Next Article in Journal
Trifluoromethylated Flavonoid-Based Isoxazoles as Antidiabetic and Anti-Obesity Agents: Synthesis, In Vitro α-Amylase Inhibitory Activity, Molecular Docking and Structure–Activity Relationship Analysis
Next Article in Special Issue
An Evaluation of Understudied Phytocannabinoids and Their Effects in Two Neuronal Models
Previous Article in Journal
Anharmonic DFT Study of Near-Infrared Spectra of Caffeine: Vibrational Analysis of the Second Overtones and Ternary Combinations
Previous Article in Special Issue
Effects of a Peripherally Restricted Hybrid Inhibitor of CB1 Receptors and iNOS on Alcohol Drinking Behavior and Alcohol-Induced Endotoxemia
 
 
Font Type:
Arial Georgia Verdana
Font Size:
Aa Aa Aa
Line Spacing:
Column Width:
Background:
Article

Involvement of the γ Isoform of cPLA2 in the Biosynthesis of Bioactive N-Acylethanolamines

1
Department of Biochemistry, Kagawa University School of Medicine, 1750-1 Ikenobe, Miki, Kagawa 761-0793, Japan
2
Department of Oral and Maxillofacial Surgery, Kagawa University School of Medicine, 1750-1 Ikenobe, Miki, Kagawa 761-0793, Japan
3
Department of Pharmacology, Kawasaki Medical School, 577 Matsushima, Kurashiki, Okayama 701-0192, Japan
*
Author to whom correspondence should be addressed.
Recipient of Mechoulam Award in 2020.
Molecules 2021, 26(17), 5213; https://doi.org/10.3390/molecules26175213
Submission received: 28 July 2021 / Revised: 23 August 2021 / Accepted: 23 August 2021 / Published: 27 August 2021

Abstract

:
Arachidonylethanolamide (anandamide) acts as an endogenous ligand of cannabinoid receptors, while other N-acylethanolamines (NAEs), such as palmitylethanolamide and oleylethanolamide, show analgesic, anti-inflammatory, and appetite-suppressing effects through other receptors. In mammalian tissues, NAEs, including anandamide, are produced from glycerophospholipid via N-acyl-phosphatidylethanolamine (NAPE). The ɛ isoform of cytosolic phospholipase A2 (cPLA2) functions as an N-acyltransferase to form NAPE. Since the cPLA2 family consists of six isoforms (α, β, γ, δ, ɛ, and ζ), the present study investigated a possible involvement of isoforms other than ɛ in the NAE biosynthesis. Firstly, when the cells overexpressing one of the cPLA2 isoforms were labeled with [14C]ethanolamine, the increase in the production of [14C]NAPE was observed only with the ɛ-expressing cells. Secondly, when the cells co-expressing ɛ and one of the other isoforms were analyzed, the increase in [14C]N-acyl-lysophosphatidylethanolamine (lysoNAPE) and [14C]NAE was seen with the combination of ɛ and γ isoforms. Furthermore, the purified cPLA2γ hydrolyzed not only NAPE to lysoNAPE, but also lysoNAPE to glycerophospho-N-acylethanolamine (GP-NAE). Thus, the produced GP-NAE was further hydrolyzed to NAE by glycerophosphodiesterase 1. These results suggested that cPLA2γ is involved in the biosynthesis of NAE by its phospholipase A1/A2 and lysophospholipase activities.

1. Introduction

N-Acylethanolamines (NAEs) are a class of bioactive lipids consisting of long-chain fatty acids and ethanolamine, and are widely present in animal and plant tissues [1]. They exhibit different biological activities depending on the type of constituent fatty acids. For example, N-arachidonoylethanolamine, also called arachidonylethanolamide or anandamide, functions as an endocannabinoid that binds to cannabinoid receptors CB1 and CB2 [2]. On the other hand, N-palmitoylethanolamine (palmitylethanolamide) [3] and N-oleoylethanolamine (oleylethanolamide) [4] act on the peroxisome proliferator-activated receptor (PPAR)-α as well as other receptors to show anti-inflammatory/analgesic and appetite-suppressing effects, respectively.
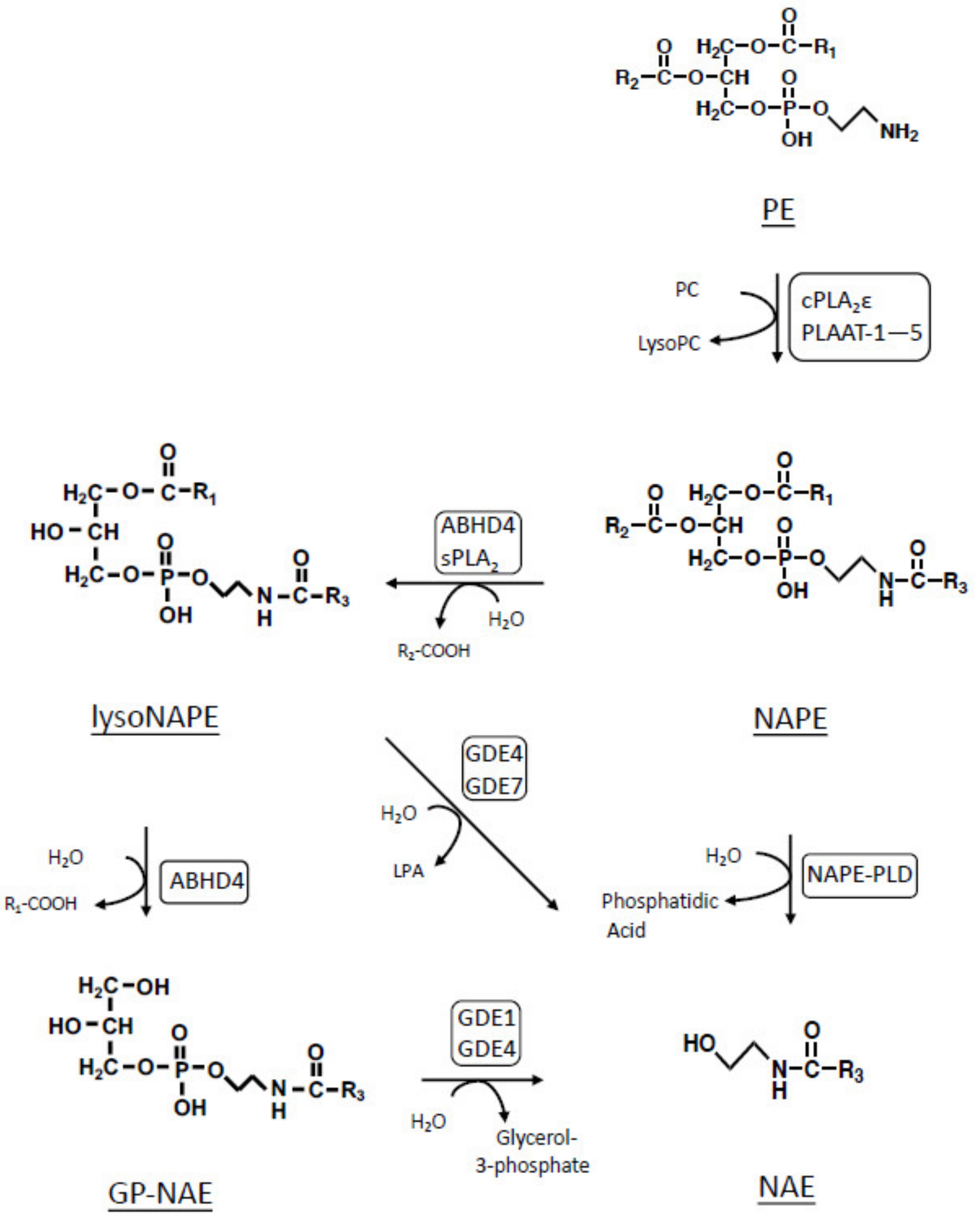
NAEs are biosynthesized from membrane phospholipids mainly in two-step enzyme reactions (Figure 1) [5,6]. The first reaction is the transfer of a fatty acyl chain from the sn-1 position of a glycerophospholipid molecule such as phosphatidylcholine (PC) to the amino group of a diacyl-type or plasmalogen-type phosphatidylethanolamine (PE), resulting in the formation of N-acyl-phosphatidylethanolamine (NAPE), a unique phospholipid molecule with three fatty acyl chains. The enzymes catalyzing this reaction are collectively called N-acyltransferases, which are classified into two groups by Ca2+-dependency [5,6,7,8]. The second reaction is the release of NAE from NAPE. The phospholipase D (PLD)-type enzyme NAPE-PLD directly produces NAE [9], while the alternative pathway does not involve NAPE-PLD, but consists of consecutive hydrolytic reactions via N-acyl-lysophosphatidylethanolamine (lysoNAPE) and glycerophospho-N-acylethanolamine (GP-NAE) (Figure 1) [10,11]. This pathway involves several hydrolases such as group IB, IIA, and V of secretory phospholipase A2s (sPLA2s) [12], α/β-hydrolase domain containing 4 (ABHD4) [13], and glycerophosphodiesterase (GDE) 1 [14]. The analysis of NAPE-PLD-deficient mice demonstrated the presence of the alternative pathway in the brain [11,15] and peripheral tissues such as heart, kidney, liver, and jejunum [16].
The cytosolic phospholipase A2 (cPLA2) family, also referred to as the group IV PLA2 family, belongs to the PLA2 superfamily and consists of six isoforms (α, β, γ, δ, ɛ, and ζ) [17]. Ogura et al. revealed that the ε isoform of the cPLA2 family (cPLA2ε), also known as group IVE PLA2 (PLA2G4E), functions as a Ca2+-dependent N-acyltransferase to form NAPE [8]. On the other hand, the involvement of isoforms other than ε in the biosynthetic pathway of NAE has not yet been reported. In the present study, we examined the facilitatory effects of the isoforms of the cPLA2 family on the NAE formation in living mammalian cells, as well as the reactivity of purified cPLA2γ with NAPE and lysoNAPE. The results suggested that the γ isoform deacylates NAPE to GP-NAE via the formation of lysoNAPE and constitutes the alternative pathway for the formation of NAE.

2. Results and Discussion

2.1. N-Acyltransferase Activity of cPLA2 Isoforms in Living Cells

To examine whether mouse cPLA2 isoforms have NAPE-producing N-acyltransferase activity, we transiently expressed each isoform (α, β, γ, δ, ɛ, or ζ) in human embryonic kidney (HEK)293 cells. Since these recombinant proteins were tagged with FLAG, their successful expression was confirmed by Western blotting using anti-FLAG antibody (Figure 2A). These FLAG-tagged proteins exhibited immunopositive bands at the position of the deduced molecular mass of each isoform (α, 85 kDa; β, 88 kDa; γ, 68 kDa; δ, 93 kDa; ɛ, 100 kDa; and ζ, 96 kDa), respectively. The extra bands were presumed to be degradative or modified proteins of each isoform.
We recently reported that cPLA2ɛ-expressing cells pretreated with [14C]ethanolamine produce a large amount of [14C]NAPE in response to the Ca2+ ionophore ionomycin [18]. Thus, in the present study, we used this metabolic labeling as a simple method to detect Ca2+-dependent N-acyltransferase activity in living cells. We cultured the HEK293 cells expressing each isoform in the presence of [14C]ethanolamine for 18 h and further treated the cells with ionomycin for 30 min. Total lipids were then extracted from the cells and separated by thin-layer chromatography (TLC). The distribution of radioactivity on the thin-layer plate was visualized (Figure 2B) and quantified (Figure 2C–E). In comparison with the control cells transfected with an insert-free vector, the cPLA2ɛ-expressing cells exhibited remarkable increases in the intensities of the radioactive bands corresponding to authentic NAPE, NAE, and lysoNAPE. However, such increases were not seen with the cells expressing cPLA2 isoforms other than ɛ.
The δ isoform (PLA2G4D) was previously reported not to exhibit N-acyltransferase activity [8]. Although our results suggested that the ε isoform is the sole enzyme functioning in living cells as NAPE-forming N-acyltransferase, we could not rule out the possibility that the other isoforms show N-acyltransferase activity under different assay conditions.

2.2. NAPE-PLA1/A2 Activity of cPLA2 Isoforms in Living Cells

Since all the cPLA2 isoforms were previously reported to exhibit PLA1/A2 activity for glycerophospholipids such as PC [17], it was likely that these isoforms also showed PLA1/A2 activity for NAPE in living cells. For this purpose, we used cPLA2ɛ/Tet-on cells, which stably expressed FLAG-tagged cPLA2ɛ in the presence of doxycycline (DOX) and produced a large amount of NAPE when stimulated by a Ca2+ ionophore [18]. We transiently expressed one of α, β, γ, δ, and ζ isoforms with a FLAG tag in cPLA2ɛ/Tet-on cells in the presence of DOX. Successful co-expression of ɛ isoform and one of the other isoforms was confirmed by Western blotting using anti-FLAG antibody (Figure 3A). cPLA2ε was stably expressed in cPLA2ε/Tet-on cells in the presence of doxycyclin, while other isoforms of cPLA2 were transiently and potently expressed by the introduction of each cDNA using Lipofectamine 2000. The differences in the expression levels between ε and other isoforms were presumably attributed to the differences in the expression methods. Metabolic labeling of cPLA2ɛ/Tet-on cells with [14C]ethanolamine, followed by the ionomycin treatment, exhibited the production of large amounts of radioactive NAPE, NAE, and lysoNAPE due to the activation of cPLA2ɛ (Figure 3B) as reported previously [18]. Interestingly, as compared with the sole expression of ɛ, the co-expression of ɛ with γ, but not with α, β, δ, or ζ, showed a lower level of NAPE (Figure 3C) and higher levels of NAE (Figure 3D) and lysoNAPE (Figure 3E). These results suggested that NAPE, produced by ɛ, was hydrolyzed to lysoNAPE by the PLA1/A2 activity of γ. The increase in NAE levels by the expression of γ was presumably due to further hydrolysis of the increased lysoNAPE.
Earlier, mouse ABHD4 was reported to have the ability to hydrolyze NAPE to lysoNAPE, and then lysoNAPE to GP-NAE (Figure 1) [13]. In fact, substantial reductions in GP-NAE and plasmalogen-type lysoNAPE were observed in the brain of ABHD4-deficient mice [19]. Thus, we also transiently expressed mouse ABHD4 in cPLA2ɛ/Tet-on cells. Western blotting revealed the expression of FLAG-tagged ABHD4 with a molecular mass of 39 kDa (Figure 3A). However, in the metabolic labeling with [14C]ethanolamine, the expression of ABHD4 did not significantly affect the levels of radioactive NAPE, NAE, or lysoNAPE (Figure 3B–E), despite the fact that the purified ABHD4 successfully hydrolyzed N-[14C]palmitoyl-PE to N-[14C]palmitoyl-lysoPE (Figure 4A,B). The reason for this discrepancy remained unclear.

2.3. Activities of Purified cPLA2γ and ABHD4

We expressed FLAG-tagged cPLA2γ and ABHD4 in HEK293 cells and purified these enzymes by anti-FLAG affinity chromatography. The purified enzymes were allowed to react with N-[14C]palmitoyl-PE, and the radioactive products were separated by TLC (Figure 4A). The results showed that both enzymes produced two radioactive bands corresponding to N-[14C]palmitoyl-lysoPE (Figure 4B) and GP-N-[14C]palmitoylethanolamine (Figure 4C). Moreover, when the purified enzymes were incubated with N-[14C]palmitoyl-lysoPE, the production of GP-N-[14C]palmitoylethanolamine was observed (Figure 5A,B). These results showed that the purified cPLA2γ, as well as the purified ABHD4 catalyzed two sequential hydrolytic reactions to convert NAPE to GP-NAE via lysoNAPE. Notably, cPLA2γ catalyzed the latter reaction at a higher rate than the former reaction, suggesting the efficient formation of GP-NAE from NAPE.
cPLA2γ was earlier cloned from a human [20] and characterized as a novel membrane-bound, Ca2+-independent PLA2 [17,20]. Our preliminary assay also showed that the purified cPLA2γ can hydrolyze [14C]PC (data not shown). In addition to PLA2 activity, cPLA2γ exhibited PLA1, lysophospholipase, and acyltransferase activity [21]. The substrates used were PC, PE, lysoPC, and lysoPE. Thus, cPLA2γ sequentially hydrolyzed two acyl chains from sn-1 and -2 positions of the glycerol backbone of PC and PE, resulting in the formation of glycerophosphocholine or glycerophosphoethanolamine, respectively. The ability to convert NAPE to GP-NAE via lysoNAPE (Figure 4 and Figure 5) may be explained by this multi-function of cPLA2γ.
To identify one of the cPLA2γ products as GP-N-[14C]palmitoylethanolamine, we extracted this radioactive product from silica gel with organic solvent and allowed the substance to react with purified recombinant mouse GDE1, which is known to hydrolyze GP-NAE to NAE and glycerol 3-phoshate [14]. As shown in Figure 6A, GDE1 converted the substance to a radioactive band corresponding to authentic N-[14C]palmitoylethanolamine. Furthermore, we incubated the purified cPLA2γ with N-[14C]palmitoyl-PE for 30 min and then added the purified GDE1 to the reaction mix, followed by further incubation for 15 min (Figure 6B–E). This sequential reaction led to the production of the radioactive band corresponding to N-[14C]palmitoylethanolamine. In contrast, GDE1 was inactive with N-[14C]palmitoyl-PE. These results suggest that GP-NAE produced by cPLA2γ is converted to NAE by GDE1.

2.4. Tissue Distributions of cPLA2γ and ABHD4

We examined the distribution of mRNAs of cPLA2γ and ABHD4 in mouse tissues by reverse transcription-PCR (Figure 7A). cPLA2γ mRNA was widely distributed in various tissues with higher expression levels in the liver, colon, and testis, followed by many other tissues (Figure 7B). On the other hand, ABHD4 mRNA was widely distributed with higher levels in the brain, heart, lung, ileum, kidney, testis, and skeletal muscle (Figure 7C). Previously, the tissue distribution of mouse ABHD4 mRNA was reported with the highest expression in the central nervous system and testis, followed by the liver and kidney, with negligible signals in the heart [13].
In the nervous system, ABHD4 did not appear to be the sole enzyme that hydrolyzed NAPE and lysoNAPE [19]. Moreover, the enzyme(s) responsible in peripheral tissues have not fully been understood. Considering the wide distribution of cPLA2γ in mouse tissues, cPLA2γ may function as an alternative of ABHD4 in the NAE biosynthesis. Specific inhibitors for these enzymes will be useful to quantitatively estimate the contribution of each enzyme, particularly if used in primary culture.
As for human cPLA2γ, Northern blot analysis indicated that cPLA2γ mRNA is most abundant in the skeletal muscle and heart, with lower levels in the spleen, brain, placenta, and pancreas [20]. Human cPLA2γ (accession number, NP_003697) [20] and mouse cPLA2γ (NM_001004762) were deduced to comprise 541 and 597 amino acids, respectively. Arg-54, Ser-82, and Asp-385, forming the catalytic center of human cPLA2γ, were conserved as Arg-55, Ser-83, and Asp-417 in mouse cPLA2γ [17]. Human cPLA2γ [20] and mouse cPLA2γ (Guo et al., unpublished observation) showed the PLA1/A2 activity for PC. Thus, human cPLA2γ was considered to be the ortholog of the mouse enzyme.

3. Materials and Methods

3.1. Materials

[1,2-14C]Ethanolamine-HCl ([14C]ethanolamine) was purchased from Moravek Biochemicals (Brea, CA, USA); anti-FLAG M2-conjugated agarose affinity gel and FLAG peptide were from Sigma-Aldrich (St. Louis, MO, USA); rabbit anti-FLAG (DYKDDDDK) monoclonal antibody was from Cell Signaling Technology (Danvers, MA, USA); horseradish peroxidase-linked anti-rabbit IgG was from GE Healthcare (Piscataway, NJ, USA); protein assay dye reagent concentrate was from Bio-Rad (Hercules, CA, USA); PrimeScript RT reagent kit was from Takara Bio (Kusatsu, Japan); precoated silica gel 60 F254 aluminum sheets for TLC (20 × 20 cm, 0.2 mm thickness) and Immobilon-P were from Merck Millipore (Darmstadt, Germany); fetal bovine serum, Lipofectamine 2000, TRIzol, pEF6/Myc-His vector, and Pierce Western Blotting Substrate Plus were from Invitrogen/Thermo Fisher Scientific (Carlsbad, CA, USA); Nonidet P-40 was from Nacalai Tesque (Kyoto, Japan); Dulbecco’s modified Eagle’s medium (DMEM), dithiothreitol (DTT), 3(2)-t-butyl-4-hydroxyanisole (BHA), Tween 20, and ionomycin were from FUJIFILM Wako Pure Chemical (Osaka, Japan); KOD-Plus-Neo polymerase and Quick taq DNA polymerase were from TOYOBO (Osaka, Japan); n-octyl-β-D-glucoside and 3-[(3-cholamidopropyl)dimethylammonio]-propanesulfonate (CHAPS) were from Dojindo (Kumamoto, Japan); DOX was from Clontech (Mountain View, CA, USA); HEK293 cells were from Health Science Research Resources Bank (Osaka, Japan). 1,2-Dioleoyl-sn-glycero-3-phospho(N-[1′-14C]palmitoyl)ethanolamine (N-[14C]palmitoyl-PE), 1-oleoyl-2-hydroxy-sn-glycero-3-phospho(N-[1′-14C]palmitoyl)ethanolamine (N-[14C]palmitoyl-lysoPE), sn-glycero-3-phospho(N-[1′-14C]palmitoyl)ethanolamine (glycerophospho-N-[14C]palmitoylethanolamine or GP-N-[14C]palmitoylethanolamine) and N-[14C]palmitoylethanolamine were enzymatically prepared as described previously [22]. The products were purified by TLC with a mixture of chloroform/methanol/28% ammonium hydroxide (80:20:2, by vol.) or chloroform/methanol/acetic acid (9:1:1, by vol.).

3.2. Construction of Expression Vectors

C57BL/6 mice (male, 8 weeks old) (Japan SLC, Inc., Hamamatsu, Japan) were anesthetized and sacrificed by decapitation according to the guidelines for care and use of animals established by Kagawa University (Kagawa, Japan). Total RNAs were then isolated using TRIzol from the mouse tissues indicated in Table 1. First-strand cDNA was prepared from 5 μg of total RNA using a PrimeScript RT reagent kit. The cDNA encoding N-terminally FLAG-tagged mouse cPLA2α, cPLA2β, cPLA2γ, cPLA2δ, cPLA2ζ, and ABHD4 was amplified by PCR with KOD-Plus-Neo DNA polymerase. The primers used are shown in Table 1. PCR was carried out for 35 cycles at 94 °C for 20 s, 56 °C for 20 s, and 68 °C for 3 min. The obtained DNA fragments were subcloned into the corresponding sites of pEF6/Myc-His. All the constructs were sequenced in both directions using an ABI 3130 Genetic Analyzer (Invitrogen/Life Technologies, Carlsbad, CA, USA). The expression vectors harboring N-terminally FLAG-tagged mouse cPLA2ε [23] and C-terminally FLAG-tagged mouse GDE1 [22] were constructed as described previously.

3.3. Metabolic Labeling

A Tet-on cell line (FL-cPLA2ε/Tet-on), which DOX-dependently expresses FLAG-tagged cPLA2ε, was established by the transfection of HEK293 cells with pcDNA5/TO vector harboring FLAG-tagged cPLA2ε as reported previously [18]. The cells were maintained for at least four days in the presence of 1 μg/mL DOX.
HEK293 cells and FL-cPLA2ε/Tet-on cells were grown at 37 °C to 80% confluency in 6-well plastic plates containing DMEM with 10% fetal bovine serum in a humidified 5% CO2 and 95% air incubator. For the transient expression of FLAG-tagged enzymes, the expression vectors harboring cDNA of each enzyme were introduced into the cells using Lipofectamine 2000 according to the manufacturer’s instructions. Twenty-four hours after transfection, the cells were labeled with [14C]ethanolamine (0.16 μCi/well) for 18 h. [14C]Ethanolamine was then removed and serum-free fresh medium with or without 2 μM ionomycin was added to the wells. After further incubation at 37 °C for 30 min, total lipids were extracted by the method of Bligh and Dyer [24], spotted on a silica gel thin-layer plate (20 cm height), and developed at 4 °C for 90 min with a mixture of chloroform/methanol/28% ammonium hydroxide (80:20:2, by vol.). The distribution of radioactivity on the plate was visualized and quantified using an image reader FLA-7000 (FUJIFILM, Tokyo, Japan). All assays were performed in triplicate.

3.4. Expression and Purification of Recombinant Proteins

HEK293 cells were grown at 37 °C to 90% confluency in 150 mm plastic dishes containing DMEM with 10% fetal bovine serum in a humidified 5% CO2 and 95% air incubator. For the expression of recombinant FLAG-tagged cPLA2γ, ABHD4, or GDE1, their expression vectors were introduced into HEK293 cells using Lipofectamine 2000 according to the manufacturer’s instructions. Forty-eight hours after transfection, cells were harvested from 2 to 3 dishes and sonicated twice each for 5 s in 20 mM Tris-HCl (pH 7.4).
For the purification of cPLA2γ and ABHD4, soluble fractions were prepared from the cell homogenates by centrifugation in the presence of 0.1% Nonidet P-40 at 105,000× g for 30 min at 4 °C; they were then mixed with 1 mL of a 50% slurry of anti-FLAG M2 affinity gel pre-equilibrated with 50 mM Tris-HCl (pH 7.4) containing 150 mM NaCl and 0.05% Nonidet P-40 (buffer A). After overnight incubation at 4 °C under gentle mixing, the gel was packed into a column and washed three times each with 12 mL of buffer A. The FLAG-tagged protein was eluted with buffer A containing 0.1 mg/mL of FLAG peptide, and every 0.25 mL fraction was collected.
For the purification of GDE1, particulate fractions were prepared from the homogenates of the GDE1-expressing cells by centrifugation in the presence of 0.1% octyl glucoside at 105,000× g for 30 min at 4 °C. GDE1 was then solubilized and purified as described previously [22].
The protein concentration was determined by the method of Bradford with bovine serum albumin as a standard.

3.5. Enzyme Assay

Purified cPLA2γ (2 µg protein) and ABHD4 (2 µg protein) were allowed to react with 25 μM N-[14C]palmitoyl-PE (25,000 cpm, dissolved in 5 μL ethanol) or 25 μM N-[14C]palmitoyl-lysoPE (25,000 cpm, dissolved in 5 μL ethanol) in 100 μL of 50 mM Tris-HCl (pH 7.4), 0.1% CHAPS, and 5 mM EDTA at 37 °C for 30 min. The reaction was terminated by adding 0.32 mL of chloroform/methanol/1 M citric acid (8:4:1, v/v) containing 5 mM BHA. After centrifugation, 100 μL of the organic phase was spotted on a thin-layer silica gel plate (20 cm height), and developed in chloroform/methanol/water (65:25:4, by vol.) at 4 °C for 90 min.
Purified GDE1 (2 µg protein) was incubated with 14C-labeled compounds in 100 μL of 50 mM Tris-HCl (pH 7.4), 3 mM DTT, and 2 mM MgCl2 at 37 °C for 30 min. The reaction was terminated by adding 0.32 mL of chloroform/methanol/1 M citric acid (8:4:1, by vol.) containing 5 mM BHA. After centrifugation, 100 μL of the organic phase was spotted on a thin-layer silica gel plate (20 cm height), and developed in chloroform/methanol/28% ammonium hydroxide (80:20:2, by vol.) at 4 °C for 90 min.
After the development by TLC, the radioactive substances on the plate were quantified by an FLA7000 image analyzer. All enzyme assays were performed in triplicate.

3.6. Statistical Analysis

Statistical significance was assessed using one-way ANOVA followed by Tukey’s multiple comparison test using GraphPad Prism 8 (GraphPad Software Inc., La Jolla, CA, USA), with p < 0.05 considered statistically significant. Data are presented as mean ± standard deviation (S.D.) of the mean.

3.7. Western Blotting

The homogenates (30 μg of protein) of the cells expressing FLAG-tagged enzymes were separated by SDS-PAGE on 10% gel and electrotransferred to a hydrophobic polyvinylidene difluoride membrane (Immobilon-P). The membrane was blocked with PBS containing 5% dried skimmed milk and 0.1% Tween 20 (buffer B) and then incubated with anti-FLAG antibody (1:2000 dilution) in buffer B at room temperature for 1 h, followed by incubation with horseradish peroxidase-labeled anti-rabbit IgG antibody (1:4000 dilution) in buffer B at room temperature for 1 h. The membrane was finally treated with Pierce Western Blotting Substrate Plus, and the labeled proteins were visualized with the aid of a LAS1000plus luminoimaging analyzer (FUJIX Ltd., Tokyo, Japan).

3.8. Reverse Transcription-PCR

First-strand cDNA was prepared as described in “4.2. Construction of Expression Vectors” and subjected to PCR amplification by Quick taq DNA polymerase. The primer sequences used are shown in Table 2. The PCR conditions were as follows: 30 cycles with denaturation at 98 °C for 10 s, annealing and extension at 68 °C for 60 s for cPLA2γ; 30 cycles with denaturation at 98 °C for 10 s, annealing and extension at 68 °C for 60 s for ABHD4; 18 cycles with denaturation at 98 °C for 10 s, annealing at 55 °C for 30 s, and extension at 68 °C for 30 s for 18S rRNA as a control.

4. Conclusions

In the present study, we first suggested that in living cells, the γ isoform of cPLA2 has PLA1/A2 activity to generate lysoNAPE from NAPE, which was produced by the ɛ isoform of cPLA2. We then showed that the purified cPLA2γ hydrolyzes not only NAPE to lysoNAPE, but also lysoNAPE to GP-NAE. These consecutive hydrolytic reactions starting from NAPE were previously reported with ABHD4. Considering the wide distribution of cPLA2γ in mouse tissues, cPLA2γ may function as an alternative of ABHD4, constituting the NAPE-PLD-independent pathway for the biosynthesis of bioactive NAEs.

Author Contributions

Conceptualization, T.U. and N.U.; investigation and formal analysis, Y.G., T.U., S.M.K.R., M.M.S., and Z.H.; resources, T.U. and K.T.; writing—original draft, Y.G.; writing—review and editing, Y.G., T.U., Z.H., K.T., and N.U.; visualization, Y.G. and T.U.; supervision, T.U., M.M., and N.U.; funding acquisition, T.U., Z.H., and N.U. All authors have read and agreed with the published version of the manuscript.

Funding

The authors are supported by Grants-in-Aid for Scientific Research from the Japan Society for the Promotion of Science (T.U., grant number JP 18K06915; Z.H., grant number JP 19K23828; N.U., grant number JP 19K07353) as well as a research grant from Charitable Trust MIU Foundation Memorial Fund (to T.U.).

Institutional Review Board Statement

The study was conducted according to the guidelines of the Declaration of Helsinki, and approved by the Animal Care and Use Committee for Kagawa University (Approval No. 21618).

Informed Consent Statement

Not applicable.

Data Availability Statement

Not applicable.

Acknowledgments

We acknowledge Divisions of Research Instrument and Equipment and Radioisotope Research, Life Science Research Center, Kagawa University.

Conflicts of Interest

The authors declare no conflict of interest.

References

  1. Schmid, H.H.O.; Schmid, P.C.; Natarajan, V. N-acylated glycerophospholipids and their derivatives. Prog. Lipid Res. 1990, 29, 1–43. [Google Scholar] [CrossRef]
  2. Devane, W.A.; Hanus, L.; Breuer, A.; Pertwee, R.G.; Stevenson, L.A.; Griffin, G.; Gibson, D.; Mandelbaum, A.; Etinger, A.; Mechoulam, R. Isolation and structure of a brain constituent that binds to the cannabinoid receptor. Science 1992, 258, 1946–1949. [Google Scholar] [CrossRef]
  3. Lo Verme, J.; Fu, J.; Astarita, G.; la Rana, G.; Russo, R.; Calignano, A.; Piomelli, D. The nuclear receptor peroxisome proliferator-activated receptor-alpha mediates the anti-inflammatory actions of palmitoylethanolamide. Mol. Pharmacol. 2005, 67, 15–19. [Google Scholar] [CrossRef]
  4. Rodríguez de Fonseca, F.; Navarro, M.; Gómez, R.; Escuredo, L.; Nava, F.; Fu, J.; Murillo-Rodríguez, E.; Giuffrida, A.; loVerme, J.; Gaetani, S.; et al. An anorexic lipid mediator regulated by feeding. Nature 2001, 414, 209–212. [Google Scholar] [CrossRef] [Green Version]
  5. Ueda, N.; Tsuboi, K.; Uyama, T. N-acylethanolamine metabolism with special reference to N-acylethanolamine-hydrolyzing acid amidase (NAAA). Prog. Lipid Res. 2010, 49, 299–315. [Google Scholar] [CrossRef]
  6. Hussain, Z.; Uyama, T.; Tsuboi, K.; Ueda, N. Mammalian enzymes responsible for the biosynthesis of N-acylethanolamines. Biochim. Biophys. Acta 2017, 1862, 1546–1561. [Google Scholar] [CrossRef]
  7. Jin, X.H.; Okamoto, Y.; Morishita, J.; Tsuboi, K.; Tonai, T.; Ueda, N. Discovery and characterization of a Ca2+-independent phosphatidylethanolamine N-acyltransferase generating the anandamide precursor and its congeners. J. Biol. Chem. 2007, 282, 3614–3623. [Google Scholar] [CrossRef] [Green Version]
  8. Ogura, Y.; Parsons, W.H.; Kamat, S.S.; Cravatt, B.F. A calcium-dependent acyltransferase that produces N-acyl phosphatidylethanolamines. Nat. Chem. Biol. 2016, 12, 669–671. [Google Scholar] [CrossRef] [Green Version]
  9. Okamoto, Y.; Morishita, J.; Tsuboi, K.; Tonai, T.; Ueda, N. Molecular characterization of a phospholipase D generating anandamide and its congeners. J. Biol. Chem. 2004, 279, 5298–5305. [Google Scholar] [CrossRef] [Green Version]
  10. Natarajan, V.; Schmid, P.C.; Reddy, P.V.; Schmid, H.H.O. Catabolism of N-acylethanolamine phospholipids by dog brain preparations. J. Neurochem. 1984, 42, 1613–1619. [Google Scholar] [CrossRef] [PubMed]
  11. Tsuboi, K.; Okamoto, Y.; Ikematsu, N.; Inoue, M.; Shimizu, Y.; Uyama, T.; Wang, J.; Deutsch, D.G.; Burns, M.P.; Ulloa, N.M.; et al. Enzymatic formation of N-acylethanolamines from N-acylethanolamine plasmalogen through N-acylphosphatidylethanolamine-hydrolyzing phospholipase D-dependent and -independent pathways. Biochim. Biophys. Acta 2011, 1811, 565–577. [Google Scholar] [CrossRef]
  12. Sun, Y.X.; Tsuboi, K.; Okamoto, Y.; Tonai, T.; Murakami, M.; Kudo, I.; Ueda, N. Biosynthesis of anandamide and N-palmitoylethanolamine by sequential actions of phospholipase A2 and lysophospholipase D. Biochem. J. 2004, 380, 749–756. [Google Scholar] [CrossRef]
  13. Simon, G.M.; Cravatt, B.F. Endocannabinoid biosynthesis proceeding through glycerophospho-N-acyl ethanolamine and a role for alpha/beta-hydrolase 4 in this pathway. J. Biol. Chem. 2006, 281, 26465–26472. [Google Scholar] [CrossRef] [Green Version]
  14. Simon, G.M.; Cravatt, B.F. Anandamide biosynthesis catalyzed by the phosphodiesterase GDE1 and detection of glycerophospho-N-acyl ethanolamine precursors in mouse brain. J. Biol. Chem. 2008, 283, 9341–9349. [Google Scholar] [CrossRef] [Green Version]
  15. Leung, D.; Saghatelian, A.; Simon, G.M.; Cravatt, B.F. Inactivation of N-acyl phosphatidylethanolamine phospholipase D reveals multiple mechanisms for the biosynthesis of endocannabinoids. Biochemistry 2006, 45, 4720–4726. [Google Scholar] [CrossRef] [Green Version]
  16. Inoue, M.; Tsuboi, K.; Okamoto, Y.; Hidaka, M.; Uyama, T.; Tsutsumi, T.; Tanaka, T.; Ueda, N.; Tokumura, A. Peripheral tissue levels and molecular species compositions of N-acyl-phosphatidylethanolamine and its metabolites in mice lacking N-acyl-phosphatidylethanolamine-specific phospholipase D. J. Biochem. 2017, 162, 449–458. [Google Scholar] [CrossRef]
  17. Ghosh, M.; Tucker, D.E.; Burchett, S.A.; Leslie, C.C. Properties of the Group IV phospholipase A2 family. Prog. Lipid Res. 2006, 45, 487–510. [Google Scholar] [CrossRef]
  18. Binte Mustafiz, S.S.; Uyama, T.; Morito, K.; Takahashi, N.; Kawai, K.; Hussain, Z.; Tsuboi, K.; Araki, N.; Yamamoto, K.; Tanaka, T.; et al. Intracellular Ca2+-dependent formation of N-acyl-phosphatidylethanolamines by human cytosolic phospholipase A2ε. Biochim. Biophys. Acta 2019, 1864, 158515. [Google Scholar] [CrossRef]
  19. Lee, H.C.; Simon, G.M.; Cravatt, B.F. ABHD4 regulates multiple classes of N-acyl phospholipids in the mammalian central nervous system. Biochemistry 2015, 54, 2539–2549. [Google Scholar] [CrossRef] [PubMed] [Green Version]
  20. Underwood, K.W.; Song, C.; Kriz, R.W.; Chang, X.J.; Knopf, J.L.; Lin, L.L. A novel calcium-independent phospholipase A2, cPLA2-gamma, that is prenylated and contains homology to cPLA2. J. Biol. Chem. 1998, 273, 21926–21932. [Google Scholar] [CrossRef] [PubMed] [Green Version]
  21. Yamashita, A.; Tanaka, K.; Kamata, R.; Kumazawa, T.; Suzuki, N.; Koga, H.; Waku, K.; Sugiura, T. Subcellular localization and lysophospholipase/transacylation activities of human group IVC phospholipase A2 (cPLA2gamma). Biochim. Biophys. Acta 2009, 1791, 1011–1022. [Google Scholar] [CrossRef] [PubMed]
  22. Tsuboi, K.; Okamoto, Y.; Rahman, I.A.; Uyama, T.; Inoue, T.; Tokumura, A.; Ueda, N. Glycerophosphodiesterase GDE4 as a novel lysophospholipase D: A possible involvement in bioactive N-acylethanolamine biosynthesis. Biochim. Biophys. Acta 2015, 1851, 537–548. [Google Scholar] [CrossRef] [PubMed]
  23. Hussain, Z.; Uyama, T.; Kawai, K.; Binte Mustafiz, S.S.; Tsuboi, K.; Araki, N.; Ueda, N. Phosphatidylserine-stimulated production of N-acyl-phosphatidylethanolamines by Ca2+-dependent N-acyltransferase. Biochim. Biophys. Acta 2018, 1863, 493–502. [Google Scholar] [CrossRef] [PubMed]
  24. Bligh, E.G.; Dyer, W.J. A rapid method of total lipid extraction and purification. Can. J. Biochem. Physiol. 1959, 37, 911–917. [Google Scholar] [CrossRef] [PubMed] [Green Version]
Figure 1. Biosynthetic pathways of NAE in mammals. PLAAT: phospholipase A and acyltransferase.
Figure 1. Biosynthetic pathways of NAE in mammals. PLAAT: phospholipase A and acyltransferase.
Molecules 26 05213 g001
Figure 2. Metabolic labeling of cPLA2-expressing cells with [14C]ethanolamine. HEK293 cells were transfected with the insert-free vector (Mock) or the expression vector harboring cDNA for the indicated cPLA2 isoforms tagged with FLAG. Their expressions were confirmed by Western blotting using anti-FLAG antibody (A). Arrowheads indicate the positions of the deduced molecular mass of each isoform. The cells were metabolically labelled with [14C]ethanolamine, followed by the treatment with ionomycin. Total lipids were then analyzed by TLC (B). The positions of the origin and authentic compounds are shown. The relative radioactivities of NAPE (C), NAE (D), and lysoNAPE (E) are shown (mean values ± S.D., n = 3). * p < 0.05.
Figure 2. Metabolic labeling of cPLA2-expressing cells with [14C]ethanolamine. HEK293 cells were transfected with the insert-free vector (Mock) or the expression vector harboring cDNA for the indicated cPLA2 isoforms tagged with FLAG. Their expressions were confirmed by Western blotting using anti-FLAG antibody (A). Arrowheads indicate the positions of the deduced molecular mass of each isoform. The cells were metabolically labelled with [14C]ethanolamine, followed by the treatment with ionomycin. Total lipids were then analyzed by TLC (B). The positions of the origin and authentic compounds are shown. The relative radioactivities of NAPE (C), NAE (D), and lysoNAPE (E) are shown (mean values ± S.D., n = 3). * p < 0.05.
Molecules 26 05213 g002
Figure 3. Metabolic labeling with [14C]ethanolamine of the cells co-expressing cPLA2ε and one of the other isoforms. cPLA2ε/Tet-on cells were transfected with the insert-free vector or the expression vector harboring cDNA for the indicated FLAG-tagged cPLA2 isoforms or ABHD4 (AB4). Their expressions were confirmed by Western blotting using anti-FLAG antibody (A). Arrowheads indicate the positions of the deduced molecular mass of each isoform and ABHD4. The cells were labelled with [14C]ethanolamine, followed by the treatment with ionomycin (IM). Total lipids were then analyzed by TLC (B). The positions of the origin and authentic compounds are shown. The relative radioactivities of NAPE (C), NAE (D), and lysoNAPE (E) are shown (mean values ± S.D., n = 3). * p < 0.05.
Figure 3. Metabolic labeling with [14C]ethanolamine of the cells co-expressing cPLA2ε and one of the other isoforms. cPLA2ε/Tet-on cells were transfected with the insert-free vector or the expression vector harboring cDNA for the indicated FLAG-tagged cPLA2 isoforms or ABHD4 (AB4). Their expressions were confirmed by Western blotting using anti-FLAG antibody (A). Arrowheads indicate the positions of the deduced molecular mass of each isoform and ABHD4. The cells were labelled with [14C]ethanolamine, followed by the treatment with ionomycin (IM). Total lipids were then analyzed by TLC (B). The positions of the origin and authentic compounds are shown. The relative radioactivities of NAPE (C), NAE (D), and lysoNAPE (E) are shown (mean values ± S.D., n = 3). * p < 0.05.
Molecules 26 05213 g003
Figure 4. Reactivity of cPLA2γ and ABHD4 with NAPE. The purified cPLA2γ and ABHD4 (AB4) as well as buffer alone (-) were allowed to react with N-[14C]palmitoyl-PE (NPPE), and the products were analyzed by TLC (A). The positions of the origin and authentic compounds are shown. The N-[14C]palmitoyl-lysoPE (lysoNPPE)-forming activity (B) and GP-N-[14C]palmitoylethanolamine (GP-NPE)-forming activity (C) are shown (mean values ± S.D., n = 3).
Figure 4. Reactivity of cPLA2γ and ABHD4 with NAPE. The purified cPLA2γ and ABHD4 (AB4) as well as buffer alone (-) were allowed to react with N-[14C]palmitoyl-PE (NPPE), and the products were analyzed by TLC (A). The positions of the origin and authentic compounds are shown. The N-[14C]palmitoyl-lysoPE (lysoNPPE)-forming activity (B) and GP-N-[14C]palmitoylethanolamine (GP-NPE)-forming activity (C) are shown (mean values ± S.D., n = 3).
Molecules 26 05213 g004
Figure 5. Reactivity of cPLA2γ and ABHD4 with lysoNAPE. The purified cPLA2γ and ABHD4 (AB4), as well as buffer alone (-) were allowed to react with N-[14C]palmitoyl-lysoPE (lysoNPPE), and the products were then analyzed by TLC (A). The positions of the origin and authentic compounds are shown. The GP-N-[14C]palmitoylethanolamine (GP-NPE)-forming activity is shown (mean values ± S.D., n = 3) (B).
Figure 5. Reactivity of cPLA2γ and ABHD4 with lysoNAPE. The purified cPLA2γ and ABHD4 (AB4), as well as buffer alone (-) were allowed to react with N-[14C]palmitoyl-lysoPE (lysoNPPE), and the products were then analyzed by TLC (A). The positions of the origin and authentic compounds are shown. The GP-N-[14C]palmitoylethanolamine (GP-NPE)-forming activity is shown (mean values ± S.D., n = 3) (B).
Molecules 26 05213 g005
Figure 6. The formation of NAE from GP-NAE by GDE1. The radioactive band corresponding to GP-N-[14C]palmitoylethanolamine (GP-NPE), which was produced by purified cPLA2γ, was scraped from the TLC plate. The radioactive compound was then extracted by the Bligh and Dyer protocol, and incubated with purified GDE1 (G1) or water (-) (A). N-[14C]Palmitoyl-PE (NPPE) was incubated with the purified cPLA2γ for 30 min and additionally with the purified GDE1 for 15 min (γ+G1) (B). GDE1 or cPLA2γ was omitted in γ and G1, respectively. The products were analyzed by TLC. The positions of the origin and authentic compounds are shown. The N-[14C]palmitoyl-lysoPE (lysoNPPE)-forming activity (C), GP-NPE-forming activity (D), and N-[14C]palmitoylethanolamine (NPE)-forming activity (E) are shown (mean values ± S.D., n = 3).
Figure 6. The formation of NAE from GP-NAE by GDE1. The radioactive band corresponding to GP-N-[14C]palmitoylethanolamine (GP-NPE), which was produced by purified cPLA2γ, was scraped from the TLC plate. The radioactive compound was then extracted by the Bligh and Dyer protocol, and incubated with purified GDE1 (G1) or water (-) (A). N-[14C]Palmitoyl-PE (NPPE) was incubated with the purified cPLA2γ for 30 min and additionally with the purified GDE1 for 15 min (γ+G1) (B). GDE1 or cPLA2γ was omitted in γ and G1, respectively. The products were analyzed by TLC. The positions of the origin and authentic compounds are shown. The N-[14C]palmitoyl-lysoPE (lysoNPPE)-forming activity (C), GP-NPE-forming activity (D), and N-[14C]palmitoylethanolamine (NPE)-forming activity (E) are shown (mean values ± S.D., n = 3).
Molecules 26 05213 g006
Figure 7. Tissue distribution of cPLA2γ and ABHD4 in mice. mRNAs from the indicated mouse tissues were analyzed by reverse transcription-PCR using primers specific for cPLA2γ, ABHD4, and 18S rRNA (a control) (A). The semi-quantitative results are also shown (mean values ± S.D., n = 3) (B,C). Br: brain; Thy: thymus; He: heart; Lu: lung; St: stomach; Sp: spleen; Lv: liver; Ile: ileum; Col: colon; Kid: kidney; Tes: testis; SM: skeletal muscle.
Figure 7. Tissue distribution of cPLA2γ and ABHD4 in mice. mRNAs from the indicated mouse tissues were analyzed by reverse transcription-PCR using primers specific for cPLA2γ, ABHD4, and 18S rRNA (a control) (A). The semi-quantitative results are also shown (mean values ± S.D., n = 3) (B,C). Br: brain; Thy: thymus; He: heart; Lu: lung; St: stomach; Sp: spleen; Lv: liver; Ile: ileum; Col: colon; Kid: kidney; Tes: testis; SM: skeletal muscle.
Molecules 26 05213 g007
Table 1. Primers and mouse tissues used for the construction of expression vectors.
Table 1. Primers and mouse tissues used for the construction of expression vectors.
cDNA (Accession Number)DirectionSequence (Restriction Sites and a Tag Sequence)Tissue
cPLA2α
(NM_008869)
forward5′-cgcactagtggaaaatggattacaaggatgacgacgataagtctttcatagatccttatcagcac-3′
(Spe I site, in-frame FLAG sequence)
Thymus
reverse5′-cgcgcggccgcttacacagtgggtttacttagaaa-3′ (Not I site)
cPLA2β
(NM_145378)
forward5′-cgcactagtggaaaatggattacaaggatgacgacgataaggctctgcaaacctgcccagtctac-3′
(Spe I site, in-frame FLAG sequence)
Brain
reverse5′-cgcgcggccgctcactccggcctaaactgtttgcg-3′ (Not I site)
cPLA2γ
(NM_001004762)
forward5′-cgcactagtggaaaatggattacaaggatgacgacgataaggaactaagctctggggtctgccct-3′
(Spe I site, in-frame FLAG sequence)
Brain
reverse5′-cgcgcggccgcttaatccttagatatgttgtggga-3′ (Not I site)
cPLA2δ
(NM_001024137)
forward5′-cgcactagtggaaaatggattacaaggatgacgacgataagtggagtggagatagaagagtaggc-3′
(Spe I site, in-frame FLAG sequence)
Testis
reverse5′-cgcgcggccgctcacgtcttcactcccaatggcct-3′ (Not I site)
cPLA2ζ
(NM_001024145)
forward5′-cgcactagtggaaaatggattacaaggatgacgacgataagccctggactctccagccaaagtgg-3′
(Spe I site, in-frame FLAG sequence)
Large intestine
reverse5′-cgcgcggccgctcagcccccaacccttcccccagc-3′ (Not I site)
ABHD4
(NM_134076)
forward5′-cgcactagtggaaaatggattacaaggatgacgacgataaggctgatgatctggagcagcagcctcag-3′ (Spe I site, in-frame FLAG sequence)Brain
reverse5′-cgcgcggccgctcagtcaactgagttgcagatctcttc-3′ (Not I site)
Table 2. Primers used for reverse transcription-PCR.
Table 2. Primers used for reverse transcription-PCR.
GeneDirectionSequence
cPLA2γforward5′-tgaggtgagcgaggatcagctgaag-3′
reverse5′-atgagtcagatagttttactgtccc-3′
ABHD4forward5′-ggcacagtttgggaggattcctggc-3′
reverse5′-gaggtgcacggatctcactagggtc-3′
18S rRNAforward5′-gtaacccgttgaaccccatt-3′
reverse5′-ccatccaatcggtagtagcg-3′
Publisher’s Note: MDPI stays neutral with regard to jurisdictional claims in published maps and institutional affiliations.

Share and Cite

MDPI and ACS Style

Guo, Y.; Uyama, T.; Rahman, S.M.K.; Sikder, M.M.; Hussain, Z.; Tsuboi, K.; Miyake, M.; Ueda, N. Involvement of the γ Isoform of cPLA2 in the Biosynthesis of Bioactive N-Acylethanolamines. Molecules 2021, 26, 5213. https://doi.org/10.3390/molecules26175213

AMA Style

Guo Y, Uyama T, Rahman SMK, Sikder MM, Hussain Z, Tsuboi K, Miyake M, Ueda N. Involvement of the γ Isoform of cPLA2 in the Biosynthesis of Bioactive N-Acylethanolamines. Molecules. 2021; 26(17):5213. https://doi.org/10.3390/molecules26175213

Chicago/Turabian Style

Guo, Yiman, Toru Uyama, S. M. Khaledur Rahman, Mohammad Mamun Sikder, Zahir Hussain, Kazuhito Tsuboi, Minoru Miyake, and Natsuo Ueda. 2021. "Involvement of the γ Isoform of cPLA2 in the Biosynthesis of Bioactive N-Acylethanolamines" Molecules 26, no. 17: 5213. https://doi.org/10.3390/molecules26175213

APA Style

Guo, Y., Uyama, T., Rahman, S. M. K., Sikder, M. M., Hussain, Z., Tsuboi, K., Miyake, M., & Ueda, N. (2021). Involvement of the γ Isoform of cPLA2 in the Biosynthesis of Bioactive N-Acylethanolamines. Molecules, 26(17), 5213. https://doi.org/10.3390/molecules26175213

Article Metrics

Back to TopTop