
|---|---|---|---|---|---|---|
| Intensity at 700 nm | Content, % | Intensity at 698 nm | Content, % | Intensity at 696 nm | Content, % | |
| 0 | 0.99055 | 100 | 0.98381 | 100 | 0.99306 | 100 |
| 60 | 0.72335 | 73 | 0.74801 | 76 | 0.93902 | 94.5 |
| 1440 | 0.51956 | 52.5 | 0.69036 | 70 | 0.89705 | 90 |
Publisher’s Note: MDPI stays neutral with regard to jurisdictional claims in published maps and institutional affiliations. |
© 2021 by the authors. Licensee MDPI, Basel, Switzerland. This article is an open access article distributed under the terms and conditions of the Creative Commons Attribution (CC BY) license (https://creativecommons.org/licenses/by/4.0/).
Share and Cite
Pogorilyy, V.; Plyutinskaya, A.; Suvorov, N.; Diachkova, E.; Vasil’ev, Y.; Pankratov, A.; Mironov, A.; Grin, M. The First Selenoanhydride in the Series of Chlorophyll a Derivatives, Its Stability and Photoinduced Cytotoxicity. Molecules 2021, 26, 7298. https://doi.org/10.3390/molecules26237298
Pogorilyy V, Plyutinskaya A, Suvorov N, Diachkova E, Vasil’ev Y, Pankratov A, Mironov A, Grin M. The First Selenoanhydride in the Series of Chlorophyll a Derivatives, Its Stability and Photoinduced Cytotoxicity. Molecules. 2021; 26(23):7298. https://doi.org/10.3390/molecules26237298
Chicago/Turabian StylePogorilyy, Viktor, Anna Plyutinskaya, Nikita Suvorov, Ekaterina Diachkova, Yuriy Vasil’ev, Andrei Pankratov, Andrey Mironov, and Mikhail Grin. 2021. "The First Selenoanhydride in the Series of Chlorophyll a Derivatives, Its Stability and Photoinduced Cytotoxicity" Molecules 26, no. 23: 7298. https://doi.org/10.3390/molecules26237298
APA StylePogorilyy, V., Plyutinskaya, A., Suvorov, N., Diachkova, E., Vasil’ev, Y., Pankratov, A., Mironov, A., & Grin, M. (2021). The First Selenoanhydride in the Series of Chlorophyll a Derivatives, Its Stability and Photoinduced Cytotoxicity. Molecules, 26(23), 7298. https://doi.org/10.3390/molecules26237298

