Alkaloids and Selected Topics in Their Thermochemistry
Abstract
1. Introduction
![]() | ![]() |
| (1) quinine, C20H24N2O2 | (2) cinchonidine, C19H22N2O |
![]() | ![]() |
| (3) quinidine, C20H24N2O2 | (4) cinchonine, C19H22N2O |
![]() | ![]() |
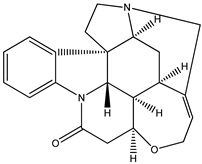
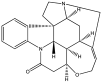
| (5) brucine, C23H26N2O4 | (6) strychnine, C21H22N2O2 |
![]() | ![]() |
| (7) anisine, C24H24N2O3 | (8) amarine, C21H18N2 |
![]() | ![]() |
| (9) papaverine, C20H21NO4 | (10) 1-benzylisoquinoline, C16H13N |
![]() | ![]() | ![]() | ![]() |
| (11) pyrrole, C4H5N | (12) 1-pyrroline, C4H7N | (13) pyrrolidine, C4H9N | (14) pyridine, C5H5N |
![]() | ![]() | ![]() | ![]() |
| (15) 1-piperideine, C5H9N | (16) piperidine, C5H11N | (17) pyrimidine, C4H4N2 | (18) 1,3,5-triazine, C3H3N3 |
![]() | ![]() | ||
| (19) quinoline, C9H7N | (20) isoquinoline, C9H7N |
2. Discussion of Alkaloids from a Thermochemical Perspective
- (a)
- The de-methylated species recognized as the alkaloid “nor-nicotine,” with the systematic name 3-(2S)-2-pyrrolidinyl-pyridine.
- (b)
- The nicotine isomer in which the methylpyrrolidine is replaced by piperidine to form the alkaloid “anabasine (23),” with the systematic name 3-(2S)-2-piperidinyl-pyridine.
![]() | ![]() | ![]() |
| (21) berberine chloride dihydrate, C20H18NO4∙Cl∙2H2O | (22) nicotine, C10H14N2 | (23) anabasine, C10H14N2 |
- (a)
- Quinine, 6′-methoxy-cinchonan-9-ol, (8α,9R)-, (R)-[(2S,4S,5R)-5-ethenyl-1-azabicyclo[2.2.2]octan-2-yl]6-methoxyquinolin-4-yl)methanol
- (b)
- Cinchonidine, cinchonan-9-ol, (8α,9S)-, (R)-[(2S,4S,5R)-5-ethenyl-1-azabicyclo[2.2.2]octan-2-yl](quinolin-4-yl)methanol
- (c)
- Quinidine, 6′-methoxy-cinchonan-9-ol, (9S)-, (2-Ethenyl-4-azabicyclo[2.2.2]oct-5-yl)-(6-methoxyquinolin-4-yl)-methanol
- (d)
- Cinchonine, cinchonan-9-ol, (8α,9R))-, (S)-[(2R,4S,5R)-5-ethenyl-1-azabicyclo[2.2.2]octan-2-yl](quinolin-4-yl)methanol
2.1. The Enthalpies of Formation of Brucine and Strychnine
2.2. The Enthalpies of Formation of Anisine and Amarine
![]() |
| (24) “amarine”, C32H46O8 |
2.3. The Enthalpies of Formation of Papaverine and Related Isoquinolines and Isoquinolines
2.4. Thermochemical Considerations of Imines, Imidates and Related Species
- (a)
- Demethoxylation of acyclic and alicyclic species with the -C(OCH3)=N- functionality, such as N,O-dimethylacetimidate (3-methoxy-2-aza-2-butene), 2-methoxypiperidine, and 2-methoxypyrroline, is accompanied by a ~230 kJ mol−1 increase to more positive enthalpies of formation.
- (b)
- Demethoxylation of heterocyclic species with the -C(OCH3)=N- functionality, such as 2-methoxypyridine and 2,6-dimethoxypyridine, is accompanied by a ~200 kJ mol−1 increase to more positive enthalpies of formation.
- (c)
- Demethoxylation of heterocycles containing nitrogen but with the methoxy group not on the carbon adjacent to nitrogen, such as anisine, brucine, cinchonidine, papaverine, 4-methoxypyridine, 6-methoxyquinoline, and quinine, is accompanied by a ~170 kJ mol−1 increase to more positive enthalpies of formation.
3. Conclusions
Funding
Institutional Review Board Statement
Informed Consent Statement
Data Availability Statement
Conflicts of Interest
References
- Merriam-Webster Dictionary. Available online: https://www.merriam-webster.com/ (accessed on 25 May 2021).
- McNaught, A.D.; Wilkinson, A. Compendium of Chemical Terminology, (the "Gold Book"), 2nd ed.; Blackwell Scientific Publications: Oxford, UK, 1997; ISBN 0-9678550-9-8. Available online: https://media.iupac.org/publications/analytical_compendium/ (accessed on 25 May 2021).
- SciFinder®. Available online: https://www.scifinder.cas.org (accessed on 25 May 2021).
- Domalski, E.S. Selected Values of Heats of Combustion and Heats of Formation of Organic Compounds Containing the Elements Carbon, Hydrogen, Nitrogen, Oxygen, Phosphorus, and Sulfur. J. Phys. Chem. Ref. Data 1972, 1, 221–277. [Google Scholar] [CrossRef]
- Kasenov, B.K.; Tukhmetova, Z.K.; Kasenova, S.B.; Abil’daeva, A.Z.; Adekenov, S.M. Enthalpically Characteristics of Some Derivatives Alkaloid Harmine. Russ. J. Appl. Chem. 2004, 77, 508–510. [Google Scholar] [CrossRef]
- Kasenova, S.B.; Tukhmetova, Z.K.; Abil’daeva, A.Z.; Burdel’naya, E.V.; Mukusheva, G.K.; Kasenov, B.K.; Adekenov, S.M.; Turmukhambetov, A.Z. Thermodynamic Properties of Alkaloids Lappaconitine and Glaucine. Russ. J. Appl. Chem. 2007, 80, 549–552. [Google Scholar] [CrossRef]
- Ovchinnikov, V.V. Thermochemistry of Heteroatomic Compounds: Calculation of the Heat of Combustion and the Heat of Formation of Some Bioorganic Molecules with Different Hydrophenanthrene Rows. Open J. Phys. Chem. 2011, 1, 1–5. [Google Scholar] [CrossRef][Green Version]
- Cheng, X.X.; Lui, Y.; Hu, Y.J.; Liu, Y.; Li, L.W.; Di, Y.Y.; Xiao, X.H. Thermal Behavior and Thermodynamic Properties of Berberine Hydrochloride. J. Therm. Anal. Calorim. 2013, 114, 1401–1407. [Google Scholar] [CrossRef]
- Emel’yanenko, V.N.; Turovtsev, V.V.; Fedina, Y.A.; Sikorski, P. Thermodynamic Properties of S-(-)-Nicotine. J. Chem. Thermodyn. 2018, 120, 97–103. [Google Scholar] [CrossRef]
- Berthelot, M.; Andre, G. New Investigations over the Heat of Combustion and Formation Some more Nitrogenous and Other Compounds. An. Chim. Phys. 1889, 19, 43–51. [Google Scholar]
- Dezelic, M.; Stancic, B.; Grujic-Vasic, J. Nicotine Hydrate. Determination of its Composition by Physicochemical Methods. J. Bull. Soc. Chim. Repub. Pop. Bosnie Herzegovine 1953, 2, 19–27. [Google Scholar]
- Dorofeeva, O.V.; Filimonova, M.A. Cyclic Aliphatic Amines: A Critical Analysis of the Experimental Enthalpies of Formation by Comparison with Theoretical Calculations. J. Chem. Thermodyn. 2020, 145, 106092. [Google Scholar] [CrossRef]
- Acree, W.; Chickos, J.S. Phase Transition Enthalpy Measurements of Organic and Organometallic Compounds. Sublimation, Vaporization and Fusion Enthalpies From 1880 to 2015. Part 1. C1–C10. J. Phys. Chem. Ref. Data 2016, 45, 033101/1–033101/565. [Google Scholar] [CrossRef]
- Acree, W.; Chickos, J.S. Phase Transition Enthalpy Measurements of Organic and Organometallic Compounds and Ionic Liquids. Sublimation, Vaporization, and Fusion Enthalpies from 1880 to 2015. Part 2. C11–C192. J. Phys. Chem. Ref. Data 2017, 46, 013104/1–013104/532. [Google Scholar] [CrossRef]
- Barton, D.; Chickos, J. Vaporization Enthalpies and Vapor Pressures of the Major Components of Opopanax Oil, α-Santalene, cis α-Bisabolene, cis α-Bergamotene. Struct. Chem. 2021, 32, 939–952. [Google Scholar] [CrossRef]
- Ribeiro da Silva, M.A.V.; Ribeiro da Silva, M.D.M.C.; Lobo Ferreira, A.I.M.C.; Shi, Q.; Woodfield, B.F.; Goldberg, R.N. Thermochemistry of α-D-Xylose(cr). J. Chem. Thermodyn. 2013, 58, 20–28. [Google Scholar] [CrossRef]
- Månsson, M. Non-bonded Oxygen-Oxygen Interactions in 2,4,10-Trioxa-adamantane and 1,3,5,7,9-Pentoxecane. Acta Chem. Scand. Ser. B 1974, 28, 895–899. [Google Scholar] [CrossRef]
- Amaral, L.M.P.F.; Ribeiro da Silva, M.A.V. Thermochemistry of Some Methoxypyridines. J. Chem. Thermodyn. 2012, 48, 65–69. [Google Scholar] [CrossRef]
- Matos, M.A.R.; Miranda, M.S.; Morais, V.M.F. Calorimetric and Theoretical Determination of Standard Enthalpies of Formation of Dimethoxy- and Trimethoxybenzene Isomers. J. Phys. Chem. A 2000, 104, 9260–9265. [Google Scholar] [CrossRef]
- Yan, H.; Bian, J.; Gu, J.; Hu, R. Enthalpy of Standard Formation of p-Dimethoxybenzene. Huaxue Xuebao 1987, 45, 52–54. [Google Scholar]
- Roux, M.V.; Temprado, M.; Chickos, J.S.; Nagano, Y. Critically Evaluated Thermochemical Properties of Polycyclic Aromatic Hydrocarbons. J. Phys. Chem. Ref. Data 2008, 37, 1855–1996. [Google Scholar] [CrossRef]
- Ribeiro da Silva, M.A.V.; Matos, M.A.R.; Amaral, L.M.P.F. Thermochemical Studies of 1-Hydroxyisoquinoline, 5-Hhydroxyisoquinoline and 1, 5-Dihydroxyisoquinoline. J. Chem. Thermodyn. 2005, 37, 1312–1317. [Google Scholar] [CrossRef]
- Namazian, M.; Coote, M.L. Calculation of the Enthalpies of Formation and Proton Affinities of Some Isoquinoline Derivatives. J. Chem. Thermodyn. 2008, 40, 1627–1631. [Google Scholar] [CrossRef]
- Ribeiro Da Silva, M.A.V.; Matos, M.A.R.; Amaral, L.M.P.F. Thermochemical Study of 2-, 4-, 6-, and 8-Methylquinoline. J. Chem. Thermodyn. 1995, 27, 565–571. [Google Scholar] [CrossRef]
- Ribeiro Da Silva, M.A.V.; Matos, M.A.R.; Amaral, L.M.P.F. Standard Enthalpies of Formation and of Sublimation of 2,6-Dimethylquinoline and 2,7-Dimethylquinoline. J. Chem. Thermodyn. 1995, 27, 1141–1145. [Google Scholar] [CrossRef]
- Chirico, R.D.; Steele, W.V. Thermodynamic Properties of 2-Methylquinoline and 8-Methylquinoline. J. Chem. Eng. Data 2005, 50, 697–708. [Google Scholar] [CrossRef]
- Steele, W.V.; Archer, D.G.; Chirico, R.D.; Collier, W.B.; Hossenlopp, I.A.; Nguyen, A.; Smith, N.K.; Gammon, B.E. The Thermodynamic Properties of Quinoline and Isoquinoline. J. Chem. Thermodyn. 1988, 20, 1233–1264. [Google Scholar] [CrossRef]
- Galvão, T.L.P.; Ribeiro da Silva, M.D.M.C.; Ribeiro da Silva, M.A.V. From 2,4-Dimethoxypyrimidine to 1,3-Dimethyluracil: Isomerization Enthalpies and Noncovalent Interactions. J. Phys. Chem. A 2014, 118, 4816–4823. [Google Scholar] [CrossRef]
- Verevkin, S.P.; Emel’yanenko, V.N.; Notario, R.; Roux, M.V.; Chickos, J.S.; Liebman, J.F. Rediscovering the Wheel. Thermochemical Analysis of Energetics of the Aromatic Diazines. J. Phys. Chem. Lett. 2012, 3, 3454–3459. [Google Scholar] [CrossRef] [PubMed]
- Johnson, W.H.; Prosen, E.J. Determination of the Enthalpies of Combustion and Formation of Substituted Triazines in an Adi-abatic Rotating Bomb Calorimeter. J. Res. Natl. Bur. Stand. 1985, 90, 295–303. [Google Scholar] [CrossRef]
- Imamura, A.; Takahashi, K.; Murata, S.; Sakiyama, M. Standard Enthalpies of Formation of Trimethyl Cyanurate, Malonamide, and 1,3-Dimethyluracil. J. Chem. Thermodyn. 1989, 21, 237–246. [Google Scholar] [CrossRef]
- Byström, K. The Stabilization Energy of 1,3,5-Triazine Derived Measurements of the Enthalpies of Combustion and sublimation. J. Chem. Thermodyn. 1982, 14, 865–870. [Google Scholar] [CrossRef]
- Cox, J.D.; Challoner, A.R.; Meetham, A.R. The Heats of Combustion of Pyridine and Certain of its Derivatives. J. Chem. Soc. 1954, 265–271. [Google Scholar] [CrossRef]
- Hubbard, W.N.; Frow, F.R.; Waddington, G. The Heats of Combustion and Formation of Pyridine and Hippuric acid. J. Phys. Chem. 1961, 65, 1326–1328. [Google Scholar] [CrossRef]
- Ribeiro da Silva, M.D.M.C.; Santos, L.M.N.B.F.; Silva, A.L.R.; Fernandes, O.; Acree, W.E. Energetics of 6-Methoxyquinoline and 6-Methoxyquinoline N-Oxide: The Dissociation Enthalpy of the (N-O) Bond. J. Chem. Thermodyn. 2003, 35, 1093–1100. [Google Scholar] [CrossRef]
- Vasil’eva, T.; Zhil’tsova, E.N.; Vvedenskii, A.A. Enthalpies of Combustion of N,N-Dimethylformamide and N,N-Dimethylacetamide. Zh. Fiz. Khim. 1972, 46, 541. [Google Scholar]
- Beak, P.; Lee, J.K.; Zeigler, J.M. Equilibration Studies: Amide-imidate and Thioamide-Thioimidate functions. J. Org. Chem. 1978, 43, 1536–1538. [Google Scholar] [CrossRef]
- Gallis, D.E.; Crist, D.R. Use of NOE Difference Spectra to Determine Configurations and Conformations of Imidate Esters. Magn. Res. Chem. 1987, 25, 480–483. [Google Scholar] [CrossRef]
- Wiberg, K.B.; Nakaji, D.Y.; Morgan, K.M. Heat of Hydrogenation of a cis Imine. An Experimental and Theoretical study. J. Am. Chem. Soc. 1993, 115, 3527–3532. [Google Scholar] [CrossRef]
- Hammerum, S.; Sølling, T.I. The Proton Affinities of Imines and the Heats of Formation of Immonium Ions Investigated with Composite Ab Initio Methods. J. Am. Chem. Soc. 1999, 121, 6002–6009. [Google Scholar] [CrossRef]
- Chickos, J.S.; Hesse, D.G.; Liebman, J.F.; Panshin, S.Y. Estimations of the Heats of Vaporization of Simple Hydrocarbon Derivatives at 298 K. J. Org. Chem. 1988, 53, 3424–3429. [Google Scholar] [CrossRef]
- Kozina, M.P.; Skuratov, S.M. The Enthalpy of Polymerization of N-Substituted Lactams. Dokl. Akad. Nauk SSSR 1959, 127, 561–563. [Google Scholar]
- Steele, W.V.; Chirico, R.D.; Nguyen, A.; Hossenlopp, I.A.; Smith, N.K. Determination of Ideal-Gas Enthalpies of Formation for Key compounds; AIChE Symposium Series; National Institue for Petroleum and Energy Research: Bartlesville, OK, USA, 1990; Volume 86, pp. 138–154. [Google Scholar] [CrossRef]
- Ribeiro da Silva, M.A.V.; Cabral, J.I.T.A. Thermochemistry of Some derivatives of 2- and 4-Piperidone. J. Chem. Eng. Data 2006, 51, 1556–1561. [Google Scholar] [CrossRef]
- Verevkin, S.P.; Konnova, M.E.; Turovtsev, V.V.; Riabchunova, A.V.; Pimerzin, A.A. Weaving a Network of Reliable Thermochemistry around Lignin Building Blocks: Methoxy-Phenols and Methoxy-Benzaldehydes. Ind. Eng. Chem. Res. 2020, 59, 22626–22639. [Google Scholar] [CrossRef]
- Roux, M.V.; Temprado, M.; Dávalos, J.Z.; Jiménez, P.; Hosmane, R.S.; Liebman, J.F. Enthalpy of Formation of Methyl Benzoate: Calorimetry and Consequences. Phys. Chem. Chem. Phys. 2002, 4, 3611–3613. [Google Scholar] [CrossRef]
- Hunter, E.P.L.; Lias, S.G. Evaluated Gas Phase Basicities and Proton Affinities of Molecules: An Update. J. Phys. Chem. Ref. Data 1998, 27, 413–656. [Google Scholar] [CrossRef]
| Methoxylated Species | Demethoxylated Species | |
|---|---|---|
| Trivial name | quinine (1) | cinchonidine (2) |
| Molecular formula | C20H24N2O2 | C19H22N2O |
| CASRN | 130-95-0 | 485-71-2 |
| IUPAC name 1 | (R)-(6-methoxyquinolin-4-yl)((1S,2S,4S,5R)-5-vinylquinuclidin-2-yl)methanol | (R)-quinolin-4-yl((1S,2S,4S,5R)-5-vinylquinuclidin-2-yl)methanol |
| Trivial name | quinidine (3) | cinchonine (4) |
| Molecular formula | C20H24N2O2 | C19H22N2O |
| CASRN | 56-54-2 | 118-10-5 |
| IUPAC name 1 | (S)-(6-methoxyquinolin-4-yl)((1S,2R,4S,5R)-5-vinylquinuclidin-2-yl)methanol | (S)-quinolin-4-yl((1S,2R,4S,5R)-5-vinylquinuclidin-2-yl)methanol |
| Trivial name | brucine (5) | strychnine (6) |
| Molecular formula | C23H26N2O4 | C21H22N2O2 |
| CASRN | 357-57-3 | 57-24-9 |
| IUPAC Name 1 | (4aR,5aS,8aR,13aS,15aS,15bR)-10,11-dimethoxy-4a,5,5a,7,8,13a,15,15a,15b,16-decahydro-2H-4,6-methanoindolo [3,2,1-ij]oxepino[2,3,4-de]pyrrolo[2,3-h]quinolin-14-one | (4aR,5aS,8aR,13aS,15aS,15bR)-4a,5,5a,7,8,13a,15,15a,15b,16-decahydro-2H-4,6-methanoindolo[3,2,1-ij]oxepino[2,3,4-de]pyrrolo[2,3-h]quinolin-14-one |
| Trivial name | anisine (7) | amarine (8) |
| Molecular formula | C24H24N2O3 | C21H18N2 |
| CASRN | 575-55-1 | 91044-33-6 |
| IUPAC name 1 | (4R,5S)-2,4,5-tris(4-methoxyphenyl)-4,5-dihydro-1H-imidazole | (4R,5S)-2,4,5-triphenyl-4,5-dihydro-1H-imidazole |
| Trivial name | papaverine (9) | - (10) |
| Molecular formula | C20H21NO4 | C16H13N |
| CASRN | 58-74-2 | 6907-59-1 |
| IUPAC name 1 | 1-(3,4-dimethoxybenzyl)-6,7-dimethoxyisoquinoline | 1-benzylisoquinoline |
| Methoxylated Species 1 | ΔHfo (kJ mol−1) | Demethoxylated Species | ΔHfo (kJ mol−1) |
|---|---|---|---|
| Quinine (n = 1) | −160 | Cinchonidine | 30 |
| Quinidine (n = 1) | −155 | Cinchonine | 31 |
| Brucine (n = 2) | −496 | Strychnine | −172 |
| Anisine (n = 3) | −264 | Amarine | 213 |
| Papaverine (n = 4) | −503 | 1-Benzylisoquinoline | 150 |
| 2,4-Dimethoxypyrimidine (n = 2) | −277 | Pyrimidine | 133 |
| 2,4,6-Trimethoxy-1,3,5-triazine (n = 3) | −479 | 1,3,5-Triazine | 172 |
| 6-Methoxyquinoline (n = 1) | −21 | Quinoline | 141 |
| 2-Methoxy-1-pyrroline (n = 1) | −195 | 1-Pyrroline | 38 |
| N,O-Dimethylacetimide (n = 1) | −204 | 2-Aza-2-butene | 29 |
Publisher’s Note: MDPI stays neutral with regard to jurisdictional claims in published maps and institutional affiliations. |
© 2021 by the authors. Licensee MDPI, Basel, Switzerland. This article is an open access article distributed under the terms and conditions of the Creative Commons Attribution (CC BY) license (https://creativecommons.org/licenses/by/4.0/).
Share and Cite
Ponikvar-Svet, M.; Zeiger, D.N.; Liebman, J.F. Alkaloids and Selected Topics in Their Thermochemistry. Molecules 2021, 26, 6715. https://doi.org/10.3390/molecules26216715
Ponikvar-Svet M, Zeiger DN, Liebman JF. Alkaloids and Selected Topics in Their Thermochemistry. Molecules. 2021; 26(21):6715. https://doi.org/10.3390/molecules26216715
Chicago/Turabian StylePonikvar-Svet, Maja, Diana N. Zeiger, and Joel F. Liebman. 2021. "Alkaloids and Selected Topics in Their Thermochemistry" Molecules 26, no. 21: 6715. https://doi.org/10.3390/molecules26216715
APA StylePonikvar-Svet, M., Zeiger, D. N., & Liebman, J. F. (2021). Alkaloids and Selected Topics in Their Thermochemistry. Molecules, 26(21), 6715. https://doi.org/10.3390/molecules26216715

























