Abstract
Spiro compounds provide attractive targets in drug discovery due to their inherent three-dimensional structures, which enhance protein interactions, aid solubility and facilitate molecular modelling. However, synthetic methodology for the spiro-functionalisation of important classes of penicillin and cephalosporin β-lactam antibiotics is comparatively limited. We report a novel method for the generation of spiro-cephalosporin compounds through a Michael-type addition to the dihydrothiazine ring. Coupling of a range of catechols is achieved under mildly basic conditions (K2CO3, DMF), giving the stereoselective formation of spiro-cephalosporins (d.r. 14:1 to 8:1) in moderate to good yields (28−65%).
1. Introduction
Spiro compounds (or spirocycles) are rigid scaffolds that consist of at least two rings fused through a single atom, known as the spiro atom. The structure of spirocycles was first discovered by Von Baeyer in the late 1890s [1]. Spiro compounds are an important class of molecule, and spirocycles are found in a number of different natural products with pronounced biological activities. Griseofulvin, for example, is a spirocyclic natural product generated by the fungus Penicillium griseofulvum that has been used clinically to treat dermatophytosis (ringworm) [2].
In recent years, spirocycles have emerged as attractive synthetic targets in drug discovery. Growing efforts have been made to employ spirocyclic scaffolds as core or periphery structures in drug synthesis, and many show promising biological activities as cholesterol absorption inhibitors [3,4,5], anti-Parkinsonian agents [6,7,8], anti-Alzheimer’s agents [9,10,11], antiviral agents [12,13,14,15], antibacterial agents [16,17,18], β-lactamase inhibitors [19] and anti-cancer agents [20,21,22,23]. The inherent three-dimensional nature of spiro compounds provides better protein interactions as compared to their planar (hetero)aromatic counterparts [24]. Moreover, spirocyclic scaffolds have relatively rigid structures and possess a limited number of well-defined conformations, which is an advantage when using in silico docking to optimise interactions between drugs and protein targets computationally [25]. The inherent sp3 nature of spirocycles, means they are also generally more water soluble than the corresponding (hetero)aromatic systems [26], and the introduction of a spirocycle can be used to modulate the water solubility of compounds of interest [24,27].
Nevertheless, spirocycles are considered a synthetic challenge, mainly due to the difficulty in synthesising quaternary carbon centres, as well as controlling the stereochemistry [28,29]. Multiple synthetic strategies have been employed to synthesise spirocycles including alkylation methods, cycloaddition approaches, rearrangement approaches, ring closure methods and radical cyclisation approaches [28,29,30,31].
Among the many possible spirocyclic structures, spirocyclic β-lactams have drawn increasing attention, not only because they exhibit desirable antibacterial properties [32,33,34], but also because they show other interesting activities as enzyme inhibitors [3,19,35,36] and antivirals [37]. Multiple reaction sites can be utilised to modify the penicillin- or cephalosporin-based β-lactam antibiotics with spirocyclic moieties without altering their β-lactam core structures. Figure 1 shows that the spirocycles can be either fused directly onto the β-lactam ring (site a) or attached to the thiazolidine or dihydrothiazine ring (sites b and c).
Figure 1.
Modification sites for attaching spirocyclic moieties.
A number of different methods to achieve spiro-modification at site a have been reported including: (i) 1,3-dipolar cycloaddition approaches [38,39]; (ii) a phosphane-catalysed [3+2] cycloaddition approach [40]; and (iii) a rhodium-catalysed cyclopropanation approach [19]. However, methodologies for spiro-modifications at site b and c are rather limited, and mostly rely on 1,3-dipolar cycloadditon reactions [41]. In this work, we report a novel synthetic strategy to synthesise spirocyclic cephalosporin analogues at site c through a Michael-type reaction.
2. Results and Discussion
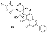
To achieve spiro-modification at site c of cephalosporin, catechols were used. Catechols are commonly found in natural products, insecticides and pharmaceuticals. They have well-documented antioxidant properties, acting as structural units in many bronchodilator, adrenergic, antioxidant, anti-Parkinsonian and anti-hypertensive drugs [42]. Catechols are important building blocks in organic synthesis and are frequently used as nucleophiles in substitution reactions due to the nucleophilicity of the catechol monoanion; catechols have also been used as nucleophilic catalysts for peptide bond formation [43]. Furthermore, catechols can undergo Michael addition to α,β-unsaturated carbonyl compounds to generate six-membered heterocyclic compounds under mild basic conditions. Cabbidu et al. reported a method to synthesise benzodioxane 3 by reacting pyrocatechol 1 with methyl 4-bromocrotonate 2 in the presence of K2CO3 (Scheme 1) [44]. The reaction is thought to proceed via nucleophilic substitution of the bromine, followed by Michael addition to yield the desired product 3.
Scheme 1.
Generation of benzodioxane 3 via a Michael addition reaction.
Inspired by the work by Cabbidu et. al, we decided to take a similar approach, utilising the α,β-unsaturated carbonyl moiety within the cephalosporin structure to react with catechols for the generation of spiro-cephalosporin compounds through Michael addition reactions.
2.1. Reaction Scope for Generating Spiro-Cephalosporins
The spiro-cyclisation reaction was first conducted by reacting commercially available cephalosporin derivative 4 with pyrocatechol 1 in the presence of K2CO3 [45], under microwave irradiation at 50 °C to accelerate the reaction, as shown in Scheme 2.
Scheme 2.
Generation of benzodioxane 3 via Michael addition reaction.
Spiro-cephalosporin 5 was isolated from the reaction mixture by column chromatography as a single diastereomer in moderate yield (40%). Stereochemical assignment was achieved using the NOESY spectrum of 5 (Figure 2), which shows the interaction of the ring junction proton Ha with methylene proton Hb, and the second methylene proton Hc with the axial proton Hd on the benzodioxane ring. An nOe interaction is also observed between the equatorial proton He on the benzodioxane ring and Hf, indicating these two protons are on the same face. Therefore, the C-2′ and C-2 stereocentres in product 5 are determined as S and R configurations, as shown in Figure 2A (2D view) and B (3D view).
Figure 2.
Structure of spiro-cephalosporin 5 in (A) 2-D and (B) 3-D; (C) the NOESY spectrum.
To expand further the scope of the spiro-cyclisation reaction, a number of different catechols were screened under the same reaction conditions (Table 1).
Table 1.
Reaction scope for the synthesis of spiro-cephalosporins a.
The spiro-cyclisation reactions with dihydroxy coumarins (Table 1, entries 1–3) and flavonoids (Table 1, entries 4–6) were explored. Reactions were monitored by HPLC, and it was found that diastereomers were formed in the reactions of coumarins 7 and 8, and flavonoid 9 with diastereomeric ratios of 14:1, 9:1, and 12:1, respectively. For entry 3, the two diastereomers were successfully isolated and the characteristic NMR peaks were assigned to allow NOESY analysis to identify their stereochemistry. Figure 3A shows the NOESY spectra for the major diastereomer 15, in which nOe interactions are observed between Ha and Hb, Hc and Hd, and He and Hf. Therefore, the configurations of the newly generated chiral centres at the C-2′ and C-2 positions were, again, determined to be S and R, respectively. In contrast, no interaction is observed between He and Hf for the minor diastereomer (Figure 3B), suggesting these two protons are not on the same face and, thus the minor diastereomer has a (2′S,2S) configuration. For the other reactions, only the major diastereomer was isolated by column chromatography in each case and the stereochemistry was found to be the same as for the major diastereomer 15, i.e., a (2′S,2R) configuration.
Figure 3.
NOSEY spectra of (A) the major diastereomer 15 and (B) the minor diastereomer.
The reaction with flavonoid 10 which contains three adjacent hydroxyl groups was also studied (Table 1, entry 5). The reaction was found to be regioselective, as spiro-product 17 was the predominant product (see Section 2.3). Again, the stereochemistry at the C-2′ and C-2 positions of 17 was determined to be S and R configuration by NOESY NMR.
We also investigated the regioselectivity of spiro-cycloaddition when a flavonoid contains multiple hydroxyl groups. Quercetin 11 was reacted with cephalosporin 4 in the presence of K2CO3 (Table 1, entry 6). However, the reaction was unsuccessful, and no spiro-product 18 was isolated from the reaction mixture. From the LC-MS analysis, a mass of 753 Da was detected, which corresponds to the mass of an alkylated product. The most acidic phenol in quercetin is known to be the 7-OH on the flavonol core, thus the monoanion is most likely to form here. Reaction with cephalosporin 4 (see Section 2.3) gives an adduct which cannot proceed to spirocyclisation, resulting in the formation of an acyclic product. However, this putative alkylation product could not be isolated by column chromatography on silica gel, suggesting facile decomposition under mild acidic conditions.
Finally, we tested the reaction with the polyphenol, ellagic acid 12 (Table 1, entry 7). The reaction proceeded successfully; two diastereomers were observed in the reaction mixture (HPLC ratio of 8:1). However, the yield of the reaction was poor (28%), suggesting that the steric bulk provided by the polycyclic core of ellagic acid disfavours formation of spiro-product 19.
2.2. Functionalisation of Spiro-Cephalosporins
To provide functionally active spiro-cephalosporin compounds, the p-methoxybenzyl (PMB) protecting group was removed in the presence of trifluoroacetic acid (TFA) and anisole. The crude products were purified by column chromatography to give the carboxylic acids as single diastereomers in good yields (63−97%), as shown in Table 2.
Table 2.
PMB deprotection of spiro-cephalosporins.
2.3. Proposed Mechanism
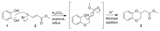
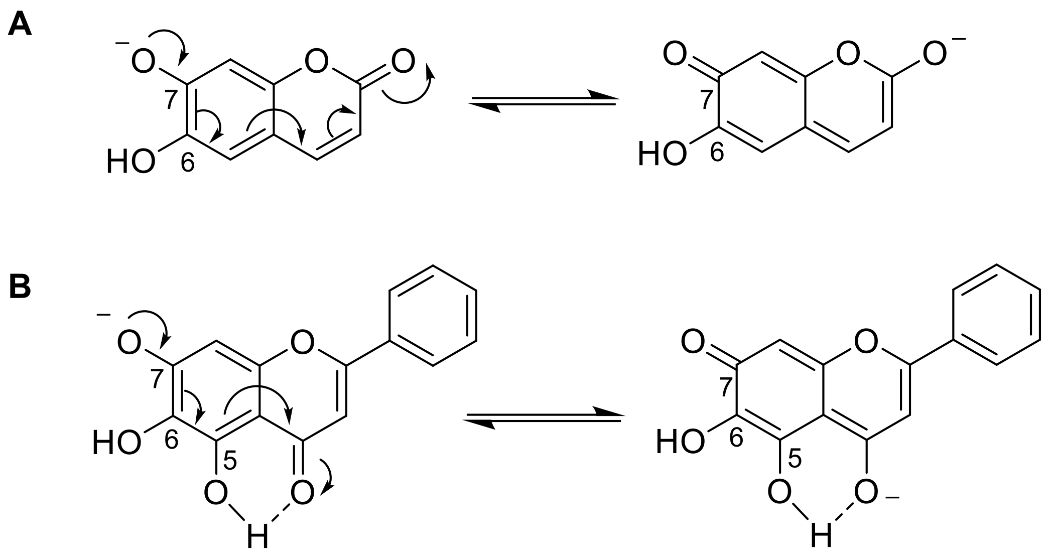
For the 6,7-dihydroxycoumarins (6–8), the 7-OH (pKa = 7.5) is reported to be much more acidic than the 6-OH (pKa = 9.0) [46]. This difference in acidity can be explained by resonance stabilisation as shown in Figure 4A. Similarly, for flavonoids (9 and 10), the 7-OH (pKa = 7.7) is more acidic than the 6-OH (pKa = 9.0) due to resonance stabilisation [47], and, hence, can be deprotonated more easily under basic conditions (Figure 4B). In addition, for 5,6,7-trihydroxyflavonoid 10, the 5-OH is found to be least acidic (pKa = 11.4) due to the formation of an intramolecular hydrogen bond with the adjacent carbonyl group (Figure 4B) [47,48]. Thus spiro-cyclisation can be initiated by the 7-OH and is completed by the adjacent 6-OH to give the observed regioselectivity in compound 17 shown in Table 1, entry 5. In contrast, the two hydroxyl groups in pyrocatechol 1 have a much higher pKa value (pKa = 9.3)[49] than the 7-OH in the dihydroxy coumarins and flavonoids, which cannot be easily deprotonated under mild basic conditions, resulting in a lower reaction yield (40%).
Figure 4.
Resonance structures of (A) coumarin 6 and (B) flavonoid 10 under mild basic conditions.
A mechanism for the generation of the spiro-cephalosporin product 30 is therefore proposed as shown in Figure 5. Under mildly basic conditions, the more acidic 7-OH in catechol 27 is readily deprotonated to form the reactive phenolate ion 28. The phenolate ion 28 is then alkylated by cephalosporin 4 in the presence of NaI to form intermediate 29. The experimental pKa of the phenol in mono-alkylated catechols is consistently reported to be several log units higher [50,51] than the most acidic phenol in their non-alkylated precursors, hence a second phenolate alkylation reaction is not favoured under these conditions. Rather, phenol 29 undergoes an intramolecular Michael addition to form the spiro-cephalosporin 30, with initial attack on the convex face of the cephalosporin core, followed by protonation on the face opposite the newly-introduced, bulky catechol unit to set the observed (2′S,2R) stereochemistry.
Figure 5.
Proposed spiro-cyclisation mechanism for the formation of spiro-cephalosporin 30.
3. Materials and Methods
3.1. General Information
All reagents were obtained from commercial suppliers and were used without further purification. Microwave reactions were performed using Biotage Initiator+. Flash chromatography was carried out using Merck Kieselgel 60 (Merck 9385) under positive pressure. 1H and 13C NMR spectra were obtained on a Bruker AVA 500 instrument, using TMS as a reference and residual solvent as an internal standard. The data are presented as follows: chemical shift (in ppm on the δ scale relative to δTMS = 0), integration, multiplicity, coupling constant and interpretation. 1H and 13C spectra for all new compounds are presented in the SI file and raw data in the accompanying data deposit. Electrospray ionisation (ESI) mass spectra were obtained on a Bruker microTOF II instrument. Analytical Reverse Phase HPLC (Analytical RP-HPLC) was conducted on a Waters® 600 (100 µL) system using a 717plus autosampler and 996 PDA detector (190 to 800 nm) equipped with a Phenomenex® SphereClone ODS(2), 5 µm, 100 × 4.6 mm column for HPLC (method 1) or with a Phenomenex Luna C18(2), 5 µm, 250 × 4.6 mm column for HPLC (method 2). A binary solvent system was used A = water (0.1% TFA), B = MeCN (0.1% TFA) at a flow rate of 1.00 mL∙min−1; and the column was maintained at 30 ± 1 °C. The HPLC (method 1) was a linear gradient from 0 min (95A:5B) to 10 min (5A:95B), isocratic from 10 min to 12 min (5A:95B), before recovery of the initial conditions over 3 min and equilibration over 5 min, giving a total run time of 20 min. The HPLC (method 2) was a linear gradient from 0 min (95A:5B) to 30 min (5A:95B), isocratic from 30 min to 35 min (5A:95B), before recovery of the initial conditions over 5 min and equilibration over 10 min, giving a total run time of 50 min.
3.2. Typical Procedure for the Spiro-Cyclisation Reaction
Pyrocatechol 1 (30.0 mg, 0.27 mmol), Cepham ester 4 (0.13 g, 0.27 mmol), NaI (4.08 mg, 0.03 mmol) and K2CO3 (0.11 g, 0.82 mmol) were dissolved in DMF (3 mL). The reaction mixture was stirred at 50 °C under microwave irradiation for 50 min. The reaction mixture was concentrated in vacuo then diluted with EtOAc (20 mL). The solution was washed with water (20 mL), Na2SO3 (20 mL, 5% aq) and brine (20 mL, sat aq), then dried (MgSO4) and concentrated in vacuo. The crude product was purified with column chromatography (hexane:EtOAc, 3:1) to give the desired product 5 [45].
3.3. Characterisation of Spiro-Cephalosporin Products
(4-Methoxyphenyl)methyl (2′S,2R,6R,7R)-8-oxo-7-(2-phenylacetamido)-5-thia-1-azaspiro[1′,4′-benzodioxine-3,2′-bicyclo[4.2.0]octane]-2-carboxylate (5): 61.2 mg (40%); Rt (method 1) = 14.52 min; Rf (hexane:EtOAc, 3:1) = 0.16; mp 157 – 160 °C; IR 2920 (NH), 1770 (C=O), 1734 (C=O), 1683 (C=O); 1H NMR δ (500 MHz, DMSO-d6) 9.21 (1H, d, J = 8.5 Hz, NH), 7.34 – 7.22 (7H, m, ArH), 6.97 – 6.83 (5H, m, ArH), 6.64 (1H, dd, J = 7.9, 1.7 Hz, ArH), 5.42 (1H, dd, J = 8.5, 4.3 Hz, NHCH), 5.29 (1H, dd, J = 4.3 Hz, SCHN), 5.11 (1H, d, J = 11.8 Hz, OCHAHBAr), 5.08 (1H, d, J = 11.8 Hz, OCHAHBAr), 4.76 (1H, d, J = 12.1 Hz, ArOHCHD), 4.68 (1H, s, NCHCOO), 4.20 (1H, d, J = 12.1 Hz, ArOHCHD), 3.76 (3H, s, CH3), 3.57 (1H, d, J = 14.1 Hz, COCHEHF), 3.53 (1H, d, J = 13.7 Hz, SCHGHH), 3.52 (1H, d, J = 14.1 Hz, COCHEHF), 2.93 (1H, d, J = 13.7 Hz, SCHGHH). 13C NMR δ (126 MHz, DMSO-d6) 171.04 (C), 166.98 (C), 165.57 (C), 159.87 (C), 142.13 (C), 141.36 (C), 136.13 (C), 130.96 (2 × CH), 129.46 (2 × CH), 128.73 (2 × CH), 127.32 (C), 127.00 (CH), 122.77 (CH), 122.39 (CH), 117.84 (CH), 117.64 (CH), 114.23 (2 × CH), 70.81 (C), 67.26 (CH2), 65.86 (CH2), 59.44 (CH), 55.62 (CH3), 55.58 (CH), 52.76 (CH), 42.28 (CH2), 26.91 (CH2); m/z (ESI+, MeCN) 583 ([M+Na]+, 5%), 578 ([M+NH4]+, 100), 561 ([M+H]+, 30); HRMS (ESI+, MeCN) [M+H]+ found 561.1687, C30H29N2O7S requires 561.1690.
(4-Methoxyphenyl)methyl (2′S,2R,6R,7R)-7′,8-dioxo-7-(2-phenylacetamido)-3′,7′-dihydro-5-thia-1-azaspiro[1′,4′-dioxino-3,2′-bicyclo[4.2.0]octane]-2-carboxylate (13): 210 mg (59%); Rt (method 1) = 12.39 min; Rf (EtOAc:DCM, 1:5) = 0.34; mp 100-103 °C; IR 3315 (NH), 1726 (C=O), 1681 (C=O), 1512 (C=C); 1H NMR δ (601 MHz, DMSO-d6) 9.21 (1H, d, J = 8.5 Hz, NH), 7.79 (1H, d, J = 9.5 Hz, COCH=CH), 7.32 – 7.22 (7H, m, ArH), 7.08 (1H, s, ArH), 6.96 (1H, s, ArH), 6.86 (2H, d, J = 8.7 Hz, ArH), 6.36 (1H, d, J = 9.5 Hz, COCH=CH), 5.42 (1H, dd, J = 8.5, 4.2 Hz, NHCH), 5.30 (1H, d, J = 4.2 Hz, SCHN), 5.13 (1H, d, J = 11.7 Hz, OCHAHBAr), 5.03 (1H, d, J = 11.7 Hz, OCHAHBAr), 4.88 (1H, d, J = 12.3 Hz, ArOCHCHD), 4.67 (1H, s, NCHCOO), 4.32 (1H, d, J = 12.2 Hz, ArOCHCHD), 3.73 (3H, s, CH3), 3.56 (1H, d, J = 14.1 Hz, COCHEHF), 3.52 (1H, d, J = 13.8 Hz, SCHGHH), 3.51 (1H, d, J = 14.1 Hz, COCHEHF), 2.99 (1H, d, J = 13.8 Hz, SCHGHH); 13C NMR δ (151 MHz, DMSO-d6) 171.05 (C), 166.84 (C), 165.61 (C), 160.51 (C), 159.82 (C), 149.27 (C), 145.33 (C), 144.12 (CH), 138.13 (C), 136.11 (C), 131.05 (2 × CH), 129.47 (2 × CH), 128.74 (2 × CH), 127.10 (CH), 127.02 (C), 115.89 (CH), 114.50 (CH), 114.21 (2 × CH), 113.96 (C), 105.07 (CH), 70.90 (C), 67.38 (CH2), 66.34 (CH2), 59.53 (CH), 55.66 (CH3), 55.56 (CH), 52.60 (CH), 42.31 (CH2), 26.94 (CH2); m/z (ESI+, MeCN) 629 ([M+H]+, 100%); HRMS (ESI+, MeCN) [M+H]+ found 629.1597, C33H29N2O9S requires 629.1588.
(4-Methoxyphenyl)methyl (2′S,2R,6R,7R)-7′,8-dioxo-7-(2-phenylacetamido)-3′,7′,8′,9′,10′,11′-hexahydro-1′,4′,6′-trioxa-5-thia-1-azaspiro[bicyclo[4.2.0]octane-3,2′-tetraphene]-2-carboxylate (14): 420 mg (62%); Rt (method 1) =13.63 min; Rf (DCM:EtOAc, 8:1) = 0.25; mp 120 – 123 °C; IR 2934 (NH), 1626 (C=O), 1701 (C=O), 1578 (C=O), 1506 (C=C); 1H NMR δ (500 MHz, DMSO-d6) 9.21 (1H, d, J = 8.5 Hz, NH), 7.34 – 7.22 (5H, m, ArH), 7.16 (2H, d, J = 8.7 Hz, ArH), 7.07 (1H, s, C5′H), 6.88 (1H, s, C12′H), 6.81 (2H, d, J = 8.7 Hz, ArH), 5.44 (1H, dd, J = 8.5, 4.2 Hz, NHCH), 5.32 (1H, d, J = 4.2 Hz, SCHN), 5.19 (1H, d, J = 12.1 Hz, OCHAHBAr), 5.04 (1H, d, J = 12.1 Hz, OCHAHBAr), 4.86 (1H, d, J = 12.2 Hz, ArOCHCHD), 4.74 (1H, s, NCHCO), 4.32 (1H, d, J = 12.2 Hz, ArOCHCHD), 3.71 (3H, s, CH3), 3.57 (1H, d, J = 14.1 Hz, COCHEHF), 3.56 (1H, d, J = 13.8 Hz, SCHGHH), 3.52 (1H, d, J = 14.1 Hz, COCHEHF), 3.01 (1H, d, J = 13.8 Hz, SCHGHH), 2.60 – 2.54 (1H, m, C11′H), 2.42 – 2.37 (3H, m, C8′H2, C11′H), 1.72 – 1.71 (4H, m, C9′H2C10′H2); 13C NMR δ (126 MHz, DMSO-d6) 171.05 (C), 166.97 (C), 165.64 (C), 161.11 (C), 159.60 (C), 147.31 (C), 147.01 (C), 144.07 (C), 138.14 (C), 136.11 (C), 130.17 (2 × CH), 129.47 (2 × CH), 128.74 (2 × CH), 127.27 (C), 127.02 (CH), 121.32 (C), 115.15 (C), 113.94 (2 × CH), 111.58 (CH), 104.83 (CH), 70.98 (C), 67.12 (CH2), 66.32 (CH2), 59.50 (CH), 55.73 (CH), 55.46 (CH3), 52.66 (CH), 42.32 (CH2), 26.96 (CH2), 25.13 (CH2), 24.11 (CH2), 21.57 (CH2), 21.26 (CH2); m/z (ESI+, MeCN) 705 ([M+Na]+, 63%), 683 ([M+H]+, 94); HRMS (ESI+, MeCN) [M+H]+ found 683.2087, C37H35N2O9S requires 683.2058. Minor diastereomer: Rt (method 1) =13.34 min; 1H NMR δ (500 MHz, DMSO-d6) diagnostic peaks: 9.12 (1H, d, J = 8.2 Hz, NH), 5.41 (1H, dd, J = 8.2, 4.3 Hz, NHCH), 5.19 (1H, d, J = 4.3 Hz, SCHN), 4.63 (1H, s, NCHCO), 3.77 (3H, s, CH3).
(4-Methoxyphenyl)methyl (2′S,2R,6R,7R)-7′,8-dioxo-9′-phenyl-7-(2-phenylacetamido)-3′,7′-dihydro-5-thia-1-azaspiro[1′,4′-dioxino-3,2’-bicyclo[4.2.0]octane]-2-carboxylate (15): 290 mg (54%); Rt (method 1) = 15.47 min; Rf (DCM:EtOAc, 6:1) = 0.51; mp 165 – 168 °C; IR 3120 (NH), 1762 (C=O), 1701 (C=O), 1514 (C=C); 1H NMR δ (500 MHz, DMSO-d6) 9.20 (1H, d, J = 8.5 Hz, NH), 7.60 – 7.58 (3H, m, ArH), 7.46 – 7.44 (2H, m, ArH), 7.33 – 7.24 (6H, m, ArH), 7.07 (2H, d, J = 8.6 Hz, ArH), 6.75 (1H, s, ArH), 6.67 (2H, J = 8.6 Hz, ArH), 6.32 (1H, s, =CH), 5.40 (1H, dd, J = 8.5, 4.2 Hz, NHCH), 5.27 (1H, d, J = 4.2 Hz, SCHN), 5.05 (1H, d, J = 12.1 Hz, OCHAHBAr), 4.97 (1H, d, J = 12.1 Hz, OCHAHBAr), 4.84 (1H, d, J = 12.2 Hz, ArOCHCHD), 4.72 (1H, s, NCHCOO), 4.41 (1H, d, J = 12.2 Hz, ArOCHCHD), 3.70 (3H, s, CH3), 3.57 (1H, d, J = 14.1 Hz, COCHEHFAr), 3.51 (1H, d, J = 14.1 Hz, COCHEHFAr), 3.41 (1H, d, J = 13.9 Hz, SCHGHH), 2.94 (1H, d, J = 13.9 Hz, SCHGHH); 13C NMR δ (126 MHz, DMSO-d6) 171.07 (C), 166.63 (C), 165.58 (C), 160.24 (C), 159.64 (C), 154.89 (C), 149.44 (C), 145.74 (C), 138.26 (C), 136.08 (C), 135.19 (C), 130.32 (CH), 130.19 (2 × CH), 129.46 (4 × CH), 128.73 (2 × CH), 128.70 (2 × CH), 127.16 (C), 127.01 (CH), 114.04 (3 × CH), 113.82 (C), 113.45 (CH), 105.87 (CH), 71.26 (C), 67.28 (CH2), 66.41 (CH2), 59.53 (CH), 55.63 (CH), 55.58 (CH3), 52.84 (CH), 42.30 (CH2), 26.78 (CH2); m/z (ESI+, MeCN) 727 ([M+Na]+, 68%), 722 ([M+NH4]+, 14), 705 ([M+H]+, 100); HRMS (ESI+, MeCN) [M+H]+ found 705.1896, C39H33N2O9S requires 705.1901. Minor diastereomer: Rt (method 1) = 15.24 min; 1H NMR δ (500 MHz, DMSO-d6) diagnostic peaks: 9.10 (1H, d, J = 8.1 Hz, NH), 5.41 (1H, dd, J = 8.1, 4.3 Hz, NHCH), 5.19 (2H, s, OCH2Ar), 5.15 (1H, d, J = 4.3 Hz, SCHN), 4.54 (1H, s, NCHCO), 4.35 (1H, d, J = 12.2 Hz, ArOCHAHB), 4.18 (1H, d, J = 12.2 Hz, ArOCHAHB), 3.77 (3H, s, CH3), 3.58 (1H, J = 14.0 Hz, COCHCHDAr), 3.52 (1H, J = 14.0 Hz, COCHCHDAr), 3.29 (1H, d, J = 13.4 Hz, SCHEHF), 2.94 (1H, d, J = 13.4 Hz, SCHEHF).
(4-Methoxyphenyl)methyl (2′S,2R,6R,7R)-8,9′-dioxo-7′-phenyl-7-(2-phenylacetamido)-3′,9′-dihydro-5-thia-1-azaspiro[1′,4′-dioxino-3,2’-bicyclo[4.2.0]octane]-2-carboxylate (16): 67.3 mg (65%); Rt (method 1) = 15.52 min; Rf (DCM:EtOAc, 5:1) = 0.42; mp; 150 – 152 °C; IR 2933 (NH), 1770 (C=O), 1734 (C=O), 1624 (C=O), 1508 (C=C); 1H NMR δ (500 MHz, DMSO-d6) 9.20 (1H, d, J = 8.5 Hz, NH), 8.08 (2H, dd, J = 7.8, 1.6 Hz, ArH), 7.64 – 7.57 (3H, m, ArH), 7.47 (1H, d, J = 1.6 Hz, ArH), 7.33 – 7.28 (5H, m, ArH), 7.26 – 7.22 (3H, m, ArH), 6.99 (1H, s, =CH), 6.85 (2H, d, J = 8.7 Hz, ArH), 5.43 (1H, dd, J = 8.5, 4.2 Hz, NHCH), 5.33 (1H, d, J = 4.2 Hz, SCHN), 5.15 (1H, d, J = 11.7 Hz, OCHAHBAr), 5.07 (1H, d, J = 11.7 Hz, OCHAHBAr), 4.92 (1H, J = 12.2 Hz, ArOCHCHD), 4.72 (1H, s, NCHCOO), 4.46 (1H, d, J = 12.2 Hz, ArOCHCHD), 3.72 (3H, s, CH3), 3.58 (1H, d, J = 14.1 Hz, COCHEHF), 3.56 (1H, d, J = 13.8 Hz, SCHGHH), 3.53 (1H, d, J = 14.1 Hz, COCHEHF), 3.02 (1H, d, J = 13.8 Hz, SCHGHH); 13C NMR δ (126 MHz, DMSO-d6) 176.53 (C), 171.06 (C), 166.74 (C), 165.57 (C), 162.83 (C), 159.80 (C), 151.54 (C), 147.47 (C), 139.79 (C), 136.10 (C), 132.20 (CH), 131.65 (C), 130.94 (2 × CH), 129.59 (2 × CH), 129.47 (2 × CH), 128.75 (2 × CH), 127.09 (C), 127.02 (CH), 126.68 (2 × CH), 119.13 (C), 114.15 (2 × CH), 111.99 (CH), 106.58 (CH), 106.45 (CH), 71.30 (C), 67.58 (CH2), 66.36 (CH2), 59.58 (CH), 55.67 (CH), 55.44 (CH3), 52.75 (CH), 42.33 (CH2), 26.84 (CH2); m/z (ESI+, MeCN) 705 ([M+H]+,100%); HRMS (ESI+, MeCN) [M+H]+ found 705.1925, C39H33N2O9S requires 705.1901. Minor diastereomer: Rt (method 1) = 15.74 min; 1H NMR δ (500 MHz, DMSO-d6) diagnostic peaks: 9.13 (1H, d, J = 8.5 Hz, NH), 5.75 (1H, dd, J = 8.4, 4.8 Hz, NHCH), 5.15 (1H, d, J = 4.2 Hz, SCHN), 4.71 (1H, s, NCHCOO), 3.73 (3H, s, CH3).
(4-Methoxyphenyl)methyl (2′S,2R,6R,7R)-10′-hydroxy-8,9′-dioxo-7′-phenyl-7-(2-phenylacetamido)-3′,8′-dihydro-5-thia-1-azaspiro[1′,4′-dioxino-3,2′-bicyclo[4.2.0]octane]-2-carboxylate (17): 40.3 mg (51%); Rt (method 1) = 15.27 min; Rf (DCM:EtOAc, 8:1) = 0.38; mp 113 – 115 °C; IR 2954 (NH), 1747 (C=O), 1734 (C=O), 1653 (C=O), 1516 (C=C); 1H NMR δ (500 MHz, DMSO-d6) 12.91 (1H, s, OH), 9.20 (1H, d, J = 8.5 Hz, NH), 8.11 (2H, d, J = 7.1 Hz, ArH), 7.66 – 7.59 (3H, m, ArH), 7.34 – 7.28 (4H, m, ArH), 7.25 (1H, m, ArH), 7.15 (2H, d, J = 8.6 Hz, ArH), 7.07 (1H, s, =CH), 6.94 (1H, s, ArH), 6.74 (2H, d, J = 8.6 Hz, ArH), 5.43 (1H, d, J = 8.5, 4.2 Hz, NHCH), 5.34 (1H, d, J = 4.2 Hz, SCHN), 5.11 (1H, d, J = 11.8 Hz, OCHAHBAr), 5.03 (1H, d, J = 12.2 Hz, ArOCHCHD), 4.93 (1H, d, J = 11.8 Hz, OCHAHBAr), 4.69 (1H, s, NHCOO), 4.34 (1H, d, J = 12.2 Hz, ArOCHCHD), 3.65 – 3.63 (4H, m, SCHEHF, CH3), 3.58 (1H, d, J = 14.1 Hz, COCHGHH), 3.53 (1H, d, J = 14.1 Hz, COCHGHH), 3.07 (1H, d, J = 13.8 Hz, SCHEHF); 13C NMR δ (126 MHz, DMSO-d6) 183.04 (C), 171.05 (C), 166.81 (C), 165.64 (C), 164.25 (C), 159.66 (C), 150.46 (C), 148.87 (C), 148.36 (C), 136.10 (C), 132.73 (CH), 131.08 (C), 130.39 (2 × CH), 129.67 (2 × CH), 129.47 (2 × CH), 128.75 (2 × CH), 127.02 (CH), 126.94 (2 × CH), 126.85 (C), 126.05 (C), 114.03 (2 × CH), 106.12 (C), 105.00 (CH), 95.61 (CH), 70.44 (C), 67.73 (CH2), 66.78 (CH2), 59.53 (CH), 55.79 (CH), 55.38 (CH3), 52.32 (CH), 42.34 (CH2), 27.11 (CH2); m/z (ESI+, MeCN) 721 ([M+H]+, 100%); HRMS (ESI+, MeCN) [M+H]+ found 721.1846, C39H33N2O10S requires 721.1850.
(4-Methoxyphenyl)methyl (2′S,2R,6R,7R)-14’,15’-dihydroxy-8,10’,17’-trioxo-7-(2-phenylacetamido)-3’,6’,11’,18’-tetraoxa-5-thia-1-azaspiro-bicyclo[4.2.0]octane-3,4’-pentacyclo-icosane-1’,2’,8’,12’,13’,15’-hexaene-2-carboxylate (19): 17.5 mg (28%); Rt (method 2) = 27.61 min; mp 131 – 133 °C; IR 2978 (NH), 1734 (C=O), 1716 (C=O), 1541 (C=O); 1H NMR δ (500 MHz, DMSO-d6) 9.23 (1H, d, J = 8.5 Hz, NH), 7.47 (1H, s, ArH), 7.35 – 7.21 (8H, m, ArH), 6.84 (2H, d, J = 8.5 Hz, ArH), 5.54 (1H, dd, J = 8.5, 4.2 Hz, NHCH), 5.34 (1H, d, J = 4.2 Hz, SCHN), 5.20 (1H, d, J = 11.8 Hz, OCHAHBAr), 5.06 (1H, d, J = 11.8 Hz, OCHAHBAr), 5.01 (1H, d, J = 12.1 Hz, ArOHCHD), 4.77 (1H, s, NCHCO), 4.59 (1H, d, J = 12.1 Hz, ArOHCHD), 3.73 (3H, s, CH3), 3.60 – 3.51 (3H, m, SCHEHF, COCH2), 3.07 (1H, d, J = 13.8 Hz, SCHEHF); 13C NMR δ (126 MHz, DMSO-d6) 171.11 (C), 166.67 (C), 165.64 (C), 159.82 (2 × C), 158.91 (C), 158.86 (C), 149.42 (C), 142.78 (C), 137.22 (C), 136.85 (C), 136.10 (2 × C), 135.55 (C), 130.94 (2 × CH), 129.49 (2 × CH), 128.77 (2 × CH), 127.17 (C), 127.04 (CH), 114.11 (2 × CH), 113.76 (C), 113.28 (CH), 112.00 (C), 111.24 (C), 110.83 (CH), 71.79 (C), 67.54 (CH2), 66.48 (CH2), 59.65 (CH), 55.72 (CH), 55.42 (CH3), 52.76 (CH), 42.35 (CH2), 26.74 (CH2); m/z (ESI-, MeCN) 751 ([M-H]-, 100%); HRMS (ESI-, MeCN) [M-H]- found 751.1264, C38H27N2O13S requires 751.1228. Minor diastereomer: Rt (method 2) = 27.92 min; 1H NMR δ (500 MHz, DMSO-d6) diagnostic peaks: 9.24 (1H, d, J = 7.9 Hz, NH), 5.42 (1H, dd, J = 7.9, 4.3 Hz, NHCH), 5.21 (1H, d, J = 4.3 Hz, SCHN), 4.74 (1H, s, NCHCO), 3.77 (3H, s, CH3).
3.4. Typical Procedure for PMB Deprotection
Anisole (0.15 mL, 1.34 mmol) was added to a stirred solution of spiro-cephalosporin 5 (30.0 mg, 0.05 mmol) in DCM (4 mL) and was cooled to 0 °C. TFA (0.21 mL, 2.68 mmol) was added dropwise to the reaction mixture and the mixture was stirred at 0 °C for 1 h, then at rt for 3 h. The reaction mixture was concentrated in vacuo and the crude product was purified by column chromatography (DCM:MeOH:AcOH, 96:4:1) to give the desired product 20 [45].
3.5. Characterisation of PMB Deprotected Products
(2′S,2R,6R,7R)-8-Oxo-7-(2-phenylacetamido)-5-thia-1-azaspiro[1′,4′-benzodioxine-3,2’-bicyclo[4.2.0]octane]-2-carboxylic acid (20): 16.6 mg (71%); Rt (method 1) = 12.90 min; Rf (DCM:MeOH:AcOH, 96:4:1) = 0.25; mp 206 – 208 °C; IR (neat, cm-1) 3400 – 3061 (OH), 2887 (NH), 1747 (C=O), 1625 (C=O); 1H NMR δ (500 MHz, DMSO-d6) 9.18 (1H, d, J = 8.5 Hz, NH), 7.35 – 7.26 (4H, m, ArH), 7.26 – 7.22 (1H, m, ArH), 7.01 – 6.95 (1H, m, ArH), 6.91 – 6.88 (2H, m, ArH), 6.86 – 6.81 (1H, m, ArH), 5.39 (1H, dd, J = 8.5, 4.2 Hz, NHCH), 5.29 (1H, d, J = 4.2 Hz, SCHN), 4.73 (1H, d, J = 12.0 Hz, ArOHAHB), 4.51 (1H, s, NCHCOO), 4.20 (1H, d, J = 12.0 Hz, ArOHAHB), 3.65 (1H, d, J = 13.6 Hz, SCHCHD), 3.57 (1H, d, J = 14.0 Hz, COCHEHF), 3.52 (1H, d, J = 14.0 Hz, COCHEHF), 2.86 (1H, d, J = 13.6 Hz, SCHCHD); 13C NMR δ (126 MHz, DMSO-d6) 171.03 (C), 168.41 (C), 165.48 (C), 142.36 (C), 141.79 (C), 136.20 (C), 129.49 (2 × CH), 128.73 (2 × CH), 126.99 (CH), 122.76 (CH), 122.18 (CH), 117.87 (CH), 117.66 (CH), 70.84 (C), 66.12 (CH2), 59.22 (CH), 55.40 (CH), 53.40 (CH), 42.28 (CH2), 26.96 (CH2); m/z (ESI+, MeCN) 463 ([M+Na]+, 29%), 458 ([M+NH4]+, 15), 441 ([M+H]+, 100); HRMS (ESI+, MeCN) [M+H]+ found 441.1104, C22H21N2O6S requires 441.1115.
(2′S,2R,6R,7R)-7′,8-Dioxo-7-(2-phenylacetamido)-3′,7′-dihydro-5-thia-1-azaspiro[1′,4′-dioxino-3,2′-bicyclo[4.2.0]octane]-2-carboxylic acid (21): 37.0 mg (93%); Rt (method 1) = 12.03 min; Rf (DCM:MeOH:AcOH, 92:8:1) = 0.40; mp 210 – 212 °C; IR 3304 (NH), 1718 (C=O), 1560 (C=O), 1500 (C=C); 1H NMR δ (500 MHz, DMSO-d6) 9.15 (1H, d, J = 8.5 Hz, NH), 7.94 (1H, d, J = 9.6 Hz, COCH=CH), 7.35 – 7.27 (4H, m, ArH), 7.26 – 7.20 (2H, m, ArH), 7.08 (1H, s, ArH), 6.34 (1H, d, J = 9.6 Hz, COCH=CH), 5.34 (2H, m, NHCH, SCHN), 4.78 (1H, d, J = 12.0 Hz, OCHAHB), 4.40 (1H, br s, NCHCOO), 4.38 (1H, d, J = 12.0 Hz, OCHAHB), 3.76 (1H, br d, J = 13.6 Hz, SCHCHD), 3.57 (1H d, J = 14.1 Hz, COCHEHF), 3.52 (1H d, J = 14.1 Hz, COCHEHF), 2.82 (1H, br d, J = 13.6 Hz, SCHCHD); 13C NMR δ (126 MHz, DMSO-d6) 171.02 (C), 168.00 (C), 165.24 (C), 160.63 (C), 149.22 (C), 145.81 (C), 144.29 (CH), 138.84 (C), 136.23 (C), 129.49 (2 × CH), 128.73 (2 × CH), 126.98 (CH), 115.93 (CH), 114.44 (CH), 113.99 (C), 104.94 (CH), 71.11 (C), 66.75 (CH2), 59.10 (CH), 55.43 (CH), 54.44 (CH), 42.29 (CH2), 26.94 (CH2); m/z (ESI+, MeCN) 531 ([M+Na]+, 100%), 509 ([M+H]+, 33); HRMS (ESI+, MeCN) [M+H]+ found 509.1038, C25H21N2O8S requires 509.1013.
(2′S,2R,6R,7R)-7′,8-Dioxo-7-(2-phenylacetamido)-3′,7′,8′,9′,10′,11′-hexahydro-1′,4′,6′-trioxa-5-thia-1-azaspiro[bicyclo[4.2.0]octane-3,2’-tetraphene]-2-carboxylic acid (22): 60.4 mg (74%); Rt (method 1) = 12.94 min; Rf (DCM:MeOH:AcOH, 95:5:1) = 0.50; mp 218 – 220 °C; IR 3400 – 3200 (OH), 2934 (NH), 1751 (C=O), 1676 (C=O); 1H NMR δ (500 MHz, DMSO-d6) 9.19 (1H, J = 8.5 Hz, NH), 7.32 – 7.25 (5H, m, ArH), 7.13 (1H, s, ArH), 7.08 (1H, s, ArH), 5.40 (1H, dd, J = 8.5, 4.1 Hz, NHCH), 5.30 (1H, d, J = 4.1 Hz, SCHN), 4.81 (1H, d, J = 12.1 Hz, ArOCHAHB), 4.54 (1H, s, NCHCOO), 4.36 (1H, d, J = 12.1 Hz, ArOCHAHB), 3.66 (1H, d, J = 13.6 Hz, SCHCHD), 3.57 (1H, d, J = 14.1 Hz, COCHEHF), 3.52 (1H, d, J = 14.1 Hz, COCHEHF), 2.92 (1H, d, J = 13.6 Hz, SCHCHD), 2.76 – 2.64 (2H, m, C11′H), 2.42 -2.39 (2H, m, C11′H), 1.77 – 1.69 (4H, m, C9′H2C10′H2). 13C NMR δ (126 MHz, DMSO-d6) 171.03 (C), 168.27 (C), 165.53 (C), 161.18 (C), 147.36 (C), 147.01 (C), 144.36 (C), 138.52 (C), 136.18 (C), 129.49 (2 × CH), 128.74 (2 × CH), 127.00 (CH), 121.48 (C), 115.10 (C), 111.65 (CH), 104.85 (CH), 71.05 (C), 66.52 (CH2), 59.31 (CH), 55.48 (CH), 53.37 (CH), 42.31 (CH2), 26.90 (CH2), 25.18 (CH2), 24.13 (CH2), 21.60 (CH2), 21.31 (CH2). m/z (ESI+, MeCN) 585 ([M+Na]+, 23%), 580 ([M+NH4]+, 35), 563 ([M+H]+, 100); HRMS (ESI+, MeCN) [M+H]+ found 563.1476, C29H27N2O8S requires 563.1483.
(2′S,2R,6R,7R)-7′,8-Dioxo-9′-phenyl-7-(2-phenylacetamido)-3′,7′dihydro-5-thia-1-azaspiro[1′,4′-dioxino-3,2′-bicyclo[4.2.0]octane]-2-carboxylic acid (23): 150 mg (74%); Rt (method 1) = 13.35 min; Rf (DCM:MeOH:AcOH, 90:10:1) = 0.38; mp 182 – 184 °C; IR 3300 – 2954 (OH), 2924 (NH), 1724 (C=O), 1626 (C=O), 1506 (C=C); 1H NMR δ (500 MHz, DMSO-d6) 13.52 (1H, s, OH), 9.18 (1H, d, J = 8.5 Hz, NH), 7.59 (3H, m, ArH), 7.51 (2H, m, ArH), 7.33 – 7.27 (4H, m, ArH), 7.25 – 7.22 (2H, m, ArH), 6.75 (1H, s, ArH), 6.32 (1H, s, =CH), 5.41 (1H, dd, J = 8.5, 4.2 Hz, NHCH), 5.26 (1H, d, J = 4.2 Hz, SCHN), 4.88 (1H, d, J = 12.2 Hz, ArOCHAHB), 4.54 (1H, s, NCHCOO), 4.39 (1H, d, J = 12.2 Hz, ArOCHAHB), 3.57 (1H, d, J = 14.1 Hz, COCHEHF), 3.55 (1H, d, J = 13.8 Hz, SCHCHD), 3.52 (1H, d, J = 14.1 Hz, COCHEHF), 2.93 (1H, d, J = 13.8 Hz, SCHCHD); 13C NMR δ (126 MHz, DMSO-d6) 171.02 (C), 168.26 (C), 165.63 (C), 160.27 (C), 154.80 (C), 149.44 (C), 145.79 (C), 138.39 (C), 136.15 (C), 135.24 (C), 130.27 (CH), 129.49 (2 × CH), 129.46 (2 × CH), 128.79 (2 × CH), 128.74 (2 × CH), 127.01 (CH), 114.17 (CH), 113.74 (C), 113.43 (CH), 105.75 (CH), 70.85 (C), 66.63 (CH2), 59.39 (CH), 55.53 (CH), 52.88 (CH), 42.32 (CH2), 26.93 (CH2); m/z (ESI+, MeCN) 585 ([M+H]+, 100); HRMS (ESI+, MeCN) [M+H]+ found 585.1315, C31H25N2O8S requires 585.1326.
(2′S,2R,6R,7R)-8,9′-Dioxo-7′-phenyl-7-(2-phenylacetamido)-3′,9′-dihydro-5-thia-1-azaspiro[1′,4′-dioxino -3,2′-bicyclo[4.2.0]octane]-2-carboxylic acid (24): 61.9 mg (97%); Rt (method 1) = 13.47 min; Rf (DCM:MeOH:AcOH, 90:10:1) = 0.42; mp 177 – 178 °C; IR 3430 – 3120 (OH), 2924 (NH), 1751 (C=O), 1622 (C=O); 1H NMR δ (500 MHz, DMSO-d6) 13.63 (1H, s, OH), 9.18 (1H, d, J = 8.5 Hz, NH), 8.09 (2H, dd, J = 8.0, 1.6 Hz, ArH), 7.61 (3H, m, ArH), 7.52 (1H, s, ArH), 7.36 (1H, s, ArH), 7.34 – 7.27 (4H, m, ArH), 7.25 (1H, m, ArH), 6.96 (1H, s, =CH), 5.42 (1H, dd, J = 8.5, 4.2 Hz, NHCH), 5.31 (1H, d, J = 4.2 Hz, SCHN), 4.96 (1H, d, J = 12.2 Hz, ArOCHAHB), 4.59 (1H, s, NCHCOO), 4.43 (1H, d, J = 12.2 Hz, ArOCHAHB), 3.65 (1H, d, J = 13.7 Hz, SCHCHD), 3.58 (1H, d, J = 14.1 Hz, COCHEHFAr), 3.53 (1H, d, J = 14.1 Hz, COCHEHFAr), 3.00 (1H, d, J = 13.7 Hz, SCHCHD); 13C NMR δ (126 MHz, DMSO-d6) 176.56 (C), 171.04 (C), 168.27 (C), 165.60 (C), 162.95 (C), 151.60 (C), 147.71 (C), 140.14 (C), 136.15 (C), 132.21 (CH), 131.70 (C), 129.59 (2 × CH), 129.50 (2 × CH), 128.75 (2 × CH), 127.02 (CH), 126.74 (2 × CH), 119.10 (C), 111.64 (CH), 106.64 (CH), 106.46 (CH), 71.13 (C), 66.60 (CH2), 59.45 (CH), 55.51 (CH), 52.94 (CH), 42.34 (CH2), 27.02 (CH2); m/z (ESI+, MeCN) 585 ([M+H]+,100%); HRMS (ESI+, MeCN) [M+H]+ found 585.1353, C31H25N2O8S requires 585.1326.
(2′S,2R,6R,7R)-10′-Hydroxy-8,9′-dioxo-7′-phenyl-7-(2-phenylacetamido)-3′,9′-dihydro-5-thia-1-azaspiro[1′,4′-dioxino-3,2′-bicyclo[4.2.0]octane]-2-carboxylic acid (25): 60.0 mg (63%); Rt (method 1) = 13.73 min; Rf (DCM:MeOH:AcOH, 95:5:1) = 0.47; mp 171 – 173 °C; IR 3500 – 3400 (OH), 3000 (NH), 1757 (C=O), 1609 (C=O), 1500 (C=C); 1H NMR δ (500 MHz, DMSO-d6) 13.61 (1H, brs, COOH), 12.94 (1H, s, ArOH), 9.18 (1H, d, J = 8.5 Hz, NH), 8.11 (2H, d, J = 7.0 Hz, ArH), 7.66 – 7.57 (3H, m, ArH), 7.34 – 7.28 (4H, m, ArH), 7.25 (1H, m, ArH), 7.03 (1H, s, =CH), 6.97 (1H, s, ArH), 5.42 (1H, dd, J = 8.5, 4.1 Hz, NHCH), 5.31 (1H, d, J = 4.1 Hz, SCHN), 4.97 (1H, d, J = 12.1 Hz, ArOCHAHB), 4.56 (1H, s, NHCOO), 4.40 (1H, d, J = 12.1 Hz, ArOCHAHB), 3.69 (1H, d, J = 13.7 Hz, SCHCHD), 3.58 (1H, d, J = 14.0 Hz, COCHEHF), 3.53 (1H, d, J = 14.0 Hz, COCHEHF), 2.98 (1H, d, J = 13.7 Hz, SCHCHD); 13C NMR δ (126 MHz, DMSO-d6) 183.15 (C), 171.02 (C), 168.18 (C), 165.56 (C), 164.36 (C), 150.51 (C), 149.03 (C), 148.68 (C), 136.14 (C), 132.70 (CH), 131.14 (C), 129.65 (2 × CH), 129.48 (2 × CH), 128.74 (2 × CH), 127.01 (3 × CH), 126.26 (C), 106.06 (C), 105.05 (CH), 95.64 (CH), 70.53 (C), 66.84 (CH2), 59.35 (CH), 55.55 (CH), 52.88 (CH), 42.33 (CH2), 26.98 (CH2); m/z (ESI-, MeCN) 599 ([M-H]-, 100%); HRMS (ESI-, MeCN) [M-H]- found 599.1110, C31H23N2O9S requires 599.1119.
(2′S,2R,6R,7R)-14’,15’-Dihydroxy-8,10’,17’-trioxo-7-(2-phenylacetamido)-3’,6’,11’,18’-tetraoxa-5-thia-1-azaspiro-bicyclo[4.2.0]octane-3,4’-pentacyclo-icosane-1’,2’,8’,12’,13’,15’-hexaene-2-carboxylic acid (26): 12.3 mg (77%); Rt (method 1) = 12.42 min; Rf (DCM:MeOH:AcOH, 86:14:1) = 0.23; mp 184 – 185 °C; IR 3486 – 3070 (OH), 2974 (NH), 1737 (C=O), 1614 (C=O); 1H NMR δ (600 MHz, DMSO-d6) 9.21 (1H, d= 8.5 Hz, NH), 7.46 (1H, s, ArH), 7.42 (1H, s, ArH), 7.34 – 7.30 (4H, m, ArH), 7.26 – 7.25 (1H, m, ArH), 5.42 (1H, dd, J = 8.5, 4.2 Hz, NHCH), 5.34 (1H, d, J = 4.1 Hz, SCHN), 5.06 (1H, d, J = 12.1 Hz, ArOCHAHB), 4.61 (1H, s, NCHCOO), 4.54 (1H, d, J = 12.1 Hz, ArOCHAHB), 3.72 (1H, d, J = 13.5 Hz, SCHCHD), 3.59 (1H, d, J = 14.1 Hz, COCHEHF), 3.54 (1H, d, J = 14.1 Hz, COCHEHF), 3.03 (1H, d, J = 13.5 Hz, SCHCHD); 13C NMR δ (151 MHz, DMSO-d6) 171.06 (C), 168.18 (C), 165.56 (C), 159.02 (C), 158.88 (C), 149.41 (C), 143.19 (C), 137.30 (C), 136.81 (C), 136.17 (C), 135.78 (C), 132.07 (C), 129.51 (2 × CH), 128.76 (2 × CH), 127.02 (CH), 120.41 (C), 113.70 (C), 113.02 (CH), 112.01 (C), 111.16 (C), 110.86 (CH), 71.71 (C), 66.78 (CH2), 59.42 (CH), 55.53 (CH), 53.20 (CH), 42.36 (CH2), 26.97 (CH2); m/z (ESI-, MeCN) 631 ([M-H]-, 100%); HRMS (ESI-, MeCN) [M-H]- found 631.0064, C30H19N2O12S requires 631.0653.
4. Conclusions
Novel methodology for the synthesis of spiro-cephalosporins through a Michael-type reaction with the dihydrothiazine ring under mild basic conditions has been developed. A range of catechols were screened, and the spiro-cyclisation reactions were found to be highly diastereostereoselective (d.r. 14:1 to 8:1) with moderate to good yields (28-65%). The spirocyclisation products were transformed to more drug-like motifs through simple deprotection of the PMB-ester found in the cephalosporin precursor. Although the focus of this work has been the fusion of antioxidants, such as coumarins and flavonoids, with the cephalosporin core, we anticipate that spiro-cyclisation could be achieved with a range of other interesting catechol species, such as dopamine, apomorphine, catechin and caffeic acid. Given the recent rise in interest in the synthesis of spirocyclic motifs in medicinal chemistry [52], we anticipate that this new approach to spirocyclisation might be implemented across other target structures.
Supplementary Materials
The following are available online at https://www.mdpi.com/article/10.3390/molecules26196035/s1, Figures S1–S14: 1H and 13C NMR spectra for compounds 5, and 13–26.
Author Contributions
The work was conceived by A.X.Z., L.E.H. and A.N.H., conducted by A.X.Z., and supervised by L.E.H. and A.N.H. The manuscript was drafted by A.X.Z., and reviewed and edited by L.E.H. and A.N.H. All authors have read and agreed to the published version of the manuscript.
Funding
We thank the EPSRC (Grant Refs: EP/M506515/1 and EP/N509644/1) and IBioIC (Innovation Centre Programme funded by SFC, SE and HIE) for funding (studentship to AZ).
Data Availability Statement
Data is contained within the article or Supplementary Materials.
Acknowledgments
We thank Faye Cruickshank of the SIRCAMS facility at the University of Edinburgh for assistance with and Juraj Bella for assistance with NMR experiments.
Conflicts of Interest
The authors declare no conflict of interest.
Sample Availability
Samples of the compounds are not available from the authors.
References
- Baeyer, A. Systematik und Nomenclatur Bicyclischer Kohlenwasserstoffe. Ber. Dtsch. Chem. Ges. 1900, 33, 3771–3775. [Google Scholar] [CrossRef] [Green Version]
- Petersen, A.B.; Rønnest, M.H.; Larsen, T.O.; Clausen, M.H. The Chemistry of Griseofulvin. Chem. Rev. 2014, 114, 12088–12107. [Google Scholar] [CrossRef] [Green Version]
- Dugar, S.; Clader, J.W.; Chan, T.-M.; Davis, H. Substituted 2-azaspiro [5.3] nonan-1-ones as potent cholesterol absorption inhibitors: Defining a binding conformation for SCH 48461. J. Med. Chem. 1995, 38, 4875–4877. [Google Scholar] [CrossRef]
- Kambara, T.; Tomioka, K. Formal Asymmetric Synthesis of a Cholesterol Absorption Inhibitor Bearing a 2-Azaspiro [3.5] nonan-1-one Moiety. J. Org. Chem. 1999, 64, 9282–9285. [Google Scholar] [CrossRef]
- Howell, K.; Devita, R.J.; Garcia-Calvo, M.; Meurer, R.D.; Lisnock, J.; Bull, H.G.; McMasters, D.R.; McCann, M.E.; Mills, S.G. Spiroimidazolidinone NPC1L1 inhibitors. Part 2: Structure-activity studies and in vivo efficacy. Bioorganic Med. Chem. Lett. 2010, 20, 6929–6932. [Google Scholar] [CrossRef]
- Khalil, E.M.; Ojala, W.H.; Pradhan, A.; Nair, V.D.; Gleason, W.B.; Mishra, R.K.; Johnson, R.L. Design, Synthesis, and Dopamine Receptor Modulating Activity of Spiro Bicyclic Peptidomimetics ofl-Prolyl-l-leucyl-glycinamide. J. Med. Chem. 1999, 42, 628–637. [Google Scholar] [CrossRef] [PubMed]
- Macias, A.; Ramallal, A.M.; Alonso, E.; del Pozo, C.; González, J. Synthesis of Enantiopure Pyrrolidine-Derived Peptidomimetics and Oligo-β-peptides via Nucleophilic Ring-Opening of β-Lactams†. J. Org. Chem. 2006, 71, 7721–7730. [Google Scholar] [CrossRef]
- Bhagwanth, S.; Mishra, S.; Daya, R.; Mah, J.; Mishra, R.K.; Johnson, R.L. Transformation of Pro-Leu-Gly-NH2 Peptidomimetic Positive Allosteric Modulators of the Dopamine D2 Receptor into Negative Modulators. ACS Chem. Neurosci. 2012, 3, 274–284. [Google Scholar] [CrossRef] [PubMed] [Green Version]
- Yuan, J.; Venkatraman, S.; Zheng, Y.; McKeever, B.M.; Dillard, L.W.; Singh, S.B. Structure-Based Design of β-Site APP Cleaving Enzyme 1 (BACE1) Inhibitors for the Treatment of Alzheimer’s Disease. J. Med. Chem. 2013, 56, 4156–4180. [Google Scholar] [CrossRef] [PubMed]
- Thomas, A.A.; Hunt, K.W.; Newhouse, B.; Watts, R.J.; Liu, X.; Vigers, G.; Smith, D.; Rhodes, S.P.; Brown, K.D.; Otten, J.N.; et al. 8-Tetrahydropyran-2-yl Chromans: Highly Selective Beta-Site Amyloid Precursor Protein Cleaving Enzyme 1 (BACE1) Inhibitors. J. Med. Chem. 2014, 57, 10112–10129. [Google Scholar] [CrossRef]
- Dineen, T.A.; Chen, K.; Cheng, A.C.; Derakhchan, K.; Epstein, O.; Esmay, J.; Hickman, D.; Kreiman, C.; Marx, I.E.; Wahl, R.C.; et al. Inhibitors of β-site amyloid precursor protein cleaving enzyme (BACE1): Identification of (S)-7-(2-fluoropyridin-3-yl)-3-((3-methyloxetan-3-yl)ethynyl)-5′H-spiro[chromeno[2,3-b]pyridine-5,4′-oxazol]-2′-amine (AMG-8718). J. Med. Chem. 2014, 57, 9811–9831. [Google Scholar] [CrossRef]
- Neelamkavil, S.F.; Agrawal, S.; Bara, T.; Bennett, C.; Bhat, S.; Biswas, D.; Brockunier, L.; Buist, N.; Burnette, D.; Cartwright, M.; et al. Discovery of MK-8831, a novel spiro-proline macrocycle as a pan-genotypic HCV-NS3/4a protease inhibitor. ACS Med. Chem. Lett. 2016, 7, 111–116. [Google Scholar] [CrossRef]
- Link, J.O.; Taylor, J.G.; Xu, L.; Mitchell, M.; Guo, H.; Liu, H.; Kato, D.; Kirschberg, T.; Sun, J.; Squires, N.; et al. Discovery of Ledipasvir (GS-5885): A Potent, Once-Daily Oral NS5A Inhibitor for the Treatment of Hepatitis C Virus Infection. J. Med. Chem. 2014, 57, 2033–2046. [Google Scholar] [CrossRef]
- Ye, N.; Chen, H.; Wold, E.A.; Shi, P.-Y.; Zhou, J. Therapeutic Potential of Spirooxindoles as Antiviral Agents. ACS Infect. Dis. 2016, 2, 382–392. [Google Scholar] [CrossRef]
- Das, P.; Boone, S.; Mitra, D.; Turner, L.; Tandon, R.; Raucher, D.; Hamme, A.T. Synthesis and biological evaluation of fluoro-substituted spiro-isoxazolines as potential anti-viral and anti-cancer agents. RSC Adv. 2020, 10, 30223–30237. [Google Scholar] [CrossRef]
- Guardia, A.; Baiget, J.; Cacho, M.; Pérez, A.; Ortega-Guerra, M.; Nxumalo, W.; Khanye, S.D.; Rullas, J.; Ortega, F.; Jiménez, E.; et al. Easy-To-Synthesize Spirocyclic Compounds Possess Remarkable in vivo Activity against Mycobacterium tuberculosis. J. Med. Chem. 2018, 61, 11327–11340. [Google Scholar] [CrossRef]
- Blondiaux, N.; Moune, M.; Desroses, M.; Frita, R.; Flipo, M.; Mathys, V.; Soetaert, K.; Kiass, M.; Delorme, V.; Djaout, K.; et al. Reversion of antibiotic resistance in Mycobacterium tuberculosis by spiroisoxazoline SMARt-420. Science 2017, 355, 1206–1211. [Google Scholar] [CrossRef] [PubMed]
- Urzúa, A.; Echeverría, J.; Rezende, M.C.; Wilkens, M. Antibacterial properties of 3 H-spiro[1-benzofuran-2,1′-cyclohexane] derivatives from Heliotropium filifolium. Molecules 2008, 13, 2385–2393. [Google Scholar] [CrossRef] [PubMed] [Green Version]
- Sandanayaka, V.P.; Prashad, A.S.; Yang, Y.; Williamson, R.T.; Lin, Y.I.; Mansour, T.S. Spirocyclopropyl β-lactams as mechanism-based inhibitors of serine β-lactamases. Synthesis by rhodium-catalyzed cyclopropanation of 6-diazopenicillanate sulfone. J. Med. Chem. 2003, 46, 2569–2571. [Google Scholar] [CrossRef]
- Mani, K.S.; Kaminsky, W.; Rajendran, S.P. A facile atom economic one pot multicomponent synthesis of bioactive spiro-indenoquinoxaline pyrrolizines as potent antioxidants and anti-cancer agents. New J. Chem. 2018, 42, 301–310. [Google Scholar] [CrossRef]
- Islam, M.S.; Al-Majid, A.M.; El-Senduny, F.F.; Badria, F.A.; Rahman, A.F.M.M.; Barakat, A.; Elshaier, Y.A.M.M. Synthesis, Anticancer Activity, and Molecular Modeling of New Halogenated Spiro [pyrrolidine-thiazolo-oxindoles] Derivatives. Appl. Sci. 2020, 10, 2170. [Google Scholar] [CrossRef] [Green Version]
- Hati, S.; Tripathy, S.; Dutta, P.K.; Agarwal, R.; Srinivasan, R.; Singh, A.; Singh, S.; Sen, S. Spiro[pyrrolidine-3,3-oxindole] as potent anti-breast cancer compounds: Their design, synthesis, biological evaluation and cellular target identification. Sci. Rep. 2016, 6, 32213. [Google Scholar] [CrossRef] [PubMed] [Green Version]
- Najim, N.; Bathich, Y.; Zain, M.M.; Hamzah, A.S.; Shaameri, Z. Evaluation of the Bioactivity of Novel Spiroisoxazoline Type Compounds against Normal and Cancer Cell Lines. Molecules 2010, 15, 9340–9353. [Google Scholar] [CrossRef] [PubMed] [Green Version]
- Zheng, Y.-J.; Tice, C.M. The utilization of spirocyclic scaffolds in novel drug discovery. Expert Opin. Drug Discov. 2016, 11, 831–834. [Google Scholar] [CrossRef] [Green Version]
- Shennan, B.D.A.; Smith, P.W.; Ogura, Y.; Dixon, D.J. A modular and divergent approach to spirocyclic pyrrolidines. Chem. Sci. 2020, 11, 10354–10360. [Google Scholar] [CrossRef]
- Lovering, F.; Bikker, J.; Humblet, C. Escape from Flatland: Increasing Saturation as an Approach to Improving Clinical Success. J. Med. Chem. 2009, 52, 6752–6756. [Google Scholar] [CrossRef]
- Zheng, Y.; Tice, C.M.; Singh, S.B. The use of spirocyclic scaffolds in drug discovery. Bioorganic Med. Chem. Lett. 2014, 24, 3673–3682. [Google Scholar] [CrossRef] [Green Version]
- Rios, R. Enantioselective methodologies for the synthesis of spiro compounds. Chem. Soc. Rev. 2012, 41, 1060–1074. [Google Scholar] [CrossRef]
- Ding, A.; Meazza, M.; Guo, H.; Yang, J.W.; Rios, R. New development in the enantioselective synthesis of spiro compounds. Chem. Soc. Rev. 2018, 47, 5946–5996. [Google Scholar] [CrossRef] [PubMed]
- Franz, A.K.; Hanhan, N.V.; Ball-Jones, N.R. Asymmetric Catalysis for the Synthesis of Spirocyclic Compounds. ACS Catal. 2013, 3, 540–553. [Google Scholar] [CrossRef]
- Pawlowski, R.; Skorka, P.; Stodulski, M. Radical-Mediated Non-Dearomative Strategies in Construction of Spiro Compounds. Adv. Synth. Catal. 2020, 362, 4462–4486. [Google Scholar] [CrossRef]
- Bycroft, B.W.; Shute, R.E.; Begley, M.J. Novel β-lactamase inhibitory and antibacterial 6-spiro- epoxypenicillins. J. Chem. Soc. Chem. Commun. 1988, 274–276. [Google Scholar] [CrossRef]
- Turos, E.; Long, T.E.; Heldreth, B.; Leslie, J.M.; Reddy, G.S.K.; Wang, Y.; Coates, C.; Konaklieva, M.; Dickey, S.; Lim, D.V.; et al. N-Thiolated β-lactams: A new family of anti-Bacillus agents. Bioorganic Med. Chem. Lett. 2006, 16, 2084–2090. [Google Scholar] [CrossRef]
- Sheehan, J.C.; Chacko, E.; Lo, Y.S.; Ponzi, D.R.; Sato, E. Some new spiro penicillins. J. Org. Chem. 1978, 43, 4856–4859. [Google Scholar] [CrossRef]
- Benfatti, F.; Cardillo, G.; Gentilucci, L.; Tolomelli, A. Synthesis and biological evaluation of unprecedented classes of spiro-β-lactams and azido-β-lactams as acyl-CoA:cholesterol acyltransferase inhibitors. Bioorganic Med. Chem. Lett. 2007, 17, 1946–1950. [Google Scholar] [CrossRef] [PubMed]
- Narender Reddy, A.V.; Fiakpui, C.Y.; Czajkowski, D.P.; Spevak, P.; Kaleta, J.; Micetich, R.G.; Maiti, S.N. Synthesis and human leukocyte elastase inhibitory activity of novel 2-spiro (2’,2’-diphenylcyclopropane) cephalosporin sulfones. Chem. Heterocycl. Compd. 1998, 34, 1289–1295. [Google Scholar] [CrossRef]
- Skiles, J.W.; McNeil, D. Spiro indolinone beta-lactams, inhibitors of pliovirus and rhinovirus 3C-proteinases. Tetrahedron Lett. 1990, 31, 7277–7280. [Google Scholar] [CrossRef]
- Santos, B.S.; Nunes, S.C.C.; Pais, A.A.C.C.; Pinho e Melo, T.M.V.D. Chiral spiro-β-lactams from 6-diazopenicillanates. Tetrahedron 2012, 68, 3729–3737. [Google Scholar] [CrossRef]
- Hirai, K.; Iwano, Y.; Saito, T.; Hiraoka, T.; Kishida, Y. Functionalisation of C6(7) of penicillins and cephalosporins via 1,3-dipolar intermediate. Tetrahedron Lett. 1976, 17, 1303–1306. [Google Scholar] [CrossRef]
- Santos, B.S.; Pino e Melo, T.M.V.D. Synthesis of chiral spirocyclopentenyl-β-lactams through phosphane-catalyzed [3+2] annulation of allenoates with 6- alkylidenepenicillanates. Eur. J. Org. Chem. 2013, 3901–3909. [Google Scholar] [CrossRef]
- Pitlik, J. Cycloaddition and related reactions of cephalosporin antibiotics. Bioorganic Med. Chem. 1995, 3, 1157–1181. [Google Scholar] [CrossRef]
- Yang, D.-P.; Ji, H.-F.; Tang, G.-Y.; Ren, W.; Zhang, H.-Y. How Many Drugs Are Catecholics. Molecules 2007, 12, 878–884. [Google Scholar] [CrossRef]
- Ivanova, G.; Bratovanova, E.; Petkov, D. Catechol as a nucleophilic catalyst of peptide bond formation. J. Pept. Sci. 2002, 8, 8–12. [Google Scholar] [CrossRef]
- Cabiddu, S.; Floris, C.; Melis, S.; Sotgiu, F.; Cerioni, G. Heterocyclic compound studies. II. Synthesis of 1,4-benzodioxin, 1,4-benzoxathiin, 1,4-benzoxazine and 1,4-benzothiazine derivatives. J. Heterocycl. Chem. 1986, 23, 1815–1820. [Google Scholar] [CrossRef]
- van Berkel, S.S.; Brem, J.; Rydzik, A.; Salimraj, R.; Cain, R.; Verma, A.; Owens, R.J.; Fishwick, C.W.G.; Spencer, J.; Schofield, C.J. Assay Platform for Clinically Relevant Metallo-β-lactamases. J. Med. Chem. 2013, 56, 6945–6953. [Google Scholar] [CrossRef] [PubMed] [Green Version]
- Nowak, P.M.; Sagan, F.; Mitoraj, M.P. Origin of Remarkably Different Acidity of Hydroxycoumarins—Joint Experimental and Theoretical Studies. J. Phys. Chem. B 2017, 121, 4554–4561. [Google Scholar] [CrossRef] [PubMed]
- Musialik, M.; Kuzmicz, R.; Pawłowski, T.S.; Litwinienko, G. Acidity of Hydroxyl Groups: An Overlooked Influence on Antiradical Properties of Flavonoids. J. Org. Chem. 2009, 74, 2699–2709. [Google Scholar] [CrossRef]
- McNab, H.; Ferreira, E.S.B.; Hulme, A.N.; Quye, A. Negative ion ESI–MS analysis of natural yellow dye flavonoids—An isotopic labelling study. Int. J. Mass Spectrom. 2009, 284, 57–65. [Google Scholar] [CrossRef] [Green Version]
- Schweigert, N.; Zehnder, A.J.B.; Eggen, R.I.L. Chemical properties of catechols and their molecular modes of toxic action in cells, from microorganisms to mammals. Environ. Microbiol. 2001, 3, 81–91. [Google Scholar] [CrossRef]
- Dhumrongvaraporn, S. Synthesis of mono- and dialkyl catechol ethers. Master’ Thesis, Rochester Institute of Technology, Rochester, NY, USA; p. 1983.
- Zagorevskii, V.A.; Kirsanova, Z.D.; Persianova, I.V.; Zykov, D.A. Alkylation and some physicochemical characteristics of 6,7- and 7,8-dihydroxycoumarins. Chem. Heterocycl. Compd. 1974, 10, 1023–1028. [Google Scholar] [CrossRef]
- Hiesinger, K.; Dar’in, D.; Proschak, E.; Krasavin, M. Spirocyclic Scaffolds in Medicinal Chemistry. J. Med. Chem. 2021, 64, 150–183. [Google Scholar] [CrossRef] [PubMed]
Publisher’s Note: MDPI stays neutral with regard to jurisdictional claims in published maps and institutional affiliations. |
© 2021 by the authors. Licensee MDPI, Basel, Switzerland. This article is an open access article distributed under the terms and conditions of the Creative Commons Attribution (CC BY) license (https://creativecommons.org/licenses/by/4.0/).




























