Abstract
Dimethyl sulfoxide is a widely used solvent in organic synthesis and in the pharmaceutical industry because of its low cost, stability, and low toxicity. Multicomponent reactions are an advanced approach that has become an efficient, economical, and eco-friendly substitute for the conventional sequential multi-step synthesis of various biologically active compounds. This approach was adopted for the synthesis of previously unknown 2-(2,4-diamino-3-cyano-5H-chromeno[2,3-b]pyridin-5-yl)malonic acids via transformation of salicylaldehydes, malononitrile dimer, and malonic acid. It was shown that the use of DMSO at room temperature makes it possible to synthesize previously unavailable compounds. The investigation of the reaction mechanism using 1H-NMR monitoring made it possible to confirm the proposed mechanism of the transformation. The structure of synthesized 5H-chromeno[2,3-b]pyridines was confirmed by 2D-NMR spectroscopy.
1. Introduction
Multicomponent reactions (MCRs) are an important methodological arsenal in synthetic and medicinal chemistry [1]. A large number of publications that have appeared in this area over the past 5 years can confirm the significance of MCRs. This advanced approach has emerged as an efficient, economical, and eco-friendly substitute for the conventional sequential multi-step synthesis of various biologically active compounds [2]. MCRs exhibit a very high bond-forming index (BFI) as several non-hydrogen atom bonds are formed in one synthetic transformation [3]. Therefore, MCRs are the best strategy for the synthesis of complex heterocyclic structures.
Chromeno[2,3-b]pyridines are one of the important classes of condensed heterocyclic compounds from the point of view of medicinal chemistry. Depending on the substituents, they can exhibit different types of biological activity, such as antimicrobial [4], anticancer [5], antirheumatic [6], antimyopic [7], neuroprotective [8], and hypotensive [9] activities. Thus, the synthesis of a new type of chromeno[2,3-b]pyridines is an important goal for researchers.
Dimethyl sulfoxide (DMSO) is widely used as a solvent in organic synthesis and in the pharmaceutical industry because of its low cost, stability, and low toxicity [10]. Some of the characteristics of this polar solvent, such as its ability to stabilize charged intermediates and its high boiling point, are similar to those of dimethylacetamide, dimethylformamide (DMF), and N-methyl-2-pyrrolidone (NMP). However, DMSO is less toxic than other polar solvents and is extensively used as a solvent or an effective oxidant.
Not many types of MCRs have been carried out in DMSO, therefore, this is a promising area for research [11,12,13,14,15].
In the synthesis of chromeno[2,3-b]pyridines, both multistep classical and multicomponent methods [16] are applied. We have already published multicomponent syntheses of different types of chromeno[2,3-b]pyridines [17,18,19,20,21,22].
2. Results and Discussion
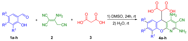
2.1. Multicomponent Synthesis of 2-(2,4-Diamino-3-cyano-5H-chromeno[2,3-b]pyridin-5-yl)malonic Acids 4a–h
Previously we reported the pot, atom, and step economy (PASE) synthesis of hydroxyquinolinone substituted chromeno[2,3-b]pyridines [21]. In this article, we presented 1H NMR real-time monitoring of the reaction in an NMR sample tube in DMSO-d6 to confirm one of the proposed pathways of the transformation. The reaction in an NMR spectrometer proceeded efficiently and quickly. This fact gave us a reason to study the obtainment of chromeno[2,3-b]pyridines in DMSO already in a flask.
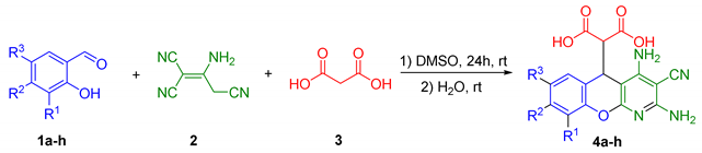
Initially, to examine the reaction of salicylaldehyde 1a, malononitrile dimer 2, and malonic acid 3, we have carried out the multicomponent synthesis of chromeno[2,3-b]pyridine 4a in high boiling point aprotic solvents (Scheme 1, Table 1, Entries 1–3).
Scheme 1.
Reaction of salicylaldehyde 1a, malononitrile dimer 2 and malonic acid 3.
Table 1.
Multicomponent synthesis of 2-(2,4-diamino-3-cyano-5H-chromeno[2,3-b]pyridine-5-yl)malonic acid 4a 1.
When studying the reaction in DMSO, DMF, and NMP without heating for 24 h, the final compound 4a was isolated in good yields of 70–92% (Table 1, Entries 1–3). For isolating 4a, 15 mL of water was added to the reaction mixture.
Since the highest yield of chromeno[2,3-b]pyridine 4a was achieved in DMSO, the reaction was further investigated in this solvent (Table 1, Entries 4–6). The reaction time (Table 1, Entry 4), the amount of water added to isolate compound 4a (Table 1, Entry 5), and the reaction temperature (Table 1, Entry 6) were varied. However, in all these cases, it was not possible to increase the yield 4a.
After that, we tried to carry out the transformation of the salicylaldehyde 1a, malononitrile dimer 2, and malonic acid 3 in our best previously found reaction systems (Table 1, Entries 7 and 8) [17,21]. However, refluxing the starting compounds in pyridine (Py) [17] did not result in compound 4a formation (Table 1, Entry 7). When the reaction was carried out in an ethanol/pyridine mixture (3:1) [21], the yield of 4a was only 15% (Table 1, Entry 8).
When the reaction in DMSO was finished, water was added to the reaction mixture and the final compound 4 was directly crystallized in pure form. Under the optimal conditions (Entry 1: stirring for 24 h in 5 mL of DMSO) multicomponent reactions of salicylaldehydes 1a–h, malononitrile dimer 2, and malonic acid 3 were carried out. 2-(2,4-Diamino-3-cyano-5H-chromeno[2,3-b]pyridin-5-yl)malonic acids 4a–h were obtained in 65–98% yields (Table 2).
Table 2.
Multicomponent reaction of salicylaldehydes 1a–h, malononitrile dimer 2 and malonic acid 3 1.
The substituent affects the yields of chromeno[2,3-b]pyridines 4. Electron-donating methyl-, methoxy-, and ethoxy-groups decrease the yields of 4. In the case of halogen substituents, the yield of compound 4 is increased. In the presence of both types of substituents (methoxy- and bromine, 4g), the yield is average. This is due to the fact that halogens promote the delocalization of the negative charge, stabilize the intermediate anion, and thereby increase its acidity.
2.2. 2D-NMR Study of the Structure of Compound 4f
The structure of compound 4f was confirmed by NMR spectroscopy.
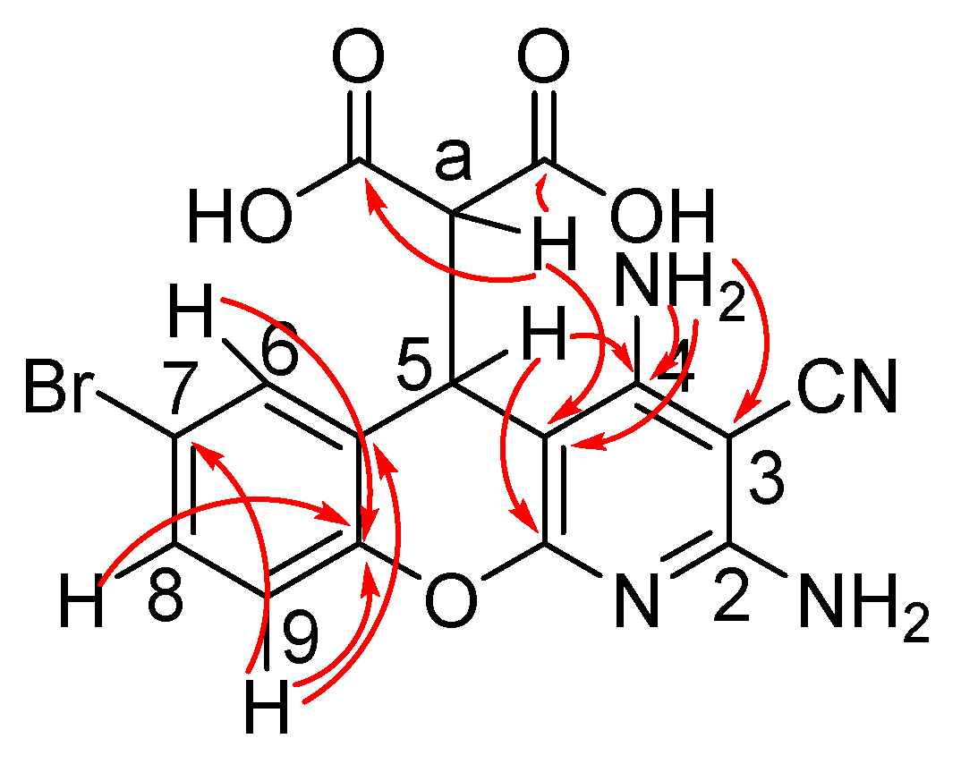
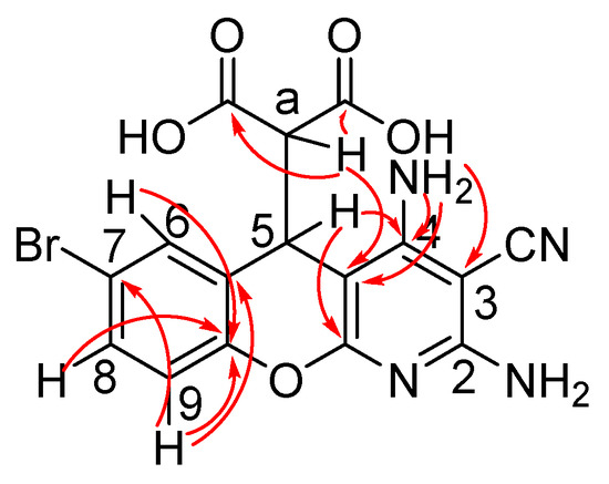
The proton spectrum contained signals from all groups, including carboxyl fragments (broad signal at 12.8 ppm). The benzene fragment is substituted at position 7, as evidenced by the characteristic set of signals in the proton spectrum (two doublets at 7.65 and 7.01 ppm and one doublet of doublets at 7.43 ppm). The signals of the amino groups of the pyridine ring (δ 6.60 and 6.48 ppm) could be distinguished due to the detected correlation in the 1H-13C-HMBC spectrum of 4-NH2 with C4a (δH/C 6.60/87.7 ppm) (Figure 1). The carbon signal of the third position has a very upfield chemical shift (δ 71.1 ppm). This chemical shift is due to the substitution of the nitrile group, and the shielding of the nucleus by electrons of the triple bond. In position 5, there is a malonic acid residue. This is confirmed by the spin interaction from the HMBC spectrum of Ha with the carbons of the benzene and pyridine rings (Figure 1).
Figure 1.
The structure of compound 4f. Key 1H-13C-HMBC spectrum correlations established by NMR are shown by arrows.
Complete correlation of signals in 1H and 13C-NMR spectra of chromeno[2,3-b]pyridine 4f:
1H-NMR (600 MHz, DMSO-d6) δ: 12.80 (br s, 2H, COOH), 7.65 (d, 4J = 2.5 Hz, 1H, H6), 7.43 (dd, 3J = 8.6 Hz, 4J = 2.5 Hz, 1H, H8), 7.01 (d, 3J = 8.7 Hz, 1H, H9), 6.60 (s, 2H, 4-NH2), 6.48 (s, 2H, 2-NH2), 4.80 (d, 3J = 4.8 Hz, 1H, H5), 3.44 (d, 3J = 4.8 Hz, 1H, Ha) ppm.
13C-NMR (151 MHz, DMSO-d6) δ: 169.1 (COOH), 168.9 (COOH), 160.5 (C4), 159.7 (C2), 156.6 (C1a), 151.5 (C9a), 131.8 (C6), 131.0 (C8), 125.0 (C6a), 118.3 (C9), 116.4 (CN), 114.7 (C7), 87.7 (C4a), 71.1 (C3), 56.8 (Ca), 32.5 (C5) ppm.
Two-dimensional (2D) NMR spectra of the compound 4f are presented in Supplementary Materials (Figures S17 and S18).
2.3. 1H-NMR Reaction Monitoring
We assumed that the reaction proceeds according to the standard mechanism, which we proved earlier [21]. However, to prove our assumption, the reaction was monitored using 1H-NMR spectroscopy (Figure 2).
Figure 2.
Representative 1H-NMR spectrum of multicomponent reaction in DMSO-d6 at 313 K recorded 45 min after dissolution.
To reduce the influence of sample preparation, the transformation of starting materials into chromeno[2,3-b]pyridine 4a was carried out and monitored directly in an NMR sample tube into a spectrometer without catalyst in DMSO-d6 to slow down the reaction.
During the NMR study, seven major components were recorded: salicylaldehyde 1a, malononitrile dimer 2, malonic acid 3, intermediate 5, intermediate 6, intermediate 7, and chromeno[2,3-b]pyridine 4a. A representative 1H-NMR spectrum with the assignment of peaks showed in Figure 2. NMR spectra of the monitoring are presented in Supplementary Materials (Figure S19–S23).
As shown in Figure 2, malononitrile dimer 2 is consumed quickly, and the Knoevenagel adduct 5 is formed. Compound 5 cyclizes to intermediate 6. In this spectrum, we also found intermediate 7, which is the final compound of the Michael reaction. Also in Figure 2, the target chromeno[2,3-b]pyridine 4a is recorded.
Based on the above data and taking into consideration earlier published results [19,21], we suggest that the first stage was a rapid formation of intermediate 5 with the expulsion of a hydroxide anion [23] (Scheme 2). This hydroxide anion instantly catalyzed a rapid cyclization of intermediate 5 into intermediate 6. Then, the Michael addition of malonic acid 3 occurs to form anion B (as well as intermediate 7). Next, there are successive cyclizations and isomerization to the final chromeno[2,3-b]pyridine 4.
Scheme 2.
Mechanism of salicylaldehydes 1, malononitrile dimer 2, and malonic acid 3 transformation into chromeno[2,3-b]pyridines 4. Catalytic cycles are simplified.
3. Materials and Methods
3.1. General Information
The solvents and reagents were purchased from commercial sources and used as received. 2-Aminoprop-1-ene-1,1,3-tricarbonitrile 2 was obtained from malononitrile according to the literature [24].
All melting points were measured with a Gallenkamp melting-point apparatus (Gallenkamp & Co., Ltd, London, UK) and were uncorrected. 1H and 13C-NMR spectra were recorded in DMSO-d6 with Bruker AM300, Bruker AV500, and Bruker AV600 spectrometers (Bruker Corporation, Billerica, MA, USA) at ambient temperature. Chemical shift values are relative to Me4Si. Two-dimensional (2D) NMR spectra were registered with a Bruker AV500 spectrometer. 1H NMR monitoring spectra were registered with a Bruker AM300 spectrometer (Bruker Corporation, Billerica, MA, USA). The IR spectrum was recorded with a Bruker ALPHA-T FT-IR spectrometer (Bruker Corporation, Billerica, MA, USA) in a KBr pellet. MS spectra (EI = 70 eV) were obtained directly with a Kratos MS-30 spectrometer (Kratos Analytical Ltd, Manchester, UK). High-resolution mass spectra (HRMS) were measured on a Bruker micrOTOF II (Bruker Corporation, Billerica, MA, USA) instrument using electrospray ionization (ESI).
3.2. Synthesis of 2-(2,4-Diamino-3-cyano-5H-chromeno[2,3-b]pyridin-5-yl)malonic Acids 4a–h
Salicylaldehyde 1a–h (1 mmol), 2-aminoprop-1-ene-1,1,3-tricarbonitrile 2 (0.132 g, 1 mmol) and malonic acid 3 (0.104 g, 1 mmol) were stirred in 5 mL of DMSO for 24 h at ambient temperature. After the reaction was completed, 15 mL of water was added to the solution. The formed solid was filtered, washed with well-chilled ethanol (3 mL × 2 mL), and dried to isolate pure substituted 2-(2,4-diamino-3-cyano-5H-chromeno[2,3-b]pyridin-5-yl)malonic acids 4a–h.
2-(2,4-Diamino-3-cyano-5H-chromeno[2,3-b]pyridin-5-yl)malonic acid 4a, (yellowish powder, 0.313 g, 92%), mp 214–215 °C (decomp.) (from DMSO-H2O), FTIR (KBr) cm−1: 3412, 3323, 3230, 3083, 2223, 1718, 1654, 1461, 1329, 1267. 1H-NMR (300 MHz, DMSO-d6) δ 3.41 (d, 3J = 5.2 Hz, 1H, malonic), 4.79 (d, 3J = 5.2 Hz, 1H, CH(5)), 6.44 (br s, 2H, NH2), 6.53 (s, 2H, NH2), 7.12–6.99 (m, 2H, 2 CH Ar), 7.26 (t, 3J = 7.5 Hz, 1H, CH Ar), 7.45 (d, 3J = 7.5 Hz, 1H, CH Ar), 13.22–12.15 (br s, 2H, 2 COOH) ppm. 13C-NMR (75 MHz, DMSO-d6) δ 33.3, 58.0, 71.4, 88.9, 116.5, 117.0, 123.3, 123.9, 128.7, 129.7, 152.5, 157.1, 160.1, 161.4, 169.5, 169.6 ppm. MS (EI, 70 eV) m/z (%): 296 ([M-CO2]+, 1), 277 (12), 248 (3), 237 (100), 209 (4), 171 (17), 145 (2), 78 (5), 44 (26), 18 (24). HRMS-ESI: m/z [M + H]+, calcd for C16H13N4O5 341.0880, found 341.0878.
2-(2,4-Diamino-3-cyano-8-methoxy-5H-chromeno[2,3-b]pyridin-5-yl)malonic acid 4b, (yellowish powder, 0.244 g, 66%), mp 225–226 °C (decomp.). (from DMSO-H2O), FTIR (KBr) cm−1: 3474, 3358, 3252, 3104, 2213, 1722, 1650, 1480, 1334, 1208. 1H-NMR (300 MHz, DMSO-d6) δ 3.39 (d, 3J = 4.6 Hz, 1H, malonic), 3.74 (s, 3H, OMe), 4.71 (d, 3J = 4.6 Hz, 1H, CH(5)), 6.44 (br s, 2H, NH2), 6.52 (s, 2H, NH2), 6.61 (s, 1H, CH Ar), 6.66 (d, 3J = 8.6 Hz, 1H, CH Ar), 7.36 (d, 3J = 8.6 Hz, 1H, CH Ar), 13.21–12.21 (br s, 2H, 2 COOH) ppm. 13C-NMR (75 MHz, DMSO-d6) δ 32.3, 55.3, 57.4, 70.9, 88.9, 101.3, 109.7, 114.6, 116.5, 129.8, 152.8, 156.5, 159.2, 159.5, 160.8, 169.1, 169.3 ppm. MS (EI, 70 eV) m/z (%): 307 ([M-CO2-H2O-H]+, 4), 280 (9), 267 (100), 224 (19), 195 (4), 171 (2), 134 (2), 77 (3), 44 (32), 18 (55). HRMS-ESI: m/z [M + H]+, calcd for C17H15N4O6 371.0992, found 371.0988.
2-(2,4-Diamino-3-cyano-9-ethoxy-5H-chromeno[2,3-b]pyridin-5-yl)malonic acid 4c, (yellowish powder, 0.307g, 80%), mp 191–192 °C (decomp.) (from DMSO-H2O), FTIR (KBr) cm−1: 3447, 3380, 3064, 2985, 2216, 1729, 1664, 1469, 1392, 1281. 1H-NMR (300 MHz, DMSO-d6) δ 1.37 (t, 3J = 6.9 Hz, 3H, CH3), 3.39 (d, 3J = 5.3 Hz, 1H, malonic), 4.06 (q, 3J = 6.9 Hz, 2H, OCH2), 4.78 (d, 3J = 5.3 Hz, 1H, CH(5)), 6.52 (br s, 4H, 2 NH2), 7.05–6.89 (m, 3H, 3 CH Ar), 13.28–12.11 (br s, 2H, 2 COOH) ppm. 13C-NMR (75 MHz, DMSO-d6) δ 14.8, 33.0, 57.9, 63.9, 70.9, 88.5, 112.1, 116.6, 120.4, 123.2, 123.9, 141.4, 146.5, 156.7, 159.6, 161.0, 169.1 (2C) ppm. MS (EI, 70 eV) m/z (%): 340 ([M-CO2]+, 1), 320 (8), 281 (100), 253 (67), 237 (18), 187 (10), 170 (4), 92 (4), 60 (15), 29 (90). HRMS-ESI: m/z [M + H]+, calcd for C18H17N4O6 385.1148, found 385.1150.
2-(2,4-Diamino-3-cyano-7-methyl-5H-chromeno[2,3-b]pyridin-5-yl)malonic acid 4d, (yellowish powder, 0.230 g, 65%), mp 186–187 °C (decomp.) (from DMSO-H2O), FTIR (KBr) cm−1: 3446, 3367, 3193, 3105, 2216, 1722, 1665, 1449, 1404, 1287. 1H-NMR (300 MHz, DMSO-d6) δ 2.26 (s, 3H, CH3), 3.41 (d, 3J = 4.8 Hz, 1H, malonic), 4.74 (d, 3J = 4.8 Hz, 1H, CH(5)), 6.42 (br s, 2H, NH2), 6.51 (s, 2H, NH2), 6.94 (d, 3J = 7.7 Hz, 1H, CH Ar), 7.07 (d, 3J = 7.7 Hz, 1H, CH Ar), 7.24 (s, 1H, CH Ar), 13.55–11.77 (br s, 2H, 2 COOH) ppm. 13C-NMR (75 MHz, DMSO-d6) δ 20.5, 32.9, 57.7, 70.9, 88.5, 115.8, 116.6, 122.7, 128.7, 129.4, 132.3, 149.9, 156.7, 159.6, 161.1, 169.2 (2C) ppm. MS (EI, 70 eV) m/z (%): 291 ([M-CO2-H2O-H]+, 33), 262 (11), 251 (100), 237 (8), 185 (16), 164 (1), 140 (5), 125 (8), 77 (11), 44 (50). HRMS-ESI: m/z [M + H]+, calcd for C17H15N4O5 355.1042, found 355.1038.
2-(2,4-Diamino-7-chloro-3-cyano-5H-chromeno[2,3-b]pyridin-5-yl)malonic acid 4e, (yellowish powder, 0.367 g, 98%), mp 193–194 °C (decomp.) (from DMSO-H2O), FTIR (KBr) cm−1: 3341, 3223, 3153, 3083, 2217, 1727, 1655, 1484, 1402, 1229. 1H-NMR (300 MHz, DMSO-d6) δ 3.47 (d, 3J = 4.6 Hz, 1H, malonic), 4.82 (d, 3J = 4.6 Hz, 1H, CH(5)), 6.52 (br s, 2H, NH2), 6.63 (s, 2H, NH2), 7.09 (d, 3J = 8.7 Hz, 1H, CH Ar), 7.33 (dd, 3J = 8.7 Hz, 4J = 2.2 Hz, 1H, CH Ar), 7.54 (d, 4J = 2.2 Hz, 1H, CH Ar), 13.55–12.09 (br s, 2H, 2 COOH) ppm. 13C-NMR (75 MHz, DMSO-d6) δ 32.6, 56.9, 71.1, 87.7, 116.5, 117.9, 124.5, 126.8, 128.2, 129.0, 151.0, 156.6, 159.7, 160.5, 168.9, 169.1 ppm. MS (EI, 70 eV) m/z (%): 313 (37Cl, [M-CO2-H2O]+, 24), 311 (35Cl, [M-CO2-H2O]+, 63), 273 (37Cl, 32), 271 (35Cl, 100), 243 (9), 205 (22), 179 (3), 152 (5), 114 (6), 89 (7), 66 (46), 42 (82). HRMS-ESI: m/z [M + H]+, calcd for C16H12ClN4O5 377.0467 (37Cl), 375.0496 (35Cl), found 377.0463 (37Cl), 375.0493 (35Cl).
2-(2,4-Diamino-7-bromo-3-cyano-5H-chromeno[2,3-b]pyridin-5-yl)malonic acid 4f, (white powder, 0.398 g, 95%), mp 165–166 °C (decomp.) (from DMSO-H2O), FTIR (KBr) cm−1: 3365, 3222, 2223, 1722, 1657, 1561, 1480, 1341, 1265, 1226. 1H-NMR (300 MHz, DMSO-d6) δ 3.46 (d, 3J = 4.6 Hz, 1H, malonic), 4.82 (d, 3J = 4.6 Hz, 1H, CH(5)), 6.49 (br s, 2H, NH2), 6.61 (s, 2H, NH2), 7.03 (d, 3J = 8.6 Hz, 1H, CH Ar), 7.45 (dd, 3J = 8.6 Hz, 4J = 2.1 Hz, 1H, CH Ar), 7.67 (d, 4J = 2.1 Hz, 1H, CH Ar), 13.57–12.10 (br s, 2H, 2 COOH) ppm. 13C-NMR (DMSO-d6, 75 MHz) δ 32.5, 56.8, 71.1, 87.7, 114.7, 116.4, 118.3, 125.0, 131.0, 131.8, 151.5, 156.6, 159.6, 160.5, 168.9, 169.1 ppm. MS (EI, 70 eV) m/z (%): 357 (81Br, [M-CO2-H2O]+, 65), 355 (79Br, [M-CO2-H2O]+, 65), 316 (21), 277 (21), 249 (9), 220 (3), 165 (7), 124 (8), 88 (9), 66 (41), 42 (100). HRMS-ESI: m/z [M + H]+, calcd for C16H12BrN4O5 420.9971 (81Br), 418.9991 (79Br), found 420.9974 (81Br), 418.9993 (79Br).
2-(2,4-Diamino-7-bromo-3-cyano-9-methoxy-5H-chromeno[2,3-b]pyridin-5-yl)malonic acid 4g, (white powder, 0.355 g, 79%), mp 228–229 °C (decomp.) (from DMSO-H2O), FTIR (KBr) cm−1: 3436, 3345, 3087, 2214, 1727, 1662, 1580, 1489, 1396, 1231. 1H-NMR (300 MHz, DMSO-d6) δ 3.42 (d, 3J = 4.8 Hz, 1H, malonic), 4.79 (d, 3J = 4.8 Hz, 1H, CH(5)), 6.48 (br s, 2H, NH2), 6.59 (s, 2H, NH2), 7.15 (s, 1H, CH Ar), 7.23 (s, 1H, CH Ar), 13.41–12.20 (br s, 2H, 2 COOH) ppm. 13C-NMR (DMSO-d6, 126 MHz) δ 169.1, 168.9, 160.6, 159.7, 156.7, 148.3, 141.0, 125.3, 123.1, 116.5, 114.5, 114.2, 87.9, 71.1, 57.2, 56.2, 32.7 ppm. MS (EI, 70 eV) m/z (%): 387 (81Br, [M-CO2-H2O]+, 13), 385 (79Br, [M-CO2-H2O]+, 14), 347 (81Br, 15), 345 (79Br, 15), 207 (2), 264 (1), 235 (2), 195 (4), 100 (2), 66 (17), 42 (34), 15 (100). HRMS-ESI: m/z [M + H]+, calcd for C17H14BrN4O6 451.0076 (81Br), 449.0097 (79Br), found 451.0072 (81Br), 449.0094 (79Br).
2-(9,11-Diamino-10-cyano-12H-benzo[5,6]chromeno[2,3-b]pyridin-12-yl)malonic acid 4h, (beige powder, 0.254 g, 65%), mp 220–221 °C (decomp.) (from DMSO-H2O), FTIR (KBr) cm−1: 3428, 3395, 3025, 2220, 1731, 1666, 1598, 1449, 1294, 1237. 1H-NMR (300 MHz, DMSO-d6) δ 3.37 (d, 3J = 2.9 Hz, 1H, malonic), 5.41 (d, 3J = 2.9 Hz, 1H, CH(5)), 6.52 (br s, 2H, NH2), 6.87 (s, 2H, NH2), 7.34 (d, 3J = 8.9 Hz, 1H, CH Ar), 7.51 (t, 3J = 7.2 Hz, 1H, CH Ar), 7.64 (t, 3J = 7.2 Hz, 1H, CH Ar), 8.04–7.85 (m, 3H, 3 CH Ar), 13.69–12.20 (br s, 2H, 2 COOH), ppm. 13C-NMR (75 MHz, DMSO-d6) δ 29.5, 59.7, 70.9, 87.9, 116.7, 116.9, 117.4, 122.3, 124.7, 127.4, 128.9, 129.2, 129.9, 130.7, 149.3, 157.6, 159.7, 160.8, 168.9, 171.5 ppm. MS (EI, 70 eV) m/z (%): 340 ([M-CO2-H2O-H]+, 6), 287 (100), 237 (2), 221 (11), 177 (3), 144 (5), 139 (5), 92 (2), 66 (22), 44 (19). HRMS-ESI: m/z [M + H]+, calcd for C20H15N4O5 391.1042, found 391.1040.
4. Conclusions
In summary, the PASE transformation of salicylaldehydes, malononitrile dimer, and malonic acid into previously unknown 2-(2,4-diamino-3-cyano-5H-chromeno[2,3-b]pyridin-5-yl)malonic acids has been found. The developed DMSO-based approach is facile and easy for isolating final compounds directly from the reaction mixture using water addition and the yields of final compounds are 65–98%. This reaction is the first example of a multicomponent synthesis of chromeno[2,3-b]pyrnidines in DMSO.
During the investigation of the reaction mechanism using 1H-NMR monitoring, it was determined that the multicomponent process proceeds according to the usual mechanism confirmed by us earlier. Two-dimensional (2D) NMR spectroscopy confirmed the proposed structure of synthesized 5H-chromeno[2,3-b]pyridines.
Supplementary Materials
The following are available online, Figures S1–S16: 1H and 13C Spectra of synthesized compounds 4a–h, Figures S17–S18: 2D-NMR Spectra of 4f, Figures S19-S23: 1H-NMR monitoring spectra (300 MHz, 313 K).
Author Contributions
Conceptualization, Y.E.R. and M.N.E.; methodology, Y.E.R. and M.N.E.; investigation, Y.E.R. and O.I.M.; writing—original draft preparation, Y.E.R.; writing—review and editing, Y.E.R. and M.N.E.; NMR research, A.N.F.; supervision, M.N.E. All authors have read and agreed to the published version of the manuscript.
Funding
This research received no external funding.
Institutional Review Board Statement
Not applicable.
Informed Consent Statement
Not applicable.
Data Availability Statement
Data is contained within the article or supplementary material.
Conflicts of Interest
The authors declare no conflict of interest.
Sample Availability
Samples of the compounds 2a–h are available from the authors.
References
- John, S.E.; Gulatia, S.; Shankaraiah, N. Recent advances in multi-component reactions and their mechanistic insights: A triennium review. Org. Chem. Front. 2021, 8, 4237–4287. [Google Scholar] [CrossRef]
- Younus, H.A.; Al-Rashida, M.; Hameed, A.; Uroos, M.; Salar, U.; Rana, S.; Khan, K.M. Multicomponent reactions (MCR) in medicinal chemistry: A patent review (2010–2020). Expert Opin. Ther. Pat. 2021, 31, 267–289. [Google Scholar] [CrossRef] [PubMed]
- Domling, A.; Wang, W.; Wang, K. Chemistry and biology of multicomponent reactions. Chem. Rev. 2012, 112, 3083–3135. [Google Scholar] [CrossRef] [PubMed] [Green Version]
- Ghoneim, A.A.; El-Farargy, A.F.; Abdelaziz, S. Synthesis and Antimicrobial Activities of New S-Nucleosides of Chromeno[2,3-b]Pyridine Derivatives and C-Nucleosides of [1,2,4]Triazolo[1,5-a]Quinoline Derivatives. Nucleosides Nucleotides Nucleic Acids. 2014, 33, 583–596. [Google Scholar] [CrossRef] [PubMed]
- Oliveira-Pinto, S.; Pontes, O.; Lopes, D.; Sampaio-Marques, B.; Costa, M.D.; Carvalho, L.; Gonçalves, C.S.; Costa, B.M.; Maciel, P.; Ludovico, P.; et al. Unravelling the anticancer potential of functionalized chromeno[2,3-b]pyridines for breast cancer treatment. Bioorg. Chem. 2020, 100, 103942. [Google Scholar] [CrossRef] [PubMed]
- Maruyama, Y.; Goto, K.; Terasawa, M. Method for Treatment of Rheumatism. Ger. Offen. DE 3010751 19810806, 6 August 1981. [Google Scholar]
- Ukawa, K.; Ishiguro, T.; Kuriki, H.; Nohara, A. Synthesis of the metabolites and degradation products of 2-amino-7-isopropyl-5-oxo-5H-(1)benzopyrano(2,3-b)pyridine-3-carboxylic acid (Amoxanox). Chem. Pharm. Bull. 1985, 33, 4432–4437. [Google Scholar] [CrossRef] [Green Version]
- Oset-Gasque, M.J.; González, M.P.; Pérez-Peña, J.; García-Font, N. Toxicological and pharmacological evaluation, antioxidant, ADMET and molecular modeling of selected racemic chromenotacrines {11-amino-12-aryl-8,9,10,12-tetrahydro-7H-chromeno[2,3-b]quinolin-3-ols} for the potential prevention and treatment of Alzheimer’s disease. Eur. J. Med. Chem. 2014, 74, 491–501. [Google Scholar] [CrossRef] [Green Version]
- Goto, K.; Yaoka, O.; Oe, T. Hypotenseurs. PCT Int. Appl. WO 1984001711A1 19840510, 30 October 1982. [Google Scholar]
- Wu, X.-F.W.; Xiang, J.-C.; Gao, Q.-H.; Wu, A.-X. The Applications of DMSO. In Solvents as Reagents in Organic Synthesis: Reactions and Applications; Wu, X.-F.W., Ed.; Wiley-VCH Verlag GmbH & Co.: Weinheim, Germany, 2017; Chapter 7; pp. 315–353. [Google Scholar] [CrossRef]
- Jana, A.; Bhaumick, P.; Panday, A.K.; Mishra, R.; Choudhury, L.H. I2/DMSO mediated multicomponent reaction for the synthesis of 2-arylbenzo[d]imidazo[2,1-b]thiazole derivatives. Org. Biomol. Chem. 2019, 17, 5316–5330. [Google Scholar] [CrossRef] [PubMed]
- Bremner, W.S.; Organ, M.G. Multicomponent reactions to form heterocycles by microwaveassisted continuous flow organic synthesis. J. Comb. Chem. 2007, 9, 14–16. [Google Scholar] [CrossRef] [PubMed]
- Gao, Q.; Liu, S.; Wu, X.; Zhang, J.; Wu, A. Coproduct promoted Povarov reaction: Synthesis of Substituted quinolines from methyl ketones, arylamines, and α-ketoesters. J. Org. Chem. 2015, 80, 5984–5991. [Google Scholar] [CrossRef] [PubMed]
- Wu, X.; Geng, X.; Zhao, P.; Zhang, J.; Gong, X.; Wu, Y.; Wu, A. I2-promoted Povarov-type reaction using 1,4-dithane-2,5-diol as an ethylene surrogate: Formal [4+2] synthesis of quinolines. Org. Lett. 2017, 19, 1550–1553. [Google Scholar] [CrossRef] [PubMed]
- Gao, Q.; Liu, S.; Wu, X.; Wu, A. Povarov-type reaction using methyl as new input: Direct synthesis of substituted quinolines by I2-mediated formal [3+2+1] cycloaddition. Org. Lett. 2014, 16, 4582–4585. [Google Scholar] [CrossRef]
- Elinson, M.N.; Ryzhkova, Y.E.; Ryzhkov, F.V. Multicomponent design of chromeno[2,3-b]pyridine systems. Russ. Chem. Rev. 2021, 90, 94–115. [Google Scholar] [CrossRef]
- Vereshchagin, A.N.; Elinson, M.N.; Anisina, Y.E.; Ryzhkov, F.V.; Goloveshkin, A.S.; Bushmarinov, I.S.; Zlotin, S.G.; Egorov, M.P. Pot, atom and step economic (PASE) synthesis of 5-isoxazolyl-5H-chromeno[2,3-b]pyridine scaffold. Mendeleev Commun. 2015, 25, 424–426. [Google Scholar] [CrossRef]
- Vereshchagin, A.N.; Elinson, M.N.; Anisina, Y.E.; Ryzhkov, F.V.; Goloveshkin, A.S.; Novikov, R.A.; Egorov, M.P. Synthesis, structural, spectroscopic and docking studies of new 5C-substituted 2,4-diamino-5H-chromeno[2,3-b]pyridine-3-carbonitriles. J. Mol. Struct. 2017, 1146, 766–772. [Google Scholar] [CrossRef]
- Elinson, M.N.; Vereshchagin, A.N.; Anisina, Y.E.; Fakhrutdinov, A.N.; Goloveshkin, A.S.; Egorov, M.P. Pot-, Atom- and Step-Economic (PASE) Multicomponent approach to the 5-(Dialkylphosphonate)-Substituted 2,4-Diamino-5H-chromeno[2,3-b]pyridine scaffold. Eur. J. Org. Chem. 2019, 2019, 4171–4178. [Google Scholar] [CrossRef]
- Elinson, M.N.; Vereshchagin, A.N.; Anisina, Y.E.; Egorov, M.P. Efficient Multicomponent Approach to the Medicinally Relevant 5-aryl-chromeno[2,3-b]pyridine Scaffold. Polycycl. Aromat. Compd. 2020, 40, 108–115. [Google Scholar] [CrossRef]
- Ryzhkov, F.V.; Ryzhkova, Y.E.; Elinson, M.N.; Vorobyev, S.V.; Fakhrutdinov, A.N.; Vereshchagin, A.N.; Egorov, M.P. Catalyst-Solvent System for PASE Approach to Hydroxyquinolinone-Substituted Chromeno[2,3-b]pyridines Its Quantum Chemical Study and Investigation of Reaction Mechanism. Molecules 2020, 25, 2573. [Google Scholar] [CrossRef] [PubMed]
- Elinson, M.N.; Vereshchagin, A.N.; Anisina, Y.E.; Krymov, S.K.; Fakhrutdinov, A.N.; Egorov, M.P. Potassium fluoride catalysed multicomponent approach to medicinally privileged 5-[3-hydroxy-6-(hydroxymethyl)-4-oxo-4H-pyran-2-yl] substituted chromeno[2,3-b]pyridine scaffold. Arkivoc 2019, 2, 38–49. [Google Scholar] [CrossRef]
- Patai, S.; Israeli, Y. 411. The kinetics and mechanisms of carbonyl–methylene condensations. Part VII. The reaction of malononitrile with aromatic aldehydes in ethanol. J. Chem. Soc. 1960, 2025–2030. [Google Scholar] [CrossRef]
- Mittelbach, M. An improved and facile synthesis of 2-amino-1,1,3-tricyanopropene. Monatsh. Chem. 1985, 116, 689–691. [Google Scholar] [CrossRef]
Publisher’s Note: MDPI stays neutral with regard to jurisdictional claims in published maps and institutional affiliations. |
© 2021 by the authors. Licensee MDPI, Basel, Switzerland. This article is an open access article distributed under the terms and conditions of the Creative Commons Attribution (CC BY) license (https://creativecommons.org/licenses/by/4.0/).





