Synthesis of Calcium Silicate Hydrate from Coal Gangue for Cr(VI) and Cu(II) Removal from Aqueous Solution
Abstract
1. Introduction
2. Results and Discussion
2.1. Characterization of CG
2.2. Optimization of the Synthesis Process
2.2.1. Effect of Calcination Temperature onto C-S-H
2.2.2. Effect of Calcination Time onto C-S-H
2.2.3. Effect of Ca/Si Ratio onto C-S-H
2.3. Cr(VI) and Cu(II) Adsorption onto C-S-H
2.3.1. Effect of pH
2.3.2. Effect of C-S-H Dosage and Initial Sorbent Concentration
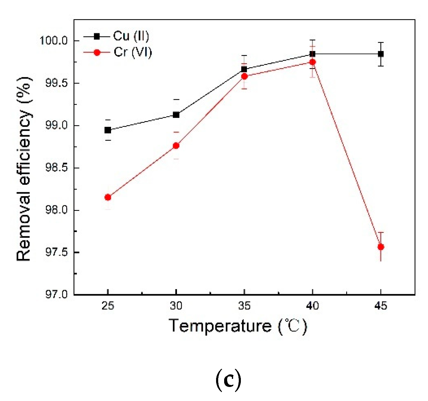
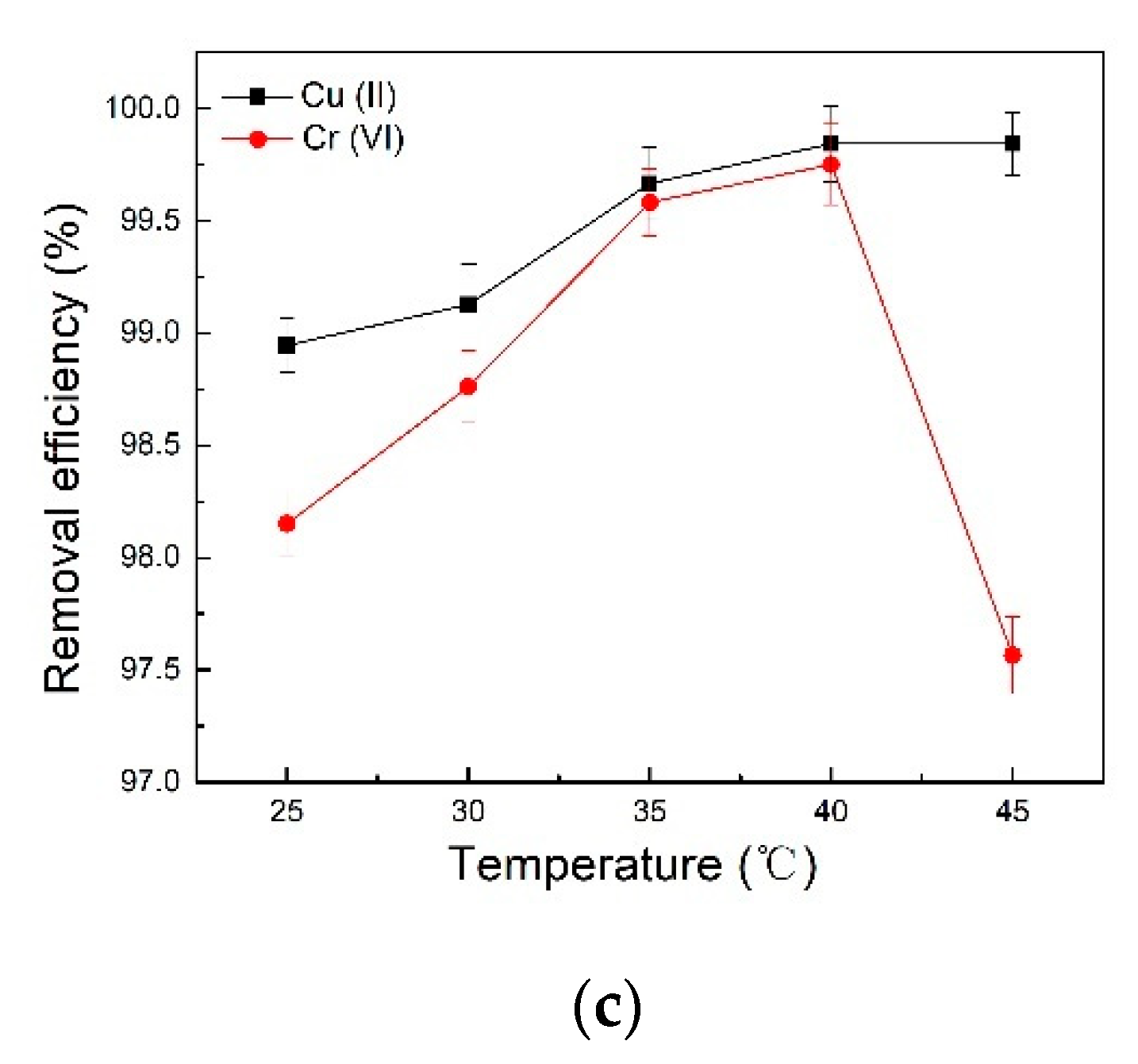
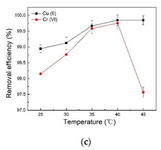
2.3.3. Effect of Temperature
2.3.4. Adsorption Isotherm
2.3.5. Adsorption Kinetics and Intra-Particle Diffusion Analysis
2.3.6. Adsorption Thermodynamics
2.3.7. Recycling and Regeneration Performance
2.3.8. Cu(II) and Cr(VI) Removal from Aqueous Solution
2.3.9. Adsorption Mechanism
3. Materials and Methods
3.1. Study Area and Raw Materials
3.2. Synthesis of C-S-H
3.3. Characterization
3.4. Batch Adsorption Experiments
3.5. Recycling and Regeneration Performance
4. Conclusions
Supplementary Materials
Author Contributions
Funding
Institutional Review Board Statement
Informed Consent Statement
Data Availability Statement
Acknowledgments
Conflicts of Interest
Sample Availability
References
- Wei, F.; Zhang, X.; Xu, J.; Bing, J.; Pan, G. Simulation of water resource allocation for sustainable urban development: An integrated optimization approach. J. Clean. Prod. 2020, 273, 122537. [Google Scholar] [CrossRef]
- Wei, Y.; Fan, Z.J.; Sun, L.; Liu, G.J. Study on Sustainable Utilization of Water Resources in Coal Mining Subsidence Area: A Case Study in Huainan City. J. Minzu Univ. China 2016, 25, 10–14. [Google Scholar]
- Chen, G.; Wang, X.; Wang, R.; Liu, G. Health risk assessment of potentially harmful elements in subsidence water bodies using a Monte Carlo approach: An example from the Huainan coal mining area, China. Ecotoxicol. Environ. Saf. 2019, 171, 737–745. [Google Scholar] [CrossRef] [PubMed]
- Guan, Q.; Gao, K.; Ning, P.; Miao, R.; He, L. Value-added utilization of paper sludge: Preparing activated carbon for efficient adsorption of Cr(VI) and further hydrogenation of furfural. Sci. Total Environ. 2020, 741, 140265. [Google Scholar] [CrossRef]
- Zhao, L.X.; Liang, J.L.; Li, N.; Xiao, H.; Chen, L.Z.; Ru-Song, Z. Kinetic, thermodynamic and isotherm investigations of Cu2+ and Zn2+ adsorption on Li-Al hydrotalcite-like compound. Sci. Total Environ. 2020, 716, 137120. [Google Scholar] [CrossRef]
- Habibi, S.; Nematollahzadeh, A.; Mousavi, S.A. Nano-scale modification of polysulfone membrane matrix and the surface for the separation of chromium ions from water. Chem. Eng. J. 2015, 267, 306–316. [Google Scholar] [CrossRef]
- Kazemi, M.; Jahanshahi, M.; Peyravi, M. Chitosan-sodium alginate multilayer membrane developed by Fe0@WO3 nanoparticles: Photocatalytic removal of hexavalent chromium. Carbohydr. Polym. 2018, 198, 164–174. [Google Scholar] [CrossRef]
- Lv, X.; Hu, Y.; Tang, J.; Sheng, T.; Jiang, G. Effects of co-existing ions and natural organic matter on removal of chromium (VI) from aqueous solution by nanoscale zero valent iron (nZVI)-Fe3O4 nanocomposites. Chem. Eng. J. 2013, 218, 55–64. [Google Scholar] [CrossRef]
- Mikhaylov, V.I.; Krivoshapkina, E.; Trigub, A.L.; Stalugin, V.V.; Krivoshapkin, P.V. Detection and Adsorption of Cr(VI) ions by Mesoporous Fe-Alumina Films. ACS Sustain. Chem. Eng. 2018, 6, 9283–9292. [Google Scholar] [CrossRef]
- Noah, N.; Sulaiman, R.; Othman, N.; Jusoh, N.; Rosly, M.B. Extractive continuous extractor for chromium recovery: Chromium (VI) reduction to chromium (III) in sustainable emulsion liquid membrane process. J. Clean. Prod. 2019, 247, 119167. [Google Scholar] [CrossRef]
- Di, P.L.; Gueye, M.T.; Petrucci, E. Hexavalent chromium reduction in contaminated soil: A comparison between ferrous sulphate and nanoscale zero-valent iron. J. Hazard. Mater. 2015, 281, 70–76. [Google Scholar]
- Wang, W.; Li, M.; Zeng, Q. Adsorption of chromium (VI) by strong alkaline anion exchange fiber in a fixed-bed column: Experiments and models fitting and evaluating. Sep. Purif. Technol. 2015, 149, 16–23. [Google Scholar] [CrossRef]
- Yang, X.; Lü, H.; Huang, A.C.; Deng, J.; Shu, C.M. A new numerical method to predict the growth temperature of spontaneous combustion of 1/3 coking coal. Appl. Thermal Eng. 2017, 131, 221–229. [Google Scholar]
- Yang, Y.; Rui, G.; Yue, H.; Liu, X.; Li, G.; Nan, S. Polycyclic aromatic hydrocarbon (PAH)-containing soils from coal gangue stacking areas contribute to epithelial to mesenchymal transition (EMT) modulation on cancer cell metastasis. Sci. Total Environ. 2017, 580, 632–640. [Google Scholar] [CrossRef] [PubMed]
- Lin-Han, G.E.; Hui, D.U.; Zhou, C.X. Harmfulness of Coal Gangue and it’s Recycling Utilization and Development Trend. Coal Technol. 2010, 29, 9–11. [Google Scholar]
- Li, J.; Wang, J. Comprehensive utilization and environmental risks of coal gangue: A review. J. Clean. Prod. 2019, 239, 117946. [Google Scholar] [CrossRef]
- Font, O.; Cordoba, P.; Leiva, C.; Romeo, L.M.; Bolea, I.; Guedea, I.; Moreno, N.; Querol, X.; Fernandez, C.; Diez, L.I. Fate and abatement of mercury and other trace elements in a coal fluidised bed oxy combustion pilot plant. Fuel 2012, 95, 272–281. [Google Scholar] [CrossRef]
- Tang, S.Y.; Jiang, Y.J.; Chen, J.; Wang, X.P.; Wang, Y.Q. Major physical characteristics of gangue and feasible analysis for the application in cultivation matrix. Agric. Res. Arid Areas. 2014, 32, 209–213. [Google Scholar]
- Kang, S.; Lee, J.; Park, S.M.; Alessi, D.S.; Baek, K. Adsorption Characteristics of Cesium onto Calcium-Silicate-Hydrate in Concrete Powder and Block. Chemosphere 2020, 259, 127494. [Google Scholar] [CrossRef]
- Zhao, Y.; Hui, C.; Yan, Q. Enhanced phosphate removal during the simultaneous adsorption of phosphate and Ni2+ from electroless nickel wastewater by calcium silicate hydrate (CSH). Environ. Technol. Innov. 2017, 8, 141–149. [Google Scholar] [CrossRef]
- Akono, A.T. Effect of nano-TiO2 on C–S–H phase distribution within Portland cement paste. J. Mater. Sci. 2020, 25, 11106–11119. [Google Scholar] [CrossRef]
- Millán-Corrales, G.; González-López, J.R.; Palomo, A.; Fernandez-Jiménez, A. Replacing fly ash with limestone dust in hybrid cements. Constr. Build. Mater. 2020, 243, 118169. [Google Scholar] [CrossRef]
- Nedunuri, S.; Sertse, S.G.; Muhammad, S. Microstructural study of Portland cement partially replaced with fly ash, ground granulated blast furnace slag and silica fume as determined by pozzolanic activity. Constr. Build. Mater. 2020, 238, 117561. [Google Scholar] [CrossRef]
- Evi, A.S. A huge number of artificial waste material can be supplementary cementitious material (SCM) for concrete production—A review part II. J. Clean. Prod. 2016, 142, 4178–4194. [Google Scholar]
- White, C.E.; Provis, J.L.; Proffen, T.; Riley, D.P.; Deventer, J.V. Density Functional Modeling of the Local Structure of Kaolinite Subjected to Thermal Dehydroxylation. J. Phys. Chem. A 2010, 114, 4988. [Google Scholar] [CrossRef]
- Siddique, R.; Klaus, J. Influence of metakaolin on the properties of mortar and concrete: A review. Appl. Clay Sci. 2009, 43, 392–400. [Google Scholar] [CrossRef]
- Zhang, D.; Ren, F. Basic Mechanical Property of a New Coal Gangue Concrete. Met. Mine 2017, 2, 178–183. [Google Scholar]
- Zhou, C.; Liu, G.; Wu, S.; Lam, P. The environmental characteristics of usage of coal gangue in bricking-making: A case study at Huainan, China. Chemosphere 2014, 95, 274–280. [Google Scholar] [CrossRef]
- Konan, K.L.; Peyratout, C.; Smith, A.; Bonnet, J.P.; Rossignol, S.; Oyetola, S. Comparison of surface properties between kaolin and metakaolin in concentrated lime solutions. J. Colloid Interface Sci. 2009, 339, 103–109. [Google Scholar] [CrossRef] [PubMed]
- Brindley, G.W.; Nakahira, M. A New Concept of the Transformation Sequence of Kaolinite to Mullite. Nature 1958, 181, 1333–1334. [Google Scholar] [CrossRef]
- Bich, C.; Ambroise, J.; Pera, J. Influence of degree of dehydroxylation on the pozzolanic activity of metakaolin. Appl. Clay Sci. 2009, 44, 194–200. [Google Scholar] [CrossRef]
- Fitos, M.; Badogiannis, E.G.; Tsivilis, S.G.; Perraki, M. Pozzolanic activity of thermally and mechanically treated kaolins of hydrothermal origin. Appl. Clay Sci. 2015, 116, 182–192. [Google Scholar] [CrossRef]
- Guo, W.; Dongxu, L.I.; Chen, J.; Yang, N. Rapid evaluation method of the pozzolanic reactive activity of coal gangue. J. Chin. Ceram. Soc. 2007, 35, 489–494. [Google Scholar]
- Lothenbach, B.; Nonat, A. Calcium silicate hydrates: Solid and liquid phase composition. Cem. Concr. Res. 2015, 78, 57–70. [Google Scholar] [CrossRef]
- Nonat, A. The structure and stoichiometry of C-S-H. Cem. Concr. Res. 2004, 34, 1521–1528. [Google Scholar]
- Kapeluszna, E.; Kotwica, L.; Rozycka, A.; Golek, L. Incorporation of Al in C-A-S-H gels with various Ca/Si and Al/Si ratio: Microstructural and structural characteristics with DTA/TG, XRD, FTIR and TEM analysis. Constr. Build. Mater. 2017, 155, 643–653. [Google Scholar]
- Duque-Redondo, E.; Yamada, K.; Manzano, H. Cs retention and diffusion in C-S-H at different Ca/Si ratio. Cem. Concr. Res. 2021, 140, 106294. [Google Scholar] [CrossRef]
- Liu, X.; Feng, P.; Li, W.; Geng, G.; Hong, J. Effects of pH on the nano/micro structure of calcium silicate hydrate (C-S-H) under sulfate attack. Cem. Concr. Res. 2021, 140, 106306. [Google Scholar] [CrossRef]
- Fang, W.; Jiang, X.Y.; Luo, H.J.; Geng, J.J. Synthesis of graphene/SiO2@polypyrrole nanocomposites and their application for Cr(VI) removal in aqueous solution. Chemosphere Environ. Toxicol. Risk Assess. 2018, 197, 594–602. [Google Scholar] [CrossRef]
- Gonalves, F.J.; Gurgel, L.; Soares, L.; Teodoro, F.S.; Gil, L.F. Application of pyridine-modified chitosan derivative for simultaneous adsorption of Cu(II) and oxyanions of Cr(VI) from aqueous solution. J. Environ. Manag. 2021, 282, 111939. [Google Scholar] [CrossRef]
- Okano, K.; Miyamaru, S.; Kitao, A.; Takano, H.; Aketo, T.; Toda, M.; Honda, K.; Ohtake, H. Amorphous calcium silicate hydrates and their possible mechanism for recovering phosphate from wastewater. Sep. Purif. Technol. 2015, 144, 63–69. [Google Scholar] [CrossRef]
- Jiang, L.Y.; Ye, Q.C.; Chen, J.M.; Chen, Z.; Gu, Y.L. Preparation of magnetically recoverable bentonite-Fe3O4-MnO2 composite particles for Cd (II) removal from aqueous solutions. J. Colloid Interface Sci. 2018, 513, 748–759. [Google Scholar] [CrossRef]
- Singh, V.; Singh, J.; Mishra, V. Development of a cost-effective, recyclable and viable metal ion doped adsorbent for simultaneous adsorption and reduction of toxic Cr(VI) ions. J. Environ. Chem. Eng. 2021, 9, 105124. [Google Scholar] [CrossRef]
- Yousef, R.I.; El-Eswed, B.; Ala’a, H. Adsorption characteristics of natural zeolites as solid adsorbents for phenol removal from aqueous solutions: Kinetics, mechanism, and thermodynamics studies. Chem. Eng. J. 2011, 171, 1143–1149. [Google Scholar] [CrossRef]
- Dawood, S.; Sen, T.K. Removal of anionic dye Congo red from aqueous solution by raw pine and acid-treated pine cone powder as adsorbent: Equilibrium, thermodynamic, kinetics, mechanism and process design. Water Res. 2012, 46, 1933–1946. [Google Scholar] [CrossRef]
- ElMetwally, A.E.; Rabie, A.M.; Eshaq, G.; Mady, A.H.; Bakr, A.A. Copper ions removal from aqueous solutions by novel Ca-Al-Zn layered double hydroxides. Desalination Water Treat. Sci. Eng. 2016, 57, 12632–12643. [Google Scholar]
- Xu, Q.; Wang, Y.; Jin, L.; Wang, Y.; Qin, M. Adsorption of Cu(II), Pb (II) and Cr(VI) from aqueous solutions using black wattle tannin-immobilized nanocellulose. J. Hazard. Mater. 2017, 339, 91–99. [Google Scholar] [CrossRef] [PubMed]
- Shanthi, T.; Selvarajan, V.M. Removal of Cr(VI) and Cu(II) ions from aqueous solution by carbon prepared from henna leaves. J. Chem. 2012, 2013, 304970. [Google Scholar] [CrossRef]
- Demiral, H.; Güngör, C. Adsorption of copper (II) from aqueous solutions on activated carbon prepared from grape bagasse. J. Clean. Prod. 2016, 124, 103–113. [Google Scholar] [CrossRef]
- Fernandez-Lopez, J.A.; Angosto, J.M.; Aviles, M.D. Biosorption of hexavalent chromium from aqueous medium with opuntia biomass. Sci. World J. 2014, 2014, 670249. [Google Scholar] [CrossRef] [PubMed]
- Zhu, N.; Yan, T.; Qiao, J.; Cao, H. Adsorption of arsenic, phosphorus and chromium by bismuth impregnated biochar: Adsorption mechanism and depleted adsorbent utilization. Chemosphere 2016, 164, 32–40. [Google Scholar] [CrossRef]
- Modenes, A.N.; Oliveira, A.D.; Espinoza-Quinones, F.R.; Goes Trigueros, D.N.E.; Kroumov, A.D.; Bergamasco, R. Study of the involved sorption mechanisms of Cr(VI) and Cr(III) species onto dried Salvinia auriculata biomass. Chemosphere 2017, 172, 373. [Google Scholar] [CrossRef] [PubMed]
- Gebrehawaria, G.; Hussen, A.; Rao, V.M. Removal of hexavalent chromium from aqueous solutions using barks of Acacia albida and leaves of Euclea schimperi. Int. J. Environ. Sci. Technol. 2015, 12, 1569–1580. [Google Scholar] [CrossRef][Green Version]
- Gupta, V.K.; Rastogi, A. Biosorption of hexavalent chromium by raw and acid-treated green alga Oedogonium hatei from aqueous solutions. J. Hazard. Mater. 2009, 163, 396–402. [Google Scholar] [CrossRef] [PubMed]
- Gineys, N.; Aouad, G.; Damidot, D. Managing trace elements in Portland cement–Part II: Comparison of two methods to incorporate Zn in a cement. Cem. Concr. Compos. 2011, 33, 629–636. [Google Scholar] [CrossRef]






| Adsorbate | Isotherm | Parameters | R2 | |
|---|---|---|---|---|
| Cu(II) | Freundlich | KF (L·mg−1) | n | 0.79 |
| 17.41 | 3.85 | |||
| Langmuir | qm (mg·g−1) | KL (L·mg−1) | 0.99 | |
| 70.42 | 0.15 | |||
| D-R | qd (mg·L−1) | β | 0.93 | |
| 36.25 | 0.00 | |||
| Temkin | KT (L·g−1) | b (J·mol−1) | 0.86 | |
| 4.48 | 435.81 | |||
| Cr(VI) | Freundlich | KF (L·mg−1) | n | 0.72 |
| 16.41 | 3.86 | |||
| Langmuir | qm (mg·g−1) | KL (L·mg−1) | 0.98 | |
| 68.03 | 0.18 | |||
| D-R | qd (mg·L−1) | β | 0.93 | |
| 33.29 | 0.00 | |||
| Temkin | KT (L·g−1) | b (J·mol−1) | 0.92 | |
| 4.32 | 471.84 | |||
| Adsorbent | Metal Ion | qm (mg/g) | Temperature (°C) | pH | Reference |
|---|---|---|---|---|---|
| Ca-Al-Zn-CO3 HTlc | Cu(II) | 15.4 | 25 | 6 | [46] |
| Black wattle tannin-immobilized nanocellulose | 0.73 | 30 | 6 | [47] | |
| Carbon Prepared from Henna Leaves | 0.057 | 35 | 6 | [48] | |
| Li-Al hydrotalcite-like compound | 41.10 | 25 | 5 | [5] | |
| Grape bagasse | 37.17 | 25 | 5 | [49] | |
| Opuntia biomass | Cr(VI) | 16.5 | 20 | 2 | [50] |
| Bismuth modified biochar | 12.23 | 25 | 2 | [51] | |
| Dried Salvinia auriculata biomass | 24.8 | 30 | 2 | [52] | |
| Barks of Acacia albida | 2.98 | 37 | 2 | [53] | |
| Oedogonium hatei biomass | 31 | 45 | 2 | [54] | |
| Rice husk | 6.88 | 50 | 2 | [43] | |
| Fe (II)-rice husk | 11.14 | 50 | 2 | [43] | |
| C-S-H | Cu(II) | 70.42 | 40 | 6 | Our work |
| Cr(VI) | 68.03 | 40 | 2 |
| Type | Al2O3 | SiO2 | Fe2O3 | TiO2 | SO3 | K2O | MgO | CaO | LOI |
|---|---|---|---|---|---|---|---|---|---|
| CG | 32.31 | 51.60 | 2.57 | 0.91 | 0.66 | 1.81 | 0.54 | 0.55 | 9.05 |
Publisher’s Note: MDPI stays neutral with regard to jurisdictional claims in published maps and institutional affiliations. |
© 2021 by the authors. Licensee MDPI, Basel, Switzerland. This article is an open access article distributed under the terms and conditions of the Creative Commons Attribution (CC BY) license (https://creativecommons.org/licenses/by/4.0/).
Share and Cite
Zhang, Q.; Liu, G.; Peng, S.; Zhou, C. Synthesis of Calcium Silicate Hydrate from Coal Gangue for Cr(VI) and Cu(II) Removal from Aqueous Solution. Molecules 2021, 26, 6192. https://doi.org/10.3390/molecules26206192
Zhang Q, Liu G, Peng S, Zhou C. Synthesis of Calcium Silicate Hydrate from Coal Gangue for Cr(VI) and Cu(II) Removal from Aqueous Solution. Molecules. 2021; 26(20):6192. https://doi.org/10.3390/molecules26206192
Chicago/Turabian StyleZhang, Qing, Guijian Liu, Shuchuan Peng, and Chuncai Zhou. 2021. "Synthesis of Calcium Silicate Hydrate from Coal Gangue for Cr(VI) and Cu(II) Removal from Aqueous Solution" Molecules 26, no. 20: 6192. https://doi.org/10.3390/molecules26206192
APA StyleZhang, Q., Liu, G., Peng, S., & Zhou, C. (2021). Synthesis of Calcium Silicate Hydrate from Coal Gangue for Cr(VI) and Cu(II) Removal from Aqueous Solution. Molecules, 26(20), 6192. https://doi.org/10.3390/molecules26206192

