Sintered and 3D-Printed Bulks of MgB2-Based Materials with Antimicrobial Properties
Abstract
1. Introduction
2. Materials and Methods
2.1. Bulks Fabrication
2.2. Antimicrobial Assays
2.3. Sample Characterization before and after Antimicrobial Test
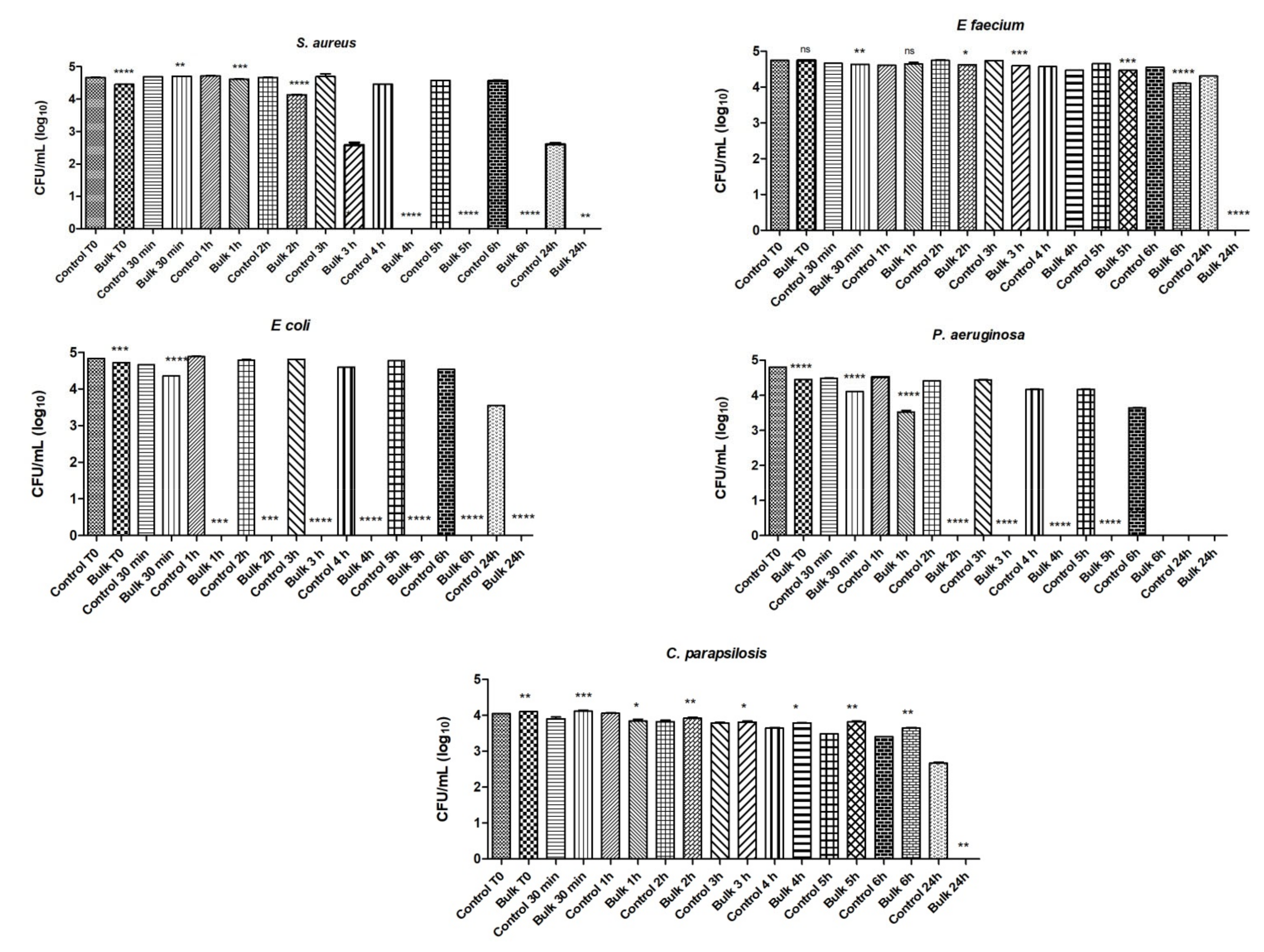
3. Results and Discussion
4. Conclusions
Author Contributions
Funding
Institutional Review Board Statement
Informed Consent Statement
Data Availability Statement
Acknowledgments
Conflicts of Interest
References
- EU Action on Antimicrobial Resistance. Available online: https://ec.europa.eu/health/antimicrobial-resistance/eu-action-on-antimicrobial-resistance_en (accessed on 7 June 2021).
- Mantravadi, P.K.; Kalesh, K.A.; Dobson, R.C.J.; Hudson, A.O.; Parthasarathy, A. The Quest for Novel Antimicrobial Compounds: Emerging Trends in Research, Development, and Technologies. Antibiotics 2019, 8, 8. [Google Scholar] [CrossRef] [PubMed]
- Boucher, H.W.; Talbot, G.H.; Bradley, J.S.; Edwards, J.E.; Gilbert, D.; Rice, L.B.; Scheld, M.; Spellberg, B.; Bartlett, J. Bad bugs, no drugs: No ESKAPE! An update from the Infectious Diseases Society of America. Clin. Infect Dis. 2009, 48, 1–12. [Google Scholar] [CrossRef] [PubMed]
- Walsh, P. Where will new antibiotics come from? Nat. Rev. Microbiol. 2003, 1, 65–70. [Google Scholar] [CrossRef] [PubMed]
- Lewis, K. Platforms for antibiotic discovery. Nat. Rev. Drug Discov. 2013, 12, 371–387. [Google Scholar] [CrossRef]
- Khatoon, Z.; McTiernan, C.D.; Suuronen, E.J.; Mah, T.-F.; Alarcon, E.I. Bacterial biofilm formation on implantable devices and approaches to its treatment and prevention. Heliyon 2018, 4, e01067. [Google Scholar] [CrossRef]
- Pop, C.S.; Hussien, M.D.; Popa, M.; Mares, A.; Grumezescu, A.M.; Grigore, R.; Lazar, V.; Chifiriuc, M.C.; Sakizlian, M.; Bezirtzoglou, E.; et al. Metallic-based micro and nanostructures with antimicrobial activity. Curr. Top. Med. Chem. 2015, 15, 1577–1582. [Google Scholar] [CrossRef]
- Wu, J.; He, J.; Yin, K.; Zhu, Z.; Xiao, S.; Wu, Z.; Duan, J.-A. Robust Hierarchical Porous PTFE Film Fabricated via Femtosecond Laser for Self-Cleaning Passive Cooling. Nano Lett. 2021, 21, 4209–4216. [Google Scholar] [CrossRef]
- Yin, K.; Wu, Z.; Wu, J.; Zhu, Z.; Zhang, F.; Duan, J.-A. Solar-driven thermal-wind synergistic effect on laser-textured superhydrophilic copper foam architectures for ultrahigh efficient vapor generation. Appl. Phys. Lett. 2021, 118, 211905. [Google Scholar] [CrossRef]
- Grumezescu, A.M. Nanobiomaterials in Antimicrobial Therapy. Applications of Nanobiomaterials 6; Elsevier: Amsterdam, The Netherlands, 2016; ISBN 978-0-323-42864-4. [Google Scholar]
- Zhao, X. 5-Antibacterial bioactive materials. Bioact. Mater. Med. 2011, 97–123. [Google Scholar] [CrossRef]
- Luque-Agudo, V.; Fernández-Calderón, M.C.; Pacha-Olivenza, M.A.; Pérez-Giraldo, C.; Gallardo-Moreno, A.M.; González-Martín, L.M. The role of magnesium in biomaterials related infections. Colloids Surf. B Biointerfaces 2020, 191, 110996. [Google Scholar] [CrossRef]
- Hoseinzadeh, E.; Makhdoumi, P.; Taha, P.; Hossini, H.; Stelling, J.; Kamal, M.A.; Ashraf, G.M. A Review on Nano-Antimicrobials: Metal Nanoparticles, Methods and Mechanisms. Curr. Drug Metab. 2017, 18, 120–128. [Google Scholar] [CrossRef]
- Shao, Y.; Zeng, R.-C.; Li, S.-Q.; Cui, L.-Y.; Zou, Y.-H.; Guan, S.-K.; Zheng, Y.-F. Advance in Antibacterial Magnesium Alloys and Surface Coatings on Magnesium Alloys: A Review. Acta Metall. Sin. Engl. Lett. 2020, 33, 615–629. [Google Scholar] [CrossRef]
- Sun, D.; Babar Shahzad, M.; Li, M.; Wang, G.; Xu, D. Antimicrobial materials with medical applications. Adv. Perform. Mater. 2015, 30, B90–B95. [Google Scholar] [CrossRef]
- Sawai, J.; Kojima, H.; Igarashi, H.; Hashimoto, A.; Shoji, S.; Takehara, A.; Sawaki, T.; Kokugan, T.; Shimizu, M. Escherichia coli damage by ceramic powder slurries. J. Chem. Eng. Jpn. 1997, 30, 1034–1039. [Google Scholar] [CrossRef]
- Esteban-Cubillo, A.; Pecharromán, C.; Aguilar, E.; Santarén, J.; Moya, J.S. Antibacterial activity of copper monodispersed nanoparticles into sepiolite. J. Mater. Sci. 2006, 41, 5208. [Google Scholar] [CrossRef]
- Al-Jumaili, A.; Alancherry, S.; Bazaka, K.; Jacob, M.V. Review on the antimicrobial properties of Carbon nanostructures. Materials 2017, 10, 1066. [Google Scholar] [CrossRef]
- Badireddy, A.R.; Hotze, E.M.; Chellam, S.; Alvarez, P.J.J.; Wiesner, M.R. Inactivation of bacteriophages via photosensitization of fullerol nanoparticles. Environ. Sci. Technol. 2007, 41, 6627–6632. [Google Scholar] [CrossRef]
- Lyon, D.Y.; Fortner, J.D.; Sayes, C.M.; Colvin, V.L.; Hughes, J.B. Bacterial cell association and antimicrobial activity of a C60 water suspension. Environ. Toxicol. Chem. 2005, 24, 2757–2762. [Google Scholar] [CrossRef]
- Kang, S.; Herzberg, M.; Rodrigues, D.F.; Elimelech, M. Antibacterial effects of carbon nanotubes: Size does matter. Langmuir 2008, 24, 6409–6413. [Google Scholar] [CrossRef]
- Li, P.; Gao, Y.; Sun, Z.; Chang, D.; Gao, G.; Dong, A. Synthesis, characterization, and bactericidal evaluation of chitosan/guanidine functionalized graphene oxide composites. Molecules 2017, 22, 12. [Google Scholar] [CrossRef]
- Uluisik, I.; Karakaya, H.C.; Koc, A. The importance of boron in biological systems. J. Trace Elem. Med. Biol. 2018, 45, 156–162. [Google Scholar] [CrossRef] [PubMed]
- Yilmaz, M.T. Minimum inhibitory and minimum bactericidal concentrations of boron compounds against several bacterial strains. Turk. J. Med. Sci. 2012, 42, 1423–1429. [Google Scholar] [CrossRef]
- Nagamatsu, J.; Nakagawa, N.; Muranaka, T.; Zenitani, Y.; Akimitsu, J. Superconductivity at 39 K in magnesium diboride. Nature 2001, 410, 63–64. [Google Scholar] [CrossRef] [PubMed]
- Aldica, G.; Batalu, D.; Popa, S.; Ivan, I.; Nita, P.; Sakka, Y.; Vasylkiv, O.; Miu, L.; Pasuk, I.; Badica, P. Spark plasma sintering of MgB2 in the two-temperature route. Phys. C 2012, 477, 43–50. [Google Scholar] [CrossRef]
- Plapcianu, C.; Agostino, A.; Badica, P.; Aldica, G.V.; Bonometti, E.; Ieluzzi, G.; Popa, S.; Truccato, M.; Cagliero, S.; Sakka, Y.; et al. Microwave Synthesis of Fullerene-Doped MgB2. Ind. Eng. Chem. Res. 2012, 51, 11005–11010. [Google Scholar] [CrossRef]
- Locci, A.M.; Orru, R.; Cao, G.; Sanna, S.; Congiu, F.; Concas, G. Synthesis of bulk MgB2 superconductors by pulsed electric current. Aiche J. 2006, 52, 2618–2626. [Google Scholar] [CrossRef]
- Gajda, D.; Morawski, A.; Zaleski, A.; Kurnatowska, M.; Cetner, T.; Gajda, G.; Presz, A.; Rindfleisch, M.; Tomsic, M. The influence of HIP on the homogeneity, Jc, Birr, Tc and Fp in MgB2 wires. Supercond. Sci. Technol. 2015, 28, 015002. [Google Scholar] [CrossRef]
- Flukiger, R.; Al Hossain, M.S.; Senatore, C.; Buta, F.; Rindfleisch, M. A New Generation of In Situ MgB2 Wires With Improved J(c) and B-irr Values Obtained by Cold Densification (CHPD). IEEE Trans. Appl. Supercond. 2011, 21, 2649–2654. [Google Scholar] [CrossRef]
- Sasaki, T.; Naito, T.; Fujishiro, H. Trapped magnetic field of dense MgB2 bulks fabricated under high pressure. Phys. Procedia 2013, 45, 93–96. [Google Scholar] [CrossRef][Green Version]
- Badica, P.; Batalu, N.D.; Chifiriuc, M.C.; Burdusel, M.; Grigoroscuta, M.A.; Aldica, G.; Pasuk, I.; Kuncser, A.; Enculescu, M.; Popa, M.; et al. MgB2 powders and bioevaluation of their interaction with planktonic microbes, biofilms, and tumor cells. J. Mater. Res. Technol. 2021, 12, 2168–2184. [Google Scholar] [CrossRef]
- Badica, P.; Batalu, N.D.; Burdusel, M.; Grigoroscuta, M.A.; Aldica, G.; Enculescu, M.; Gradisteanu Pircalabioru, G.; Popa, M.; Marutescu, L.G.; Dumitriu, B.G.; et al. Antibacterial composite coatings of MgB2 powders embedded in PVP matrix. Sci. Rep. 2021, 11, 9591. [Google Scholar] [CrossRef]
- Gheorghe, I.; Avram, I.; Corbu, V.M.; Măruţescu, L.; Popa, M.; Balotescu, I.; Blăjan, I.; Mateescu, V.; Zaharia, D.; Dumbravă, A.Ş.; et al. In Vitro Evaluation of MgB2 Powders as Novel Tools to Fight Fungal Biodeterioration of Heritage Buildings and Objects. Front. Mater. 2021, 7, 601059. [Google Scholar] [CrossRef]
- Batalu, D.; Stanciu, A.M.; Moldovan, L.; Aldica, G.; Badica, P. Evaluation of pristine and Eu2O3-added MgB2 ceramics for medical applications: Hardness, corrosion resistance, cytotoxicity and antibacterial activity. Mater. Sci. Eng. C 2014, 42, 350–361. [Google Scholar] [CrossRef]
- Davies, D. Understanding biofilm resistance to antibacterial agents. Nat. Rev. Drug Discov. 2003, 2, 114–122. [Google Scholar] [CrossRef]
- Garlotta, D. A literature review of Poly(lactic acid). J. Polym. Environ. 2002, 9, 63–84. [Google Scholar] [CrossRef]
- Santana, H.A.; Amorim, N.S.J.; Ribeiro, D.V.; Cilla, M.S.; Dias, C.M.R. 3D printed mesh reinforced geopolymer: Notched prism bending. Cement Concr. Composites 2021, 116, 103892. [Google Scholar] [CrossRef]
- Casalini, T.; Rossi, F.; Castrovinci, A.; Perale, G. A perspective of polylactic acid-based polymers use for nanoparticles synthesis and applications. Front. Bioeng. Biotechnol. 2019, 7, 259. [Google Scholar] [CrossRef]
- Badica, P.; Batalu, D.; Burdusel, M.; Grigoroscuta, M.A.; Aldica, G.V.; Enculescu, M.; Gabor, R.A.; Wang, Z.; Huang, R.; Li, P. Compressive properties of pristine and SiC-Te-added MgB2 powders, green compacts and spark-plasma-sintered bulks. Ceram. Int. 2018, 44, 10181–10191. [Google Scholar] [CrossRef]
- Aldica, G.V.; Burdusel, M.; Cioca, E.M.; Badica, P. Machinable Superconducting Material and Magnetic Field Concentrator/Storer Made of a Superconducting Material Based on MgB2, Machinable by Chip Remova. Patent No. RO130252-B1, 28 February 2020. [Google Scholar]
- Wagner, F.C.; Post, A.; Yilmaz, T.; Maier, D.; Neubauer, J.; Feucht, M.J.; Südkamp, N.P.; Reising, K. Biomechanical comparison of biodegradable magnesium screws and titanium screws for operative stabilization of displaced capitellar fractures. J. Shoulder Elbow Surgery 2020, 29, 1912–1919. [Google Scholar] [CrossRef]
- Seitz, J.-M.; Lucas, A.; Kirschner, M. Magnesium-Based Compression Screws: A Novelty in the Clinical Use of Implants. JOM 2016, 68, 1177–1182. [Google Scholar] [CrossRef]
- Appendini, P.; Hotchkiss, J.H. Review of antimicrobial food packaging. Innov. Food Sci. Emerg. Technol. Vol. 2002, 3, 113–126. [Google Scholar] [CrossRef]
- Badica, P.; Aldica, G.; Burdusel, M.; Popa, S.; Negrea, R.F.; Enculescu, M.; Pasuk, I.; Miu, L. Significant enhancement of the critical current density for cubic BN addition into ex situ spark plasma sintered MgB2. Supercond. Sci. Technol. 2014, 27, 095013. [Google Scholar] [CrossRef]
- Batalu, D.; Bunescu, A.; Badica, P. Functional Composite Material with Matrix of Polymer and MgB2 Powder Addition. Patent Request No. RO134554-A0, 27 November 2020. [Google Scholar]
- Lutterotti, L. Total pattern fitting for the combined size-strain-stress-texture determination in thin film diffraction. Nucl. Inst. Methods Phys. Res. B 2010, 268, 334–340. [Google Scholar] [CrossRef]
- Aldica, G.; Popa, S.; Enculescu, M.; Pasuk, I.; Ionescu, A.M.; Badica, P. Dwell time influence on spark plasma-sintered MgB2. J. Supercond. Nov. Mag. 2018, 31, 317–325. [Google Scholar] [CrossRef]
- Avdeev, M.; Jorgensen, J.D.; Ribeiro, R.A.; Budko, S.L.; Canfeld, P.C. Crystal chemistry of carbon-substituted MgB2. Phys. C 2003, 387, 301–306. [Google Scholar] [CrossRef]
- Lee, S.; Masui, T.; Yamamoto, A.; Uchiyama, H.; Tajima, S. Crystal growth of C-doped MgB2 superconductors: Accidental doping and inhomogeneity. Phys. C 2004, 412–414, 31–35. [Google Scholar] [CrossRef]
- Marks, G.W.; Monson, L.A. Effect of certain group IV oxides on dielectric constant and dissipation factor of barium titanate. Ind. Eng. Chem. 1955, 47, 1611–1620. [Google Scholar] [CrossRef]
- Park, C.; Park, S.; Lee, D.; Soon Choi, K.; Lim, H.-P.; Kim, J. Graphene as an Enabling Strategy for Dental Implant and Tissue Regeneration. Tissue Eng. Regen. Med. 2017, 14, 481–493. [Google Scholar] [CrossRef]
- Trofa, D.; Gaqcser, A.; Nosanchuk, J.D. Candida parapsilosis, an Emerging Fungal Pathogen. Clin. Microbiol. Rev. 2020, 21, 606–625. [Google Scholar] [CrossRef]
- Turalija, M.; Bischof, S.; Budimir, A.; Gaan, S. Antimicrobial PLA films from environment friendly additives. Compos. Part B Eng. 2016, 102, 94–99. [Google Scholar] [CrossRef]
- Xie, Y.; Yang, L. Calcium and Magnesium Ions Are Membrane-Active against Stationary-Phase Staphylococcus aureus with High Specificity. Sci. Rep. 2016, 6, 20628. [Google Scholar] [CrossRef]
- Hayat, S.; Muzammil, S.; Rasool, M.H.; Nisar, Z.; Hussain, S.Z.; Sabri, A.N.; Jamil, S. In vitro antibiofilm and anti-Adhesion effects of magnesium oxide nanoparticles against antibiotic resistant bacteria. Microbiol. Immunol. 2018, 62, 211–220. [Google Scholar] [CrossRef]
- Zaatreh, S.; Haffner, D.; Strauss, M.; Dauben, T.; Zamponi, C.; Mittelmeier, W.; Quandt, E.; Kreikemeyer, B.; Bader, R. Thin magnesium layer confirmed as an antibacterial and biocompatible implant coating in a coculture model. Mol. Med. Rep. 2017, 15, 1624–1630. [Google Scholar] [CrossRef]
- Zaatreh, S.; Haffner, D.; Strauss, M.; Wegner, K.; Warkentin, M.; Lurtz, C.; Zamponi, C.; Mittelmeier, W.; Kreikemeyer, B.; Willumeit-Romer, R.; et al. Fast corroding, thin magnesium coating displays antibacterial effects and low cytotoxicity. Biofouling 2017, 33, 294–305. [Google Scholar] [CrossRef]
- Lellouche, J.; Kahana, E.; Elias, S.; Gedanken, A.; Banin, E. Antibiofilm activity of nanosized magnesium fluoride. Biomaterials 2009, 30, 5969–5978. [Google Scholar] [CrossRef]
- Demishtein, K.; Reifen, R.; Shemesh, M. Antimicrobial Properties of Magnesium Open Opportunities to Develop Healthier Food. Nutrients 2019, 11, 2363. [Google Scholar] [CrossRef]
- Nielsen, F.H. Magnesium deficiency and increased inflammation: Current perspectives. J. Inflamm. Res. 2018, 11, 25–34. [Google Scholar] [CrossRef]






| Sample | Apparent Density, (g/cm3)/Relative Density, (%) | MgB2 Lattice Parameter, a, (Å) | MgB2 Lattice Parameter, c, (Å) | Amount of Carbon y in Mg (B1−yCy)2 | Micro-Strain of MgB2 (%) | |||
|---|---|---|---|---|---|---|---|---|
| LTS pwdr. | - | 3.0863 ± 0.0001 | 3.5221 ± 0.0001 | 0.0011 ± 0.0003 | 0.075 | |||
| LTS SPS | 2.61/99.3 | 3.0821 ± 0.0002 | 3.5253 ± 0.0001 | 0.0114 ± 0.0006 | 0.12 ± 0.04 | |||
| LTS + (hBN)0.01 SPS | 2.53/95.0 | 3.0840 ± 0.0002 | 3.5271 ± 0.0001 | 0.0076 ± 0.0005 | 0.14 ± 0.08 | |||
| Sample | Phase amount (wt.%) | The average crystallite size from XRD (nm) | ||||||
| MgB2 | MgB4 | MgO | Mg/hBN | MgB2 | MgB4 | MgO | Mg/hBN | |
| LTS pwdr. | 97 ± 0.5 | 0 | 1.8 ± 0.2 | 1.2 ± 0.1/- | 113 ± 5 | - | 45 ± 2 | 51 ± 30/- |
| LTS SPS | 87.5 ± 0.6 | 3.9 ± 0.1 | 8.6 ± 0.1 | -/- | 130 ± 15 | 105 ± 20 | 50 ± 6 | - |
| LTS + (hBN)0.01 SPS | 78.0 ± 0.4 | 3.6 ± 0.1 | 7.9 ± 0.2 | -/10.5 ± 0.2 | 153 ± 14 | 140 ± 65 | 50 ± 8 | -/79 ± 19 |
Publisher’s Note: MDPI stays neutral with regard to jurisdictional claims in published maps and institutional affiliations. |
© 2021 by the authors. Licensee MDPI, Basel, Switzerland. This article is an open access article distributed under the terms and conditions of the Creative Commons Attribution (CC BY) license (https://creativecommons.org/licenses/by/4.0/).
Share and Cite
Badica, P.; Batalu, N.D.; Chifiriuc, M.C.; Burdusel, M.; Grigoroscuta, M.A.; Aldica, G.V.; Pasuk, I.; Kuncser, A.; Popa, M.; Agostino, A.; et al. Sintered and 3D-Printed Bulks of MgB2-Based Materials with Antimicrobial Properties. Molecules 2021, 26, 6045. https://doi.org/10.3390/molecules26196045
Badica P, Batalu ND, Chifiriuc MC, Burdusel M, Grigoroscuta MA, Aldica GV, Pasuk I, Kuncser A, Popa M, Agostino A, et al. Sintered and 3D-Printed Bulks of MgB2-Based Materials with Antimicrobial Properties. Molecules. 2021; 26(19):6045. https://doi.org/10.3390/molecules26196045
Chicago/Turabian StyleBadica, Petre, Nicolae Dan Batalu, Mariana Carmen Chifiriuc, Mihail Burdusel, Mihai Alexandru Grigoroscuta, Gheorghe Virgil Aldica, Iuliana Pasuk, Andrei Kuncser, Marcela Popa, Angelo Agostino, and et al. 2021. "Sintered and 3D-Printed Bulks of MgB2-Based Materials with Antimicrobial Properties" Molecules 26, no. 19: 6045. https://doi.org/10.3390/molecules26196045
APA StyleBadica, P., Batalu, N. D., Chifiriuc, M. C., Burdusel, M., Grigoroscuta, M. A., Aldica, G. V., Pasuk, I., Kuncser, A., Popa, M., Agostino, A., Operti, L., Padhi, S. K., Bonino, V., & Truccato, M. (2021). Sintered and 3D-Printed Bulks of MgB2-Based Materials with Antimicrobial Properties. Molecules, 26(19), 6045. https://doi.org/10.3390/molecules26196045

