Conjugated β-Cyclodextrin Enhances the Affinity of Folic Acid towards FRα: Molecular Dynamics Study
Abstract
:1. Introduction
2. Results and Discussion
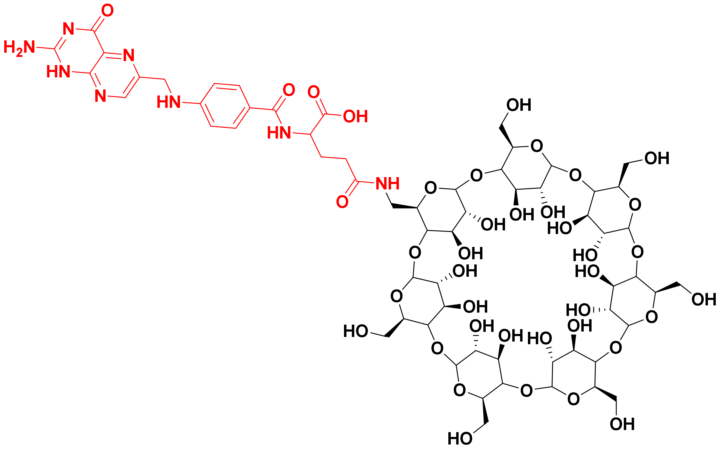
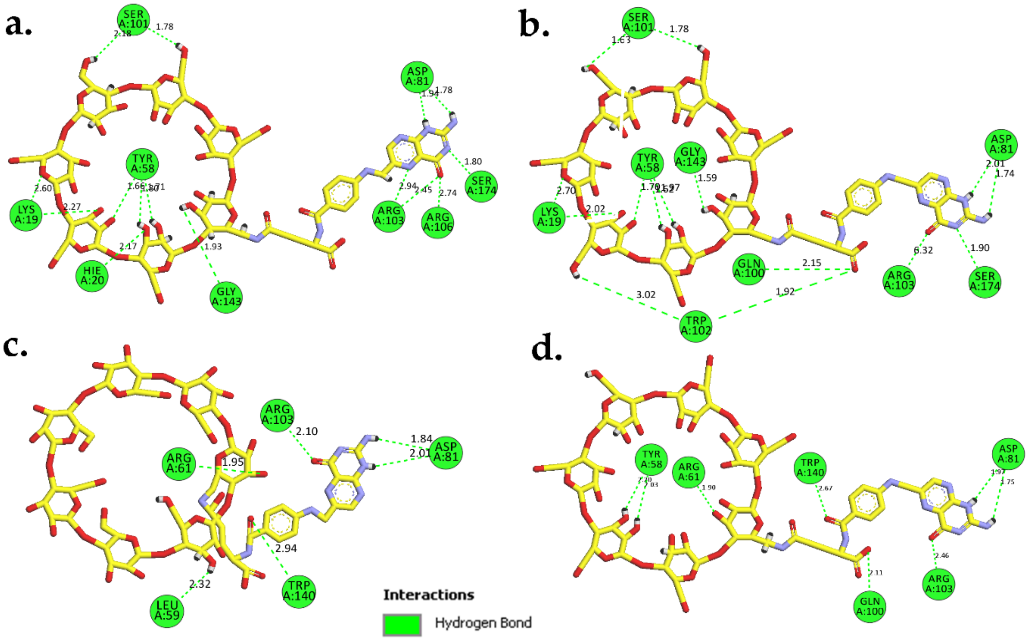
2.1. Molecular Docking Analysis
2.2. Molecular Dynamics (MD) Simulation
2.2.1. Stability of the Simulated Systems
2.2.2. Radius of Gyration Analyses
2.2.3. Hydrogen Bond (H-Bond) Properties
2.2.4. Binding Free Energy (MM-PBSA)
3. Materials and Methods
3.1. Molecular System Setup
3.1.1. Protein Preparation
3.1.2. Ligand Preparation
3.1.3. Molecular Docking
3.2. Molecular Dynamics and Mechanics Simulations
3.3. Free Binding Energy Calculation by MM-PBSA
4. Conclusions
Author Contributions
Funding
Institutional Review Board Statement
Informed Consent Statement
Data Availability Statement
Acknowledgments
Conflicts of Interest
References
- Dai, L.; Liu, J.; Luo, Z.; Li, M.; Cai, K. Tumor therapy: Targeted drug delivery systems. J. Mater. Chem. B 2016, 4, 6758–6772. [Google Scholar] [CrossRef] [PubMed]
- Razak, S.A.A.; Mohd Gazzali, A.; Fisol, F.A.; Abdulbaqi, I.M.; Parumasivam, T.; Mohtar, N.; Wahab, H.A. Advances in nanocarriers for effective delivery of docetaxel in the treatment of lung Cancer: An overview. Cancers 2021, 13, 400. [Google Scholar] [CrossRef] [PubMed]
- Mohtar, N.; Parumasivam, T.; Gazzali, A.M.; Tan, C.S.; Tan, M.L.; Othman, R.; Fazalul Rahiman, S.S.; Wahab, H.A. Advanced Nanoparticle-Based Drug Delivery Systems and Their Cellular Evaluation for Non-Small Cell Lung Cancer Treatment. Cancers 2021, 13, 3539. [Google Scholar] [CrossRef]
- Xu, S.; Olenyuk, B.Z.; Okamoto, C.T.; Hamm-Alvarez, S.F. Targeting receptor-mediated endocytotic pathways with nanoparticles: Rationale and advances. Adv. Drug Deliv. Rev. 2013, 65, 121–138. [Google Scholar] [CrossRef] [PubMed] [Green Version]
- Parker, N.; Turk, M.J.; Westrick, E.; Lewis, J.D.; Low, P.S.; Leamon, C.P. Folate receptor expression in carcinomas and normal tissues determined by a quantitative radioligand binding assay. Anal. Biochem. 2005, 338, 284–293. [Google Scholar] [CrossRef]
- Youn, Y.S.; Bae, Y.H. Perspectives on the past, present, and future of cancer nanomedicine. Adv. Drug Deliv. Rev. 2018, 130, 3–11. [Google Scholar] [CrossRef]
- Jurczyk, M.; Jelonek, K.; Musiał-Kulik, M.; Beberok, A.; Wrześniok, D.; Kasperczyk, J. Single-Versus Dual-Targeted Nanoparticles with Folic Acid and Biotin for Anticancer Drug Delivery. Pharmaceutics 2021, 13, 326. [Google Scholar] [CrossRef]
- Riviere, K.; Huang, Z.; Jerger, K.; Macaraeg, N.; Szoka, F.C., Jr. Antitumor effect of folate-targeted liposomal doxorubicin in KB tumor-bearing mice after intravenous administration. J. Drug Target. 2011, 19, 14–24. [Google Scholar] [CrossRef] [Green Version]
- Kumar, P.; Huo, P.; Liu, B. Formulation strategies for folate-targeted liposomes and their biomedical applications. Pharmaceutics 2019, 11, 381. [Google Scholar] [CrossRef] [Green Version]
- Ran, R.; Middelberg, A.P.; Zhao, C.-X. Microfluidic synthesis of multifunctional liposomes for tumour targeting. Colloids Surf. B Biointerfaces 2016, 148, 402–410. [Google Scholar] [CrossRef] [Green Version]
- Amreddy, N.; Babu, A.; Panneerselvam, J.; Srivastava, A.; Muralidharan, R.; Chen, A.; Zhao, Y.D.; Munshi, A.; Ramesh, R. Chemo-biologic combinatorial drug delivery using folate receptor-targeted dendrimer nanoparticles for lung cancer treatment. Nanomed. Nanotechnol. Biol. Med. 2018, 14, 373–384. [Google Scholar] [CrossRef] [PubMed]
- Pillay, N.S.; Daniels, A.; Singh, M. Folate-Targeted Transgenic Activity of Dendrimer Functionalized Selenium Nanoparticles In Vitro. Int. J. Mol. Sci. 2020, 21, 7177. [Google Scholar] [CrossRef] [PubMed]
- Kaur, A.; Jain, K.; Mehra, N.K.; Jain, N. Development and characterization of surface engineered PPI dendrimers for targeted drug delivery. Artif. Cell Nanomed. B 2017, 45, 414–425. [Google Scholar] [CrossRef] [PubMed] [Green Version]
- Wang, M.; Long, J.; Zhang, S.; Liu, F.; Zhang, X.; Zhang, X.; Sun, L.; Ma, L.; Yu, C.; Wei, H. Folate-Targeted Anticancer Drug Delivery via a Combination Strategy of a Micelle Complex and Reducible Conjugation. ACS Biomater. Sci. Eng. 2020, 6, 1565–1572. [Google Scholar] [CrossRef] [PubMed]
- Luong, D.; Kesharwani, P.; Alsaab, H.O.; Sau, S.; Padhye, S.; Sarkar, F.H.; Iyer, A.K. Folic acid conjugated polymeric micelles loaded with a curcumin difluorinated analog for targeting cervical and ovarian cancers. Colloids Surf. B Biointerfaces 2017, 157, 490–502. [Google Scholar] [CrossRef] [PubMed]
- Wang, F.; Chen, Y.; Zhang, D.; Zhang, Q.; Zheng, D.; Hao, L.; Liu, Y.; Duan, C.; Jia, L.; Liu, G. Folate-mediated targeted and intracellular delivery of paclitaxel using a novel deoxycholic acid-O-carboxymethylated chitosan–folic acid micelles. Int. J. Nanomed. 2012, 7, 325. [Google Scholar]
- Zheng, Y.; Wyman, I.W. Supramolecular nanostructures based on cyclodextrin and poly (ethylene oxide): Syntheses, structural characterizations and applications for drug delivery. Polymers 2016, 8, 198. [Google Scholar] [CrossRef] [PubMed]
- Mizusako, H.; Tagami, T.; Hattori, K.; Ozeki, T. Active drug targeting of a folate-based cyclodextrin–doxorubicin conjugate and the cytotoxic effect on drug-resistant mammary tumor cells in vitro. J. Pharm. Sci. 2015, 104, 2934–2940. [Google Scholar] [CrossRef]
- Okamatsu, A.; Motoyama, K.; Onodera, R.; Higashi, T.; Koshigoe, T.; Shimada, Y.; Hattori, K.; Takeuchi, T.; Arima, H. Design and evaluation of folate-appended α-, β-, and γ-cyclodextrins having a caproic acid as a tumor selective antitumor drug carrier in vitro and in vivo. Biomacromolecules 2013, 14, 4420–4428. [Google Scholar] [CrossRef]
- Zhang, H.; Cai, Z.; Sun, Y.; Yu, F.; Chen, Y.; Sun, B. Folate-conjugated β-cyclodextrin from click chemistry strategy and for tumor-targeted drug delivery. J. Biomed. Mater. Res. A 2012, 100, 2441–2449. [Google Scholar] [CrossRef]
- Fan, W.; Xu, Y.; Li, Z.; Li, Q. Folic acid-modified β-cyclodextrin nanoparticles as drug delivery to load DOX for liver cancer therapeutics. Soft Mater. 2019, 17, 437–447. [Google Scholar] [CrossRef]
- Xu, J.; Xu, B.; Shou, D.; Qin, F.; Xu, Y.; Hu, Y. Characterization and evaluation of a folic acid receptor-targeted cyclodextrin complex as an anticancer drug delivery system. Eur. J. Pharm. Sci. 2016, 83, 132–142. [Google Scholar] [CrossRef] [PubMed]
- Wang, R.; Zhou, H.; Siu, S.W.; Gan, Y.; Wang, Y.; Ouyang, D. Comparison of three molecular simulation approaches for cyclodextrin-ibuprofen complexation. J. Nanomater. 2015, 2015, 267. [Google Scholar] [CrossRef] [Green Version]
- Yin, J.-J.; Sharma, S.; Shumyak, S.P.; Wang, Z.-X.; Zhou, Z.-W.; Zhang, Y.; Guo, P.; Li, C.-Z.; Kanwar, J.R.; Yang, T. Synthesis and biological evaluation of novel folic acid receptor-targeted, β-cyclodextrin-based drug complexes for cancer treatment. PLoS ONE 2013, 8, e62289. [Google Scholar] [CrossRef] [PubMed] [Green Version]
- Rezende, A.A.; Santos, R.S.; Andrade, L.N.; Amaral, R.G.; Pereira, M.M.; Bani, C.; Chen, M.; Priefer, R.; da Silva, C.F.; de Albuquerque Júnior, R.L. Anti-tumor efficiency of perillylalcohol/β-cyclodextrin inclusion complexes in a sarcoma S180-induced mice model. Pharmaceutics 2021, 13, 245. [Google Scholar] [CrossRef] [PubMed]
- Chen, C.; Ke, J.; Zhou, X.E.; Yi, W.; Brunzelle, J.S.; Li, J.; Yong, E.-L.; Xu, H.E.; Melcher, K. Structural basis for molecular recognition of folic acid by folate receptors. Nature 2013, 500, 486. [Google Scholar] [CrossRef] [Green Version]
- Al-Thiabat, M.G.; Saqallah, F.G.; Gazzali, A.M.; Mohtar, N.; Yap, B.K.; Choong, Y.S.; Wahab, H.A. Heterocyclic Substitutions Greatly Improve Affinity and Stability of Folic Acid towards FRα. an In Silico Insight. Molecules 2021, 26, 1079. [Google Scholar] [CrossRef]
- Della-Longa, S.; Arcovito, A. Structural and functional insights on folate receptor α (FRα) by homology modeling, ligand docking and molecular dynamics. J. Mol. Graph. Model. 2013, 44, 197–207. [Google Scholar] [CrossRef]
- Yan, B.X.; Sun, Y.Q. Glycine residues provide flexibility for enzyme active sites. J. Biol. Chem. 1997, 272, 3190–3194. [Google Scholar] [CrossRef] [Green Version]
- Jiang, Y.; Wang, C.; Zhang, M.; Fei, X.; Gu, Y. Interacted mechanism of functional groups in ligand targeted with folate receptor via docking, molecular dynamic and MM/PBSA. J. Mol. Graph. Model. 2019, 87, 121–128. [Google Scholar] [CrossRef]
- Lobanov, M.Y.; Bogatyreva, N.; Galzitskaya, O. Radius of gyration as an indicator of protein structure compactness. Mol. Biol. 2008, 42, 623–628. [Google Scholar] [CrossRef]
- Chen, D.; Oezguen, N.; Urvil, P.; Ferguson, C.; Dann, S.M.; Savidge, T.C. Regulation of protein-ligand binding affinity by hydrogen bond pairing. Sci. Adv. 2016, 2, e1501240. [Google Scholar] [CrossRef] [Green Version]
- Yotmanee, P.; Rungrotmongkol, T.; Wichapong, K.; Choi, S.B.; Wahab, H.A.; Kungwan, N.; Hannongbua, S. Binding specificity of polypeptide substrates in NS2B/NS3pro serine protease of dengue virus type 2: A molecular dynamics study. J. Mol. Graph. Model. 2015, 60, 24–33. [Google Scholar] [CrossRef]
- Sampogna-Mireles, D.; Araya-Durán, I.D.; Márquez-Miranda, V.; Valencia-Gallegos, J.A.; González-Nilo, F.D. Structural analysis of binding functionality of folic acid-PEG dendrimers against folate receptor. J. Mol. Graph. Model. 2017, 72, 201–208. [Google Scholar] [CrossRef]
- Wickstrom, L.; He, P.; Gallicchio, E.; Levy, R.M. Large scale affinity calculations of cyclodextrin host–guest complexes: Understanding the role of reorganization in the molecular recognition process. J. Chem. Theory Comput. 2013, 9, 3136–3150. [Google Scholar] [CrossRef] [PubMed]
- Wankar, J.; Kotla, N.G.; Gera, S.; Rasala, S.; Pandit, A.; Rochev, Y.A. Recent advances in host–guest self-assembled cyclodextrin carriers: Implications for responsive drug delivery and biomedical engineering. Adv. Funct. Mater. 2020, 30, 1909049. [Google Scholar] [CrossRef]
- Yusuf, M.; Mohamed, N.; Mohamad, S.; Janezic, D.; Damodaran, K.; Wahab, H.A. H274Y’s effect on oseltamivir resistance: What happens before the drug enters the binding site. J. Chem. Inf. Model. 2016, 56, 82–100. [Google Scholar] [CrossRef] [PubMed]
- Xie, H.; Li, Y.; Yu, F.; Xie, X.; Qiu, K.; Fu, J. An investigation of molecular docking and molecular dynamic simulation on imidazopyridines as B-Raf kinase inhibitors. Int. J. Mol. Sci. 2015, 16, 27350–27361. [Google Scholar] [CrossRef] [PubMed] [Green Version]
- Miller, B.R., III; McGee, T.D., Jr.; Swails, J.M.; Homeyer, N.; Gohlke, H.; Roitberg, A.E. MMPBSA. py: An efficient program for end-state free energy calculations. J. Chem. Theory Comput. 2012, 8, 3314–3321. [Google Scholar] [CrossRef] [PubMed]
- Petukh, M.; Li, M.; Alexov, E. Predicting binding free energy change caused by point mutations with knowledge-modified MM/PBSA method. PLoS Comput. Biol. 2015, 11, e1004276. [Google Scholar] [CrossRef]
- Case, D.; Ben-Shalom, I.; Brozell, S.; Cerutti, D.; Cheatham, T., III; Cruzeiro, V.; Darden, T.; Duke, R.; Ghoreishi, D.; Gilson, M.K.; et al. AMBER 2018; University of California: San Francisco, CA, USA, 2018. [Google Scholar]
- Bren, U.; Martínek, V.; Florián, J. Decomposition of the solvation free energies of deoxyribonucleoside triphosphates using the free energy perturbation method. J. Phys. Chem. B 2006, 110, 12782–12788. [Google Scholar] [CrossRef]
- Bren, M.; Florián, J.; Mavri, J.; Bren, U. Do all pieces make a whole? Thiele cumulants and the free energy decomposition. Theor. Chem. Acc. 2007, 117, 535–540. [Google Scholar] [CrossRef]
- Biovia Discovery Studio. Discovery Studio Visualizer; Biovia: San Diego, CA, USA, 2017; Volume 936. [Google Scholar]
- Dolinsky, T.J.; Czodrowski, P.; Li, H.; Nielsen, J.E.; Jensen, J.H.; Klebe, G.; Baker, N.A. PDB2PQR: Expanding and upgrading automated preparation of biomolecular structures for molecular simulations. Nucleic Acids Res. 2007, 35, W522–W525. [Google Scholar] [CrossRef]
- Olsson, M.H.; Søndergaard, C.R.; Rostkowski, M.; Jensen, J.H. PROPKA3: Consistent treatment of internal and surface residues in empirical p K a predictions. J. Chem. Theory Comput. 2011, 7, 525–537. [Google Scholar] [CrossRef]
- Williams, C.J.; Headd, J.J.; Moriarty, N.W.; Prisant, M.G.; Videau, L.L.; Deis, L.N.; Verma, V.; Keedy, D.A.; Hintze, B.J.; Chen, V.B. MolProbity: More and better reference data for improved all-atom structure validation. Protein Sci. 2018, 27, 293–315. [Google Scholar] [CrossRef] [PubMed]
- Giglio, V.; Oliveri, V.; Viale, M.; Gangemi, R.; Natile, G.; Intini, F.P.; Vecchio, G. Folate–Cyclodextrin Conjugates as Carriers of the Platinum (IV) Complex LA-12. ChemPlusChem 2015, 80, 536–543. [Google Scholar] [CrossRef] [PubMed]
- Forli, W.; Halliday, S.; Belew, R.; Olson, A.J. AutoDock Version 4.2. J. Med. Chem. 2012, 55, 623–638. [Google Scholar] [CrossRef] [Green Version]
- Nguyen, N.T.; Nguyen, T.H.; Pham, T.N.H.; Huy, N.T.; Bay, M.V.; Pham, M.Q.; Nam, P.C.; Vu, V.V.; Ngo, S.T. Autodock vina adopts more accurate binding poses but autodock4 forms better binding affinity. J. Chem. Inf. Model. 2019, 60, 204–211. [Google Scholar] [CrossRef] [PubMed]
- Pettersen, E.F.; Goddard, T.D.; Huang, C.C.; Couch, G.S.; Greenblatt, D.M.; Meng, E.C.; Ferrin, T.E. UCSF Chimera—A visualization system for exploratory research and analysis. J. Comput. Chem. 2004, 25, 1605–1612. [Google Scholar] [CrossRef] [PubMed] [Green Version]













| Ligand | Free Energy of Binding, FEB (kcal/mol) | RMSD * |
|---|---|---|
| FA | −13.20 | 0.90 Å |
| FA–βCD | −15.20 | 5.04 Å |
| System | H-Bond Acceptor (Atom ≅ Res) | H-Bond Donor (Atom ≅ H) | Donor (Atom ≅ Res) | H-Bond Occupancy (%) | Average Distance (Å) | Average Angle |
|---|---|---|---|---|---|---|
| FA | ![]() | |||||
| ASP81 ≅ OD1 | ASP81 ≅ OD1 | ASP81 ≅ OD1 | ASP81 ≅ OD1 | ASP81 ≅ OD1 | ASP81 ≅ OD1 | |
| ASP81 ≅ OD2 | ASP81 ≅ OD2 | ASP81 ≅ OD2 | ASP81 ≅ OD2 | ASP81 ≅ OD2 | ASP81 ≅ OD2 | |
| HIS135 ≅ O | HIS135 ≅ O | HIS135 ≅ O | HIS135 ≅ O | HIS135 ≅ O | HIS135 ≅ O | |
| FA ≅ O4 | FA ≅ O4 | FA ≅ O4 | FA ≅ O4 | FA ≅ O4 | FA ≅ O4 | |
| ASP81 ≅ OD2 | ASP81 ≅ OD2 | ASP81 ≅ OD2 | ASP81 ≅ OD2 | ASP81 ≅ OD2 | ASP81 ≅ OD2 | |
| FA ≅ O1 | FA ≅ O1 | FA ≅ O1 | FA ≅ O1 | FA ≅ O1 | FA ≅ O1 | |
| FA ≅ OE1 | FA ≅ OE1 | FA ≅ OE1 | FA ≅ OE1 | FA ≅ OE1 | FA ≅ OE1 | |
| FA ≅ N3 | FA ≅ N3 | FA ≅ N3 | FA ≅ N3 | FA ≅ N3 | FA ≅ N3 | |
| ASP81 ≅ OD2 | ASP81 ≅ OD2 | ASP81 ≅ OD2 | ASP81 ≅ OD2 | ASP81 ≅ OD2 | ASP81 ≅ OD2 | |
| FA–βCD | ![]() | |||||
| ASP81 ≅ OD1 | FA ≅ H93 | FA ≅ N7 | 62.16 | 2.81 | 163.10 | |
| ASP81 ≅ OD2 | FA ≅ H92 | FA ≅ N5 | 54.81 | 2.81 | 159.98 | |
| FA ≅ N4 | SER174 ≅ HG | SER174 ≅ OG | 46.72 | 2.85 | 160.9 | |
| TYR58 ≅ O | FA ≅ H10 | FA ≅ O20 | 46.64 | 2.74 | 160.27 | |
| FA ≅ O38 | ARG103 ≅ HH12 | ARG103 ≅ NH1 | 44.15 | 2.85 | 151.81 | |
| ASP81 ≅ OD1 | FA ≅ H92 | FA ≅ N5 | 30.83 | 2.82 | 159.09 | |
| ASP81 ≅ OD2 | FA ≅ H93 | FA ≅ N7 | 28.96 | 2.82 | 162.8 | |
| TYR58 ≅ O | FA ≅ H17 | FA ≅ O27 | 27.29 | 2.71 | 161.37 | |
| SER101 ≅ O | FA ≅ H24 | FA ≅ O34 | 21.77 | 2.79 | 154.15 | |
| FA ≅ O1 | TRP102 ≅ HE1 | TRP102 ≅ NE1 | 21.43 | 2.85 | 153.57 | |
| FA ≅ O37 | TRP140 ≅ HE1 | TRP140 ≅ NE1 | 17.82 | 2.86 | 148.2 | |
| SER101 ≅ OG | FA ≅ H22 | FA ≅ O32 | 16.09 | 2.79 | 157.44 | |
| FA ≅ O29 | TYR58 ≅ HH | TYR58 ≅ OH | 15.6 | 2.79 | 161.48 | |
| SER101 ≅ O | FA ≅ H25 | FA ≅ O35 | 15.37 | 2.72 | 159.55 | |
| GLY143 ≅ O | FA ≅ H1 | FA ≅ O18 | 14.29 | 2.76 | 163.16 | |
| FA ≅ O38 | SER174 ≅ HG | SER174 ≅ OG | 11.27 | 2.86 | 148.02 | |
| FA ≅ O20 | HIS20 ≅ HE2 | HIS20 ≅ NE2 | 11.23 | 2.88 | 152.09 | |
| FA ≅ O18 | ARG61 ≅ HH11 | ARG61 ≅ NH1 | 10.43 | 2.88 | 158.11 | |
| Complex with FRα | kcal/mol | VDW kcal/mol | EEL kcal/mol | Gpolar kcal/mol | Gnon-polar kcal/mol | ADT Vina kcal/mol |
|---|---|---|---|---|---|---|
| FA | −57.17 ± 0.12 | −56.14 ± 0.10 | −89.17 ± 0.26 | 94.61 ± 019 | −6.47 ± 0.01 | −13.20 |
| FA–βCD | −74.25 ± 0.26 | −92.71 ± 0.16 | −119.47 ± 0.63 | 148.87 ± 0.48 | −10.95 ± 0.01 | −15.20 |
Publisher’s Note: MDPI stays neutral with regard to jurisdictional claims in published maps and institutional affiliations. |
© 2021 by the authors. Licensee MDPI, Basel, Switzerland. This article is an open access article distributed under the terms and conditions of the Creative Commons Attribution (CC BY) license (https://creativecommons.org/licenses/by/4.0/).
Share and Cite
Al-Thiabat, M.G.; Gazzali, A.M.; Mohtar, N.; Murugaiyah, V.; Kamarulzaman, E.E.; Yap, B.K.; Rahman, N.A.; Othman, R.; Wahab, H.A. Conjugated β-Cyclodextrin Enhances the Affinity of Folic Acid towards FRα: Molecular Dynamics Study. Molecules 2021, 26, 5304. https://doi.org/10.3390/molecules26175304
Al-Thiabat MG, Gazzali AM, Mohtar N, Murugaiyah V, Kamarulzaman EE, Yap BK, Rahman NA, Othman R, Wahab HA. Conjugated β-Cyclodextrin Enhances the Affinity of Folic Acid towards FRα: Molecular Dynamics Study. Molecules. 2021; 26(17):5304. https://doi.org/10.3390/molecules26175304
Chicago/Turabian StyleAl-Thiabat, Mohammad G., Amirah Mohd Gazzali, Noratiqah Mohtar, Vikneswaran Murugaiyah, Ezatul Ezleen Kamarulzaman, Beow Keat Yap, Noorsaadah Abd Rahman, Rozana Othman, and Habibah A. Wahab. 2021. "Conjugated β-Cyclodextrin Enhances the Affinity of Folic Acid towards FRα: Molecular Dynamics Study" Molecules 26, no. 17: 5304. https://doi.org/10.3390/molecules26175304
APA StyleAl-Thiabat, M. G., Gazzali, A. M., Mohtar, N., Murugaiyah, V., Kamarulzaman, E. E., Yap, B. K., Rahman, N. A., Othman, R., & Wahab, H. A. (2021). Conjugated β-Cyclodextrin Enhances the Affinity of Folic Acid towards FRα: Molecular Dynamics Study. Molecules, 26(17), 5304. https://doi.org/10.3390/molecules26175304



