Molecular Interactions between Methylene Blue and Sodium Alginate Studied by Molecular Orbital Calculations
Abstract
:1. Introduction
2. Calculation Methods
2.1. Materials
2.1.1. Methylene Blue
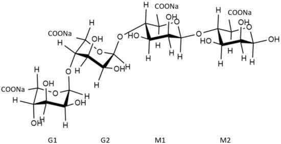
2.1.2. Sodium Alginate
2.2. Methods
Computational Details
3. Results
3.1. Binding Energy
3.2. Atomic Distances
3.3. Simulation of Decolorization Mechanism of MB/SA with O3
4. Discussion
5. Conclusions
Author Contributions
Funding
Institutional Review Board Statement
Informed Consent Statement
Data Availability Statement
Conflicts of Interest
Sample Availability
References
- Yenchit, S.; Yamanaka, H.; Temeeprasertkij, P.; Oda, Y.; Kanie, O.; Okamura, Y.; Inazu, T.; Iwamori, S. Chemical stability of a colorimetric indicator based on sodium alginate thin film and methylene blue dye upon active oxygen species exposure. Jpn. J. Appl. Phys. 2020, 59, SDDF09. [Google Scholar] [CrossRef]
- Wang, Z.; Yang, H.; Zhu, Z. Study on the Blends of Silk Fibroin and Sodium Alginate: Hydrogen Bond Formation, Structure and Properties. Polymer 2019, 163, 144–153. [Google Scholar] [CrossRef]
- Lan, W.; He, L.; Liu, Y. Preparation and Properties of Sodium Carboxymethyl Cellulose/Sodium Alginate/Chitosan Composite Film. Coatings 2018, 8, 291. [Google Scholar] [CrossRef] [Green Version]
- Harnsilawat, T.; Pongsawatmanit, R.J.D. McClements. Characterization of β-Lactoglobulin–Sodium Alginate Interactions in Aqueous Solutions: A Calorimetry, Light Scattering, Electrophoretic Mobility and Solubility Study. Food Hydrocoll. 2006, 20, 577–585. [Google Scholar] [CrossRef]
- Yue, Y.; Wang, X.; Han, J.; Yu, L.; Chen, J.; Wu, Q.; Jiang, J. Effects of nanocellulose on sodium alginate/polyacrylamide hydrogel: Mechanical properties and adsorption-desorption capacities. Carbohydr. Polym. 2018, 206, 289–301. [Google Scholar] [CrossRef] [PubMed]
- Xiao, C.; Liu, H.; Lu, Y.; Zhang, L. Blend Films from Sodium Alginate and Gelatin Solutions. J. Macromol. Sci. Part A 2001, 38, 317–328. [Google Scholar] [CrossRef]
- Warren, C. Rapid Measurement of Chlorophylls with a Microplate Reader. J. Plant Nutr. 2008, 31, 1321–1332. [Google Scholar] [CrossRef]
- Raposo, F.; De La Rubia, M.A.; Borja, R. Methylene blue number as useful indicator to evaluate the adsorptive capacity of granular activated carbon in batch mode: Influence of adsorbate/adsorbent mass ratio and particle size. J. Hazard. Mater. 2009, 165, 291–299. [Google Scholar] [CrossRef] [PubMed]
- Zhang, G.; Musgrave, C.B. Comparison of DFT Methods for Molecular Orbital Eigenvalue Calculations. J. Phys. Chem. A 2007, 111, 1554–1561. [Google Scholar] [CrossRef] [PubMed]
- Nori-Shargh, D.; Amini, M.M.; Jamehbozorgi, S. Ab Initio Study of Ring Flipping of the Overcrowded Peri-Substituted Naphthalenes. Phosphorus Sulfur Silicon Relat. Elem. 2003, 178, 2529–2537. [Google Scholar] [CrossRef]
- Fu, S.; Thacker, A.; Sperger, D.M.; Boni, R.L.; Buckner, I.S.; Velankar, S.; Munson, E.J.; Block, L.H. Relevance of Rheological Properties of Sodium Alginate in Solution to Calcium Alginate Gel Properties. AAPS PharmSciTech 2011, 12, 453–460. [Google Scholar] [CrossRef] [PubMed] [Green Version]
- Tabti, C.; Benhalima, N. Molecular Structure, Vibrational Assignments and Non-Linear Optical Properties of 4,4’ Dimethylaminocyanobiphenyl (DMACB) by DFT and ≪i≫Ab Initio HF Calculations. Adv. Mater. Phys. Chem. 2015, 05, 221–228. [Google Scholar] [CrossRef] [Green Version]
- Temeepresertkij, P.; Yenchit, S.; Iwaoka, M.; Iwamori, S. Interactions between Methylene Blue and Pullulan According to Molecular Orbital Calculations. IEEJ Trans. Fundam. Mater. 2020, 140, 529–533. [Google Scholar] [CrossRef]
- Boys, S.F.; Bernardi, F. The calculation of small molecular interactions by the differences of separate total energies. Some procedures with reduced errors. Mol. Phys. 1970, 19, 553–566. [Google Scholar] [CrossRef]
- Iwamori, S.; Nishiyama, N.; Oya, K. A colorimetric indicator for detection of hydroxyl radicals in atmosphere using a methylene blue dye based on nafion film. Polym. Degrad. Stab. 2016, 123, 131–136. [Google Scholar] [CrossRef] [Green Version]
- Hosoya, K.; Yenchit, S.; Tadokoro, Y.; Oya, K.; Iwamori, S. Improved Singlet Oxygen Detection Sensitivity in Electron Spin Resonance Using a Spin-trap Agent Incorporated into a Water-soluble Polymer Film. Chem. Lett. 2018, 47, 1191–1193. [Google Scholar] [CrossRef]
- Oya, K.; Hosoya, K.; Suto, T.; Iwamori, S. Surface modification of polydimethylsiloxane by exposure of active oxygen and ultraviolet lights to improve cell adhesion. Trans. JSME 2019, 85, 18–00356. [Google Scholar] [CrossRef]
- Yenchit, S.; Tadokoro, Y.; Iwamori, S. Measuring Active Oxygen Species Across a Nonwoven Fabric Using a Pullulan-mixed Methylene Blue Thin Film and Electron Spin Resonance. IEEJ Trans. Sens. Micromach. 2019, 139, 54–60. [Google Scholar] [CrossRef]





| Structure Name | Binding Energy (kcal/mol) | Relative Energy (kcal/mol) | BSSE (kcal/mol) |
|---|---|---|---|
| MB/SA (1) | 67.56 | 0 | 11.53 |
| MB/SA (2) | 67.50 | 0.06 | 11.55 |
| MB/SA (3) | 49.58 | 17.98 | 12.27 |
| MB/SA (4) | 49.09 | 18.47 | 7.06 |
| MB/SA (5) | 47.06 | 20.5 | 6.16 |
| MB/SA (6) | 44.36 | 23.2 | 10.05 |
| MB/SA (7) | 42.49 | 25.07 | 8.20 |
| MB/SA (8) | 42.49 | 25.07 | 8.20 |
| MB/SA (9) | 39.08 | 28.48 | 10.22 |
| MB/SA (10) | 38.13 | 29.43 | 9.31 |
| Structure Name | Position | N---O (Å) | Position | C-H---O (Å) | Position | S---O (Å) |
|---|---|---|---|---|---|---|
| MB/SA (1) | N22,O108,H109 | 3.91 | H32,C31,062 | 3.24 | S19,O108 | 3.48 |
| MB/SA (2) | N22,O60 | 3.51 | H30,C27,O106 | 3.46 | S19,O60 | 3.27 |
| MB/SA (3) | N20,O117 | 2.96 | H38,C35,059 | 3.26 | S19,O113 | 3.71 |
| MB/SA (4) | N20,O106 | 4.07 | H26,C23,O106 | 3.45 | S19,O113 | 4.88 |
| MB/SA (5) | N20,O57,H78 | 3.18 | H30,C27,O57 | 3.19 | S19,O113 | 5.94 |
| MB/SA (6) | N20,O57,H78 | 3.74 | H16,C6,O106 | 3.53 | S19,O60 | 3.23 |
| MB/SA (7) | N21,O60 | 3.27 | H38,C35,O60 | 3.13 | S19,O44 | 4.62 |
| MB/SA (8) | N21,O60 | 3.27 | H38,C35,O60 | 3.13 | S19,O44 | 4.62 |
| MB/SA (9) | N22,O60 | 3.46 | C7,O60 | 3.17 | S19,O60 | 3.27 |
| MB/SA (10) | N22,O60 | 3.51 | C8,O60 | 2.96 | S19,O60 | 3.27 |
| Structure Name | HOMO (eV) | LUMO (eV) | HOMO-LUMO (eV) |
|---|---|---|---|
| O3 | −8.98 | −4.90 | −4.08 |
| MB | −4.08 | −2.99 | −1.09 |
| SA | −5.40 | −2.05 | −3.35 |
| Pullulan | −6.73 | 0.81 | −7.53 |
| MB/SA | −5.73 | −3.32 | −2.41 |
| MB/pullulan | −5.57 | −3.48 | −2.09 |
Publisher’s Note: MDPI stays neutral with regard to jurisdictional claims in published maps and institutional affiliations. |
© 2021 by the authors. Licensee MDPI, Basel, Switzerland. This article is an open access article distributed under the terms and conditions of the Creative Commons Attribution (CC BY) license (https://creativecommons.org/licenses/by/4.0/).
Share and Cite
Temeepresertkij, P.; Iwaoka, M.; Iwamori, S. Molecular Interactions between Methylene Blue and Sodium Alginate Studied by Molecular Orbital Calculations. Molecules 2021, 26, 7029. https://doi.org/10.3390/molecules26227029
Temeepresertkij P, Iwaoka M, Iwamori S. Molecular Interactions between Methylene Blue and Sodium Alginate Studied by Molecular Orbital Calculations. Molecules. 2021; 26(22):7029. https://doi.org/10.3390/molecules26227029
Chicago/Turabian StyleTemeepresertkij, Pasika, Michio Iwaoka, and Satoru Iwamori. 2021. "Molecular Interactions between Methylene Blue and Sodium Alginate Studied by Molecular Orbital Calculations" Molecules 26, no. 22: 7029. https://doi.org/10.3390/molecules26227029
APA StyleTemeepresertkij, P., Iwaoka, M., & Iwamori, S. (2021). Molecular Interactions between Methylene Blue and Sodium Alginate Studied by Molecular Orbital Calculations. Molecules, 26(22), 7029. https://doi.org/10.3390/molecules26227029

