Next Article in Journal
Synthesis, Phase Behavior and Computational Simulations of a Pyridyl-Based Liquid Crystal System
Next Article in Special Issue
Chemical Approaches for Studying the Biology and Pharmacology of Membrane Transporters: The Histidine/Large Amino Acid Transporter SLC7A5 as a Benchmark
Previous Article in Journal
Kinetics and Thermodynamics of CO Oxidation by (TiO2)6
Previous Article in Special Issue
Natural Polyphenols as Immunomodulators to Rescue Immune Response Homeostasis: Quercetin as a Research Model against Severe COVID-19
 
 
Font Type:
Arial Georgia Verdana
Font Size:
Aa Aa Aa
Line Spacing:
Column Width:
Background:
Review

Recognition of Chiral Carboxylates by Synthetic Receptors

Institute of Organic Chemistry, Polish Academy of Sciences (PAS), 01-224 Warsaw, Poland
*
Authors to whom correspondence should be addressed.
Molecules 2021, 26(21), 6417; https://doi.org/10.3390/molecules26216417
Submission received: 30 September 2021 / Revised: 19 October 2021 / Accepted: 21 October 2021 / Published: 24 October 2021
(This article belongs to the Special Issue Feature Review Papers in Chemical Biology)

Abstract

Recognition of anionic species plays a fundamental role in many essential chemical, biological, and environmental processes. Numerous monographs and review papers on molecular recognition of anions by synthetic receptors reflect the continuing and growing interest in this area of supramolecular chemistry. However, despite the enormous progress made over the last 20 years in the design of these molecules, the design of receptors for chiral anions is much less developed. Chiral recognition is one of the most subtle types of selectivity, and it requires very precise spatial organization of the receptor framework. At the same time, this phenomenon commonly occurs in many processes present in nature, often being their fundamental step. For these reasons, research directed toward understanding the chiral anion recognition phenomenon may lead to the identification of structural patterns that enable increasingly efficient receptor design. In this review, we present the recent progress made in the area of synthetic receptors for biologically relevant chiral carboxylates.

1. Introduction

A large number of molecules found in living organisms are chiral, which consequently allows for interactions between them, and this is the domain of chiral recognition [1,2,3,4,5]. The most spectacular fact is that enantiomers of chiral molecules can induce completely different reactions in living organisms. This applies, for example, to the binding of small chiral molecules by macromolecules (protein receptors) in natural communication pathways (neurotransmitters, hormones), sensory perception (different smells of enantiomers), or the action of synthetic drugs (e.g., the discovery of the mutagenic character of the (S) enantiomer of thalidomide) [6]. Moreover, chiral recognition is also important for analytical chemistry during the interaction of the analyte with the stationary phase during chromatographic separation, extraction to the solid phase, or transport across membranes [7]. For the above reasons, it becomes particularly important to understand the basis of chiral recognition. Despite such great importance of the discussed issue, the problem of chiral recognition using synthetic receptors, in comparison with molecular recognition of achiral guests, is relatively poorly understood. Designing a receptor that effectively discriminates chiral anions involves knowledge of previous literature reports and computational modeling of receptor–guest complexes, together with the experience and chemical intuition of the researcher. Despite the current studies on the synthesis and evaluation of chiral receptors, a priori prediction of their enantio-differentiating properties before synthesis and without time-consuming and expensive studies is still impossible. This is due to the fact that even small changes in the structure of the receptor can have a non-negligible effect on its role in the enantio-differentiation of chiral molecules, making it difficult to define general principles for the design of selective receptors. As a consequence, there is a deficit of works devoted to fundamental studies determining the influence of structural factors on the enantioselectivity of model receptors and the durability of their formation of diastereomeric complexes.
New, precisely designed chiral receptors also open up a number of practical opportunities. One area that has been strongly explored by many research groups is asymmetric synthesis [8,9,10,11]. Despite many successes in this area, the practical derivation of homochiral compounds still remains a challenge. Research on chiral recognition may enable the design of efficient catalysts for asymmetric catalysis or create chiral stationary phases for the separation of racemic mixtures. Furthermore, chiral receptors can be used as ion carriers in transport processes or can provide membrane fragments as sensors for chiral ions.
A major challenge has been to design a host structure that will selectively interact with the carboxylate ion [12]. Carboxylates are examples of anions with a pseudotrigonal shape, and their negative charge is delocalized mainly on two oxygen atoms. Due to the presence of the carboxyl group in many bioactive compounds, including bilirubin, bile acids, folic acid (vitamin B9), ascorbic acid (vitamin C), and biotin (vitamin H) (Figure 1), in combinations with potential use in medicine, or in those taking an active part in many metabolic processes, carboxylates are essential objects in studies of anion association, if only because of their therapeutic importance. Moreover, a significant number of them are optically active compounds which stimulates the development of a chiral variant for their recognition.
The basis of chiral recognition is the formation of diastereomeric complexes due to the interaction of a chiral receptor with a chiral substrate. The chiral recognition phenomenon takes place when there is a difference in Gibbs free energy (ΔG) between the formed diastereomeric complexes. As previously mentioned, despite the many literature reports on this process, the multitude of factors affecting the chiral recognition, as well as the difficulty in predicting their contribution to the association process, makes the precise design of an effective receptor an extremely challenging task. Even small changes in any of the factors can have unanticipated and strong effects on selectivity and binding strength. It is still virtually impossible to predict the enantio-differentiating properties of a receptor before synthesis and time-consuming and expensive studies are conducted. As a result, there are few works with a fundamental approach to chiral recognition [13]; moreover, the lack of general rules for the selection, both of the solvent and the structure of the tested anions, makes it difficult to reliably compare ligands known from the literature with each other.
During a careful analysis of the literature reports, two main strategies emerge for the construction of the chiral anion receptors. The first concept assumes symmetric attachment of the anion-binding functions to a rigid platform matched to the carboxyl anions and then attachment of the chiral element. On the other hand, the second strategy takes advantage of the inherent chiral properties of the molecule, which after proper attachment of hydrogen bonding donors, allows formation of a chiral binding pocket. Prominent among the most commonly chosen chiral building blocks are readily available and inexpensive natural sources of chirality, such as amino acids [14,15,16], sugars [17,18], cyclodextrins [19,20], steroids [21], and synthetic sources—macrocycles or calixarenes [22]. These building blocks can be further modified to achieve the desired stereochemical properties. When talking about chirality, one has to take into account that molecules can also be characterized, in addition to the best known and most common center chirality, by axial chirality, e.g., atropoisomeric ortho-substituted biphenyls (BINOL derivatives) and allenes, or planar chirality, e.g., (E)-cyclooctene atropoisomerism or ferrocene derivatives. In this paper, we present a literature review on synthetic receptors for chiral carboxylates with a particular emphasis on the classification of the most commonly used hydrogen bonding donors.

2. Amide Receptors

Diamide derivatives of simple aromatic compounds have found significant use as platforms in chiral anion recognition. Taking their advantages, a family of 1,2-disubstituted cyclic amine derivatives 13 (Figure 2) was obtained and investigated [23,24].
The ligands were designed to compare the enantiodiscrimination abilities of the chiral 1,3-diamide derivative of phthalic acid containing a five-membered cyclopentane ring 2 with the analogous 2,6-disubstituted pyridine derivative 1 and the effect of alkane ring size for the derivatives 1 and 3. The chiral recognition properties of receptors toward carboxylic acids were evaluated in CDCl3 using the 1H NMR technique by exploiting the ability of receptors to separate the reference protons in their racemic mixtures. Pyridine chiral solvating agents (CSAs) 1 and 3 resulted in a higher separation of the studied signals. Moreover, the ligand having a six-membered ring showed ΔΔδ ≥ 0.04 ppm for all tested guests. It was demonstrated that the tested receptors could be used as CSAs.
In 2018, a paper was published on treating the chiral recognition of tetraamide fluorescent receptors 4 and 5 using the geometry of a diamide derivative of isophthalic acid (Figure 3) [25].
Symmetrically attached pyrene units were responsible for the fluorescence response, while the blocks introducing chirality were serine or threonine derivatives. Comparison of the binding properties and ability to enantioselectively complex anions measured by fluorescence changes in acetonitrile showed that 5, having higher steric hindrance near the binding pocket, exhibited lower stability constants of the complexes formed (stability constants for the acetylated leucine derivative KD = 1.03 × 10 5   M 1 and KL = 2.62 × 10 4   M 1 and KD = 6.19 × 10 4   M 1 and KL = 1.33 × 10 4   M 1 , for receptors 4 and 5, respectively), while showing better chiral recognition (for leucine KD/KL = 3.9 and KD/KL = 4.6 for 4 and 5, respectively). The obtained enantioselectivity for the threonine host 5 was confirmed by titration under 1H NMR control in DMSO-d6, where the calculated ratio of stability constants was KD/KL = 2.10 for leucine. The results obtained indicate a significant effect of the solvent medium on chiral recognition.
A similar approach was used to construct the group of receptors 68 [26], where a diamide derivative of pyridine acted as the binding pocket, while the chiral block was made up of alanine, phenylalanine, or tryptophan chiral linkers (Figure 4).
Due to the attachment of anthracene units, it was possible to perform experiments by fluorescence titration in DMSO, while phenylalanine protected by a tert-butoxycarbonyl group (Boc) was taken as the reference anion. The obtained results presented in Table 1 show that the best enantioselective properties were exhibited by receptor 8 containing an indole derivative in its structure which allows the formation of additional hydrogen bonds.
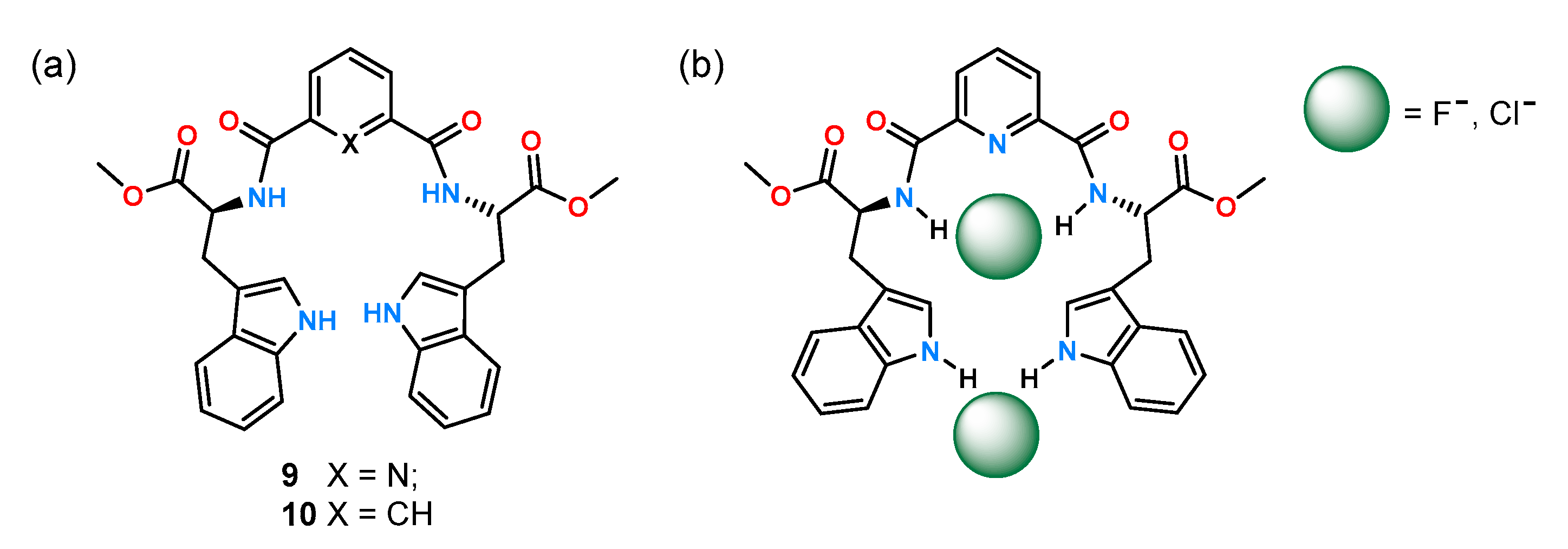
Previous work by the Gale group [27] allowed preparation of the symmetric receptors 9 and 10 (Figure 5) containing tryptophan moieties by the Caltagirone group [28]. The anion binding properties of receptors to both achiral and chiral anions were evaluated by 1H NMR titration experiments in DMSO-d6 with 0.5% H2O.
While the isophthalic derivative 10 practically did not interact with the tested anions, receptor 9 formed complexes with stoichiometry 1:2 with chloride and fluoride anions and with an acetate complex with stoichiometry 1:1. Therefore, it was decided to continue the enantioselectivity studies only for receptor 9. As it turned out, this host showed greater affinity for the L enantiomer of the serine and alanine derivatives tested, and the chiral recognition for them was at the level of KL/KD = 1.40 and KL/KD = 1.65, respectively.
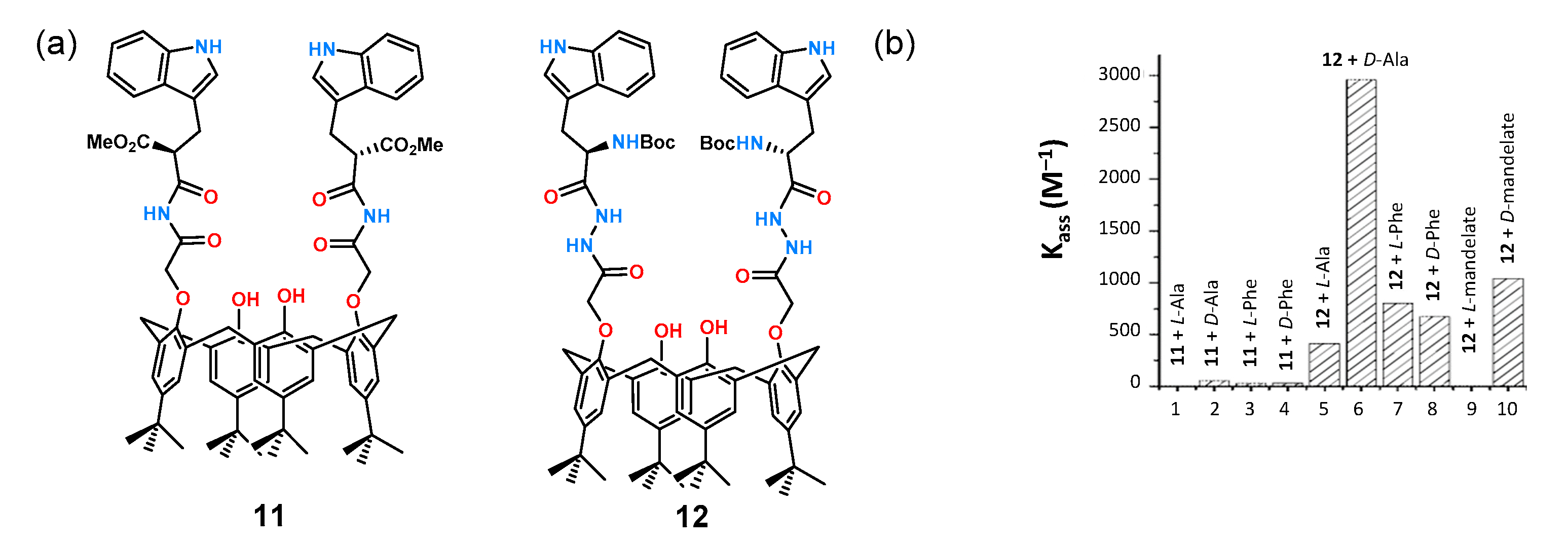
Tryptophan is commonly used as a chiral building block in the construction of receptors for anions because of its synthetic availability allowing straightforward preparation of a binding pocket around an inherently chiral molecule. A translation of this approach is shown in Figure 6a for receptors 11 and 12 based on the calixarene scaffold [29].
The receptors have two tryptophan molecules symmetrically attached via amide bonds to form an anion binding site. Affinity studies for a series of chiral carboxylate anions derived from mandelic acid, phenylglycine, N-Boc-phenylglycine, and N-Boc-phenylalanine were performed by fluorescence titration in DMSO. The titration results show the dependence of the stability constants (Kass) of the formed complexes of receptors 11 and 12 with the aforementioned anions (Figure 6b). As can be seen, receptor 11, having only two amide functions, practically did not interact with the tested anions, while receptor 12 showed very good chiral recognition toward a pair of enantiomers of alanine and mandelic acid anions.
1,1′-Bi-2-naphthol (BINOL) is another structural motif important in the design of molecular receptors due to its inherent chirality, rigidity, and good synthetic availability. For these reasons, it was utilized in the construction of cation [30,31] and anion receptors [32,33] as well as in the preparation of chiral catalysts [34,35,36]. Taking advantage of the rigid structure of BINOL, four new ligands 1316 (Figure 7) were prepared and studied by fluorimetric titration experiments in chloroform [37].
All receptors exhibited high association constants with the carboxylate anions tested which is understandable in such a non-competitive solvent. Furthermore, the highest chiral recognition was obtained for the pair of phenylalanine enantiomers protected by the Boc group KS/KR = 5.92 for 13 and KS/KR = 5.13 for 14, with enantioselectivity reversals of KS/KR = 1/5.18 and KS/KR = 1/4.49 for 15 and 16 for R-BINOL, respectively.

3. Urea and Thiourea Receptors

The urea and thiourea groups are important anion binding motifs in the construction of molecular receptors for chiral anions.
To investigate the effect of steric hindrance, receptors 1719 (Figure 8) have been synthetized [38]. The thiourea function was linked to a phenyl, 1-naphthyl, and 9-anthracene substituent, respectively, via a methine bridge. Additionally, for each receptor, its counterpart with a trifluoromethyl instead of a methyl group was obtained by synthesizing receptors 2022 (Figure 8). Ligands dedicated to binding mandelates were evaluated using 1H NMR titrations in a competitive solvent such as DMSO-d6.
Replacement of the methyl with a trifluoromethyl group (both of which create nearly identical steric hindrance) resulted in a tenfold increase in the stability constants of the resulting complexes with the highest KR = 447 M−1 and KS = 205 M−1 for the R- and S-enantiomers, respectively, and consequently the best chiral recognition (KS/KR = 2.18) recorded for the naphthyl substituted receptor 21 (compared to its counterpart with a methyl group 18: KR = 14 M−1 and KS = 18 M−1 and KS/KR = 1.29). Replacement of the naphthyl substituent by phenyl and anthracene resulted in the reduction of both binding affinity and enantioselectivity for mandelate, KS/KR = 1.64 and KS/KR = 1.38 for 20 and 22. These results highlight that even a small structural change in the receptor framework has a large effect on the chiral recognition properties.
An example of an asymmetric thiourea receptor designed to act as a chiral chemosensor is ligand 23, shown in Figure 9a [39].
The thiourea group responsible for anion binding was combined on one side with a phthalimide derivative to serve as the sensing function and on the other side with a chiral benzyl derivative to serve as the enantioselective fragment (Figure 9b). When evaluating the enantioselective properties of ligand 23 by UV-Vis titration experiments in acetonitrile, little change in absorption was observed when anions of the corresponding lactic acid enantiomers were added. Only the comparison of the change in absorption with the inverse of the guest concentration showed clear differences for the complexes formed and allowed the calculation of the corresponding stability constants for both guest enantiomers and the determination of KD/KL = 1.93.
Another example of smartly designed ligands is the family of chiral, electrochemically functional receptors developed by Tucker’s group [40,41]. They investigated a series of ligands containing in their structure a (thio)urea unit as an anion binding center to which nitrobenzene was attached on one side (the presence of which made UV studies possible), while on the other, a ferrocene derivative was attached via a methine bridge as an electrochemically active unit. The effect of steric hindrance on chiral recognition was determined using UV-Vis titration experiments in acetonitrile. Evaluation of receptors 2429 with a set of selected chiral anions was performed (Figure 10).
Cholic acid, due to its easy availability and inherent chirality, is attractive as a building block of chiral receptors for anion recognition. An example of such a ligand is the chiral receptor 30 (Figure 11) which is also a fluorescent sensor due to the presence of two pyrene substituents [21].
Studies on the potential enantioselectivity of ligand 30 were carried out by fluorescence titration experiments in acetonitrile with a pair of enantiomers of mandelic acid. The results show practically unnoticeable changes in fluorescence intensity for the R-enantiomer, while for the S-enantiomer, the change was significant and allowed the determination of the stability constant of the complex as KS = 3.43 × 10 3   M 1 . Chiral recognition of mandelic acid anions was estimated as KS/KR = 5.0.
An example of a study of the effect of binding pocket size on anion association and chiral recognition by a family of three symmetrical urea-glucopyranose derivatives 3133 was published by the Jurczak group (Figure 12) [42].
The receptors tested differed in geometry and binding pocket size, with naphthalene receptor 32 having the smallest gap, benzene receptor 31 having a slightly larger, and anthracene receptor 33 having the largest one. Preliminary titration studies of the model carboxylates (acetate and benzoate), performed under 1H NMR control in DMSO-d6 containing 0.5% of water H2O, showed a stronger affinity for the smaller and more basic acetic anion for all three receptors. The stability constants of the complexes of both anions (KAcO/KBzO) compared with each other determine the dependence of the size of the binding pocket on the ratio of these constants. It turned out that, for receptor 33, this ratio was 10, while for the other two, it was 5 and 3 for 32 and 31, respectively. Then, using the same technique, the affinity of the obtained receptors for the anions of mandelic acid and tryptophan derivatives (N-Boc-Trp) was examined. The two receptors 31 and 32, which have smaller binding pockets, were characterized by low chiral anion recognitions (1.05 and 0.88 for 31 and 1.07 and 1.12 for 32 for mandelate and the protected amino acid, respectively). On the other hand, for receptor 33, relatively good results of KD/KL = 1.25 and 1.81 were obtained. Subsequently, analogous studies of this receptor with N-Boc-Phe and N-Boc-Val were carried out, for which satisfactory results of the ratio of constants of complexes KD/KL = 2.42 and 2.07 were obtained for valine and phenylalanine, respectively.
Analogous thiourea fluorescent chemosensors, using the anthracene platform, were published by Kim and coworkers [43]. The receptors 34 and 35 (Figure 13) were synthetized, and their chiral recognition for two sets of anions, N-Boc and DBN-protected tetrabutylammonium salts of α-amino acid—alanine, valine, threonine, leucine, phenylglycine, and phenylalanine—was measured by the UV-Vis titration experiments in MeCN.
The addition of amino acid derivatives to both 34 and 35 receptor solutions resulted in a decrease in fluorescence intensity due to a chelation-enhanced quenching (CHEQ) reaction. For receptor 34, the CHEQ effect was explained by photoinduced charge transfer (PCT), while the CHEQ effect for receptor 35 was explained by photoinduced electron transfer (PET). Comparison of a series of results obtained for N-blocked amino acids to anions having DNB as a protecting group showed that, in the second case, the effect of lowering the fluorescence intensity is even greater. This is explained by the presence of nitro groups which usually further decrease the fluorescence of both PET and PCT. The fluorescence lowering effect for receptor 34, with d- and l-N-Boc-phenylglycine was 22.5% and 26.1%, respectively, while for d- and l-N-DNB-phenylglycine, it was 66.6% and 63.9%. The obtained stability constants of the complexes were calculated using the out-dated Benesi–Hildebrandt approximation (vide infra). The best enantioselective binding result was obtained for N-Boc-phenylglycine. Receptor 34 bound the d- and l-enantiomers with stability constants of 2160 and 11,800 M−1, respectively, providing a ratio of KD/KL constants equal to 5.50. Different results were obtained for receptor 35, for which the stability constant for the formation of a complex with the d-enantiomer was 2300 M−1, while for the l-enantiomer, it was 23,900 M−1. The ratio of the KL/KD constants was 10.4. This unexpected relationship was explained by the formation of a CH-π interaction between the anthracene backbone and the methylene group in the receptor-35–alanine complex. This type of interaction was impossible for 34 which lacks methylene groups in its structure, potentially responsible for the conformational lability of the entire system. However, a closer look at the Supporting Information indicates that the Korean authors misinterpreted the data. Jurczak and coworkers [16,44] questioned the results obtained by the Koreans by performing a competent 1H NMR titration of receptor 34 with N-Boc-Ala and N-Boc-Val. The determined chiral recognition in this case was 1.31 and 1.22 compared to the 5.50 and 4.30 presented in the paper for alanine and valine, respectively. The obtained ratios of stability constants were confirmed by fluorometric titration. The results obtained by Kim’s group are subject to a powerful error due to the use of the Benesi–Hildebrandt approximation because of the complicated fluorescence quenching mechanism.
1,10-Dithiourea anthracene derivative was used to obtain a static library of thiourea receptors containing derivatives of different amino acids [16]. Twelve new ligands (Figure 14) were obtained by reacting dithioisocyanate 36 with ester derivatives of three amino acids (alanine, valine, and phenylalanine). Four esters of various sizes and shapes (methyl, isopropyl, n-butyl, and benzyl) were used to investigate the effect of ester group size on the stability constant value and chiral recognition.
The ability to enantioselectively bind carboxylates was examined by competent titration under the control of 1H NMR in acetonitrile-d3 with model pairs of enantiomers of mandelic acid and N-Ac-Phe anions [45]. A comparison was made by counting K′ = K/K (R1 = Me) for the constant R2 and the given anion. The highest constants were obtained for valine derivative receptors 4144 (K′ = 2.33–2.91), despite having the largest isopropyl substituent by volume (according to Taft steric parameters) [46,47], while phenylalanine derivatives showed medium affinity (K′ = 0.50–0.76) (Figure 15a).
An analogous comparison was made for the substituent of the ester group assuming K′ = K/K (R2 = Me). In this case, the substituent effect (iPr < nBu < Bn ≈ Me) was much smaller (Figure 15b). All receptors tested showed a higher affinity for the R-enantiomer of mandelate (Figure 15c), whereas no such selectivity was present for the phenylalanine enantiomers (Figure 15d). The obtained KR/KS ratios of the studied receptors were in the range of 1.0–1.22 which qualifies for quite low chiral recognition values. The described studies show a significant effect of steric substituents on the height of the persistence constant of the complexes.
A similar analysis was performed for a family of 1,2-diurea benzene ligands [15]. Using the UV-Vis titration experiments in MeCN, two groups of receptors derived from valine and phenylalanine with different substituents in the ester group (4956, Figure 16) were compared.
Very similar results were obtained as for the anthracene receptors described above. The enantioselectivity of the described receptors was low, and there was a strong dependence of the values of stability constants on the size of the substituents.
An example of a receptor with an intentionally introduced chromophore fragment that was designed for chiral recognition is compound 57 [48]. In its structure, it contains thiourea groups responsible for carboxylate ion binding, glucopyranose fragments responsible for chirality, and an azophenol system as a chromophore (Figure 17).
Receptor 57 exhibits pronounced colorimetric changes upon addition of anions which can be attributed to the anion-induced deprotonation of an azophenol moiety allowing the occurrence of a photoinduced charge transfer (PTC). This property was employed to study the chiral recognition properties of 57 using the UV-Vis titration technique in acetonitrile. Ligand 57 showed good enantioselectivity for anions derived from α-amino acids protected by a tert-butoxycarbonyl (Boc) group, with a preference for D-amino acids and a chiral recognition for alanine of 3.60 (Table 2). For the anions of the same amino acids, protected by a dinitrobenzyl group (DNB), the enantioselectivity (KD/KL) was determined to be medium, ranking between 1.10 and 2.55. For sensor 57, tests were also carried out with the chiral salts of naproxen and 2-phenylpropionic acid, for which the ratio of the constants of the KR/KS complexes was 1.86 and 2.95, respectively.
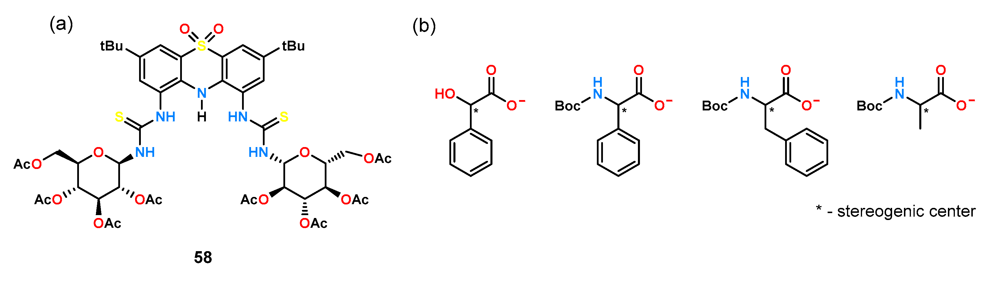
Huszthy’s group [49], which has conducted extensive research on the fundamentals of chiral cation and anion recognition phenomena and their applications, has developed several diurea receptors with C2 symmetry. Among others, they used a rigid platform of 5,5-dioxophenothiazine, whose diamine derivative was reacted with per-O-acetylated glucosamine isocyanate to obtain receptor 58 (Figure 18).
The ligand thus synthesized was tested for enantioselective anion recognition using UV-Vis titration experiments in MeCN, using TBA salts of acids with a stereogenic center on the α carbon atom (Figure 18b, Table 3). The studies showed that groups located at the stereogenic center have a strong effect on enantioselectivity. For anions having a phenyl group attached to the α carbon atom (mandelate, phenylglycine), chiral recognition was moderate. When the aromatic ring was offset from the stereogenic center by a methylene group (phenylalanine), negligible enantioselectivity was observed. In contrast, when the aromatic substituent was replaced with an aliphatic one (alanine), no enantiomeric differentiation by the receptor was observed at all. It was also observed that shifting the phenyl ring away from the carboxyl group by a methylene group reduces the interaction between the anion and the receptor. The effect of the anion protecting group on chiral recognition was also tested by measuring stability constants for amino acids protected by a formyl (Form), acetyl (Ac), tert-butylxycarbonyl (Boc), and pivaloyl (Piv) group. Receptor 58 showed the best chiral recognition for amino acids protected with Boc and Piv; for amino acids protected with a formyl group, the effect on enantioselectivity was negligible.
The same phenothiazine derivative was then used to obtain a series of ligands 5962 (Figure 19) and to investigate their stereo-differentiating properties [50]. The effects of the acidity of the hydrogen bond donors and the size of the aromatic substituent linked to the thio(urea) function via a methine bridge were examined.
An identical set of enantiomeric amino acid pairs was tested as for the glucopyrazone derivative (Figure 18b). Urea derivatives 59 and 61 exhibited lower absorption and smaller fluorescence changes compared to thiourea ligands 60 and 62 making it impossible to determine reliable stability constants of the complexes by titrations under UV-Vis control in MeCN. Both, receptor 59, containing a benzyl unit in its structure, and receptor 61, being a naphthyl derivative, showed little enantioselectivity, with the receptor bound to the larger aromatic substituent, showing slightly higher differences, e.g., for N-Boc-Phg ΔlogK = 0.24 compared to ΔlogK = 0.03 for 59 and 61, respectively. The results presented here suggest that chiral recognition depends on very subtle effects.
Huszthy and coworkers [51] also obtained two receptors (urea 63 and thiourea 64, Figure 20) based on the acridinium-9-one platform.
Results from the UV-Vis titration experiments in MeCN containing 1% DMSO using reference anions with a stereogenic center on the α-carbon atom (Figure 18b) showed a particularly high degree of chiral recognition for N-Boc-Ala by the urea receptor 63 (ΔlogK = −0.56; α = 3.6), compared to anions having an aromatic substituent (Table 4). Furthermore, changing the urea group to thiourea had a significant effect on the chiral recognition of phenylglycine, with ΔlogK = 0.08; α = 1.2 for receptor 63 and ΔlogK = 0.26; α = 1.8 for ligand 64.
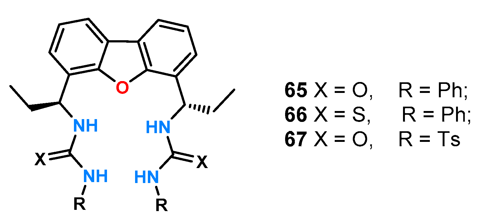
A few years ago, a study on the enantioselectivity of symmetric diurea receptors forming host:guest complexes with a stoichiometry of 1:2 was published [52]. The authors obtained three receptors 6567 (Figure 21), using a dibenzofuran derivative as the structural backbone of the receptors, and placed a source of chirality between the platform and hydrogen bonding donors. They decided to investigate their ability to enantioselectively bind carboxylate anions by titration experiments under 1H NMR control while planning to use them as chemical shift agents (CSAs).
The one from the hydrogen atom attached to the α carbon atom of the mandelic acid anion was chosen as the reference signal in this study. In preliminary studies, the effect of solvent on the potential for enantioselective recognition by receptor 65 was tested by conducting titrations of a racemic mixture of DL-tetrabutylammonium mandelate (TBAM) in three solvents: CDCl3, DMSO-d6, and acetone-d6. The largest separation of the enantiomeric signals after the addition of two equivalents of guest anions was obtained for chloroform ΔΔδ = 0.051 ppm, followed by acetone ΔΔδ = 0.042 ppm, and the smallest for DMSO ΔΔδ = 0.026ppm. Moreover, the best separation of the traced signal was achieved for 0.5 eq of the mixture in acetone (ΔΔδ = 0.063 ppm). The characteristic shifts of the signals in the 1H NMR spectrum (Scheme 1a) during titration are indicative of conformational changes of the ligand and the formation of a complex with complex stoichiometry, in this case, mixed 1:1 and 1:2. The binding model proposed by the authors is shown in Scheme 1b.
Receptors 66 and 67 also showed enantioselectivity toward the racemic mixture of DL-TBAM. The thiourea analog 66 behaved comparably to ligand 65, but a smaller chemical shift difference of ΔΔδ = 0.041 ppm was observed for the two equivalents. For the tosyl derivative, the value of ΔΔδ increased continuously with the addition of the receptor, reaching ΔΔδ = 0.53 ppm, suggesting the formation of a complex with a host:guest stoichiometry of 1:1. For the best receptor 65 in this combination, the authors tested its effect on a number of mixtures of racemic α-hydroxy and α-amino acid derivatives.
An approach combining the functions of a phosphorescent sensor with a preorganized carboxylate ion binding pocket and a chiral fragment was presented by Yoon and coworkers [53]. They used an amine derivative of the iridium(III) complex as a rigid platform which they reacted with a thioisocyanate derivative of per-O-acetylated glucosamine to obtain receptor 68 (Figure 22).
Experiments for chiral recognition were performed by titration under UV-Vis and phosphorescence in acetonitrile with two sets of N-protected amino acids: alanine, valine, threonine, leucine, phenylglycine, and phenylalanine. Receptor 68 exhibited high association constants of the resulting complexes and had a higher affinity for the D-enantiomers when analyzing amino acids protected with a tert-butoxycarbonyl (Boc) group, with the best chiral recognition obtained for leucine (KD = 1.1 × 10 5   M 1 , KL = 4.71 × 10 4   M 1 ; KD/KL = 3.16). When ligand 68 was tested with a group of amino acids protected by a 3,5-dinitrobenzyl group, a greater phosphorescence quenching effect and a higher affinity for the L-isomers of the tested anions were observed compared to the previously tested set of amino acids. Receptor 68 showed the highest enantioselectivity for the threonine enantiomer pair equal to KL/KD = 3.04 (KD = 5.07 × 10 3   M 1 , KL = 1.54 × 10 4   M 1 ).
Using the same iridium platform, a diurea receptor 69 (Figure 23a) was constructed with a chiral 1-naphthylethyl fragment attached [54].
Analysis for chiral recognition was performed by UV-Vis titration experiments in MeCN, using, as before, the phorescence properties of the iridium(III) complex. The ligand tested exhibited extremely high N-Boc-Phg enantioselectivity, binding the enantiomeric pair at a ratio of KD/KL = 5.0. Figure 23b shows the linear relationship of the Benasi–Hildebrand equation of phosphorescence intensity to the inverse of the guest concentration which demonstrates the high value of chiral recognition for this anion.
A representative group of chiral anion receptors having BINOL in their structure is ligands 7072 (Figure 24) [55]. Two urea groups were attached to the rigid platform to form a suitable pocket for binding carboxylate anions and, in addition, pyrene functions responsible for the fluorescence response (receptors 70 and 72).
Compounds 7072 were screened for chiral recognition with a set of tetrabutylammonium salts of amino acids protected by a tert-butoxycarbonyl group (Phe, Leu, Ala, Ser) by fluorescence titration experiments in DMSO. All ligands exhibited higher affinity toward the d-enantiomers. Receptor 70 showed the highest chiral recognition for the alanine derivative with fluorescence quenching ΔID/ΔIL = 6.1 which was also confirmed by 1H NMR spectra by observing and comparing the N-H shifts of protons for both enantiomers (Δδ = 0.154 and Δδ = 0.139, for d- and l-alanine, respectively). Compared to the linear receptors 70 and 72, whose fluorescence intensity decreased in each case, the addition of an anion to the macrocyclic host 71 resulted in a different behavior, namely, a signal enhancement at 258 nm, a decrease at 342 nm, and an enhancement at 370 nm. The highest enantioselectivity was obtained for receptor 72 using the enantiomeric pair of alanine derivatives ΔID/ΔIL = 12.95.
BINOL was also used to design colorimetric receptors 73 and 74 (Figure 25) [56]. Thiourea functions and p-nitrophenyl groups were symmetrically attached to the chiral rigid platform. The receptors differed in the distance of the binding pocket from the chiral fragment by two methylene groups.
Preliminary enantioselectivity studies for both hosts were performed by fluorescence absorption experiments in DMSO for a pair of mandelates. While the addition of the enantiomeric guest to receptor 73 resulted in nearly identical fluorescence quenching for both isomers (from which it can be inferred that the ligand exhibits low enantioselectivity), the quenching efficiency for receptor 74 was equal to ΔID/ΔIL = 3.3. Experiments leading to the determination of stability constants and ΔID/ΔIL for anionic derivatives of malic acid and phenylglycine were also performed, but both 73 and 74 showed no chiral recognition toward the tested guests. To further evaluate receptor 74 association of a pair of enantiomeric mandelic acids, titrations were carried out under 1H NMR control in DMSO-d6 for the racemic mixture and the single isomers. Changes in the downfield shift of thiourea protons were observed, with maximum shifts of δ = 10.23 and δ = 9.20 ppm upon addition of d-enantiomer, and 10.97 and δ = 9.39 when l-enantiomer was added. The resulting enantioselectivity was explained by the presence of an additional π-π interaction of receptor 74 with d-mandelate, the presence of which was confirmed by molecular modeling.
Receptors 7577 based on the calixarene (Figure 26) were formed from the symmetric attachment of urea functions to the lower rim of calixarene and were examined by 1H NMR titration experiments in CDCl3 and acetone-d6 [57].
Surprisingly, all ligands formed complexes with higher stability constants in acetone compared to chloroform, which is a less competent solvent medium. This is attributed to the strong intramolecular hydrogen bonds which were broken in a more polar solvent such as acetone, allowing the formation of complexes with the anion. The highest enantioselectivity toward the tested pair of phenylalanine enantiomers was characterized by receptor 77 (KD/KL = 4.14), compared to KD/KL = 3.55 and KD/KL = 1.96 for 76 and 75, respectively.
In the case of receptor 78, urea functions were attached to the core ring of calixarene (Figure 27) [58].
Its binding properties were examined by 1H NMR titration experiments in DMSO-d6. When this host was evaluated with a number of chiral carboxylates (Phe, N-Ac-Phe, N-Ac-Leu, N-Ac-Trp, and Man), it was shown that 78 did not show significant enantioselectivity toward the protected amino acids, whereas for free phenylalanine, the ratio of association constants for both stereoisomers was KD/KL = 2.86.

4. Hybrid Receptors

Among the effective receptors for chiral carboxylates, there are also ligands constructed with simultaneous insertion of hydrogen bonding donors of different nature into the receptor structure. A good representative example is the formation of a hybrid of two indole molecules via a methine bridge together with two amide functions which creates an anion binding pocket. Using this 7,7′-Diamino-2,2′-diindolylmethane – (DIM)-based hybrid concept, a series of chiral receptors 7983 was synthetized in the Jurczak group (Figure 28) [59].
These receptors were tested for their ability to recognize anions by the 1H NMR titration technique in a highly competitive solvent, such as DMSO-d6 with 0.5% H2O (v/v). The receptors differed in the protecting group of the hydroxyl group on the anomeric carbon atom. The results of chiral recognition of a range of anions using the receptors described above are given in Table 5.
These results show very high ratios of association constants, which indicates an excellent matching of the bonding gap to the studied anions and appropriate localization of the chiral part. Moreover, a significant increase in chiral recognition was observed for receptors possessing an aromatic substituent which may indicate the presence of additional π-π interactions.
Another example of hybrid receptors is the acyclic ligands 84 and 85 with a central thiourea function (Figure 29) [60].
Titrations under 1H NMR control in a mixture of 10% DMSO-d6 in CDCl3 (v/v) of a series of protected amino acids (Ala, Phe, Asn, Gln, Trp, Ser) showed that receptor 84 exhibited little enantioselective amino acid binding properties. However, it exhibited high selectivity toward individual guest pairs; for example, the complex formed between 84 and N-Ac-Trp had 30 times higher stability than the 84 and N-Ac-Ser complex. In contrast, host 85 showed chiral recognition for the enantiomeric pair of N-acetylated tryptophan derivatives (KL = 1925, KD = 3785 M−1).
An interesting example demonstrating how small changes in receptor structure can affect chiral recognition are receptors 86 and 87 which differ in the absolute configuration of the carbon atom of the chiral fragment (Figure 30) [61].
The binding properties of ligands constructed on a rigid porphyrin platform toward an enantiomeric pair of mandelic acid anions were investigated by titrations under UV-Vis and 1H NMR control in chloroform. The slight difference between the receptors resulted in a reversal of chiral recognition for mandelates. Receptor 86 showed a higher affinity for the R-stereoisomer, with KR/KS = 3.0, while host 87 bound the S-enantiomer with a higher association constant of KR/KS = 0.32. The authors also proposed a binding model for both receptors which is shown in Scheme 2.
The oxygen atom of the urea carbonyl group for receptors in the free state (no guest addition) coordinates to the zinc atom located in the porphyrin system, and upon anion addition, the receptor begins to preorganize. The anion molecule interacts with the metal center on one side and with the urea function through hydrogen bonds on the other side. Ligand 86 may interact more favorably with R-mandelate due to its better fitting to the porphyrin site, and there is no steric interaction with the phenyl group; however, if the stereoisomer S binds in a similar manner, there will be an interaction of the phenyl substituent with the porphyrin surface.
The symmetrical molecular receptors 88 and 89 consisting of a photoswitchable azobenzene scaffold functionalized with urea hydrogen-bonding groups and d-carbohydrates as chiral selectors were developed by Dąbrowa et al. to gain control over the chiral recognition of α-amino acid derived carboxylates (Figure 31) [18].
Upon irradiation with the UV light, the native and planar trans-isomers of receptors 88 and 89 readily undergo transcis isomerization to the corresponding metastable and more compact cis-isomers. The reverse cistrans isomerization is triggered upon photoirradiation with visible light or upon heating. The trans and cis isomers were found to exhibit different affinities, selectivities, and binding modes toward tetrabutylammonium salts of amino acids protected by a tert-butoxycarbonyl group (Boc-Phe and Boc-Trp) as revealed from UV-Vis and 1H NMR titration experiments in highly polar DMSO/H2O (99.5/0.5 v/v) solvent mixture (Table 6).
Specifically, the binding affinity for the same enantiomerically pure guest was up to 3-fold higher for trans-isomers than for cis-isomers of receptors 88 and 89. Furthermore, both trans- and cis-isomers of 88 and 89 exhibited higher affinity to Boc-Trp over Boc-Phe, with a slight preference for the carboxylate guests derived from D-amino acids (except trans-88, which binds L-Boc-Phe more strongly than D-Boc-Phe). The preference for the Trp anion was attributed to a favorable intermolecular interaction between anion and receptor, in particular between indole NH proton and the carbonyl group of the sugar moieties. Moreover, the rate of thermal cistrans isomerization was found to depend on the chiral binding ability properties of the cis-isomer; that is, a more strongly bound carboxylate enantiomer, as well as a higher enantiomer concentration, caused faster relaxation to the corresponding trans-isomer of receptors 88 and 89.

5. Conclusions

Designing electrically neutral chiral receptors for anions is a very challenging task. There is no doubt about the tremendous importance of chirality in biological systems and the ubiquity of chiral molecules containing carboxylic acid (that is deprotonated under physiological conditions). During the design of suitable chiral and enantioselective receptors and subsequent evaluation of their anion binding properties, many factors must be taken into account, such as the model of anion–receptor interaction, solvation energy, the possibility of the formation of complex systems, the influence of the solvent medium on the resulting diastereoisomeric pairs, or finally, the appropriate design of the geometry of the anion binding pocket and the chiral fragment.
First of all, we can distinguish two main strategies for composing such ligands. In the first, a well-matched carboxylate anion binding pocket is first developed, and then chiral fragments are attached to it; in the second, the binding pocket is created around the inherently chiral molecule. Both concepts work well in terms of developing effective receptors. A typical receptor has a binding pocket built of appropriate hydrogen bonding donor motifs and a chiral fragment responsible for chirality and is intended to perform specific functions. For example, a fluorescence or colorimetric sensor can be designed by the attachment of pyrene and nitrobenzene units, respectively. Likewise, an electrochemical response can be achieved by the incorporation of the redox-active ferrocene unit. Finally, chiral recognition in more demanding organic-solvent–water mixtures can be accomplished by receptors having the appropriately planned geometry of the binding pocket.
The role played by individual hydrogen bonding motifs is substantial. Their number, distribution, and acidity will determine how effective the ligand will be in a given solvent. As we saw in the examples shown above, a small modification is enough to change the enantioselective properties of the host.

Author Contributions

Conceptualization, P.N., K.D., S.W. and J.J.; methodology, P.N., K.D. and J.J.; validation, P.N. and K.D.; formal analysis, P.N., K.D. and S.W.; investigation, P.N. and S.W.; resources, J.J.; data curation, P.N., K.D. and S.W.; writing—original draft preparation, P.N., K.D. and J.J.; writing—review and editing, P.N., K.D. and J.J.; visualization, P.N.; supervision, J.J.; project administration, J.J.; funding acquisition, J.J. All authors have read and agreed to the published version of the manuscript.

Funding

This research was funded by Poland’s National Science Center, grant number 2016/21/B/ST5/03352.

Institutional Review Board Statement

Not applicable.

Informed Consent Statement

Not applicable.

Data Availability Statement

Data sharing not applicable.

Conflicts of Interest

The authors declare no conflict of interest. The funders had no role in the design of the study; in the collection, analyses, or interpretation of data; in the writing of the manuscript, or in the decision to publish the results.

References

  1. Fitzmaurice, R.J.; Kyne, G.M.; Douheret, D.; Kilburn, J.D. Synthetic receptors for carboxylic acids and carboxylates. J. Chem. Soc. Perkin Trans. 2002, 1, 841–864. [Google Scholar] [CrossRef]
  2. Stibor, I.; Zlatušková, P. Chiral Recognition of Anions. In Topics in Current Chemistry. Anion Sensing; Springer: Berlin/Heidelberg, Germany; New York, NY, USA, 2005; Volume 255, pp. 31–63. [Google Scholar]
  3. Dieng, P.S.; Sirlin, C. Recognition of Chiral Carboxylic Anions by Artificial Receptors. Int. J. Mol. Sci. 2010, 11, 3334–3348. [Google Scholar] [CrossRef]
  4. Chen, Z.; Chi, Z.; Sun, Y.; Lv, Z. Chirality in peptide-based materials: From chirality effects to potential applications. Chirality 2021, 33, 618–642. [Google Scholar] [CrossRef] [PubMed]
  5. Xu, W.; Cheng, M.; Zhang, S.; Wu, Q.; Liu, Z.; Dhinakaran, M.K.; Liang, F.; Kovaleva, E.G.; Li, H. Recent advances in chiral discrimination on host-guest functionalized interfaces. Chem. Commun. 2021, 57, 7480–7492. [Google Scholar] [CrossRef]
  6. Ito, T.; Ando, H.; Suzuki, T.; Ogura, T.; Hotta, K.; Imamura, Y.; Yamaguchi, Y.; Handa, H. Identification of a primary target of thalidomide teratogenicity. Science 2010, 327, 1345–1350. [Google Scholar] [CrossRef] [PubMed]
  7. Yashima, E.; Iida, H.; Okamoto, Y. Enantiomeric Differentiation by Synthetic Helical Polymers. Enantiomeric Differentiation by Synthetic Helical Polymers. In: Schurig V. (eds) Differentiation of Enantiomers I. Top. Curr. Chem. 2013, 340, 41–72. [Google Scholar] [CrossRef] [PubMed]
  8. Dondoni, A.; Massi, A. Asymmetric Organocatalysis: From Infancy to Adolescence. Angew. Chem. Int. Ed. 2008, 47, 4638–4660. [Google Scholar] [CrossRef]
  9. Anebouselvy, K.; Shruthi, K.S.; Ramachary, D.B. Asymmetric Supramolecular Organocatalysis: A Complementary Upgrade to Organocatalysis. Eur. J. Org. Chem. 2017, 2017, 5460–5483. [Google Scholar] [CrossRef]
  10. De Rosa, M.; La Manna, P.; Talotta, C.; Soriente, A.; Gaeta, C.; Neri, P. Supramolecular Organocatalysis in Water Mediated by Macrocyclic Compounds. Front. Chem. 2018, 6, 84. [Google Scholar] [CrossRef] [PubMed]
  11. Majdecki, M.; Niedbała, P.; Tyszka-Gumkowska, A.; Jurczak, J. Assisted by Hydrogen-Bond Donors: Cinchona Quaternary Salts as Privileged Chiral Catalysts for Phase-Transfer Reactions. Synthesis 2021, 53, 2777–2786. [Google Scholar] [CrossRef]
  12. Ulatowski, F.; Jurczak, J. Chiral Recognition of Carboxylates-Receptors, Analytical Tools, and More. Asian J. Org. Chem. 2016, 5, 715–723. [Google Scholar] [CrossRef]
  13. Khose, N.V.; John, E.M.; Pandey, D.A.; Borovkov, V.; Karnik, V.A. Chiral Heterocycle-Based Receptors for Enantioselective Recognition. Symmetry 2018, 10, 34. [Google Scholar] [CrossRef]
  14. Bao, W.; Wang, Z.; Li, Y. Synthesis of Chiral Ionic Liquids from Natural Amino Acids. J. Org. Chem. 2003, 68, 591–593. [Google Scholar] [CrossRef]
  15. Ulatowski, F.; Jurczak, J. Enantiomeric recognition of carboxylic anions by a library of neutral receptors derived from α-amino acids and o-phenylenediamine. Tetrahedron: Asymmetry 2014, 25, 962–968. [Google Scholar] [CrossRef]
  16. Ulatowski, F.; Jurczak, J. Chiral Recognition of Carboxylates by a Static Library of Thiourea Receptors with Amino Acid Arms. J. Org. Chem. 2015, 80, 4235–4243. [Google Scholar] [CrossRef] [PubMed]
  17. Granda, J.M.; Jurczak, J. Sugar decorated receptors for chiral anions. Carbohydr. Chem. 2014, 40, 445–460. [Google Scholar] [CrossRef]
  18. Dąbrowa, K.; Niedbała, P.; Jurczak, J. Engineering Light-Mediated Bistable Azobenzene Switches Bearing Urea d-Aminoglucose Units for Chiral Discrimination of Carboxylates. J. Org. Chem. 2016, 81, 3576–3584. [Google Scholar] [CrossRef] [PubMed]
  19. Rekharsky, M.; Inoue, Y. Chiral Recognition Thermodynamics of β-Cyclodextrin:  The Thermodynamic Origin of Enantioselectivity and the Enthalpy−Entropy Compensation Effect. J. Am. Chem. Soc. 2000, 122, 4418–4435. [Google Scholar] [CrossRef]
  20. Dodziuk, H.; Koźmiński, W.; Ejchart, A. NMR studies of chiral recognition by cyclodextrins. Chirality 2004, 16, 90–105. [Google Scholar] [CrossRef] [PubMed]
  21. Liu, S.Y.; Law, K.Y.; He, Y.B.; Chan, W.H. Fluorescent enantioselective receptor for S-mandelate anion based on cholic acid. Tetrahedron Lett. 2006, 47, 7857–7860. [Google Scholar] [CrossRef]
  22. Zhang, X.X.; Bradshaw, J.S.; Izatt, R.M. Enantiomeric Recognition of Amine Compounds by Chiral Macrocyclic Receptors. Chem. Rev. 1997, 97, 3313–3362. [Google Scholar] [CrossRef]
  23. Peña, C.; González-Sabín, J.; Alfonso, I.; Rebolledo, F.; Gotor, V. New pincer-like receptor derived from trans-cyclopentane-1,2-diamine as a chiral shift reagent for carboxylic acids. Tetrahedron Asymmetry 2007, 18, 1981–1985. [Google Scholar] [CrossRef]
  24. Peña, C.; González-Sabín, J.; Alfonso, I.; Rebolledo, F.; Gotor, V. Cycloalkane-1,2-diamine derivatives as chiral solvating agents. Study of the structural variables controlling the NMR enantiodiscrimination of chiral carboxylic acids. Tetrahedron 2008, 64, 7709–7717. [Google Scholar] [CrossRef]
  25. Kondo, S.-i.; Sato, K.; Matsuta, Y.; Osawa, K. Chiral Recognition of Anions by Fluorescence Tetraamide-Based Receptors Bearing Hydroxy Groups from l-Serine and l-Threonine Residues. Bull. Chem. Soc. Jpn. 2018, 91, 875–881. [Google Scholar] [CrossRef]
  26. Xu, K.-X.; Qing, G.-Y.; He, Y.-B.; Qin, H.-J.; Hu, L. Chiral Fluorescent Receptors based on Amino Acid Unit: Synthesis and Their Enantioselective Recognition. Supramol. Chem. 2007, 19, 403–409. [Google Scholar] [CrossRef]
  27. Bates, G.W.; Gale, P.A.; Light, M.E. Isophthalamides and 2,6-dicarboxamidopyridines with pendant indole groups: A ‘twisted’ binding mode for selective fluoride recognition. Chem. Commun. 2007, 21, 2121–2123. [Google Scholar] [CrossRef]
  28. Caltagirone, C.; Bazzicalupi, C.; Bencini, A.; Isaia, F.; Garau, A.; Lippolis, V. Anion recognition properties of pyridine-2,6-dicarboxamide and isophthalamide derivatives containing l-tryptophan moieties. Supramol. Chem. 2012, 24, 95–100. [Google Scholar] [CrossRef]
  29. Qing, G.-y.; He, Y.-b.; Wang, F.; Qin, H.-j.; Hu, C.-g.; Yang, X. Enantioselective Fluorescent Sensors for Chiral Carboxylates Based on Calix [4]arenes Bearing an L-Tryptophan Unit. Eur. J. Org. Chem. 2007, 2007, 1768–1778. [Google Scholar] [CrossRef]
  30. Ma, T.-H.; Zhang, A.-J.; Dong, M.; Dong, Y.-M.; Peng, Y.; Wang, Y.-W. A simply and highly selective “turn-on” type fluorescent chemosensor for Hg2+ based on chiral BINOL-Schiff’s base ligand. J. Lumin. 2010, 130, 888–892. [Google Scholar] [CrossRef]
  31. Tyszka, A.; Pikus, G.; Dąbrowa, K.; Jurczak, J. Late-Stage Functionalization of (R)-BINOL-Based Diazacoronands and Their Chiral Recognition of α-Phenylethylamine Hydrochlorides. J. Org. Chem. 2019, 84, 6502–6507. [Google Scholar] [CrossRef]
  32. Lu, Q.-S.; Dong, L.; Zhang, J.; Li, J.; Jiang, L.; Huang, Y.; Qin, S.; Hu, C.-W.; Yu, X.-Q. Imidazolium-Functionalized BINOL as a Multifunctional Receptor for Chromogenic and Chiral Anion Recognition. Org. Lett. 2009, 11, 669–672. [Google Scholar] [CrossRef]
  33. Boer, S.A.; Foyle, E.M.; Thomas, C.M.; White, N.G. Anion coordination chemistry using O–H groups. Chem. Soc. Rev. 2019, 48, 2596–2614. [Google Scholar] [CrossRef]
  34. Faller, J.W.; Sams, D.W.I.; Liu, X. Catalytic Asymmetric Synthesis of Homoallylic Alcohols:  Chiral Amplification and Chiral Poisoning in a Titanium/BINOL Catalyst System. J. Am. Chem. Soc. 1996, 118, 1217–1218. [Google Scholar] [CrossRef]
  35. Kumaraswamy, G.; Sastry, M.N.V.; Jena, N. Calcium-BINOL: A novel and efficient catalyst for asymmetric Michael reactions. Tetrahedron Lett. 2001, 42, 8515–8517. [Google Scholar] [CrossRef]
  36. Okada, M.; Kaneko, K.; Yamanaka, M.; Shirakawa, S. BINOL-derived bifunctional sulfide catalysts for asymmetric synthesis of 3,3-disubstituted phthalides via bromolactonization. Org. Biomol. Chem. 2019, 17, 3747–3751. [Google Scholar] [CrossRef]
  37. Xu, K.-X.; Cheng, P.-F.; Zhao, J.; Wang, C.-J. Enantioselective Fluorescent Sensors for Amino Acid Derivatives Based on BINOL Bearing S-tryptophan Unit: Synthesis and Chiral Recognition. J. Fluoresc. 2010, 21, 991–1000. [Google Scholar] [CrossRef]
  38. Hernández-Rodríguez, M.; Juaristi, E. Structurally simple chiral thioureas as chiral solvating agents in the enantiodiscrimination of α-hydroxy and α-amino carboxylic acids. Tetrahedron 2007, 63, 7673–7678. [Google Scholar] [CrossRef]
  39. Griesbeck, A.G.; Hanft, S.; Díaz Miara, Y. Colorimetric detection of achiral anions and chiral carboxylates by a chiral thiourea–phthalimide dyad. Photochem. Photobiol. Sci. 2010, 9, 1385–1390. [Google Scholar] [CrossRef]
  40. Willener, Y.; Joly, K.M.; Moody, C.J.; Tucker, J.H.R. An Exploration of Ferrocenyl Ureas as Enantioselective Electrochemical Sensors for Chiral Carboxylate Anions. J. Org. Chem. 2008, 73, 1225–1233. [Google Scholar] [CrossRef] [PubMed]
  41. Mulas, A.; Willener, Y.; Carr-Smith, J.; Joly, K.M.; Male, L.; Moody, C.J.; Horswell, S.L.; Nguyen, H.V.; Tucker, J.H.R. The effect of central and planar chirality on the electrochemical and chiral sensing properties of ferrocenyl urea H-bonding receptors. Dalton Trans. 2015, 44, 7268–7275. [Google Scholar] [CrossRef]
  42. Hamankiewicz, P.; Granda, J.M.; Jurczak, J. Influence of the size and geometry of the anion binding pocket of sugar–urea anion receptors on chiral recognition. Tetrahedron Lett. 2013, 54, 5608–5611. [Google Scholar] [CrossRef]
  43. Kim, Y.K.; Lee, H.N.; Singh, N.J.; Choi, H.J.; Xue, J.Y.; Kim, K.S.; Yoon, J.; Hyun, M.H. Anthracene Derivatives Bearing Thiourea and Glucopyranosyl Groups for the Highly Selective Chiral Recognition of Amino Acids:  Opposite Chiral Selectivities from Similar Binding Units. J. Org. Chem. 2008, 73, 301–304. [Google Scholar] [CrossRef]
  44. Ulatowski, F.; Dąbrowa, K.; Bałakier, T.; Jurczak, J. Recognizing the Limited Applicability of Job Plots in Studying Host–Guest Interactions in Supramolecular Chemistry. J. Org. Chem. 2016, 81, 1746–1756. [Google Scholar] [CrossRef]
  45. Whitlock, B.J.; Whitlock, H.W. Concave functionality: Design criteria for nonaqueous binding sites. J. Am. Chem. Soc. 1990, 112, 3910–3915. [Google Scholar] [CrossRef]
  46. Taft, R.W. Linear Free Energy Relationships from Rates of Esterification and Hydrolysis of Aliphatic and Ortho-substituted Benzoate Esters. J. Am. Chem. Soc. 1952, 74, 2729–2732. [Google Scholar] [CrossRef]
  47. Taft, R.W. The Separation of Relative Free Energies of Activation to Three Basic Contributing Factors and the Relationship of These to Structure. J. Am. Chem. Soc. 1953, 75, 4534–4537. [Google Scholar] [CrossRef]
  48. Choi, M.K.; Kim, H.N.; Choi, H.J.; Yoon, J.; Hyun, M.H. Chiral anion recognition by color change utilizing thiourea, azophenol, and glucopyranosyl groups. Tetrahedron Lett. 2008, 49, 4522–4525. [Google Scholar] [CrossRef]
  49. Kormos, A.; Móczár, I.; Pál, D.; Baranyai, P.; Kupai, J.; Tóth, K.; Huszthy, P. Synthesis and enantiomeric recognition studies of a novel 5,5-dioxophenothiazine-1,9 bis(thiourea) containing glucopyranosyl groups. Tetrahedron Asymmetry 2013, 24, 62–65. [Google Scholar] [CrossRef][Green Version]
  50. Pál, D.; Móczár, I.; Kormos, A.; Baranyai, P.; Huszthy, P. Synthesis and enantiomeric recognition studies of optically active 5,5-dioxophenothiazine bis(urea) and bis(thiourea) derivatives. Tetrahedron Asymmetry 2016, 27, 918–922. [Google Scholar] [CrossRef][Green Version]
  51. Pál, D.; Móczár, I.; Kormos, A.; Baranyai, P.; Óvári, L.; Huszthy, P. Synthesis and enantiomeric recognition studies of optically active acridone bis(urea) and bis(thiourea) derivatives. Tetrahedron Asymmetry 2015, 26, 1335–1340. [Google Scholar] [CrossRef]
  52. Ito, S.; Okuno, M.; Asami, M. Differentiation of enantiomeric anions by NMR spectroscopy with chiral bisurea receptors. Org. Biomol. Chem. 2018, 16, 213–222. [Google Scholar] [CrossRef]
  53. Li, Y.; Liu, Y.; Nam, D.; Park, S.; Yoon, J.; Hyun, M.H. New iridium complexes with two pre-organized urea groups and thiourea groups as phosphorescent chemosensors for H2PO4 and chiral carboxylates. Dye. Pigment. 2014, 100, 241–246. [Google Scholar] [CrossRef]
  54. Hu, Y.; Li, Y.; Joung, J.F.; Yin, J.; Park, S.; Yoon, J.; Hyun, M.H. Iridium complex bearing urea groups as a phosphorescent chemosensor for chiral anion recognition. Sens. Actuators B Chem. 2017, 241, 224–229. [Google Scholar] [CrossRef]
  55. Wang, F.; Nandhakumar, R.; Hu, Y.; Kim, D.; Kim, K.M.; Yoon, J. BINOL-Based Chiral Receptors as Fluorescent and Colorimetric Chemosensors for Amino Acids. J. Org. Chem. 2013, 78, 11571–11576. [Google Scholar] [CrossRef]
  56. Hu, C.; He, Y.; Chen, Z.; Huang, X. Synthesis and enantioselective recognition of an (S)-BINOL-based colorimetric chemosensor for mandelate anions. Tetrahedron Asymmetry 2009, 20, 104–110. [Google Scholar] [CrossRef]
  57. Yakovenko, A.V.; Boyko, V.I.; Kalchenko, V.I.; Baldini, L.; Casnati, A.; Sansone, F.; Ungaro, R. N-Linked Peptidocalix[4]arene Bisureas as Enantioselective Receptors for Amino Acid Derivatives. J. Org. Chem. 2007, 72, 3223–3231. [Google Scholar] [CrossRef] [PubMed]
  58. Qing, G.Y.; He, Y.B.; Zhao, Y.; Hu, C.G.; Liu, S.Y.; Yang, X. Calix[4]arene-Based Chromogenic Chemosensor for the α-Phenylglycine Anion: Synthesis and Chiral Recognition. Eur. J. Org. Chem. 2006, 2006, 1574–1580. [Google Scholar] [CrossRef]
  59. Granda, J.M.; Jurczak, J. Exploration of the Chiral Recognition of Sugar-Based Diindolylmethane Receptors: Anion and Receptor Structures. Chem. Eur. J. 2015, 21, 16585–16592. [Google Scholar] [CrossRef] [PubMed]
  60. Kyne, G.M.; Light, M.E.; Hursthouse, M.B.; Mendoza, J.D.; Kilburn, J.D. Enantioselective amino acid recognition using acyclic thiourea receptors. J. Chem. Soc. Perkin Trans. 2001, 55, 1258–1263. [Google Scholar] [CrossRef]
  61. Nandipati, V.; Akinapelli, K.; Koya, L.; Starnes, S.D. Recognition of mandelate stereoisomers by chiral porphyrin hosts: Prediction of stereopreference in guest binding a priori using a simple binding model? Tetrahedron Lett. 2014, 55, 985–991. [Google Scholar] [CrossRef]
Figure 1. Examples of bioactive compounds having a carboxyl group.
Figure 1. Examples of bioactive compounds having a carboxyl group.
Molecules 26 06417 g001
Figure 2. Chiral receptors 13 incorporating chiral 1,2-disubstituted cyclic amines.
Figure 2. Chiral receptors 13 incorporating chiral 1,2-disubstituted cyclic amines.
Molecules 26 06417 g002
Figure 3. Tetraamide fluorescent receptors 4 (with serine) and 5 (with threonine).
Figure 3. Tetraamide fluorescent receptors 4 (with serine) and 5 (with threonine).
Molecules 26 06417 g003
Figure 4. Receptors 68 based on 2,6-pyridinediamide motif decorated with α-amino acids and anthracene moieties.
Figure 4. Receptors 68 based on 2,6-pyridinediamide motif decorated with α-amino acids and anthracene moieties.
Molecules 26 06417 g004
Figure 5. (a) Receptors 9 and 10 incorporating the tryptophan and indole moieties and (b) proposed 1:2 (receptor: anion) binding mode of receptor 9 with fluoride and chloride anions.
Figure 5. (a) Receptors 9 and 10 incorporating the tryptophan and indole moieties and (b) proposed 1:2 (receptor: anion) binding mode of receptor 9 with fluoride and chloride anions.
Molecules 26 06417 g005
Figure 6. (a) Structures of receptors 11 and 12 and (b) their chiral recognition properties.
Figure 6. (a) Structures of receptors 11 and 12 and (b) their chiral recognition properties.
Molecules 26 06417 g006
Figure 7. Receptors 1316 based on BINOL decorated with tryptophane.
Figure 7. Receptors 1316 based on BINOL decorated with tryptophane.
Molecules 26 06417 g007
Figure 8. Simple symmetric thiourea receptors 1722.
Figure 8. Simple symmetric thiourea receptors 1722.
Molecules 26 06417 g008
Figure 9. (a) The structure of receptor 23 and (b) its mode of operation as a chemosensor.
Figure 9. (a) The structure of receptor 23 and (b) its mode of operation as a chemosensor.
Molecules 26 06417 g009
Figure 10. Chiral urea receptors 2429 containing ferrocene unit.
Figure 10. Chiral urea receptors 2429 containing ferrocene unit.
Molecules 26 06417 g010
Figure 11. Receptor 30 based on cholic acid decorated with two pyrene fluorophores.
Figure 11. Receptor 30 based on cholic acid decorated with two pyrene fluorophores.
Molecules 26 06417 g011
Figure 12. Urea-glucopyranose receptors 3133.
Figure 12. Urea-glucopyranose receptors 3133.
Molecules 26 06417 g012
Figure 13. Anthracene receptors 34 and 35 decorated with thiourea glucopyranoses.
Figure 13. Anthracene receptors 34 and 35 decorated with thiourea glucopyranoses.
Molecules 26 06417 g013
Figure 14. A family of 1,10-Dithiourea anthracene receptors 3748 decorated with α-amino acids.
Figure 14. A family of 1,10-Dithiourea anthracene receptors 3748 decorated with α-amino acids.
Molecules 26 06417 g014
Figure 15. (a,b) Enantioselectivity distribution (log(α)) of receptors with mandelates and acetylated phenylalanines; (c,d) graphical analysis of the effect of R1 and R2 groups on the enantioselectivity of receptors with mandelates and acetylated phenylalanines.
Figure 15. (a,b) Enantioselectivity distribution (log(α)) of receptors with mandelates and acetylated phenylalanines; (c,d) graphical analysis of the effect of R1 and R2 groups on the enantioselectivity of receptors with mandelates and acetylated phenylalanines.
Molecules 26 06417 g015
Figure 16. A library of 1,2-dimethylbenzene receptors 4956.
Figure 16. A library of 1,2-dimethylbenzene receptors 4956.
Molecules 26 06417 g016
Figure 17. Chromophore receptor 57.
Figure 17. Chromophore receptor 57.
Molecules 26 06417 g017
Figure 18. (a) Phenothiazine diurea receptor 58 and (b) evaluated hydroxy and amino acids.
Figure 18. (a) Phenothiazine diurea receptor 58 and (b) evaluated hydroxy and amino acids.
Molecules 26 06417 g018
Figure 19. Phenothiazine receptors 5962.
Figure 19. Phenothiazine receptors 5962.
Molecules 26 06417 g019
Figure 20. Receptors 63 and 64 using the acridinium-9-one platform.
Figure 20. Receptors 63 and 64 using the acridinium-9-one platform.
Molecules 26 06417 g020
Figure 21. Dibenzofuran receptors 6567.
Figure 21. Dibenzofuran receptors 6567.
Molecules 26 06417 g021
Scheme 1. (a) Characteristic movement of signals on NMR spectrum and plot of shift change against number of receptor equivalents, and (b) proposed anion binding mechanism.
Scheme 1. (a) Characteristic movement of signals on NMR spectrum and plot of shift change against number of receptor equivalents, and (b) proposed anion binding mechanism.
Molecules 26 06417 sch001
Figure 22. (a) Iridium receptor 68 and (b) phosphorescence changes by naked eye upon the addition of TBA-H2PO4 to CH3CN.
Figure 22. (a) Iridium receptor 68 and (b) phosphorescence changes by naked eye upon the addition of TBA-H2PO4 to CH3CN.
Molecules 26 06417 g022
Figure 23. (a) Diurea receptor 69 containing iridium complex and (b) linear dependence of the phosphorescence intensity to the inverse of the guest concentration.
Figure 23. (a) Diurea receptor 69 containing iridium complex and (b) linear dependence of the phosphorescence intensity to the inverse of the guest concentration.
Molecules 26 06417 g023
Figure 24. Family of receptors 7072 containing BINOL moiety.
Figure 24. Family of receptors 7072 containing BINOL moiety.
Molecules 26 06417 g024
Figure 25. (a) BINOL receptors 73 and 74; (b) effect of the anion addition on color changes of receptor 74 in DMSO. From left to right, 74 ( 5.0 × 10 5   mol L ), 74 ( 5.0 × 10 5   mol L ) + 30 eq of R-mandelate, 74 ( 5.0 × 10 5   mol L ) + 30 eq of S-mandelate.
Figure 25. (a) BINOL receptors 73 and 74; (b) effect of the anion addition on color changes of receptor 74 in DMSO. From left to right, 74 ( 5.0 × 10 5   mol L ), 74 ( 5.0 × 10 5   mol L ) + 30 eq of R-mandelate, 74 ( 5.0 × 10 5   mol L ) + 30 eq of S-mandelate.
Molecules 26 06417 g025
Figure 26. C2-Symmetrical calixarene diurea receptors 7577.
Figure 26. C2-Symmetrical calixarene diurea receptors 7577.
Molecules 26 06417 g026
Figure 27. C2-Symmetrical calixarene diurea receptor 78.
Figure 27. C2-Symmetrical calixarene diurea receptor 78.
Molecules 26 06417 g027
Figure 28. Sugar receptors 7983.
Figure 28. Sugar receptors 7983.
Molecules 26 06417 g028
Figure 29. Hybrid receptors 84 and 85.
Figure 29. Hybrid receptors 84 and 85.
Molecules 26 06417 g029
Figure 30. Porphyrin receptors 86 and 87.
Figure 30. Porphyrin receptors 86 and 87.
Molecules 26 06417 g030
Scheme 2. Binding mode of receptor 86 with R-mandelate (a) and receptor 87 with S-mandelate (b).
Scheme 2. Binding mode of receptor 86 with R-mandelate (a) and receptor 87 with S-mandelate (b).
Molecules 26 06417 sch002
Figure 31. Photoswitchable symmetrical sugar-decorated urea-azobenzene receptors 88 and 89.
Figure 31. Photoswitchable symmetrical sugar-decorated urea-azobenzene receptors 88 and 89.
Molecules 26 06417 g031
Table 1. Association constants and chiral recognition KD/KL for receptors 6, 7, and 8 with TBA salts of d- and l-Phe, respectively, in DMSO.
Table 1. Association constants and chiral recognition KD/KL for receptors 6, 7, and 8 with TBA salts of d- and l-Phe, respectively, in DMSO.
AnionReceptor 6Receptor 7Receptor 8
K (M−1)KD/KLK (M−1)KD/KLK (M−1)KD/KL
d-Phe 5.94 × 10 3 3.19 7.64 × 10 3 2.55 1.24 × 10 3 4.98
l-Phe 1.86 × 10 3 3.00 × 10 3 2.49 × 10 3
Table 2. Association constants of complexes for 57 with TBA salts of Boc-protected amino acids in acetonitrile (1:1 binding model).
Table 2. Association constants of complexes for 57 with TBA salts of Boc-protected amino acids in acetonitrile (1:1 binding model).
AnionKD (M−1)KD/KLKL (M−1)
Phenylglycine 3.80 × 10 4 1.16 3.27 × 10 4
Leucine 2.98 × 10 4 2.22 1.34 × 10 4
Valine 1.64 × 10 4 1.43 1.15 × 10 4
Threonine 6.89 × 10 4 3.13 2.20 × 10 4
Alanine 2.28 × 10 3 3.60 6.33 × 10 2
Table 3. Stability constants of complexes for receptor 58 in acetonitrile.
Table 3. Stability constants of complexes for receptor 58 in acetonitrile.
AnionlogKΔlogK
R-Mandelate4.920.19
S-Mandelate4.73
D-Boc-Phenylglycine5.430.22
L-Boc-Phenylglycine5.21
D-Boc-Phenylalanine5.880.09
L-Boc-Phenylalanine5.79
D-Boc-Alanine5.940.04
L-Boc-Alanine5.90
Table 4. Association constants of complexes for receptors 63 and 64 in acetonitrile with 1% DMSO.
Table 4. Association constants of complexes for receptors 63 and 64 in acetonitrile with 1% DMSO.
AnionReceptor 63Receptor 64
logKΔlogKlogKΔlogK
R-Mandelate5.37–0.015.520.20
S-Mandelate5.385.32
D-Boc-Phenylglycine5.810.085.800.26
L-Boc-Phenylglycine5.735.54
D-Boc-Phenylalanine6.380.056.430.06
L-Boc-Phenylalanine6.336.37
D-Boc-Alanine6.08–0.566.18–0.25
L-Boc-Alanine6.646.43
Table 5. Chiral recognition of amino acids as tetrabutylammonium salts by receptors 7983 in DMSO-d6 + 5% H2O by titration under 1H NMR control.
Table 5. Chiral recognition of amino acids as tetrabutylammonium salts by receptors 7983 in DMSO-d6 + 5% H2O by titration under 1H NMR control.
AnionReceptor
79KR/KS80KR/KS81KR/KS82KR/KS83KR/KS
S-PhLac2593.683282.412503.443174.143043.46
R-PhLac95279085913121053
S-Man1191.951051.96971.921152.121071.95
R-Man233205187245209
D-Boc-Trp882.57893.03783.611043.851003.53
L-Boc-Trp227270281401353
Table 6. Chiral recognition of tetrabutylammonium salts of N-Boc-protected phenylalanine (Phe) and tryptophan (Trp) by trans- and cis-isomers of receptors 88 and 89 in DMSO-d6 + 0.5% H2O by titration under 1H NMR control.
Table 6. Chiral recognition of tetrabutylammonium salts of N-Boc-protected phenylalanine (Phe) and tryptophan (Trp) by trans- and cis-isomers of receptors 88 and 89 in DMSO-d6 + 0.5% H2O by titration under 1H NMR control.
AnionReceptor
trans-88KD/KLcis-88KD/KLtrans-89KD/KLcis-89KD/KL
D-Boc-Phe550.62301.00631.19391.25
L-Boc-Phe89305331
D-Boc-Trp1431.12681.481241.61761.31
L-Boc-Trp127467758
Publisher’s Note: MDPI stays neutral with regard to jurisdictional claims in published maps and institutional affiliations.

Share and Cite

MDPI and ACS Style

Niedbała, P.; Dąbrowa, K.; Wasiłek, S.; Jurczak, J. Recognition of Chiral Carboxylates by Synthetic Receptors. Molecules 2021, 26, 6417. https://doi.org/10.3390/molecules26216417

AMA Style

Niedbała P, Dąbrowa K, Wasiłek S, Jurczak J. Recognition of Chiral Carboxylates by Synthetic Receptors. Molecules. 2021; 26(21):6417. https://doi.org/10.3390/molecules26216417

Chicago/Turabian Style

Niedbała, Patryk, Kajetan Dąbrowa, Sylwia Wasiłek, and Janusz Jurczak. 2021. "Recognition of Chiral Carboxylates by Synthetic Receptors" Molecules 26, no. 21: 6417. https://doi.org/10.3390/molecules26216417

APA Style

Niedbała, P., Dąbrowa, K., Wasiłek, S., & Jurczak, J. (2021). Recognition of Chiral Carboxylates by Synthetic Receptors. Molecules, 26(21), 6417. https://doi.org/10.3390/molecules26216417

Article Metrics

Back to TopTop