Next Article in Journal
A Novel Dual Organocatalyst for the Asymmetric Pinder Reaction and a Mechanistic Proposal Consistent with the Isoinversion Effect Thereof
Next Article in Special Issue
Recent Advances in the Heterogeneous Photocatalytic Hydroxylation of Benzene to Phenol
Previous Article in Journal
Utilization of Sodium Nitroprusside as an Intestinal Permeation Enhancer for Lipophilic Drug Absorption Improvement in the Rat Proximal Intestine
 
 
Font Type:
Arial Georgia Verdana
Font Size:
Aa Aa Aa
Line Spacing:
Column Width:
Background:
Article

Total Synthesis of 6-Deoxydihydrokalafungin, a Key Biosynthetic Precursor of Actinorhodin, and Its Epimer

1
Department of Synthetic Organic Chemistry, Graduate School of Biomedical and Health Sciences, Hiroshima University, Hiroshima 734-8553, Japan
2
Research Institute of Pharmaceutical Sciences, Musashino University, Tokyo 202-8585, Japan
3
National Institute of Health Sciences, Kanagawa 210-9501, Japan
*
Author to whom correspondence should be addressed.
Molecules 2021, 26(21), 6397; https://doi.org/10.3390/molecules26216397
Submission received: 29 September 2021 / Revised: 19 October 2021 / Accepted: 20 October 2021 / Published: 22 October 2021
(This article belongs to the Special Issue Novel Organic Synthesis and Synthetic Methods)

Abstract

In this article, we report the total synthesis of 6-deoxydihydrokalafungin (DDHK), a key biosynthetic intermediate of a dimeric benzoisochromanequinone antibiotic, actinorhodin (ACT), and its epimer, epi-DDHK. Tricyclic hemiacetal with 3-siloxyethyl group was subjected to Et3SiH reduction to establish the 1,3-cis stereochemistry in the benzoisochromane, and a subsequent oxidation/deprotection sequence then afforded epi-DDHK. A bicyclic acetal was subjected to AlH3 reduction to deliver the desired 1,3-trans isomer in an approximately 3:1 ratio, which was subjected to a similar sequence to that used for the 1,3-cis isomer that successfully afforded DDHK. A semisynthetic approach from (S)-DNPA, an isolable biosynthetic precursor of ACT, was also examined to afford DDHK and its epimer, which are identical to the synthetic products.

1. Introduction

Actinorhodin (ACT, 1) is an aromatic polyketide belonging to the dimeric benzoisochromanequinone (BIQ) family [1] and is produced by Streptomyces coelicolor A3 (2), which is among the most genetically studied actinomycetes [2]. The biosynthesis of ACT (1) includes hydroxylation steps at the C-6 and C-8 positions of the benzoisochromane skeleton [3] mediated via the action of a two-component flavin-dependent monooxygenase (FMO), that is, the ActVA-ORF5/ActVB system comprising the oxygenase ActVA-5 and the flavin: NADH oxidoreductase ActVB. 6-Deoxydihydrokalafungin (DDHK, 3) was assumed to be the substrate of this FMO, undergoing sequential conversion to the trihydroxynaphthalene and tetrahydroxynaphthalene derivatives T3HN (4) and T4HN (5), respectively. DDHK (3) is presumed to be produced from (S)-DNPA (6) via reduction by ActVI-2, but has not yet been isolated from any biosynthetic strains of S. coelicolor or their mutants because of conversion to the shunt product actinoperylone [4]. To resolve the ambiguity regarding the intermediacy of DDHK (3) in ACT biosynthesis, we established a semisynthetic method for obtaining DDHK (3) and its epimer epi-DDHK (7) by the reduction of (S)-DNPA (6), an isolable biosynthetic precursor of ACT, and successfully clarified the function of the ActVA-ORF5/ActVB system in vitro using semisynthetic DDHK as the substrate [5].
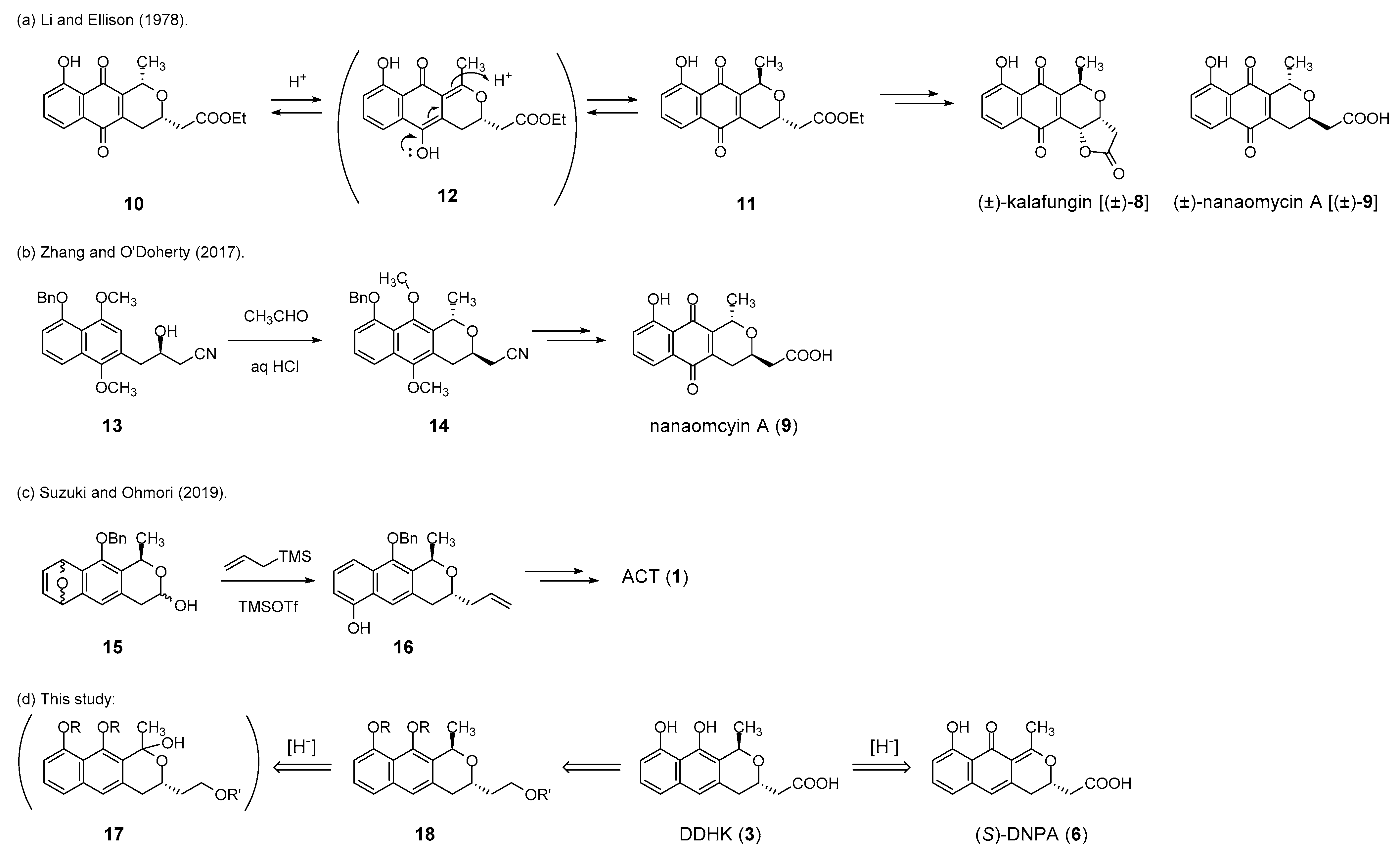
We independently investigated the total synthesis of DDHK (3) and its epimer epi-DDHK (7) for the stereochemical correlation of the semisynthetic products. As shown in Scheme 1, DDHK (3) is composed of a benzoisochromane skeleton with two hydroxy groups on the C-9 and C-10 positions [6] and incorporates a disubstituted dihydropyran ring with 1,3-trans stereochemistry. In previous reports concerning the synthesis of the biosynthetically related compounds kalafungin (8) and nanaomycin A (9), which contains a 1,3-trans-disubstituted benzoisochromane skeleton as well as a central quinone moiety, epimerization of the 1,3-cis isomer to the corresponding trans isomer under acidic conditions via conjugation with the C-5 carbonyl group was frequently employed [7,8,9,10,11,12,13,14,15,16,17,18,19,20,21,22,23,24,25]. For example, Li and Ellison [8] reported the total synthesis of racemic kalafungin [(±)-8] and nanaomycin A [(±)-9], including acid-catalyzed epimerization of 1,3-cis 10 to the corresponding trans isomer 11 (Scheme 2a). However, this strategy is not suitable for the synthesis of DDHK (3) because of the lack of a carbonyl group or other oxygen functionality at the C-5 position. Therefore, a method for direct access to 1,3-trans-disubstituted benzoisochromanes is required. Zhang and O′Doherty reported a stereoselective oxa-Pictet–Spengler cyclization of quinol 13 and acetaldehyde for the formation of benzoisochromane 14 with 1,3-trans stereochemistry during their synthesis of nanaomycin A (9) [26] (Scheme 2b). Furthermore, the group of Suzuki and Ohmori successfully established the 1,3-trans stereochemistry in their total synthesis of ACT (1) by diastereoselective allylation at the C-3 position of hemiacetal 15 using allylsilane under acidic conditions, in which the stereochemistry was induced by the C-1 stereocenter [27,28] (Scheme 2c). In this article, we report the total synthesis of DDHK (3) and its epimer 7 using various reduction conditions for the stereoselective construction of the benzoisochromane moiety. First, we examined the total synthesis of epi-DDHK (7) with 1,3-cis stereochemistry via conventional reduction of cyclic hemiacetal 17, and we then explored reduction conditions for the construction of 1,3-trans-substituted benzoisochromane 18 to achieve the total synthesis of DDHK (3). Reduction of (S)-DNPA (6) to DDHK (3) and its epimer 7 was also examined to enable comparison of the spectral data of the synthetic and semisynthetic target compounds (Scheme 2d).

2. Results and Discussion

2.1. Total Synthesis of epi-DDHK (7)

Construction of the key benzoisochromane skeleton of DDHK (3) and its epimer 7 was accomplished via Staunton-Weinreb annulation [29,30] using toluate 18 and α,β-unsaturated lactone 19 derived from l-aspartic acid [31], as reported by Donner [22,24] (Scheme 3). The MOM group was selected as the protecting group for phenol 20 to allow for more facile final-stage deprotection under mild acidic conditions compared with methyl group protection. Methylation of lactone 21 with excess CH3Li afforded cyclic hemiacetal 22 as a mixture of diastereomers. Treatment of 22 with Et3SiH in the presence of TFA in CH2Cl2 [14,15] followed by deprotection of the TBS group with HCl delivered the corresponding 1,3-cis-substituted benzoisochromane 23 in 40% yield from lactone 21. The stereochemistry of 23 was confirmed by the similarity of its NMR data (see Supplementary Material) to the corresponding methoxy derivative 24 [24]. In this reaction, cyclic enone 25 bearing a hydroxyethyl side chain was obtained as a byproduct, the formation of which was ascribed to dehydration of unreacted hemiacetal 22. After MOM protection of the phenolic OH in 23, stepwise oxidation of alcohol 26 using TEMPO followed by Pinnick oxidation [24] afforded carboxylic acid 27. Finally, removal of the MOM groups under acidic conditions furnished the desired epi-DDHK (7, 14%) alongside mono-MOM-protected epi-DDHK (28, 37%).

2.2. Stereoselective Reduction Trials Using Modified Silane Reduction Conditions

Next, the diastereoselective reduction of hemiacetal 22 was examined using several silane reagents for the formation of trans-substituted benzoisochromanes. The attempted utilization of Ph3SiH instead of Et3SiH for the reduction of 22 afforded no reduced products, which was presumably attributable to steric hindrance (data not shown). Similarly, efforts to introduce the silane group into the phenolic OH moiety of 21 using diphenylchlorosilane to prepare silane 29 in the presence of bases such as imidazole and Hünig’s base resulted in no reaction (Scheme 4). When NaH was applied as the base, desilylated alcohol 30 and disilane 31 [32], the formation of which was ascribed to reaction between the TBS group of 21 and the diphenylchlorosilyl anion, were obtained. Desilylated alcohol 30 was further modified by the attachment of a diisopropylsilyl group, and the resulting lactone 32 was methylated and then treated with TFA in order to promote intramolecular delivery of hydride from the silane moiety to the α face of the presumed oxonium ion derived from lactol. However, only bicyclic acetal 33 was obtained, rather than the desired reduced product 34.

2.3. Stereoselective Reduction Trials with Bicyclic Acetal and Total Synthesis of DDHK (3)

For the construction of the benzoisochromane skeleton bearing 1,3-trans stereochemistry, we focused on the aforementioned bicyclic acetal 33 (Scheme 4). The similar bicyclic acetal 35 was reported by Donner as a byproduct of the Et3SiH reduction of the hemiacetal derived from lactone 36 to 1,3-cis benzoisochromane 37 during the total synthesis of 5-epi-9-methoxykalafungin, where NaBH4 reduction of 35 afforded 37 [24] (Scheme 5a). We examined an alternative method for the preparation of these bicyclic acetals. Methylation of lactone 21 followed by acid treatment delivered cyclic enone 25 in 77% yield over two steps (Scheme 5b). Subsequent treatment of 25 with excess NaH and MOMCl led to the formation of bicyclic acetal 33 (5%) and the corresponding bis-MOM ether 38 (47%). Therefore, reduction trials using major component 38 were performed to explore the construction of the desired 1,3-trans stereochemistry.
The reduction of 38 under acidic conditions, which would affect the acetal group, was examined. Application of NaBH3CN in the presence of aqueous HCl afforded a mixture of diastereomers (cis:trans = 81:19, as determined by 1H-NMR for the crude product, see Supplementary Material), where the 1,3-cis isomer 26 and the desired trans isomer 39 were isolated in 69% and 13% yield, respectively (Table 1, run 1). The trans stereochemistry of 39 was confirmed by NOE experiments, where enhancement of the signals between the C-1 methyl group and C-3 H atom was observed. The trans selectivity was slightly improved (cis:trans = 74:26) when BH3·THF was used (run 2). Inspired by the trans selectivity reported by Yamamoto and co-workers for the reduction of aliphatic bicyclic acetals using aluminum hydrides [33], we next examined the use of DIBAL-H. The reaction in CH2Cl2 at −78 °C afforded an approximately 1:1 mixture of diastereomers (run 3), whereas the undesired cis isomer was preferentially obtained when Et2O was used as solvent (run 4). The reaction in THF exhibited improved selectivity with a cis:trans ratio of about 2:3 (run 5). As an alternative aluminum hydride reagent, AlH3 prepared from LiAlH4 and AlCl3 was next investigated. Reaction at −78 °C delivered the desired trans isomer in an improved cis:trans ratio of about 1:3, albeit with only low conversion (run 6). Increasing the temperature to −60 °C afforded a similar diastereoselectivity with improved chemical yield (run 7). Extending the reaction time did not further improve the yield (run 8).
The obtained trans isomer 39 was subjected to a similar oxidation sequence as cis isomer 26 to afford carboxylic acid 40. Subsequent removal of the MOM groups using 10% HCl in THF for 3 h afforded only a trace amount of DDHK (3) alongside the monoprotected DDHK (41, 32%). However, adjustment of the acid concentration and reaction time improved the yield of DDHK (3) and 41 to 27% and 71%, respectively. Trial of deprotection of mono MOM ether 41 using aqueous HCl resulted in a formation of complex mixture. However, application of BCl3 to 41 at −78 °C afforded DDHK (3) in 69% yield (Scheme 6).

2.4. Semisynthesis of DDHK (3) and Its Epimer 7 from (S)-DNPA (6)

To confirm the structures of the synthetic DDHK (3) and its epimer 7, (S)-DNPA (6) was isolated from a transformant of S. coelicolor [34] and then subjected to NaBH4 reduction in methanol (Scheme 7). The crude product consisting of an approximately 1:1 mixture of diastereoisomers was purified by reverse-phase HPLC to afford DDHK (3) and its epimer 7. The semisynthetic products were identified by comparison of their spectral data with those of synthetic 3 and 7 (Figure 1). DDHK (3) was observed to be more polar than epi-DDHK (7).

3. Materials and Methods

3.1. General

Commercially available reagents and anhydrous solvents were used without further purification. Anhydrous solvents (CH2Cl2, DMF, and THF) were purchased from FUJIFILM Pure Wako Chemicals (Osaka, Japan) and Kanto Chemical (Tokyo, Japan) Analytical thin-layer chromatography was performed on silica gel 60 F254 plate from Merck (Darmstadt, Germany). Flash chromatography was carried out with Silica gel 60 (100–210 μm) or 60N (neutral, 40–50 μm) from Kanto Chemical (Tokyo, Japan) or Smart Flash AI-580S from Yamazen (Osaka, Japan).
IR spectra were recorded on JASCO FT/IR-4100 and FT/IR-4600 spectrophotometers (Tokyo, Japan) with NaCl plate or Attenuated Total Reflectance Unit ATR PRO450-S. EI-MS was recorded on a JEOL GC-Mate II (Tokyo, Japan). ESIMS was recorded on a JEOL JMS-T100LP in positive ion mode and Thermo Fisher Scientific LTQ Orbitrap XL (Waltham, MA, USA) in positive mode. Optical rotation was measured by JASCO P-1020 and DIP-1000 polarimeters (Tokyo, Japan) 1H and 13C-NMR spectra were recorded on JEOL ECX 400 (400 MHz for 1H-NMR and 100 MHz for 13C-NMR) and a JEOL LA 500 spectrometers (125 MHz for 13C-NMR)). Chemical shifts were reported in ppm and J in Hz. Abbreviations were used for multipilicity: s = singlet, d = doublet, dd = doublets of doublet, ddd = doublets of doublets of doublet, dddd = doublets of doublets of doublets of doublet, t = triplet, quint = quintet, m = multiplet.

3.2. Experimental Procedures and Compound Data

Ethyl 2-(methoxymethoxy)-6-methylbenzoate (18). To a mixture of NaH (55%, 487 mg, 11.2 mmol) in THF (3.0 mL), a solution of 20 (1.00 g, 5.55 mmol) in THF (7.0 mL) was added at 0 °C. The mixture was stirred at 0 °C for 30 min. MOMCl (0.55 mL, 7.24 mmol) was added at 0 °C, and the whole was stirred at rt for 1 h. Saturated aqueous NaHCO3 (10 mL) was added, and the whole was partitioned with AcOEt (10 mL) and H2O (3 mL). The aqueous layer was extracted with AcOEt (3 mL × 10 mL). Combined organic phase was washed with brine (1 mL × 10 mL) and was dried over Na2SO4. Solvent was evaporated in vacuo and the residue was purified by column chromatography (CC) (hexane–AcOEt = 95:5–82:18) to give 18 as a colorless oil (1.17 g, 94%). IR (ATR) νmax cm−1: 1725 (C=O). 1H-NMR (400 MHz, CDCl3) δ: 1.38 (3H, t, J = 7.3 Hz, CO2CH2CH3), 2.31 (3H, s, C6-CH3), 3.45 (3H, s, OCH3), 4.40 (2H, q, J = 7.3 Hz, CO2CH2), 5.18 (2H, s, OCH2O), 6.85 (1H, d, J = 7.8 Hz, C3-H), 6.99 (1H, d, J = 8.2 Hz, C5-H), 7.22 (1H, dd, J = 8.2, 7.8 Hz, C4-H). 13C-NMR (125 MHz, CDCl3) δ:14.2, 19.1, 56.0, 61.0, 94.5, 112.1, 123.4, 125.0, 130.0, 136.2, 153.7, 168.1. HRESIMS m/z 247.0940 (calcd for C12H16NaO4: 247.0946).
(S)-3-{2-[(tert-Butyldimethylsilyl)oxy]ethyl}-10-hydroxy-9-(methoxymethoxy)-3,4-dihydro-1H-benzo[g]isochromen-1-one (21). To a solution of diisopropylamine (0.74 mL, 5.28 mmol) in THF (12 mL), BuLi (1.63 M in hexane, 3.25 mL, 5.30 mmol) was added at −78 °C, and the mixture was stirred at −78 °C for 20 min. A solution of 18 (398 mg, 1.77 mmol) in THF (1.7 mL) was added at −78 °C, and the whole was stirred at −78 °C for 15 min. A solution of 19 (504 mg, 1.76 mmol) in THF (1.7 mL) was added at −78 °C, and the mixture was stirred at 0 °C for 30 min. Saturated aqueous NH4Cl (15 mL) was added at 0 °C, and the whole was partitioned with AcOEt (15 mL) and H2O (5 mL). Aqueous layer was extracted with AcOEt (2 mL × 15 mL). Combined organic layer was washed with brine (1 mL × 15 mL) and was dried over Na2SO4. The solvent was evaporated in vacuo, and the residue was purified by CC (hexane–AcOEt = 91:9) to give 21 as a yellow oil (360 mg, 47%). IR (ATR) νmax cm−1: 3200–2800 (OH), 1655 (C=O). 1H-NMR (400 MHz, CDCl3) δ: 0.08 (6H, s, Si(CH3)2), 0.89 (9H, s, SiC(CH3)3), 1.95 (1H, dddd, J = 14.2, 8.2, 5.0, 5.0 Hz, one of C1′-H2), 2.10 (1H, dddd, J = 14.2, 8.2, 5.0, 5.0 Hz, one of C1′-H2), 3.01–3.12 (2H, m, C4-H2), 3.61 (3H, s, OCH3), 3.82 (1H, ddd, J = 10.5, 10.5, 5.3 Hz, one of C2′-H2), 3.90 (1H, ddd, 10.5, 8.2, 4.6 Hz, one of C2′-H2), 4.78 (1H, dddd, J = 9.2, 8.0, 4.6, 4.6 Hz, C3-H), 5.38 (2H, s, OCH2O), 7.01 (1H, s, C5-H), 7.10 (1H, dd, J = 7.8, 0.9 Hz, C8-H), 7.33 (1H, dd, J = 7.8, 0.9 Hz, C6-H), 7.49 (1H, dd, J = 7.8, 7.8 Hz, C7-H). 13C-NMR (100 MHz, CDCl3) δ: −5.48, −5.47, 18.2, 25.8, 33.5, 37.7, 56.4, 58.4, 76.6, 95.8, 102.4, 111.7, 116.0, 116.1, 121.3, 130.5, 133.3, 139.8, 156.3, 163.8, 171.0. [α ] D 25 + 12.7 (c 1.1, CHCl3). HREIMS m/z 432.1973 (calcd for C23H32O6Si: 432.1968).
(1S,3S)-2-(3,4-Dihydro-10-hydroxy-9-methoxymethoxy-1-methyl-1H-naphtho[2,3-c]pyran-3-yl)ethanol (23) and (S)-3,4-Dihydro-9-hydroxy-3-(2-hydroxyethyl)-1-methyl-10H-naphtho[2,3-c]pyran-10-one (25). To a solution of 21 (102 mg, 0.24 mmol) in THF (1.6 mL), CH3Li (1.10 M in Et2O, 0.64 mL, 0.70 mmol) was added at 0 °C within 5 min. The whole was stirred at rt for 1 h. Saturated aqueous NH4Cl (3 mL) was added at 0 °C, and the whole was partitioned with CH2Cl2 (6 mL) and H2O (2 mL). Aqueous layer was extracted with CH2Cl2 (3 mL × 6 mL). Combined organic layer was washed with H2O (1 mL × 6 mL) and brine (1 mL × 6 mL) and dried over Na2SO4. Solvent was evaporated in vacuo to give 22 as a yellow oil (110.2 mg, 105%), which was used to next step without further purification. To a solution of crude 22 in CH2Cl2 (1 mL), TFA (0.054 mL, 0.71 mmol) and Et3SiH (0.11 mL, 0.69 mmol) were added successively at −78 °C. The mixture was warmed to −35 °C within 1 h and was stirred at rt for 1 h. Saturated aqueous NaHCO3 (5 mL) was added, and the whole was partitioned with CHCl3 (10 mL) and H2O (3 mL). The aqueous layer was extracted with CHCl3 (3 mL × 5 mL). Combined organic layer was washed with H2O (1 mL × 5 mL) and brine (1 mL × 5 mL) and was dried over Na2SO4. Solvent was evaporated in vacuo. The residue (a brown oil, 136 mg) was dissolved in THF (2.5 mL) and 10% HCl (0.5 mL) was added at rt. The mixture was stirred at rt for 14 h. The whole was diluted with H2O (3 mL) and was extracted with AcOEt (3 mL × 6 mL). Combined organic layer was washed with brine (1 mL × 6 mL) and was dried over Na2SO4. Solvent was evaporated in vacuo, and the residue was purified by CC (hexane–AcOEt = 55:45–34:66) to give 23 as a brown oil (30 mg, 40%) and 25 as dark green powder (8 mg, 12%). 23: IR (ATR) νmax cm−1: 3383 (OH). 1H-NMR (400 MHz, CDCl3) δ: 1.65 (3H, d, J = 6.4 Hz, C1-CH3), 1.88–2.00 (2H, m, C1′-H2), 2.73 (1H, dd, J = 15.6, 1.8 Hz, one of C4-H2), 2.96 (1H, dd, J = 15.6, 11.0 Hz, one of C4-H2), 3.15 (1H, s, C2′-OH), 3.59 (3H, s, OCH3), 3.83–3.91 (1H, m, C3-H), 3.90 (2H, t, J = 5.5 Hz, C2′-H), 5.26 (1H, q, J = 6.4 Hz, C1-H), 5.43 (1H, d, J = 9.2 Hz, one of OCH2O), 5.44 (1H, d, J = 9.2Hz, one of OCH2O), 6.98 (1H, dd, J = 7.8, 0.9 Hz, C8-H), 7.06 (1H, s, C5-H), 7.24 (1H, dd, J = 8.2, 7.8 Hz, C7-H), 7.36 (1H, d, J = 7.8 Hz, C6-H), 9.61 (1H, s, C10-OH). 13C-NMR (100 MHz, CDCl3) δ: 21.8, 36.0, 37.5, 56.9, 61.6, 71.3, 74.3, 95.8, 107.1, 113.9, 117.5, 121.1, 122.1, 125.5, 134.96, 135.02, 150.0, 153.6. HRESIMS m/z 341.1396 (calcd for C18H22NaO5: 341.1365). [α ] D 25 –133.7 (c 0.5, CHCl3). 25: mp 114.0–116.3 °C. IR (ATR) νmax cm−1: 3290 (O-H), 1635 (C=O). 1H-NMR (400 MHz, CDCl3) δ: 1.97 (1H, dddd, J = 14.6, 7.5, 5.7, 4.8 Hz, one of C1′-H2), 2.09 (1H, dddd, J = 14.6, 7.8, 5.0, 5.0 Hz, one of C1′-H2), 2.65 (3H, s, C1-CH3), 2.74 (1H, ddd, J = 16.0, 10.8, 1.6 Hz, one of C4-H2), 2.85 (1H, ddd, J = 16.0, 3.4, 0.9 Hz, one of C4-H2), 3.86–3.95 (2H, m, C2′-H), 4.50–4.57 (1H, m, C3-H), 6.26 (1H, s, C5-H), 6.74 (1H, dd, J = 7.8, 0.9 Hz, C8-H), 6.78 (1H, dd, J = 8.0, 0.9 Hz, C6-H), 7.39 (1H, dd, J = 8.0, 8.0 Hz, C7-H). 13C-NMR (125 MHz, CDCl3) δ: 23.4, 33.7, 36.7, 58.7, 111.3, 114.3, 115.7, 116.2, 116.9, 129.1, 135.1, 138.4, 163.5, 177.3, 188.8 (1C: missing, overlapped with a signal of CDCl3). HRESIMS m/z 273.1140 (calcd for C16H17O4: 273.1127). [α ] D 25 + 116.8 (c 0.3, CHCl3).
(1S,3S)-2-{3,4-Dihydro-3-(2-hydroxyethyl)-9,10-bis(methoxymethoxy)-1-methyl-1H-naphtho[2,3-c]pyran-3-yl}ethanol (26). To a suspension of NaH (55%, 2.2 mg, 0.050 mmol) in THF (0.05 mL), a solution of 23 (14 mg, 0.042 mmol) in THF (0.2 mL) was added at 0 °C, and the whole was stirred at 0 °C for 10 min. A solution of MOMCl (0.0038 mL, 0.050 mmol) in THF (0.2 mL) was added at 0 °C, and the whole was stirred at rt for 2 h. Ice-H2O (1 mL) was added, and the whole was extracted with AcOEt (3 mL × 3 mL). Combined organic layer was washed with brine (1 mL × 1 mL) and was dried over Na2SO4. Solvent was evaporated in vacuo, and the residue was purified by CC (hexane–AcOEt = 57:43) to give 26 as a colorless oil (9 mg, 62%). IR (ATR) νmax cm−1: 3419 (O-H). 1H-NMR (400 MHz, CDCl3) δ: 1.71 (3H, d, J = 6.2 Hz, C1-CH3), 1.90–2.01 (2H, m, C1′-H2), 2.77 (1H, dd, J = 15.6, 2.1 Hz, one of C4-H2), 2.96 (1H, dd, J = 15.6, 11.0 Hz, one of C4-H2), 2.99 (1H, br, OH), 3.57 (3H, s, OCH3), 3.59 (3H, s, OCH3), 3.88–3.94 (3H, m, C3-H, C2′-H2), 4.96 (1H, d, J = 6.6 Hz, one of C10-OCH2O), 5.19 (1H, d, J = 6.6 Hz, one of C10-OCH2O), 5.28 (1H, d, J = 11.2 Hz, one of C9-OCH2O), 5.29 (1H, d, J = 11.2 Hz, one of C9-OCH2O), 5.39 (1H, q, J = 6.2 Hz, C1-H), 7.07 (1H, dd, J = 7.8, 0.9 Hz, C8-H), 7.30 (1H, dd, J = 8.2, 7.8 Hz, C7-H), 7.33 (1H, s, C5-H), 7.41 (1H, dd, J = 8.2, 0.9 Hz, C6-H). 13C-NMR (100 MHz, CDCl3) δ: 22.8, 35.8, 37.5, 56.3, 57.7, 61.5, 72.0, 74.1, 96.1, 101.5, 111.8, 118.9, 122.1, 123.2, 125.9, 130.3, 133.7, 135.9, 149.9, 152.5. HRESIMS m/z 363.1817 (calcd for C20H27O6: 363.1808). [α ] D 25 + 77.0 (c 0.5, CHCl3).
(1S,3S)-{9,10-Bis(methoxymethoxy)-3,4-dihydro-1-methyl-1H-naphtho[2,3-c]pyran-3-yl}acetic acid (27). To a solution of 26 (26 mg, 0.073 mmol) in CH2Cl2 (0.2 mL), PIDA (35 mg, 0.109 mmol) and TEMPO (1.2 mg, 0.0077 mmol) were added and the whole was stirred at rt for 12 h. 5% Aqueous Na2S2O3 (2 mL) was added and the whole was extracted with CHCl3 (4 mL × 5 mL). Combined organic layer was washed with brine (1 mL × 5 mL) and was dried over Na2SO4. Solvent was evaporated in vacuo. The residue (a yellow oil, 61 mg) was dissolved with acetone (0.43 mL), t-BuOH (0.86 mL), and H2O (0.21 mL). 2-Methyl-2-butene (0.21 mL, 1.98 mmol) and NaH2PO4·2H2O (39 mg, 0.25 mmol) were added. NaClO2 (16 mg, 0.18 mmol) was added at rt, and the whole was stirred at rt for 1 h; then, 5% HCl (0.5 mL) was added at rt and the whole was extracted with CHCl3 (4 mL × 5 mL). Combined organic layer was washed with brine (1 mL × 5 mL) and dried over Na2SO4. Solvent was evaporated in vacuo, and the residue was purified by CC (CHCl3–MeOH = 99:1–91:9) to give 27 as a yellow oil (24 mg, 86%). IR (ATR) νmax cm−1: 3500–2900 (O-H), 1711 (C=O). 1H-NMR (400 MHz, CDCl3) δ: 1.71 (3H, d, J = 6.2 Hz, C1-CH3), 2.71 (1H, dd, J = 15.8, 5.5 Hz, one of C4-H2), 2.79 (1H, dd, J = 15.8, 7.3 Hz, one of C4-H2), 2.87–2.97 (2H, m, C1′-H2), 3.57 (3H, s, OCH3), 3.59 (3H, s, OCH3), 4.08–4.14 (1H, m, C3-H), 4.96 (1H, d, J = 6.4 Hz, one of C10-OCH2O), 5.20 (1H, d, J = 6.4 Hz, one of C10-OCH2O), 5.28 (1H, d, J = 10.8 Hz, one of C9-OCH2O), 5.30 (1H, d, J = 10.8 Hz, one of C9-OCH2O), 5.42 (1H, q, J = 6.4 Hz, C1-H), 7.07 (1H, dd, J = 7.6, 0.9 Hz, C8-H), 7.30 (1H, dd, J = 8.2, 7.6 Hz, C7-H), 7.34 (1H, s, C5-H), 7.41 (1H, d, J = 7.6 Hz, C6-H). 13C-NMR (100 MHz, CDCl3) δ: 22.6, 35.3, 40.7, 56.5, 57.7, 69.8, 72.3, 96.1, 101.5, 111.1, 119.0, 122.1, 123.3, 125.9, 130.1, 133.0, 135.9, 149.9, 152.5, 175.3. HRESIMS m/z 377.1617 (calcd for C20H24O7: 377.1600). [α ] D 25 + 77.6 (c 1.2, CHCl3).
(1S,3S)-(3,4-Dihydro-10-hydroxy-9-methoxymethoxy-1-methyl-1H-naphtho[2,3-c]pyran-3-yl)acetic acid (28) and (1S,3S)-(3,4-dihydro-9,10-dihydroxy-1-methyl-1H-naphtho[2,3-c]pyran-3-yl)acetic acid (7). To a solution of 27 (20 mg, 0.053 mmol) in THF (0.6 mL), 10% HCl (0.1 mL) was added at rt, and the whole was stirred at rt for 30 min and at 50 °C for 2 h. Solvent was evaporated in vacuo, and the residue was partitioned with AcOEt (8 mL) and H2O (2 mL). The aqueous layer was extracted with AcOEt (2 mL × 5 mL). Combined organic layer was washed with brine (1 mL × 5 mL) and dried over Na2SO4. Solvent was evaporated in vacuo and the residue was purified by CC (CHCl3–MeOH = 91:9–82:18) to give 28 as a yellow oil (6.5 mg, 37%) and 7 as a colorless oil (2.2 mg, 14%). 28: IR (ATR) νmax cm−1: 3384 (O-H), 1711 (C=O). 1H-NMR (400 MHz, CDCl3) δ: 1.66 (3H, d, J = 6.4 Hz, C1-CH3), 2.72 (1H, dd, J = 16.0, 5.0 Hz, one of C4 or C1′-H2), 2.78 (1H, dd, J = 16.0, 7.3 Hz, one of C4 or C1′-H2), 2.87 (1H, d, J = 15.1 Hz, one of C4 or C1′-H2), 2.92 (1H, dd, J = 15.1, 11.0 Hz, one of C4 or C1′-H2), 3.58 (3H, s, OCH3), 4.02–4.13 (1H, m, C3-H), 5.31 (1H, q, J = 6.4 Hz, C1-H), 5.42 (1H, d, J = 8.7 Hz, one of C9-OCH2O), 5.44 (1H, d, J = 8.7 Hz, one of C9-OCH2O), 6.98 (1H, d, J = 7.3 Hz, C8-H), 7.06 (1H, s, C5-H), 7.24 (1H, dd, J = 8.2, 7.8 Hz, C7-H), 7.35 (1H, d, J = 8.2 Hz, C6-H), 9.63 (1H, s, OH). 13C-NMR (100 MHz, CDCl3) δ: 21.7, 35.4, 40.6, 56.9, 70.0, 71.8, 95.9, 107.3, 114.0, 117.6, 120.2, 122.1, 125.7, 133.8, 135.0, 150.0, 153.6, 172.6. HRESIMS m/z 333.1333 (calcd for C18H21O6: 333.1338). [α ] D 25 –104.1 (c 0.2, CHCl3). 7: IR (ATR) νmax cm−1: 3206 (O-H), 1704 (C=O). 1H-NMR (400 MHz, CD3OD) δ: 1.59 (3H, d, J = 6.2 Hz, C1-CH3), 2.61 (2H, d, J = 6.4 Hz, C4 or C1′-H2), 2.79 (1H, dd, J = 15.3, 9.4 Hz, one of C4 or C1′-H2), 2.83 (1H, d, J = 15.3 Hz, one of C4 or C1′-H2), 3.98 (1H, dddd, J = 9.4, 6.4, 6.4, 4.1 Hz, C3-H), 5.16 (1H, q, J = 6.2 Hz, C1-H), 6.63 (1H, dd, J = 7.3, 1.4 Hz, C8-H), 7.00 (1H, s, C5-H), 7.13 (1H, dd, J = 8.2, 7.3 Hz, C7-H), 7.18 (1H, dd, J = 8.2, 1.4 Hz, C6-H). 13C-NMR (100 MHz, CD3OD) δ: 22.0, 36.7, 41.9, 71.8, 72.7, 108.2, 118.1, 120.5, 120.7, 126.9, 135.6, 136.8, 144.1, 152.0, 154.6, 175.1. HRESIMS m/z 289.1087 (calcd for C16H17O5: 289.1076. [α ] D 25 − 104.6 (c 0.1, CHCl3).
(S)-3,4-Dihydro-3-(2-hydroxyethyl)-10-hydroxy-9-(methoxymethoxy)-1H-naphtho[2,3-c]pyran-1-one (30). To a solution of 21 (84 mg, 0.19 mmol) in DMF (0.5 mL), NaH (55%, 11 mg, 0.25 mmol) was added at 0 °C. After 15 min, a solution of Ph2HSiCl (0.041 mL, 0.21 mmol) in DMF (0.5 mL) was added, and the whole was stirred at rt for 1.5 h. Ice-H2O (2 mL) was added, and the whole was extracted with AcOEt (3 mL × 15 mL). Combined organic layer was washed with brine (1 mL × 15 mL) and was dried over Na2SO4. Solvent was evaporated in vacuo, and the residue was purified by CC (hexane–AcOEt = 36:64–15:85) to give 30 as colorless solids (50 mg, 82%) and 31 as a colorless oil (61 mg, quant). 30: mp 100.3–102.4 °C. IR (ATR) νmax cm−1: 3519 (O-H), 1635 (C=O). 1H-NMR (400 MHz, CDCl3) δ: 1.95 (1H, dddd, J = 14.7, 8.2, 5.5, 5.0 Hz, one of C1′-H2), 2.10 (1H, dddd, J = 14.7, 8.2, 5.0, 5.0 Hz, one of C1′-H2), 3.06 (2H, d, J = 7.3 Hz, C4-H2), 3.60 (3H, s, OCH3), 3.89 (1H, ddd, J = 11.0, 5.5, 5.0 Hz, one of C2′-H2), 3.90 (1H, ddd, J = 11.0, 8.2, 5.0 Hz, one of C2′-H2), 4.82 (1H, dtd, J = 8.2, 7.3, 4.6 Hz, C3-H), 5.37 (2H, s, OCH2O), 6.99 (1H, s, C5-H), 7.09 (1H, dd, J = 8.2, 0.9 Hz, C8-H), 7.32 (1H, d, J = 7.8 Hz, C6-H), 7.48 (1H, dd, J = 8.2, 7.8 Hz, C7-H). 13C-NMR (100 MHz, CDCl3) δ: 33.5, 37.3, 56.48, 56.51, 58.4, 95.8, 102.3, 111.7, 116.1, 116.2, 121.4, 130.7, 133.1, 139.8, 156.2, 163.9, 170.9. HRESIMS m/z 319.1182 (calcd for C17H19O6: 319.1182). [α ] D 25 +16.7 (c 1.0, CHCl3). 31: 1H-NMR (400 MHz, CDCl3) δ: 0.06 (6H, s, Si(CH3)2), 0.88 (9H, s, SiC(CH3)3), 7.32–7.74 (6H, m, Ar-H), 7.59 (4H, dd, J = 7.8, 1.8 Hz, Ar-H).
(3S)-3-(2-{[Bis(2-propyl)silyl]oxy}ethyl)-3,4-dihydro-10-hydroxy-9-(methoxymethoxy)-1H-naphtho[2,3-c]pyran-1-one (32). To a solution of 30 (40 mg, 0.13 mmol) and imidazole (17 mg, 0.25 mmol) in THF (1.6 mL), a solution of chlorodiisopropylsilane (0.027 mL, 0.16 mmol) in THF (0.1 mL) was added, and the whole was stirred at rt for 1 h. H2O (2 mL) was added at 0 °C and the whole was extracted with Et2O (3 mL × 5 mL). Combined organic layer was washed with H2O (1 mL × 5 mL) and brine (1 mL × 5 mL) and was dried over Na2SO4. Solvent was evaporated in vacuo, and the residue was purified by CC (neutral SiO2, hexane–AcOEt = 9:1) to give 32 as a colorless oil (36 mg, 65%). IR (ATR) νmax cm−1: 3400–2500 (O-H), 2089 (Si-H), 1655 (C=O). 1H-NMR (400 MHz, CDCl3) δ: 0.08 (14H, m, Si(i-Pr)2), 1.98 (1H, dddd, J = 13.3, 7.8, 5.5, 5.5 Hz, one of C1′-H2), 2.13 (1H, dddd, J = 13.3, 7.8, 5.0, 5.0 Hz, one of C1′-H2), 3.05 (1H, ddd, J = 16.0, 9.2, 0.9 Hz, one of C4-H2), 3.09 (1H, dd, J = 16.0, 4.1 Hz, one of C4-H2), 3.61 (3H, s, OCH3), 3.91 (1H, ddd, J = 10.1, 5.0, 5.0 Hz, one of C2′-H2), 3.99 (1H, ddd, J = 10.1, 8.2, 5.0 Hz, one of C2′-H2), 4.81 (1H, dddd, J = 9.6, 8.2, 4.6, 4.6 Hz, C3-H), 5.37 (2H, s, OCH2O), 7.01 (1H, s, C5-H), 7.10 (1H, dd, J = 7.8, 0.9 Hz, C8-H), 7.33 (1H, dd, J = 8.2, 0.9 Hz, C6-H), 7.49 (1H, dd, J = 8.2, 7.8 Hz, C7-H), 13.07 (1H, s, OH). 13C-NMR (100 MHz, CDCl3) δ: 12.25, 12.29, 17.3, 17.4, 33.5, 37.7, 56.50, 56.54, 60.9, 95.8, 102.5, 111.7, 116.2 (overlapped), 121.4, 130.7, 133.3, 139.9, 156.3, 163.9, 171.0. HRESIMS m/z 433.2067 (calcd for C23H33O6Si: 433.2046). [α ] D 25 + 14.9 (c 1.2, CHCl3).
(1R,5S)-11-Methoxymethoxy-1-methyl-3,4,5,6-tetrahydro-1,5-epoxy-1H-naphtho[2,3-c]oxocin-12-ol (33). To a solution of 32 (33 mg, 0.079 mmol) in THF (0.5 mL), CH3Li (1.10 M in Et2O, 0.28 mL, 0.31 mmol) was added at 0 °C, and the whole was stirred at rt for 30 min. Saturated aqueous NH4Cl (3 mL) was added at 0 °C, and the whole was extracted with CH2Cl2 (4 mL × 6 mL). The combined organic layer was washed with H2O (1 mL × 6 mL) and brine (1 mL × 6 mL) and was dried over Na2SO4. Solvent was evaporated in vacuo, and the residue (55 mg, 161%) was used for the next step without purification. To a solution of crude hemiacetal (55 mg) in CH2Cl2 (0.4 mL), TFA (0.02 mL, 0.23 mmol) in CH2Cl2 (0.1 mL) was added at −78 °C, and the whole was stirred at −40 °C for 20 min and at −20 °C for 15 min. Saturated aqueous NaHCO3 (3 mL) was added and the whole was partitioned with CHCl3 (6 mL) and H2O (1.5 mL). Aqueous layer was extracted with CHCl3 (3 mL × 5 mL). Combined organic layer was washed with H2O (1 mL × 5 mL) and brine (1 mL × 5 mL) and dried over Na2SO4. The solvent was evaporated in vacuo, and the residue was purified by CC (hexane–AcOEt = 79:21–59:41) to give 33 as a colorless oil (9 mg, 34%). IR (neat) νmax cm−1: 3385 (O-H). 1H-NMR (400 MHz, CDCl3) δ: 1.40 (1H, dif.dd, J = 13.6, 3.2 Hz, one of C6-H2), 2.07 (3H, s, C1-CH3), 2.51 (1H, m, one of C6-H2), 2.79 (1H, d, J = 17.4 Hz, one of C4-H2), 3.56–3.64 (2H, m, one of C4-H2 and C7-H2), 3.59 (3H, s, OCH3), 3.79 (1H, dd, J = 11.9, 6.9 Hz, one of C7-H2), 4.54 (1H, dd, J = 6.9, 6.9 Hz, C5-H), 5.42 (1H, d, J = 15.1 Hz, one of C11-OCH2O), 5.44 (1H, d, J = 15.1 Hz, one of C11-OCH2O), 7.02 (1H, dd, J = 6.9, 0.9 Hz, C10-H), 7.11 (1H, s, C7-H), 7.28 (1H, t, J = 7.8 Hz, C9-H), 7.36 (1H, d, J = 8.2 Hz, C8-H), 10.00 (1H, s, OH). 13C-NMR (125 MHz, CDCl3) δ: 27.1, 29.3, 30.4, 57.1, 59.5, 66.2, 95.9, 96.1, 107.3, 114.4, 117.0, 117.9, 121.9, 126.5, 135.9, 136.1, 151.7, 154.4. HRESIMS m/z 317.1384 (calcd for C18H21O5: 317.1389). [α ] D 25 − 71.7 (c 0.3, CHCl3).
Synthesis of 25. To a solution of 21 (274 mg, 0.63 mmol) in THF (3.5 mL), CH3Li (1.10 M in Et2O, 1.7 mL, 1.87 mmol) was added at 0 °C, and the whole was stirred at rt for 1 h. Saturated aqueous NH4Cl (6 mL) was added at 0 °C, and the whole was extracted with CH2Cl2 (3 mL × 10mL). Combined organic layer was washed with H2O (1 mL × 5 mL) and brine (1 mL × 5 mL) and was dried over Na2SO4. Solvent was evaporated in vacuo to give crude 22 as a yellow oil (285 mg), which was used to next reaction without purification. To a solution of crude 22 in THF (2.5 mL), 10% HCl (0.5 mL) was added at rt, and the whole was stirred at rt for 30 min. H2O (9 mL) was added at rt and the whole was extracted with AcOEt (3 mL × 15mL). Combined organic layer was washed with brine (1 mL × 10 mL) and was dried over Na2SO4. The solvent was evaporated in vacuo, and the residue was washed with a mixed solvent of hexane and AcOEt (1:1) to give 25 as yellow powder (132 mg, 77%). The physical properties of 25 obtained here were identical with those prepared as described above.
(1R,5S)-11,12-Bis(methoxymethoxy)-1-methyl-3,4,5,6-tetrahydro-1H-1,5-epoxynaphtho[2,3-c]oxocine(38). To a suspension of NaH (60%, 75 mg, 1.87 mmol) in THF (1 mL), 25 (206 mg, 0.76 mmol) in THF (6 mL) was added, and the whole was stirred at 0 °C for 20 min. MOMCl (0.13 mL, 1.71 mmol) was added, and the whole was stirred at rt for 1 h. NaH (60%, 30 mg, 0.75 mmol) and MOMCl (0.06 mL, 0.79 mmol) was added at 0 °C, and the whole was stirred at rt for 30 min. Ice-H2O (5 mL) was added, and the whole was extracted with AcOEt (1 mL × 15 mL, 2 mL × 10 mL). Combined organic layer was washed with brine (1 mL × 10 mL) and was dried over Na2SO4. Solvent was evaporated in vacuo, and the residue was purified by CC (hexane–AcOEt = 76:24–54:45) to give 38 as a yellow oil (128 mg, 47%) and 33 (a yellow oil, 13 mg, 5%). 38: IR (ATR) νmax cm−1: no characteristic absorption. 1H-NMR (400 MHz, CDCl3) δ: 1.43 (1H, dd, J = 13.7, 3.2 Hz, one of C6-H2), 2.11 (3H, s, C1-CH3), 2.51 (1H, m, one of C6-H2), 2.82 (1H, d, J = 16.9 Hz, one of C4-H2), 3.56–3.67 (2H, m, one of C3- and C4-H2), 3.58 (3H, s, OCH3), 3.67 (3H, s, OCH3), 3.75 (1H, dd, J = 11.9, 6.9 Hz, one of C3-H2), 4.55 (1H, dd, J = 6.9, 6.9 Hz, C5-H), 4.87 (1H, d, J = 4.1 Hz, one of C11-OCH2O), 5.10 (1H, d, J = 4.1 Hz, one of C11-OCH2O), 5.30 (1H, d, J = 6.5 Hz, one of C12-OCH2O), 5.33 (1H, d, J = 6.5 Hz, one of C12-OCH2O), 7.10 (1H, dd, J = 7.8, 0.9 Hz, C10-H), 7.34 (1H, dd, J = 8.2, 7.8 Hz, C9-H), 7.37 (1H, s, C7-H), 7.40 (1H, dd, J = 8.2, 1.3 Hz, C8-H). 13C-NMR (100 MHz, CDCl3) δ: 27.4, 29.3, 33.0, 53.4, 56.5, 58.9, 65.7, 95.9, 96.3, 100.7, 111.6, 120.0, 121.7, 122.5, 126.7, 127.5, 134.7, 136.5, 149.7, 153.4. HRESIMS m/z 361.1658 (calcd for C20H25O6: 361.1651). [α ] D 25 − 216.1 (c 1.5, CHCl3).
(1R,3S)-2-[3,4-Dihydro-9,10-bis(methoxymethoxy)-1-methyl-1H-naphtho[2,3-c]pyran-3-yl]ethanol (39). (Table 1run 7). To a suspension of LiAlH4 (17 mg, 0.43 mmol) in Et2O (1.0 mL), a suspension of AlCl3 (18 mg, 0.14 mmol) in Et2O (1 mL) was added at 0 °C, and the whole was stirred at 0 °C for 30 min. A solution of 38 (49 mg, 0.14 mmol) in Et2O (1 mL) was added at −60 °C, and the whole was stirred at −60 °C for 21 h. Saturated aqueous NH4Cl (5 mL) was added. The whole was filtered through a pad of Celite, and the precipitate was washed with AcOEt (5 mL × 1 mL). The filtrate was extracted with AcOEt (3 mL × 10 mL). Combined organic layer was washed with H2O (1 mL × 10 mL) and brine (1 mL × 10 mL) and was dried over Na2SO4. Solvent was evaporated in vacuo, and the residue was purified by CC (hexane–AcOEt = 72:28–51:49) to give 39 as a yellow oil (25 mg, 50%) and 26 as a yellow oil (5 mg, 11%). 39: IR (ATR) νmax cm−1: 3413 (O-H). 1H-NMR (400 MHz, CDCl3) δ: 1.69 (3H, d, J = 6.9 Hz, C1-CH3), 1.92 (2H, dt, J = 6.4, 5.5 Hz, C1′-H2), 2.86 (1H, ddd, J = 16.5, 4.1, 0.9 Hz, one of C4-H2), 2.93 (1H, ddd, J = 16.5, 10.5, 1.4 Hz, one of C4-H2), 3.57 (3H, s, OCH3), 3.60 (3H, s, OCH3), 3.90 (2H, t, J = 5.5 Hz, C2′-H), 4.27 (1H, dtd, J = 10.5, 6.4, 4.1 Hz, C3-H), 5.01 (1H, d, J = 6.4 Hz, one of C10-OCH2O), 5.23 (1H, d, J = 6.4 Hz, one of C10-OCH2O), 5.28 (1H, d, J = 12.4 Hz, one of C9-OCH2O), 5.30 (1H, d, J = 12.4 Hz, one of C9-OCH2O), 5.39 (1H, q, J = 6.9 Hz, C1-H), 7.06 (1H, dd, J = 7.8, 0.9 Hz, C8-H), 7.30 (1H, dd, J = 8.2, 7.8 Hz, C7-H), 7.35 (1H, s, C5-H), 7.40 (1H, dd, J = 8.2, 0.9 Hz, C6-H). 13C-NMR (100 MHz, CDCl3) δ: 20.4, 34.4, 37.7, 56.5, 57.6, 61.4, 67.1, 69.4, 96.1, 101.7, 110.8, 118.8, 122.13, 123.7, 125.7, 130.3, 132.2, 136.0, 148.8, 152.5. HRESIMS m/z 363.1801 (calcd for C20H27O6: 363.1808). [α ] D 25 -196 (c 0.5, CHCl3).
(1R,3S)-{9,10-Bis(methoxymethoxy)-3,4-dihydro-1-methyl-1H-naphtho[2,3-c]pyran-3-yl}acetic acid (40). To a solution of 39 (16 mg, 0.043 mmol) in CH2Cl2 (0.2 mL), PIDA (21 mg, 0.064 mmol) was added at rt. After 5 min, TEMPO (1 mg, 0.0064 mmol) was added at rt, and the whole was stirred at rt for 14 h. Then, 5% aqueous Na2S2O3 (1.5 mL) was added, and the whole was extracted with CHCl3 (4 mL × 5 mL). Combined organic layer was washed with brine (1 mL × 5 mL) and dried over Na2SO4. Solvent was evaporated in vacuo, to give a yellow oil (19 mg). The residue was dissolved in acetone (0.25 mL), t-BuOH (0.51 mL), and H2O (0.12 mL). 2-Methyl-2-butene (0.13 mL, 1.23 mmol), NaH2PO4·2H2O (29 mg, 0.19 mmol), and NaClO2 (10 mg, 0.11 mmol) was successively added in each 10 min, and the whole was stirred at rt for 1 h. 5% HCl (0.3 mL) was added, and the whole was extracted with CHCl3 (4 mL × 5 mL). Combined organic layer was washed with brine (1 mL × 5 mL) and dried over Na2SO4. Solvent was evaporated in vacuo, and the residue was purified by CC (CHCl3–MeOH = 60:40) to give 40 as a yellow oil (11 mg, 65%). IR (ATR) νmax cm−1: 3500–2800 (O-H), 1711 (C=O). 1H-NMR (400 MHz, CDCl3) δ: 1.68 (3H, d, J = 6.9 Hz, C1-CH3), 2.70 (2H, brs, C4-H2), 2.85–2.98 (2H, m, C1′-H), 3.56 (3H, s, OCH3), 3.59 (3H, s, OCH3), 4.48 (1H, brs, C3-H), 4.99 (1H, d, J = 6.4 Hz, one of C10-OCH2O), 5.21 (1H, d, J = 6.4 Hz, one of C10-OCH2O), 5.27 (1H, d, J = 11.4 Hz, one of C9-OCH2O), 5.29 (1H, d, J = 11.4 Hz, one of C9-OCH2O), 5.59 (1H, q, J = 6.4 Hz, C1-H), 7.05 (1H, d, J = 7.8 Hz, C8-H), 7.28 (1H, dd, J = 7.8, 7.8 Hz, C7-H), 7.33 (1H, s, C5-H), 7.37 (1H, d, J = 7.8 Hz, C6-H). 13C-NMR (100 MHz, CDCl3) δ: 20.1, 33.7, 41.0, 56.5, 57.5, 63.8, 69.8, 96.0, 101.7, 110.8, 118.9, 122.2, 123.8, 125.8, 130.0, 131.4, 136.0, 148.8, 152.5, 175.3. HRESIMS m/z 377.1616 (calcd for C20H25O7: 377.1600). [α ] D 25 − 144.0 (c 1.1, CHCl3).
(1R,3S)-(3,4-Dihydro-10-hydroxy-9-methoxymethoxy-1-methyl-1H-naphtho[2,3-c]pyran-3-yl)acetic acid (41) and (1R,3S)-(3,4-Dihydro-9,10-dihydroxy-1-methyl-1H-naphtho[2,3-c]pyran-3-yl)acetic acid (DDHK, 3). To a solution of 40 (23 mg, 0.061 mmol) in THF (1 mL), 6 M HCl (0.1 mL) was added, and the whole was stirred at 50 °C for 20 min. After cooling to rt, CH2Cl2 (3 mL) was added, and the whole was washed with H2O (1 mL × 2 mL). Aqueous layer was extracted with CH2Cl2 (1 mL × 3 mL). The combined organic layer was washed with brine (1 mL × 2 mL) and dried over Na2SO4. Solvent was evaporated in vacuo, and the residue was purified by CC (CHCl3–MeOH = 97:3–90:10) to give 41 as a brown oil (14 mg. 71%) and 3 as a brown oil (5 mg, 27%). 41: IR (ATR) νmax cm−1: 3390 (O-H), 1709 (C=O). 1H-NMR (400 MHz, CDCl3) δ: 1.65 (3H, d, J = 6.6 Hz, C1-CH3), 2.73 (2H, d, J = 6.2 Hz, two of C4 or C1′-H2), 2.87 (1H, dd, J = 15.8, 10.5 Hz, one of C4 or C1′-H2), 2.96 (1H, dd, J = 16.4, 3.2 Hz, one of C4 or C1′-H2), 3.59 (3H, s, OCH3), 4.47–4.54 (1H, m, C3-H), 5.43 (1H, q, J = 6.4 Hz, C1-H), 5.44 (2H, s, C9-OCH2O), 6.98 (1H, d, J = 7.3 Hz, C8-H), 7.09 (1H, s, C5-H), 7.24 (1H, dd, J = 8.2, 7.8 Hz, C7-H), 7.36 (1H, d, J = 8.2 Hz, C6-H), 9.56 (1H, s, OH). 13C-NMR (100 MHz, CDCl3) δ: 18.9, 33.9, 40.5, 56.9, 63.9, 69.5, 95.8, 107.2, 113.7, 117.8, 120.6, 122.1, 125.6, 132.0, 135.1, 149.1, 153.6, 173.1. HRESIMS m/z 333.1335 (calcd. for C18H21O6: 333.1338). [α ] D 25 + 10.6 (c 0.3, CHCl3). 3: IR (ATR) νmax cm−1: 2924 (O-H), 1712 (C=O). 1H-NMR (400 MHz, CD3OD) δ: 1.49 (3H, d, J = 6.4 Hz, C1-CH3), 2.45 (1H, dd, J = 15.3, 8.2 Hz, one of C4-H2), 2.52 (1H, dd, J = 15.3, 4.8 Hz, C4-H2), 2.65 (1H, dd, J = 15.8, 10.1 Hz, one of C1′-H2), 2.84 (1H, dd, J = 15.8, 3.2 Hz, one of C1′-H2), 4.34–4.43 (1H, m, C3-H), 5.16 (1H, q, J = 6.6 Hz, C1-H), 6.53 (1H, dd, J = 7.6, 0.9 Hz, C8-H), 6.92 (1H, s, C5-H), 7.03 (1H, dd, J = 8.2, 7.6 Hz, C7-H), 7.09 (1H, d, J = 8.2 Hz, C6-H). 13C-NMR (125 MHz, CD3OD) δ: 19.4, 35.1, 42.0, 65.7, 70.2, 108.2, 114.6, 120.6, 120.8, 126.8, 133.7, 136.9, 151.0, 154.6, 174.9. HRESIMS m/z 289.1082 (calcd for C16H17O5: 289.1076). [α ] D 25 + 30.9 (c 0.2, MeOH).
Transformation of MOM ether 41 to DDHK (3). To a solution of 41 (5 mg, 0.016 mmol) in CH2Cl2 (0.4 mL), BCl3 (1.0 M in CH2Cl2, 0.05 mL, 0.05 mmol) was added at −78 °C, and the mixture was stirred at −78 °C for 45 min. H2O (1.3 mL) was added, and the whole was extracted with AcOEt (1 mL × 10 mL, 3 mL × 5 mL). The combined organic layer was washed with brine (1 mL × 5 mL) and was dried over Na2SO4. The solvent was evaporated in vacuo, and the residue was purified by CC (CHCl3–MeOH = 9:1) to give 3 as a yellow oil (3 mg, 69%). The physical properties of 3 obtained here were identical with those prepared as described above.
Semisynthesis of DDHK (3) and epi-DDHK (7) from (S)-DNPA (6). To a solution of (S)-DNPA (6) (2 mg, 6.3 x 10–3 mmol) in MeOH (0.2 mL), NaBH4 (2.5 mg, 6.8 × 10−2 mmol) was added at 0 °C, and the mixture was stirred at 0 °C for 10 min. The solvent was evaporated in vacuo, and the residue was partitioned with AcOEt (1 mL) and 10% HCl (0.5 mL). Aqueous layer was extracted with AcOEt (2 mL × 1 mL). Combined organic layer was washed with brine (1 mL × 1 mL) and dried over Na2SO4. The solvent was evaporated in vacuo. The residue was purified by RP HPLC (Cosmosil AR-II, 26 mm × 250 mm, CH3OH-H2O 2:1, 2 mL/min) to give DDHK (3) (0.5 mg, 28%) and epi-DDHK (7) (0.4 mg, 22%).

4. Conclusions

In conclusion, we have accomplished the first total synthesis of DDHK (3) and its epimer epi-DDHK (7). Et3SiH reduction of tricyclic hemiacetal 22 afforded benzoisochromane 23 with 1,3-cis stereochemistry, which was converted to epi-DDHK (7) through an oxidation/deprotection sequence. Although several trials using silane reagents did not deliver any reduction products, stereoselective reduction was further examined for bicyclic acetal 38. AlH3 reduction of the bis-MOM-protected bicyclic acetal 38 yielded the 1,3-trans isomer 39 as the major product, which was finally transformed to DDHK (3). In addition, DDHK (3) and epi-DDHK (7) were accessed by a semisynthetic approach based on the reduction of (S)-DNPA (6), and the obtained products were identified by comparison of their spectral data with those of the synthetic compounds. The semisynthetic DDHK (3) obtained by this method has been applied to study the biosynthesis of ACT (1) and clarify the long-standing ambiguity regarding the role of the converting enzyme system ActVA-ORF5/ActVB in the C-6 and C-8 hydroxylation [3] of DDHK (3) by in vitro enzymatic analysis [5]. These compounds are also anticipated to serve as useful reference samples for preparing stereoisomers of DDHK from (R)-DNPA, a biosynthetic precursor of nanaomycin A (9), and they are expected to enable further elucidation of the biosynthetic pathways of other BIQ antibiotics with different stereochemical configurations [35,36].

Supplementary Materials

NMR spectra of synthesized compounds are available online.

Author Contributions

Conceptualization, T.K., T.T. and K.I.; data curation, T.K.; funding acquisition, T.K. and K.I.; investigation, T.K., M.K., A.T., Y.M., K.K., T.T. and K.I.; methodology, T.K., T.T. and K.I.; project administration, T.K. and K.I.; resources, T.K., T.T. and K.I.; supervision, T.K. and K.K.; validation, T.K., K.K., T.T. and K.I.; visualization, T.K.; writing—original draft preparation, T.K.; writing—review and editing, T.K., K.K., T.T. and K.I. All authors have read and agreed to the published version of the manuscript.

Funding

This research was supported by Grant-in-Aid for Scientific Research (B) 19H03385.

Institutional Review Board Statement

Not applicable.

Informed Consent Statement

Not applicable.

Data Availability Statement

Data are contained within the article or Supplementary Materials.

Acknowledgments

We thank Ms. Tomoko Amimoto, the Natural Science Center for Basic Research and Development (N-BARD), Hiroshima University for the measurement of HRESIMS.

Conflicts of Interest

The authors declare no conflict of interest.

Sample Availability

Not applicable.

References and Notes

  1. Brockmann, H.; Pini, H. Actinorhodin, Ein Roter Farbstoff aus Actinomyceten. Naturwissenschaften 1947, 34, 190. [Google Scholar] [CrossRef]
  2. Bentley, S.D.; Chater, K.F.; Cerdeño-Tárraga, A.-M.; Challis, G.L.; Thomson, N.R.; James, K.D.; Harris, D.E.; Quail, M.A.; Kieser, H.; Harper, D.; et al. Complete genome sequence of the model actinomycete Streptomyces coelicolor A3 (2). Nature 2002, 417, 141–147. [Google Scholar] [CrossRef]
  3. The numbering in the Introduction and Conclusion sections is based on that of bicyclic intermediate 2.
  4. Okamoto, S.; Taguchi, T.; Ochi, K.; Ichinose, K. Biosynthesis of actinorhodin and related antibiotics: Discovery of alternative routes for quinone formation encoded in the Act gene cluster. Chem. Biol. 2009, 16, 226–236. [Google Scholar] [CrossRef] [PubMed]
  5. Hashimoto, M.; Taguchi, T.; Ishikawa, K.; Mori, R.; Hotta, A.; Watari, S.; Katakawa, K.; Kumamoto, T.; Okamoto, S.; Ichinose, K. Unveiling two consecutive hydroxylations: Mechanisms of aromatic hydroxylations catalyzed by flavin-dependent monooxygenases for the biosynthesis of actinorhodin and related antibiotics. ChemBioChem 2020, 21, 623–627. [Google Scholar] [CrossRef] [PubMed]
  6. In the following, the numbering of DDHK (3) and related compounds is based on that of benzoisochromane with the oxygen in the 2 position.
  7. For the synthesis of nanaomycin A.
  8. Li, T.-T.; Ellison, R.H. Stereoselective Total Synthesis of Racemic Kalafungin and Nanaomycin A. J. Am. Chem. Soc. 1978, 100, 6263–6265. [Google Scholar] [CrossRef]
  9. Ichihara, A.; Ubukata, M.; Oikawa, H.; Murakami, K.; Sakamura, S. Total synthesis of (±)-nanaomycin A and (±)-frenolicin. Tetrahedron Lett. 1980, 21, 4469–4472. [Google Scholar] [CrossRef]
  10. Kometani, T.; Takeuchi, Y.; Yoshii, E. Pyranonaphthoquinone antibiotics. part 2. Syntheses of (±)-nanaomycin A and (±)-eleutherins. J. Chem. Soc. Perkin Trans. 1 1981, 1197–1202. [Google Scholar] [CrossRef]
  11. Naruta, Y.; Uno, H.; Maruyama, K. New synthetic approach to pyranonaphthoquinone antibiotics, (±)-nanaomycin a and (±)-deoxyfrenolicin. Chem. Lett. 1982, 11, 609–612. [Google Scholar] [CrossRef]
  12. Kometani, T.; Takeuchi, Y.; Yoshii, E. An efficient synthetic route to (±)-nanaomycin A. J. Org. Chem. 1983, 48, 2630–2632. [Google Scholar] [CrossRef]
  13. Uno, H. Allylation of 2-Alkanoyl 1,4-quinones with allylsilanes and allylstannanes. Efficient synthesis of pyranonaphthoquinone antibiotics. J. Org. Chem. 1986, 51, 350–358. [Google Scholar] [CrossRef]
  14. Kraus, G.A.; Molina, M.T.; Walling, J.A. Reduction of cyclic hemiacetals. The synthesis of demethoxyeleutherin and nanaomycin A. J. Chem. Soc. Chem. Commun. 1986, 85, 1568. [Google Scholar] [CrossRef]
  15. Kraus, G.A.; Molina, M.T.; Walling, J.A. Synthesis of deoxyfrenolicin and nanaomycin A. J. Org. Chem. 1987, 52, 1273–1276. [Google Scholar] [CrossRef]
  16. Yamaguchi, M.; Nakamura, S.; Okuma, T.; Minami, T. A Biomimetic synthesis of (±)-nanaomycin A. Tetrahedron Lett. 1990, 31, 3913–3916. [Google Scholar] [CrossRef]
  17. Brimble, M.A.; Lynds, S.M. A Short Synthesis of deoxyfrenolicin. J. Chem. Soc. Perkin Trans. 1 1994, 493–496. [Google Scholar] [CrossRef]
  18. For kalafungin synthesis.
  19. Tatsuta, K.; Akimoto, K.; Ninaka, M.; Ohno, Y.; Inoshita, M. Enantiodivergent total syntheses of (-)-nanaomycin D and its enantiomer, (+)-kalafungin. J. Antibiot. 1985, 38, 680–682. [Google Scholar] [CrossRef][Green Version]
  20. Tatsuta, K.; Akimoto, K.; Annaka, M.; Ohno, Y.; Kinoshita, M. Enantiodivergent total syntheses of nanaomycins and their enantiomers, kalafungins. Bull. Chem. Soc. Jpn. 1985, 58, 1699–1706. [Google Scholar] [CrossRef]
  21. Fernandes, R.A.; Brückner, R. Efficient synthesis of (+)-kalafungin and (-)-nanaomycin D by asymmetric dihydroxylation, oxa-Pictet-Spengler cyclization, and H2SO4-mediated isomerization. Synlett 2005, 1281–1285. [Google Scholar] [CrossRef]
  22. Donner, C.D. Total synthesis of (+)-kalafungin using a tandem Michael–Dieckmann approach. Tetrahedron Lett. 2007, 48, 8888–8890. [Google Scholar] [CrossRef]
  23. Fernandes, R.A.; Chavan, V.P.; Mulay, S.V.; Manchoju, A. A Chiron Approach to the Total Synthesis of (-)-Juglomycin A, (+)-Kalafungin, (+)-Frenolicin B, and (+)-Deoxyfrenolicin. J. Org. Chem. 2012, 77, 10455–10460. [Google Scholar] [CrossRef] [PubMed]
  24. Donner, C.D. The Divergent Asymmetric Synthesis of Kalafungin, 5-Epi-Frenolicin B and Related Pyranonaphthoquinone Antibiotics. Tetrahedron 2013, 69, 377–386. [Google Scholar] [CrossRef]
  25. Hassan, N.P.S.; Naysmith, B.J.; Sperry, J.; Brimble, M.A. Formal synthesis of nanaomycin D via a Hauser–Kraus annulation using a chiral enone-lactone. Tetrahedron 2015, 71, 7137–7143. [Google Scholar] [CrossRef]
  26. Zhang, Q.; O′Doherty, G.A. De Novo asymmetric synthesis of (-)-nanaomycin A. Tetrahedron 2018, 74, 4994–4999. [Google Scholar] [CrossRef]
  27. Ninomiya, M.; Ando, Y.; Kudo, F.; Ohmori, K.; Suzuki, K. Total synthesis of actinorhodin. Angew. Chem. Int. Ed. 2019, 58, 4264–4270. [Google Scholar] [CrossRef]
  28. Ando, Y.; Fukazawa, T.; Ohmori, K.; Suzuki, K. Model study toward total synthesis of dimeric pyranonaphthoquinones: Synthesis of hemi-actinorhodin. Bull. Chem. Soc. Jpn. 2021, 94, 1364–1376. [Google Scholar] [CrossRef]
  29. Evans, G.E.; Leeper, F.J.; Murphy, J.A.; Staunton, J. Triacetic Acid Lactone as a Polyketide Synthon: Synthesis of Toralactone and Polyketide-Type Anthracene Derivatives. J. Chem. Soc. Chem. Commun. 1979, 5, 205–206. [Google Scholar] [CrossRef]
  30. Dodd, J.H.; Weinreb, S.M. Synthesis of the Carbon Framework of Olivin. Tetrahedron Lett. 1979, 20, 3593–3596. [Google Scholar] [CrossRef]
  31. Volkmann, R.A.; Kelbaugh, P.R.; Nason, D.M.; Jasys, V.J. 2-Thioalkyl Penems: An Efficient Synthesis of Sulopenem, a (5R,6S)-6-(1(R)-Hydroxyethyl)-2-[(cis-1-Oxo-3-Thiolanyl)Thio]-2-Penem Antibacterial. J. Org. Chem. 1992, 57, 4352–4361. [Google Scholar] [CrossRef]
  32. Haga, R.; Burschka, C.; Tacke, R. Syntheses, Structures, and Reactions of 2,2,3,3-Tetrakis(Trifluoromethanesulfonato)Tetrasilanes: Hexacoordination ([4 + 2] Coordination) of the Two Central Silicon Atoms. Organometallics 2008, 27, 4395–4400. [Google Scholar] [CrossRef]
  33. Ishihara, K.; Mori, A.; Yamamoto, H. Stereoselective Reduction of Bicyclic Acetals. A Method for Reductive Generation of Heterocyclic Ring Systems. Tetrahedron Lett. 1987, 28, 6613–6616. [Google Scholar] [CrossRef]
  34. Taguchi, T.; Itou, K.; Ebizuka, Y.; Malpaltida, F.; Hopwood, D.A.; Surti, C.M.; Booker-Milburn, K.I.; Stephenson, G.R.; Ichinose, K. Chemical characterisation of disruptants of the Streptomyces coelicolor A3 (2) actVI genes involved in actinorhodin biosynthesis. J. Antibiot. 2000, 53, 144–152. [Google Scholar] [CrossRef]
  35. Metsä-Ketelä, M.; Terhi, O.; Taguchi, T.; Okamoto, S.; Ichinose, K. Biosynthesis of Pyranonaphthoquinone Polyketides Reveals Diverse Strategies for Enzymatic Carbon–Carbon Bond Formation. Curr. Opin. Chem. Biol. 2013, 17, 562–570. [Google Scholar] [CrossRef] [PubMed]
  36. Taguchi, T.; Ebizuka, Y.; Hopwood, D.A.; Ichinose, K. A New Mode of Stereochemical Control Revealed by Analysis of the Biosynthesis of Dihydrogranaticin in Streptomyces violaceoruber Tü22. J. Am. Chem. Soc. 2001, 123, 11376–11380. [Google Scholar] [CrossRef] [PubMed]
Scheme 1. Biosynthetic pathway of ACT (1) via (S)-DNPA (6) and DDHK (3). The atom numbering is based on that of the benzoisochromane skeleton. For the numbering in parentheses, see reference [3].
Scheme 1. Biosynthetic pathway of ACT (1) via (S)-DNPA (6) and DDHK (3). The atom numbering is based on that of the benzoisochromane skeleton. For the numbering in parentheses, see reference [3].
Molecules 26 06397 sch001
Scheme 2. (ac) Previous examples of constructing benzoisochromanes with 1,3-trans stereochemistry and (d) retrosynthesis in this study.
Scheme 2. (ac) Previous examples of constructing benzoisochromanes with 1,3-trans stereochemistry and (d) retrosynthesis in this study.
Molecules 26 06397 sch002
Scheme 3. Construction of tricyclic lactone 21 and synthesis of epi-DDHK (7).
Scheme 3. Construction of tricyclic lactone 21 and synthesis of epi-DDHK (7).
Molecules 26 06397 sch003
Scheme 4. Trials for alternative silane reduction.
Scheme 4. Trials for alternative silane reduction.
Molecules 26 06397 sch004
Scheme 5. (a) Reported generation of bicyclic acetal 35 and NaBH4 reduction by Donner et al. [24] and (b) conversion of lactone 21 to bicyclic acetals 33 and 38.
Scheme 5. (a) Reported generation of bicyclic acetal 35 and NaBH4 reduction by Donner et al. [24] and (b) conversion of lactone 21 to bicyclic acetals 33 and 38.
Molecules 26 06397 sch005
Scheme 6. Transformation of alcohol 39 to DDHK (3).
Scheme 6. Transformation of alcohol 39 to DDHK (3).
Molecules 26 06397 sch006
Scheme 7. Semisynthesis of DDHK (3) and epi-DDHK (7) from (S)-DNPA (6).
Scheme 7. Semisynthesis of DDHK (3) and epi-DDHK (7) from (S)-DNPA (6).
Molecules 26 06397 sch007
Figure 1. 1H-NMR spectra (CD3OD, 400 MHz) of synthetic and semisynthetic (a) DDHK (3) and (b) epi-DDHK (7). Top: synthetic; bottom: semisynthetic.
Figure 1. 1H-NMR spectra (CD3OD, 400 MHz) of synthetic and semisynthetic (a) DDHK (3) and (b) epi-DDHK (7). Top: synthetic; bottom: semisynthetic.
Molecules 26 06397 g001
Table 1. Diastereoselective reduction trials of bicyclic acetal 38 to trans (39) and cis (26) benzoisochromanes.
Table 1. Diastereoselective reduction trials of bicyclic acetal 38 to trans (39) and cis (26) benzoisochromanes.
Molecules 26 06397 i001
Run[H] (eq)Additive (eq)SolventConditions39/26Isolated Yield (%)
3926
1NaBH3CN (4.4)10% HCl (1.2)CH3OHrt, 15 min19:811369
2BH3THF (4.0)noneTHF−45 °C, 2 h; −20 °C, 1 h;
rt, 41 h
26:74--
3DIBAL-H (5)noneCH2Cl2−78 °C, 3.5 h53:47--
4DIBAL-H (5)noneEt2O−78 °C, 30 h8:92--
5DIBAL-H (10)noneTHF−45 °C, 71 h; −20 °C, 20 h61:395526
6AlH3 (4)noneEt2O−78 °C, 28 h76:24103
7AlH3 (4)noneEt2O−60 °C, 21 h75:255011
8AlH3 (4)noneEt2O−60 °C, 68 h71:29509
Publisher’s Note: MDPI stays neutral with regard to jurisdictional claims in published maps and institutional affiliations.

Share and Cite

MDPI and ACS Style

Kumamoto, T.; Kainuma, M.; Takahashi, A.; Matsuo, Y.; Katakawa, K.; Taguchi, T.; Ichinose, K. Total Synthesis of 6-Deoxydihydrokalafungin, a Key Biosynthetic Precursor of Actinorhodin, and Its Epimer. Molecules 2021, 26, 6397. https://doi.org/10.3390/molecules26216397

AMA Style

Kumamoto T, Kainuma M, Takahashi A, Matsuo Y, Katakawa K, Taguchi T, Ichinose K. Total Synthesis of 6-Deoxydihydrokalafungin, a Key Biosynthetic Precursor of Actinorhodin, and Its Epimer. Molecules. 2021; 26(21):6397. https://doi.org/10.3390/molecules26216397

Chicago/Turabian Style

Kumamoto, Takuya, Mika Kainuma, Azusa Takahashi, Yoshika Matsuo, Kazuaki Katakawa, Takaaki Taguchi, and Koji Ichinose. 2021. "Total Synthesis of 6-Deoxydihydrokalafungin, a Key Biosynthetic Precursor of Actinorhodin, and Its Epimer" Molecules 26, no. 21: 6397. https://doi.org/10.3390/molecules26216397

APA Style

Kumamoto, T., Kainuma, M., Takahashi, A., Matsuo, Y., Katakawa, K., Taguchi, T., & Ichinose, K. (2021). Total Synthesis of 6-Deoxydihydrokalafungin, a Key Biosynthetic Precursor of Actinorhodin, and Its Epimer. Molecules, 26(21), 6397. https://doi.org/10.3390/molecules26216397

Article Metrics

Back to TopTop