Identification of 3-((1-(Benzyl(2-hydroxy-2-phenylethyl)amino)-1-oxo-3-phenylpropan-2-yl)carbamoyl)pyrazine-2-carboxylic Acid as a Potential Inhibitor of Non-Nucleosidase Reverse Transcriptase Inhibitors through InSilico Ligand- and Structure-Based Approaches
Abstract
1. Introduction
2. Methodology
2.1. Computational Details
2.1.1. Data Selection
2.1.2. Generation of Pharmacophore Hypothesis
2.1.3. Cat Scramble Validation (Fisher Test)
2.2. Molecular Modeling and Docking Studies
3. Results
Pharmacophore Generation
4. Discussion
4.1. Cat Scramble Validation (Fisher Test)
4.2. Validation by Test Set
4.3. Further Validation and Mapping Studies Using Standard Compounds
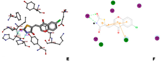
4.4. Comparison of Generated Pharmacophore Vis-a-Vis Interactions at the Active Site
4.5. In-House Database-Based Virtual Screening
4.6. Structure-Based Analysis of the CoresI, II, and III
5. Database Screening
6. Conclusions
Supplementary Materials
Author Contributions
Funding
Institutional Review Board Statement
Informed Consent Statement
Data Availability Statement
Acknowledgments
Conflicts of Interest
Sample Availability
References
- Castro, H.C.; Loureiro, N.I.; Pujol-Luz, M.; Souza, A.M.; Albuquerque, M.G.; Santos, D.O.; Cabral, L.M.; Frugulhetti, I.C.; Rodrigues, C.R. HIV-1 reverse transcriptase: A therapeutical target in the spotlight. Curr. Med. Chem. 2006, 13, 313–324. [Google Scholar] [CrossRef]
- Jochmans, D. Novel HIV-1 reverse transcriptase inhibitors. Virus Res. 2008, 134, 171–185. [Google Scholar] [CrossRef]
- Ren, J.; Milton, J.; Weaver, K.L.; Short, S.A.; Stuart, D.I.; Stammers, D.K. Structural basis for the resilience of efavirenz (DMP-266) to drug resistance mutations in HIV-1 reverse transcriptase. Structure 2000, 8, 1089–1094. [Google Scholar] [CrossRef]
- Ren, J.; Nichols, C.; Bird, L.; Chamberlain, P.; Weaver, K.; Short, S.; Stuart, D.I.; Stammers, D.K. Structural mechanisms of drug resistance for mutations at codons 181 and 188 in HIV-1 reverse transcriptase and the improved resilience of second generation non-nucleoside inhibitors. J. Mol. Biol. 2001, 312, 795–805. [Google Scholar] [CrossRef] [PubMed]
- Barbaro, G.; Scozzafava, A.; Mastrolorenzo, A.; Supuran, C.T. Highly active antiretroviral therapy: Current state of the art, new agents and their pharmacological interactions useful for improving therapeutic outcome. Curr. Pharm. Des. 2005, 11, 1805–1843. [Google Scholar] [CrossRef] [PubMed]
- De Clercq, E. The design of drugs for HIV and HCV. Nat. Rev. Drug Discov. 2007, 6, 1001–1018. [Google Scholar] [CrossRef]
- De Clercq, E. New developments in anti-HIV chemotherapy. Biochim. Biophys. Acta 2002, 1587, 258–275. [Google Scholar] [CrossRef]
- Clark, D.E.; Westhead, D.R.; Sykes, R.A.; Murray, C.W. Active-site-directed 3D database searching: Pharmacophore extraction and validation of hits. J. Comput. Aided Mol. Des. 1996, 10, 397–416. [Google Scholar] [CrossRef]
- Gupta, A.K.; Bhunia, S.S.; Balaramnavar, V.M.; Saxena, A.K. Pharmacophore modelling, molecular docking and virtual screening for EGFR (HER 1) tyrosine kinase inhibitors. SAR QSAR Environ. Res. 2011, 22, 239–263. [Google Scholar] [CrossRef] [PubMed]
- Varshney, S.; Shankar, K.; Beg, M.; Balaramnavar, V.M.; Mishra, S.K.; Jagdale, P.; Srivastava, S.; Chhonker, Y.S.; Lakshmi, V.; Chaudhari, B.P.; et al. Rohitukine inhibits in vitro adipogenesis arresting mitotic clonal expansion and improves dyslipidemia in vivo. J. Lipid. Res. 2014, 55, 1019–1032. [Google Scholar] [CrossRef]
- Saxena, A.K.; Devillers, J.; Pery, A.R.; Beaudouin, R.; Balaramnavar, V.M.; Ahmed, S. Modelling the binding affinity of steroids to zebrafish sex hormone-binding globulin. SAR QSAR Environ. Res. 2014, 25, 407–421. [Google Scholar] [CrossRef]
- Ramakrishna, K.K.; Gunjan, S.; Shukla, A.K.; Pasam, V.R.; Balaramnavar, V.M.; Sharma, A.; Jaiswal, S.; Lal, J.; Tripathi, R.; Anubhooti; et al. Identification of novel phenyl butenonyl C-glycosides with ureidyl and sulfonamidyl moieties as antimalarial agents. ACS Med. Chem. Lett. 2014, 5, 878–883. [Google Scholar] [CrossRef][Green Version]
- Yuan, Y.; Pei, J.; Lai, L. LigBuilder 2: A practical de novo drug design approach. J. Chem. Inf. Model. 2011, 51, 1083–1091. [Google Scholar] [CrossRef] [PubMed]
- Ranu, S.; Singh, A.K. Novel method for pharmacophore analysis by examining the joint pharmacophore space. J. Chem. Inf. Model. 2011, 51, 1106–1121. [Google Scholar] [CrossRef] [PubMed]
- Gupta, A.K.; Varshney, K.; Saxena, A.K. Toward the identification of a reliable 3D QSAR pharmacophore model for the CCK2 receptor antagonism. J. Chem. Inf. Model. 2012, 52, 1376–1390. [Google Scholar] [CrossRef] [PubMed]
- Sechi, M.; Rizzi, G.; Bacchi, A.; Carcelli, M.; Rogolino, D.; Pala, N.; Sanchez, T.W.; Taheri, L.; Dayam, R.; Neamati, N. Design and synthesis of novel dihydroquinoline-3-carboxylic acids as HIV-1 integrase inhibitors. Bioorg. Med. Chem. 2009, 17, 2925–2935. [Google Scholar] [CrossRef]
- Gupta, A.K.; Chakroborty, S.; Srivastava, K.; Puri, S.K.; Saxena, A.K. Pharmacophore modeling of substituted 1,2,4-Trioxanes for quantitative prediction of their antimalarial activity. J. Chem. Inf. Model. 2010, 50, 1510–1520. [Google Scholar] [CrossRef]
- Chaudhaery, S.S.; Roy, K.K.; Saxena, A.K. Consensus superiority of the pharmacophore-based alignment, over maximum common substructure (MCS): 3D-QSAR studies on carbamates as acetylcholinesterase inhibitors. J. Chem. Inf. Model. 2009, 49, 1590–1601. [Google Scholar] [CrossRef] [PubMed]
- Chaudhaery, S.S.; Roy, K.K.; Shakya, N.; Saxena, G.; Sammi, S.R.; Nazir, A.; Nath, C.; Saxena, A.K. Novel carbamates as orally active acetylcholinesterase inhibitors found to improve scopolamine-induced cognition impairment: Pharmacophore-based virtual screening, synthesis, and pharmacology. J. Med. Chem. 2010, 53, 6490–6505. [Google Scholar] [CrossRef]
- Song, Y.; Chan, J.M.; Tovian, Z.; Secrest, A.; Nagy, E.; Krysiak, K.; Bergan, K.; Parniak, M.A.; Oldfield, E. Bisphosphonate inhibitors of ATP-mediated HIV-1 reverse transcriptase catalyzed excision of chain-terminating 3’-azido, 3’-deoxythymidine: A QSAR investigation. Bioorg. Med. Chem. 2008, 16, 8959–8967. [Google Scholar] [CrossRef]
- Barreca, M.L.; De Luca, L.; Iraci, N.; Rao, A.; Ferro, S.; Maga, G.; Chimirri, A. Structure-based pharmacophore identification of new chemical scaffolds as non-nucleoside reverse transcriptase inhibitors. J. Chem. Inf. Model. 2007, 47, 557–562. [Google Scholar] [CrossRef] [PubMed]
- Guner, O.; Clement, O.; Kurogi, Y. Pharmacophore modeling and three dimensional database searching for drug design using catalyst: Recent advances. Curr. Med. Chem. 2004, 11, 2991–3005. [Google Scholar] [CrossRef] [PubMed]
- Benjahad, A.; Courte, K.; Guillemont, J.; Mabire, D.; Coupa, S.; Poncelet, A.; Csoka, I.; Andries, K.; Pauwels, R.; de Bethune, M.P.; et al. 4-benzyl- and 4-benzoyl-3-dimethylaminopyridin-2(1H)-ones, a new family of potent anti-HIV agents: Optimization and in vitro evaluation against clinically important HIV mutant strains. J. Med. Chem. 2004, 47, 5501–5514. [Google Scholar] [CrossRef] [PubMed]
- Cerius, Q. Users’ Manual; Version 4.10; Accelrys Inc.: San Diego, CA, USA, 2005; pp. 43–88. [Google Scholar]
- Ren, J.; Nichols, C.E.; Chamberlain, P.P.; Weaver, K.L.; Short, S.A.; Stammers, D.K. Crystal structures of HIV-1 reverse transcriptases mutated at codons 100, 106 and 108 and mechanisms of resistance to non-nucleoside inhibitors. J. Mol. Biol. 2004, 336, 569–578. [Google Scholar] [CrossRef]
- Sharma, S.; Pandey, A.K.; Shukla, P.K.; Saxena, A.K. Synthesis and 2D QSAR of O-sulphonated beta-aminols derivatives as novel antifungal and antibacterial agents. Bioorg. Med. Chem. Lett. 2011, 21, 6476–6481. [Google Scholar] [CrossRef]
- Balaramnavar, V.M.; Khan, I.A.; Siddiqui, J.A.; Khan, M.P.; Chakravarti, B.; Sharan, K.; Swarnkar, G.; Rastogi, N.; Siddiqui, H.H.; Mishra, D.P.; et al. Identification of novel 2-((1-(benzyl(2-hydroxy-2-phenylethyl)amino)-1-oxo-3-phenylpropan-2-yl)carbamoyl) benzoic acid analogues as BMP-2 stimulators. J. Med. Chem. 2012, 55, 8248–8259. [Google Scholar] [CrossRef] [PubMed]
- Bozdag-Dundar, O.; Evranos, B.; Das-Evcimen, N.; Sarikaya, M.; Ertan, R. Synthesis and aldose reductase inhibitory activity of some new chromonyl-2,4-thiazolidinediones. Eur. J. Med. Chem. 2008, 43, 2412–2417. [Google Scholar] [CrossRef]
- Ren, J.; Diprose, J.; Warren, J.; Esnouf, R.M.; Bird, L.E.; Ikemizu, S.; Slater, M.; Milton, J.; Balzarini, J.; Stuart, D.I.; et al. Phenylethylthiazolylthiourea (PETT) non-nucleoside inhibitors of HIV-1 and HIV-2 reverse transcriptases. Structural and biochemical analyses. J. Biol. Chem. 2000, 275, 5633–5639. [Google Scholar] [CrossRef]
- Lai, M.T.; Munshi, V.; Touch, S.; Tynebor, R.M.; Tucker, T.J.; McKenna, P.M.; Williams, T.M.; DiStefano, D.J.; Hazuda, D.J.; Miller, M.D. Antiviral activity of MK-4965, a novel nonnucleoside reverse transcriptase inhibitor. Antimicrob. Agents Chemother. 2009, 53, 2424–2431. [Google Scholar] [CrossRef]
- Christer, S.; Rolf, N.; Per, E.; Marita, H.; Jusii, K.; Lotta, V.; Hong, Z. Sythesis and anti-HIV activities of Urea-PETT Analogs Belonging to a new class of Potent Non-Nucleoside HIV-1 Reverse Transcriptase Inhibitors. Bioorg. Med. Chem. Lett. 1998, 8, 1511–1516. [Google Scholar]
- Kristam, R.; Gillet, V.J.; Lewis, R.A.; Thorner, D. Comparison of conformational analysis techniques to generate pharmacophore hypotheses using catalyst. J. Chem. Inf. Model. 2005, 45, 461–476. [Google Scholar] [CrossRef]
- Storn, R. Differrential evolution-a simple and efficient adaptive scheme for global optimization over continuous spaces. Tech. Rep. Int. Comput. Sci. Inst. 1995, 11. [Google Scholar]
- Gehlhaar, D.K.; Verkhivker, G.M.; Rejto, P.A.; Sherman, C.J.; Fogel, D.B.; Fogel, L.J.; Freer, S.T. Molecular recognition of the inhibitor AG-1343 by HIV-1 protease: Conformationally flexible docking by evolutionary programming. Chem. Biol. 1995, 2, 317–324. [Google Scholar] [CrossRef]
- Gehlhaar, D.K.; Bouzida, D.; Rejto, P.A. Fully automated and rapid flexible docking of inhibitors covalently bound to serine proteases. In Proceedings of the International Conference on Evolutionary Programming, San Diego, CA, USA, 25–27 March 1998; pp. 449–461. [Google Scholar]
- Cui, W.; Aouidate, A.; Wang, S.; Yu, Q.; Li, Y.; Yuan, S. Discovering anti-cancer drugs via computational methods. Front. Pharmacol. 2020, 11, 733. [Google Scholar] [CrossRef]
- Cramer, R.D.; Patterson, D.E.; Bunce, J.D. Comparative molecular field analysis (CoMFA). 1. Effect of shape on binding of steroids to carrier proteins. J. Am. Chem. Soc. 1988, 110, 5959–5967. [Google Scholar] [CrossRef] [PubMed]
- Murugesan, V.; Tiwari, V.S.; Saxena, R.; Tripathi, R.; Paranjape, R.; Kulkarni, S.; Makwana, N.; Suryawanshi, R.; Katti, S.B. Lead optimization at C-2 and N-3 positions of thiazolidin-4-ones as HIV-1 non-nucleoside reverse transcriptase inhibitors. Bioorg. Med. Chem. 2011, 19, 6919–6926. [Google Scholar] [CrossRef]
- Rawal, R.K.; Tripathi, R.; Katti, S.B.; Pannecouque, C.; De Clercq, E. Design and synthesis of 2-(2,6-dibromophenyl)-3-heteroaryl-1,3-thiazolidin-4-ones as anti-HIV agents. Eur. J. Med. Chem. 2008, 43, 2800–2806. [Google Scholar] [CrossRef] [PubMed]
- Rawal, R.K.; Tripathi, R.; Katti, S.B.; Pannecouque, C.; De Clercq, E. Synthesis and evaluation of 2-(2,6-dihalophenyl)-3-pyrimidinyl-1,3-thiazolidin-4-one analogues as anti-HIV-1 agents. Bioorg. Med. Chem. 2007, 15, 3134–3142. [Google Scholar] [CrossRef]
- Fatima, S.; Sharma, A.; Saxena, R.; Tripathi, R.; Shukla, S.K.; Pandey, S.K.; Tripathi, R.; Tripathi, R.P. One pot efficient diversity oriented synthesis of polyfunctional styryl thiazolopyrimidines and their bio-evaluation as antimalarial and anti-HIV agents. Eur. J. Med. Chem. 2012, 55, 195–204. [Google Scholar] [CrossRef]
- Takeuchi, H.; Baba, M.; Shigeta, S. An application of tetrazolium (MTT) colorimetric assay for the screening of anti-herpes simplex virus compounds. J. Virol. Methods 1991, 33, 61–71. [Google Scholar] [CrossRef]
- Chandra, P.; Ganguly, S.; Karmakar, S. Comparative Studies of Various NNRTIs in the Active Site of Different HIV-1RT Receptors. Chem. Proc. 2021, 3, 33. [Google Scholar] [CrossRef]
- Ahmad, K.; Balaramnavar, V.M.; Chaturvedi, N.; Khan, S.; Haque, S.; Lee, Y.-H.; Choi, I. Targeting Caspase 8: Using structural and ligand-based approaches to identify potential leads for the treatment of multi-neurodegenerative diseases. Molecules 2019, 24, 1827. [Google Scholar] [CrossRef] [PubMed]
- Ahmad, K.; Balaramnavar, V.M.; Mohammad, H.B.; Ashwini, K.S.; Saif, K.; Kamal, M.A. Identification of potent caspase-3 inhibitors for treatment of multi-neurodegenerative diseases using pharmacophore modeling and docking approaches. CNS Neurol. Disorders-Drug Targets 2014, 13, 1346–1353. [Google Scholar] [CrossRef] [PubMed]
- Balaramnavar, V.; Srivastava, R.; Varshney, S.; Kumar, S.; Rawat, A.; Chandasana, H.; Chhonker, Y.; Bhatta, R.; Srivastava, A.; Gaikwad, A. Synthesis, biological evaluation, and molecular docking study of some new rohitukine analogs as protein tyrosine phosphatase 1B inhibitors. Bioorg. Chem. 2021, 110, 104829. [Google Scholar] [CrossRef] [PubMed]
- Smellie, A.; Teig, S.L.; Towbin, P. Poling: Promoting conformational variation. J. Comput. Chem. 1995, 16, 171–187. [Google Scholar] [CrossRef]
- Lindberg, J.; Sigurdsson, S.; Lowgren, S.; Andersson, H.O.; Sahlberg, C.; Noreen, R.; Fridborg, K.; Zhang, H.; Unge, T. Structural basis for the inhibitory efficacy of efavirenz (DMP-266), MSC194 and PNU142721 towards the HIV-1 RT K103N mutant. Eur. J. Biochem. 2002, 269, 1670–1677. [Google Scholar] [CrossRef]










![]() | |||||||
| Structure No.-1-27 Basic Ring | Structure No.-28-59 basic ring | ||||||
| Comp. | R | IC50 | Comp. | R | IC50 | ||
| 1 | 3,5-CH3 | 0.008 | 28 | 3-CH3 | 0.002 | ||
| 2 | H | 0.004 | 29 | 3-Br | 0.002 | ||
| 3 | 2-CH3 | 0.025 | 30 | 3-CN | 0.002 | ||
| 4 | 3-CH3 | 0.002 | 31 | 4-CN | 3.162 | ||
| 5 | 4-CH3 | 0.316 | 32 | 3-NO2 | 0.002 | ||
| 6 | 3-CF3 | 0.01 | 33 | 3,5-CH3 | 0.004 | ||
| 7 | 4-CF3 | 1.585 | 34 | 3,5-Cl | 0.002 | ||
| 8 | 4-C6H5 | 3.98 | 35 | 2,6-F | 0.05 | ||
| 9 | 2-Cl | 0.006 | 36 | 3-F-5-CF3 | 0.003 | ||
| 10 | 2-Br | 0.006 | 37 | 3-CH3-4-OCH3 | 0.079 | ||
| 11 | 3-F | 0.002 | 38 | 3-N(CH3)2 | 0.398 | ||
| 12 | 3-Cl | 0.005 | 39 | 3-NH2 | 0.012 | ||
| 13 | 3-Br | 0.004 | 40 | 3-N (C2H5) | 1.995 | ||
| 14 | 4-Cl | 0.199 | 41 | 3-NHCOCH3 | 0.126 | ||
| 15 | 4-Br | 1.585 | 42 | 3-NHSO2CH3 | 1 | ||
| 16 | 3-OCH3 | 0.004 | 43 | 3-NHCONHC2H5 | 1.995 | ||
| 17 | 3-OC2H5 | 0.013 | 44 | 3-(1-pyrrolidinyl-2-one) | 0.04 | ||
| 18 | 4-N(CH3)2 | 1.259 | 45 | 3-(1-pyrrolyl) | 0.079 | ||
| 19 | 2,3-CH3 | 0.1 | 46 | 3-CH2NH2 | 0.398 | ||
| 20 | 2,5-CH3 | 0.04 | 47 | 3-CH2NHCOCH3 | 0.398 | ||
| 21 | 3,4-CH3 | 0.04 | 48 | 3-C6H5 | 0.398 | ||
| 22 | 2,4-CH3 | 10 | 49 | 3-(2-furyl) | 0.063 | ||
| 23 | 2,4,6-CH3 | 10 | 50 | 3-(2-thiazolyl) | 0.251 | ||
| 24 | 3,5-F | 0.013 | 51 | 3-(3-pyridyl) | 0.006 | ||
| 25 | 3,5-Cl | 0.008 | 52 | 3-phenylethinyl | 0.158 | ||
| 26 | 3-CH3-4-OCH3 | 0.398 | 53 | 3-CHO | 0.008 | ||
| 27 | 3-CH=CHCN (E) | 0.0004 | 54 | 3-CH2OH | 0.05 | ||
| 55 | 3-COCH3 | 0.01 | |||||
| 56 | 3-CH2CN | 0.001 | |||||
| 57 | 3-CH (CH3) CN | 0.003 | |||||
| 58 | 3-CH2OPh | 0.039 | |||||
| 59 | 3-CH (OH) CH3 | 0.05 | |||||
Geometric isomers (continued).![]() | |||||||
| Comp. | R(E/Z Form) | IC50 | Comp. | R(E/Z Form) | IC50 | ||
| 60 | CN (Z) | 0.004 | 67 | PhCH2 (Z) | 1.585 | ||
| 61 | CN (E) | 0.001 | 68 | C6H5 (Z) | 1.258 | ||
| 62 | -COOEt (E) | 0.003 | 69 | C6H5 (E) | 0.251 | ||
| 63 | COOEt | 0.005 | 70 | (Z) | 1.585 | ||
| 64 | H | 0.002 | 71 | (E) | 0.079 | ||
| 65 | CH3 (E) | 0.005 | 72 | (Z) | 0.079 | ||
| 66 | CH3CH2 (E) | 0.050 | |||||
Geometric isomers (continued).![]() | |||||||
| Comp. | R (E/Z Form) | IC50 | Comp. | R (E/Z form) | IC50 | ||
| 73 | CH3 | 0.001 | 78 | (Z) | 0.063 | ||
| 74 | CN | 0.012 | 79 | H (E) | 0.001 | ||
| 75 | COOC2H5 (Z) | 0.158 | 80 | CH3 | 0.006 | ||
| 76 | C6H5 (z) | 1 | 81 | H | 0.003 | ||
| 77 | (E) | 0.199 | 82 | CH3 | 0.008 | ||
![]() | |||||||
| Comp. | Heterocycle | Y | IC50 | Comp. | Heterocycle | Y | IC50 |
| 83 | ![]() | CH2 | 0.063 | 87 | ![]() | CH2 | 5.012 |
| 84 | ![]() | CH2 | 100 | 88 | ![]() | CO | 0.016 |
| 85 | ![]() | CH2 | 0.039 | 89 | ![]() | CO | 0.003 |
| 86 | ![]() | CH2 | 0.015 | 90 | ![]() | CO | 0.010 |
Geometric isomers (continued).![]() | |||||||
| Comp. | R (E/Z Form) | IC50 | Comp. | R(E/Z Form) | IC50 | ||
| 91 | (E) | 0.003 | 98 | (E) | 0.100 | ||
| 92 | (Z) | 0.061 | 99 | (Z) | 0.063 | ||
| 93 | (E) | 0.010 | 100 | (E) | 0.02 | ||
| 94 | (Z) | 0.199 | 101 | (E) | 0.079 | ||
| 95 | (E) | 0.020 | 102 | (Z) | 0.158 | ||
| 96 | (E) | 0.316 | 103 | (E) | 0.032 | ||
| 97 | (E) | 0.079 | |||||
| Hypo | Total Cost | Cost Diff. (Δ) (Null a–Total) | RMS Deviation | Error | Correlation | Features b |
|---|---|---|---|---|---|---|
| 1 | 146.154 | 55.084 | 1.432 | 131.65 | 0.836 | HBAL, HY, HY, HY, RA |
| 2 | 146.512 | 54.726 | 1.422 | 131.23 | 0.833 | HBAL, HY, HY, HY, RA |
| 3 | 147.116 | 54.122 | 1.453 | 132.2 | 0.827 | HBD, HY, HY, HY, RA |
| 4 | 147.381 | 52.857 | 1.453 | 132.58 | 0.827 | HBAL, HY, HY, HY, RA |
| 5 | 148.361 | 52.877 | 1.452 | 132.54 | 0.828 | HBAL, HY, HY, HY, RA |
| 6 | 158.591 | 42.647 | 1.694 | 143.98 | 0.756 | HBD, HY, HY, HY, RA |
| 7 | 159.501 | 41.737 | 1.712 | 144.88 | 0.75 | HBD, HY, HY, HY, RA |
| Structure | Chemical Name | Fit Value | GOLD Score | MolDock Score | Re-Rank Score |
|---|---|---|---|---|---|
![]() | (NSC-21270 or CID 228386) | 9.059 | 59.82 | −109.786 | −81.861 |
![]() | Nevirapine | 6.22 | 54.34 | −80.422 | −69.192 |
![]() | Efavirenz | 7.35 | 60.34 | −90.264 | −63.537 |
![]() | ZINC09033850 | 7.855 | 50.50 | −132.503 | −78.049 |
| Ligand | MolDock Score | Re-Rank Score | Docking Score | Similarity Score |
|---|---|---|---|---|
| ZINC00118327 | −94.3105 | −68.3936 | −537.27 | −442.8 |
| ZINC02145802 | −135.01 | −46.6255 | −523.953 | −388.385 |
| ZINC02146330 | −148.393 | −105.048 | −572.967 | −428.346 |
| ZINC03882136 | −106.935 | −89.9424 | −505.056 | −397.593 |
| ZINC03999710 | −99.4136 | −89.1023 | −468.8 | −365.662 |
| ZINC04042111 | −103.784 | −86.9628 | −558.144 | −456.27 |
| ZINC04042113 | −97.2975 | −85.2139 | −492.057 | −434.711 |
| ZINC04042592 | −133.52 | −115.917 | −530.436 | −393.823 |
| ZINC04042644 | −110.695 | −83.6879 | −540.142 | −430.804 |
| ZINC04044269 | −102.001 | −88.9174 | −529.073 | −428.531 |
| ZINC08590027 | −85.4343 | −76.061 | −499.522 | −410.26 |
| ZINC08606304 | −117.548 | −85.374 | −599.476 | −478.438 |
| ZINC08964648 | −84.2768 | −88.907 | −582.527 | −501.149 |
| ZINC08964651 | −103.4529 | −104.479 | −584.946 | −493.032 |
| ZINC08964652 | −96.8387 | −90.599 | −545.242 | −452.769 |
| ZINC08964664 | −102.029 | −129.786 | −566.44 | −468.224 |
| ZINC09033565 | −97.1431 | −85.9664 | −435.762 | −329.149 |
| ZINC09033687 | −82.9655 | −77.765 | −524.96 | −440.625 |
| ZINC09514115 | −109.965 | −90.9183 | −569.119 | −456.021 |
| ZINC12661581 | −101.547 | −127.691 | −692.064 | −579.885 |
| ZINC12661651 | −66.9044 | −119.657 | −548.942 | −483.748 |
| ZINC12661660 | −130.781 | −95.7949 | −573.955 | −445.823 |
| ZINC12661665 | −125.599 | −94.9555 | −569.362 | −446.274 |
| ZINC12661671 | −96.574 | −85.7076 | −568.056 | −475.063 |
| ZINC12661673 | −94.3644 | −81.02 | −499.607 | −401.587 |
Publisher’s Note: MDPI stays neutral with regard to jurisdictional claims in published maps and institutional affiliations. |
© 2021 by the authors. Licensee MDPI, Basel, Switzerland. This article is an open access article distributed under the terms and conditions of the Creative Commons Attribution (CC BY) license (https://creativecommons.org/licenses/by/4.0/).
Share and Cite
Mathpal, D.; Almeleebia, T.M.; Alshahrani, K.M.; Alshahrani, M.Y.; Ahmad, I.; Asiri, M.; Kamal, M.; Jawaid, T.; Srivastava, S.P.; Saeed, M.; et al. Identification of 3-((1-(Benzyl(2-hydroxy-2-phenylethyl)amino)-1-oxo-3-phenylpropan-2-yl)carbamoyl)pyrazine-2-carboxylic Acid as a Potential Inhibitor of Non-Nucleosidase Reverse Transcriptase Inhibitors through InSilico Ligand- and Structure-Based Approaches. Molecules 2021, 26, 5262. https://doi.org/10.3390/molecules26175262
Mathpal D, Almeleebia TM, Alshahrani KM, Alshahrani MY, Ahmad I, Asiri M, Kamal M, Jawaid T, Srivastava SP, Saeed M, et al. Identification of 3-((1-(Benzyl(2-hydroxy-2-phenylethyl)amino)-1-oxo-3-phenylpropan-2-yl)carbamoyl)pyrazine-2-carboxylic Acid as a Potential Inhibitor of Non-Nucleosidase Reverse Transcriptase Inhibitors through InSilico Ligand- and Structure-Based Approaches. Molecules. 2021; 26(17):5262. https://doi.org/10.3390/molecules26175262
Chicago/Turabian StyleMathpal, Deepti, Tahani M. Almeleebia, Kholoud M. Alshahrani, Mohammad Y. Alshahrani, Irfan Ahmad, Mohammed Asiri, Mehnaz Kamal, Talha Jawaid, Swayam Prakash Srivastava, Mohd Saeed, and et al. 2021. "Identification of 3-((1-(Benzyl(2-hydroxy-2-phenylethyl)amino)-1-oxo-3-phenylpropan-2-yl)carbamoyl)pyrazine-2-carboxylic Acid as a Potential Inhibitor of Non-Nucleosidase Reverse Transcriptase Inhibitors through InSilico Ligand- and Structure-Based Approaches" Molecules 26, no. 17: 5262. https://doi.org/10.3390/molecules26175262
APA StyleMathpal, D., Almeleebia, T. M., Alshahrani, K. M., Alshahrani, M. Y., Ahmad, I., Asiri, M., Kamal, M., Jawaid, T., Srivastava, S. P., Saeed, M., & Balaramnavar, V. M. (2021). Identification of 3-((1-(Benzyl(2-hydroxy-2-phenylethyl)amino)-1-oxo-3-phenylpropan-2-yl)carbamoyl)pyrazine-2-carboxylic Acid as a Potential Inhibitor of Non-Nucleosidase Reverse Transcriptase Inhibitors through InSilico Ligand- and Structure-Based Approaches. Molecules, 26(17), 5262. https://doi.org/10.3390/molecules26175262
































