A Dynamic Model and Parameter Identification of High Viscosity Magnetorheological Fluid-Based Energy Absorber with Radial Flow Mode
Abstract
:1. Introduction
2. High-Speed Drop Tower Test
2.1. Constitutive Model of HVLP MRF
2.2. MREA Configuration
2.3. Drop Tower Test Setup
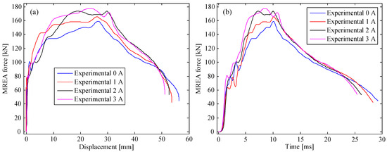
2.4. Test Result Analysis
3. MREA Model
3.1. Deformation Force
3.2. Damping Force Based on the E-HBM Model
4. Parameter Identification of the E-HBM Model
4.1. Model Parameters in the Non-Controllable Channels
4.1.1. Model Parameters in the Corrugated Tube
4.1.2. Model Parameters in Axial and Annular Channels
4.2. Model Parameters in the Controllable Channel
4.3. Damping Coefficient of Minor Losses
5. Evaluation of E-HBM Model
5.1. Peak Force and Mean Force
5.2. Crush Force Efficiency
5.3. Specific Energy Absorption
5.4. Stroke Efficiency
6. Conclusions
Author Contributions
Funding
Institutional Review Board Statement
Informed Consent Statement
Data Availability Statement
Acknowledgments
Conflicts of Interest
Sample Availability
References
- Rabinow, J. The magnetic fluid clutch. Trans. Am. Inst. Electr. Eng. 1948, 67, 1308–1315. [Google Scholar] [CrossRef]
- Mao, M.; Hu, W.; Choi, Y.T.; Wereley, N.M.; Browne, A.L.; Unicny, J. Experimental validation of a magnetorheological energy absorber design analysis. J. Intell. Mater. Syst. Struct. 2014, 25, 352–363. [Google Scholar] [CrossRef]
- Wereley, N.M.; Choi, Y.T.; Singh, H.J. Adaptive energy absorbers for drop-induced shock mitigation. J. Intell. Mater. Syst. Struct. 2011, 22, 515–519. [Google Scholar] [CrossRef]
- Ahmadian, M. Magneto-rheological suspensions for improving ground vehicle’s ride comfort, stability, and handling. Veh. Syst. Dyn. 2017, 55, 1618–1642. [Google Scholar] [CrossRef]
- Nguyen, S.D.; Choi, S.B.; Nguyen, Q.H. A new fuzzy-disturbance observer-enhanced sliding controller for vibration control of a train-car suspension with magnetorheological dampers. Mech. Syst. Signal Process. 2018, 105, 447–466. [Google Scholar] [CrossRef]
- Sassi, S.; Sassi, A.; Cherif, K.; Tarlochan, F. Magnetorheological damper with external excitation for more efficient control of vehicles’ dynamics. J. Intell. Mater. Syst. Struct. 2018, 29, 2919–2932. [Google Scholar] [CrossRef]
- Duan, Y.F.; Ni, Y.Q.; Ko, J.M. State-derivative feedback control of cable vibration using semiactive magnetorheological dampers. Comput.-Aided Civ. Infrastruct. Eng. 2005, 20, 431–449. [Google Scholar] [CrossRef]
- Wu, W.J.; Cai, C.S. Cable vibration control with a semiactive MR damper-numerical simulation and experimental verification. Struct. Eng. Mech. 2010, 34, 611–623. [Google Scholar] [CrossRef]
- Weber, F.; Distl, H. Amplitude and frequency independent cable damping of Sutong Bridge and Russky Bridge by magnetorheological dampers. Struct. Control Health Monit. 2015, 22, 237–254. [Google Scholar] [CrossRef]
- Bai, X.X.; Wereley, N.M.; Hu, W. Maximizing semi-active vibration isolation utilizing a magnetorheological damper with an inner bypass configuration. J. Appl. Phys. 2015, 117, 17C711. [Google Scholar] [CrossRef]
- Kubík, M.; Macháček, O.; Strecker, Z.; Roupec, J.; Mazůrek, I. Design and testing of magnetorheological valve with fast force response time and great dynamic force range. Smart Mater. Struct. 2017, 26, 047002. [Google Scholar] [CrossRef]
- Nguyen, Q.H.; Choi, S.B.; Lee, Y.S.; Han, M.S. Optimal design of high damping force engine mount featuring MR valve structure with both annular and radial flow paths. Smart Mater. Struct. 2013, 22, 115024. [Google Scholar] [CrossRef]
- Liao, C.R.; Xie, L.; Zhao, D.X.; Liu, Q. Quasi-steady modelling for Magneto-rheological fluid mount based on squeeze mode and experimental testing. Int. J. Veh. Des. 2013, 63, 275–290. [Google Scholar]
- Spelta, C.; Previdi, F.; Savaresi, S.M.; Fraternale, G.; Gaudiano, N. Control of magnetorheological dampers for vibration reduction in a washing machine. Mechatronics 2009, 19, 410–421. [Google Scholar] [CrossRef]
- Woo, D.; Choi, S.B.; Choi, Y.T.; Wereley, N.M. Frontal crash mitigation using MR impact damper for controllable bumper. J. Intell. Mater. Syst. Struct. 2007, 18, 1211–1215. [Google Scholar] [CrossRef]
- Ahamed, T.I.; Sundarrajan, R.; Prasaath, G.T.; Raviraj, V. Implementation of magneto-rheological dampers in bumpers of automobiles for reducing impacts during accidents. Procedia Eng. 2014, 97, 1220–1226. [Google Scholar] [CrossRef] [Green Version]
- Buchachenko, A.L. Magnetoplasticity and the physics of earthquakes. Can a catastrophe be prevented? Phys.-Uspekhi 2014, 57, 101–108. [Google Scholar] [CrossRef]
- Tu, J.W.; Liu, J.; Qu, W.L.; Zhou, Q.; Cheng, H.B.; Cheng, X.D. Design and fabrication of 500kN large-scale MR damper. J. Intell. Mater. Syst. Struct. 2011, 22, 475–487. [Google Scholar] [CrossRef]
- Yu, Y.; Royel, S.; Li, Y.C.; Li, J.C.; Yousefi, A.M.; Gu, X.Y.; Li, S.Q.; Li, H. Dynamic modelling and control of shear-mode rotational MR damper for mitigating hazard vibration of building structures. Smart Mater. Struct. 2020, 29, 114006. [Google Scholar] [CrossRef]
- Hu, H.S.; Jiang, X.Z.; Wang, J.; Li, Y.C. Design, modeling, and controlling of a large-scale magnetorheological shock absorber under high impact load. J. Intell. Mater. Syst. Struct. 2012, 23, 635–645. [Google Scholar] [CrossRef]
- Yang, Q.O.; Zheng, J.J.; Li, Z.C.; Hu, M.; Wang, J. Controllability analysis and testing of a novel magnetorheological absorber for field gun recoil mitigation. Smart Mater. Struct. 2016, 25, 115041. [Google Scholar] [CrossRef]
- Powell, L.A.A.; Choi, Y.T.; Hu, W.; Wereley, N.M. Nonlinear modeling of adaptive magnetorheological landing gear dampers under impact conditions. Smart Mater. Struct. 2016, 25, 115011. [Google Scholar] [CrossRef]
- Powell, L.A.; Hu, W.; Wereley, N.M. Magnetorheological fluid composites synthesized for helicopter landing gear applications. J. Intell. Mater. Syst. Struct. 2013, 24, 1043–1048. [Google Scholar] [CrossRef]
- Xie, L.; Choi, Y.T.; Liao, C.R.; Wereley, N.M. Long term stability of magnetorheological fluids using high viscosity linear polysiloxane carrier fluids. Smart Mater. Struct. 2016, 25, 075006. [Google Scholar] [CrossRef]
- Xie, L.; Choi, Y.T.; Liao, C.R.; Wereley, N.M. Characterization of stratification for an opaque highly stable magnetorheological fluid using vertical axis inductance monitoring system. J. Appl. Phys. 2015, 117, 1227–1232. [Google Scholar] [CrossRef]
- Strecker, Z.; Roupec, J.; Mazurek, I.; Machacek, O.; Kubik, M.; Klapka, M. Design of magnetorheological damper with short time response. J. Intell. Mater. Syst. Struct. 2015, 26, 1951–1958. [Google Scholar] [CrossRef]
- Koo, J.H.; Goncalves, F.D.; Ahmadian, M. A comprehensive analysis of the response time of MR dampers. Smart Mater. Struct. 2006, 15, 351–358. [Google Scholar] [CrossRef]
- Zheng, J.J.; Li, Z.C.; Koo, J.H.; Wang, J. Analysis and compensation methods for time delays in an impact buffer system based on magnetorheological dampers. J. Intell. Mater. Syst. Struct. 2014, 26, 690–700. [Google Scholar] [CrossRef]
- Fu, B.Y.; Liao, C.R.; Li, Z.Q.; Xie, L.; Zhang, P.; Jian, X.C. Impact behavior of a high viscosity magnetorheological fluid-based energy absorber with a radial flow mode. Smart Mater. Struct. 2017, 26, 025025. [Google Scholar] [CrossRef]
- Fu, B.Y.; Liao, C.R.; Li, Z.Q.; Xie, L.; Jian, X.C.; Liu, C.Z. Effective design strategy for a high-viscosity magnetorheological fluid-based energy absorber with multi-stage radial flow mode. J. Intell. Mater. Syst. Struct. 2019, 30, 127–139. [Google Scholar] [CrossRef]
- Zhang, X.; Cheng, G.D. A comparative study of energy absorption characteristics of foam-filled and multi-cell square columns. Int. J. Impact Eng. 2007, 34, 1739–1752. [Google Scholar] [CrossRef]
- Rai, V.; Ghasemnejad, H.; Watson, J.W.; Gonzalez-Domingo, J.A.; Webb, P.F. Developed trigger mechanisms to improve crush force efficiency of aluminium tubes. Eng. Struct. 2019, 199, 109620. [Google Scholar] [CrossRef]
- Liu, Z.F.; Hao, W.Q.; Xie, J.M.; Lu, J.S.; Huang, R.; Wang, Z.H. Axial-impact buckling modes and energy absorption properties of thin-walled corrugated tubes with sinusoidal patterns. Thin-Walled Struct. 2015, 94, 410–423. [Google Scholar] [CrossRef]
- Gao, Q.; Liao, W.-H. Energy absorption of thin walled tube filled with gradient auxetic structures-theory and simulation. Int. J. Mech. Sci. 2021, 201, 106475. [Google Scholar] [CrossRef]
- Shahi, V.J.; Marzbanrad, J. Analytical and experimental studies on quasi-static axial crush behavior of thin-walled tailor-made aluminum tubes. Thin-Walled Struct. 2012, 60, 24–37. [Google Scholar] [CrossRef]
- Fu, B.Y.; Liao, C.R.; Xie, L.; Li, Z.Q.; Shu, R.Z. A theoretical analysis on crush characteristics of corrugated tube under axial impact and experimental verification. J. Braz. Soc. Mech. Sci. Eng. 2020, 42, 510. [Google Scholar] [CrossRef]












| Parameter | Value |
|---|---|
| Inner radius of the inner cylinder, Ri | 48 mm |
| Radius of the axial channel, Rx | 14 mm |
| Length of the cylinder, L | 24 mm |
| Thickness of the clapboard, Lc | 20 mm |
| Single-stage radial damping length, Lr | 30 mm |
| Thickness of the baffle, Lb | 25 mm |
| Thickness of the outer cylinder, Lo | 20 mm |
| Length of corrugated tube, Lct | 135 mm |
| Corrugated segment length of corrugated tube, Lcs | 105 mm |
| Effective MR valve gap width of the radial channels, dr | 2 mm |
| Number range of overall stages in the MR valve, N | 1 |
| Coil turn numbers, Turn | 643 Turn |
| Outer radius of straight segment, Rct_o | 34 mm |
| Current [A] | Passive Damping Coefficient [kg/s] | Yield Force [N] |
|---|---|---|
| 0 | 35,742 | 2065 |
| 1 | 47,472 | 2906.3 |
| 2 | 54,240 | 4293 |
| 3 | 62,220 | 5637 |
Publisher’s Note: MDPI stays neutral with regard to jurisdictional claims in published maps and institutional affiliations. |
© 2021 by the authors. Licensee MDPI, Basel, Switzerland. This article is an open access article distributed under the terms and conditions of the Creative Commons Attribution (CC BY) license (https://creativecommons.org/licenses/by/4.0/).
Share and Cite
Fu, B.; Zhang, X.; Li, Z.; Shu, R.; Liao, C. A Dynamic Model and Parameter Identification of High Viscosity Magnetorheological Fluid-Based Energy Absorber with Radial Flow Mode. Molecules 2021, 26, 7059. https://doi.org/10.3390/molecules26227059
Fu B, Zhang X, Li Z, Shu R, Liao C. A Dynamic Model and Parameter Identification of High Viscosity Magnetorheological Fluid-Based Energy Absorber with Radial Flow Mode. Molecules. 2021; 26(22):7059. https://doi.org/10.3390/molecules26227059
Chicago/Turabian StyleFu, Benyuan, Xianming Zhang, Zhuqiang Li, Ruizhi Shu, and Changrong Liao. 2021. "A Dynamic Model and Parameter Identification of High Viscosity Magnetorheological Fluid-Based Energy Absorber with Radial Flow Mode" Molecules 26, no. 22: 7059. https://doi.org/10.3390/molecules26227059
APA StyleFu, B., Zhang, X., Li, Z., Shu, R., & Liao, C. (2021). A Dynamic Model and Parameter Identification of High Viscosity Magnetorheological Fluid-Based Energy Absorber with Radial Flow Mode. Molecules, 26(22), 7059. https://doi.org/10.3390/molecules26227059
