A Highly Efficient Environmental-Friendly Adsorbent Based on Schiff Base for Removal of Cu(II) from Aqueous Solutions: A Combined Experimental and Theoretical Study
Abstract
:1. Introduction
2. Results
2.1. Linker Synthesis
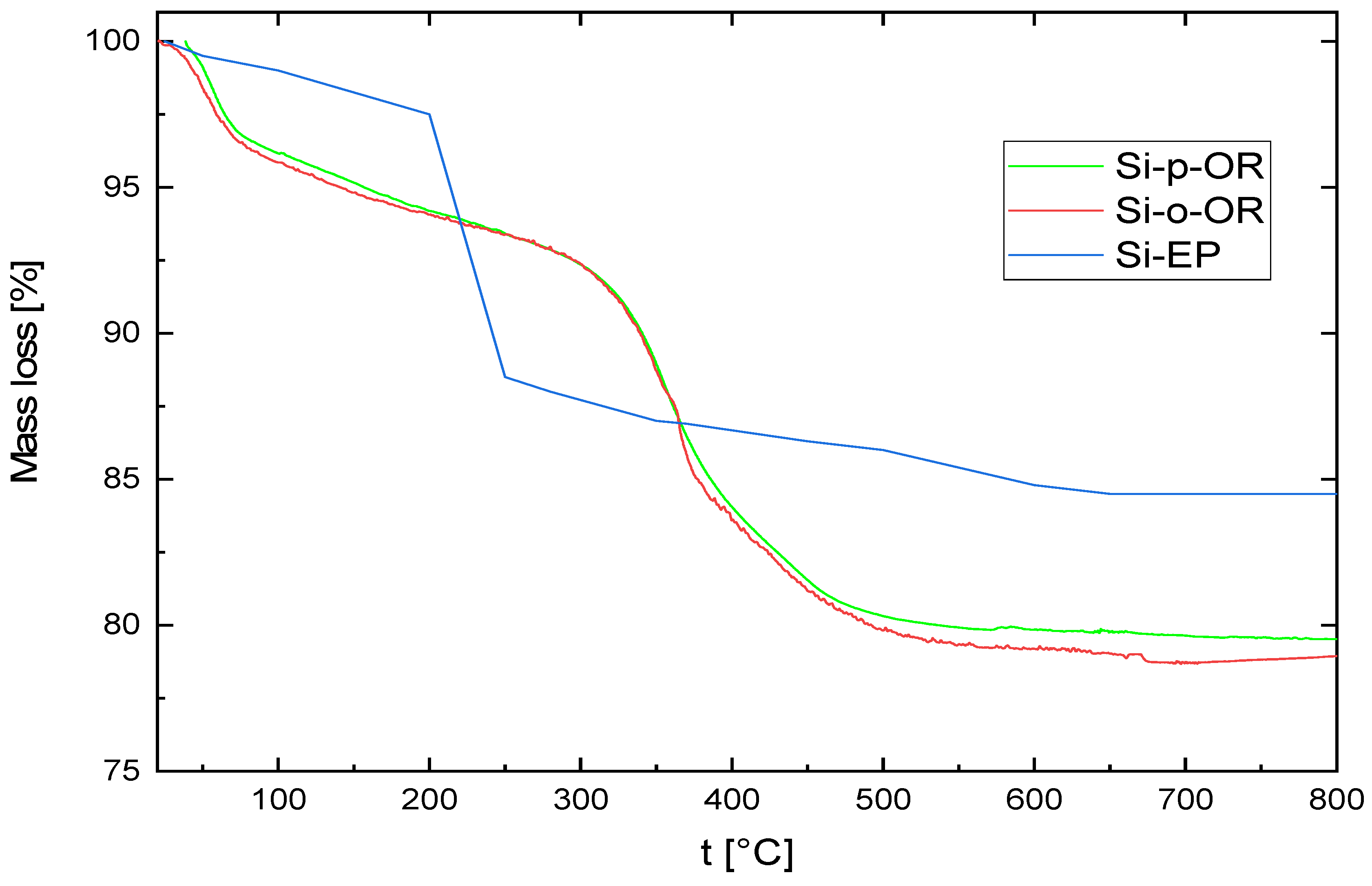
2.2. Characterization of Si-p-OR and Si-o-OR
2.3. Adsorption Studies
2.3.1. Effect of pH on the Adsorption of Cu(II)
2.3.2. Effect of Contact Time and Kinetic Adsorption Modelling
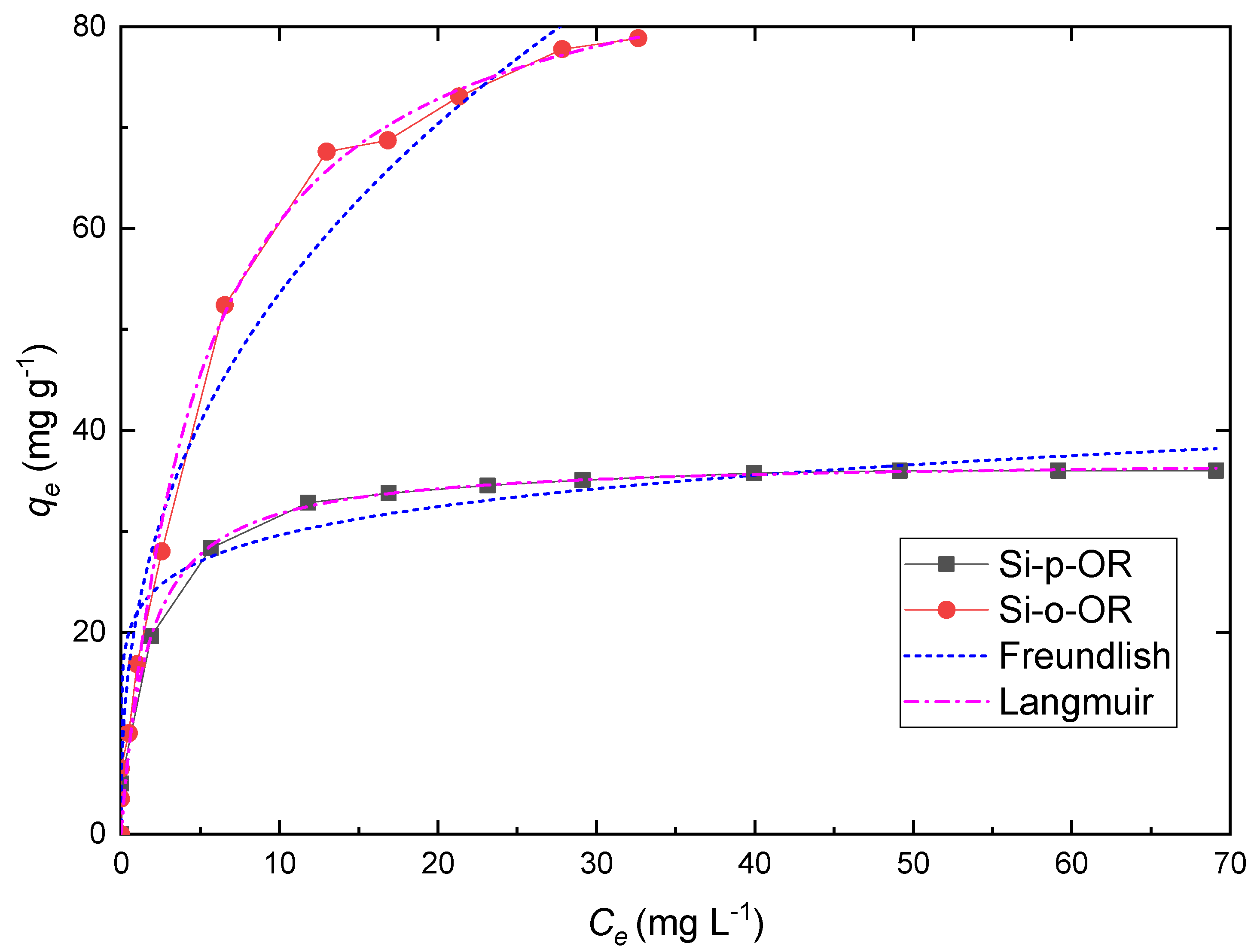
2.3.3. Influence of Initial Concentration and Adsorption Isotherms for Cu(II)
2.3.4. Adsorption Thermodynamics
2.3.5. Selectivity of Si-o-OR and Si-p-OR Adsorbents
2.3.6. Effect of Coexisting Ions
2.3.7. Desorption and Recycling
2.3.8. Application to Real Water Treatment
2.3.9. Comparison with Similar Adsorbents
2.4. Adsorption Mechanism
2.4.1. Energy Dispersive X-ray Fluorescence (EDX)
2.4.2. Fourier Transformed Infrared Spectroscopy
2.4.3. Theoretical Investigations
MASD and QTAIM Calculations of Schiff Bases
Cu(II) Complexation Study
NBI Analysis of H2O-Cu-N11(Si-p-OR/or Si-o-OR) Complexes
Adsorption Selectivity: NBO Analysis
3. Materials and Methods
3.1. Reagents and Materials
3.2. Experimental
3.2.1. Preparation of Adsorbents
a-Synthesis of the Furan Derivatives
b-Preparation of 3-Glycidoxypropyl-functionalized Silica (Si-Ep)
c-Fabrication of Schiff Base-Substituted Silica: Ortho-Schiff Base Silica (Si-o-OR) and Para-Schiff Base Silica (Si-p-OR)
3.2.2. Characterization
3.2.3. Batch Adsorption Experiments
- -
- The pH value ranged from 1–7 after adjusting with dilute hydrochloric acid and sodium hydroxide solution. The uptake capacity of Cu(II) increased to a maximum value found at pH = 6;
- -
- The effect of contact time was checked for 5–35 min. The equilibrium was reached after 25 min;
- -
- The optimum concentration was determined by varying the initial concentration (from 10 to 300 mg L−1). The studies reveal that the uptake of copper ions onto both adsorbents is maximum within the following optimum conditions: m = 10 mg of adsorbent, V = 10 mL of copper ion solution, t = 25 min, pH = 6 and [Cu(II)] = 120 mg L−1 at 25 °C.;
- -
- The effect of temperature was investigated over the range 25 to 45 °C.
3.3. Theoretical Study
4. Conclusions
Author Contributions
Funding
Institutional Review Board Statement
Informed Consent Statement
Acknowledgments
Conflicts of Interest
Sample Availability
References
- Piccolo, A.; de Martino, A.; Scognamiglio, F.; Ricci, R.; Spaccini, R. Efficient simultaneous removal of heavy metals and poly-chlorobiphenyls from a polluted industrial site by washing the soil with natural humic surfactants. Environ. Sci. Pollut. Res. 2021, 28, 25748–25757. [Google Scholar] [CrossRef]
- Awual, M.R. New type mesoporous conjugate material for selective optical copper (II) ions monitoring & removal from pol-luted waters. Chem. Eng. J. 2017, 307, 85–94. [Google Scholar]
- Esmieu, C.; Guettas, D.; Conte-Daban, A.; Sabater, L.; Faller, P.; Hureau, C. Copper-targeting approaches in Alzheimer’s dis-ease: How to improve the fallouts obtained from in vitro studies. Inorg. Chem. 2019, 58, 13509–13527. [Google Scholar] [CrossRef] [Green Version]
- Chen, L.; Tu, Q.; Yang, X.; Hu, X.; Sun, X.; Li, H. MgAl layered double hydroxides intercalated with edta: Cu(II) recovery and mechanism. ChemistrySelect 2020, 5, 11299–11304. [Google Scholar] [CrossRef]
- Nystroem, F.; Nordqvist, K.; Herrmann, I.; Hedstroem, A.; Viklander, M. Removal of metals and hydrocarbons from storm-water using coagulation and flocculation. Water Res. 2020, 182, 115919. [Google Scholar] [CrossRef] [PubMed]
- Muruchi, L.; Schaeffer, N.; Passos, H.; Mendonça, C.M.N.; Coutinho, J.A.P.; Jimenez, Y.P. Sustainable extraction and separation of rhenium and molybdenum from model copper mining effluents using a polymeric aqueous two-phase system. ACS Sustain. Chem. Eng. 2019, 7, 1778–1785. [Google Scholar] [CrossRef]
- Zereshki, S.; Shokri, A.; Karimi, A. Application of a green emulsion liquid membrane for removing copper from contaminated aqueous solution: Extraction, stability, and breakage study using response surface methodology. J. Mol. Liq. 2021, 325, 115251. [Google Scholar] [CrossRef]
- Song, G.; Fu, Q.; Pan, C. Copper-graphene composite foils via electro-deposition: A mini review. MRS Adv. 2018, 3, 37–44. [Google Scholar] [CrossRef]
- Drenkova-Tuhtan, A.; Sheeleigh, E.K.; Rott, E.; Meyer, C.; Sedlak, D.L. Sorption of recalcitrant phosphonates in reverse osmosis concentrates and wastewater effluents-influence of metal ions. Water Sci. Technol. 2021, 83, 934–947. [Google Scholar] [CrossRef] [PubMed]
- Leus, K.; Folens, K.; Nicomel, N.R.; Perez, J.P.H.; Filippousi, M.; Meledina, M.; Dîrtu, M.M.; Turner, S.; van Tendeloo, G.; Garcia, Y.; et al. Removal of arsenic and mercury species from water by covalent triazine dramework en-capsulated gamma-Fe2O3 nanoparticles. J. Hazard. Mater. 2018, 353, 312–319. [Google Scholar] [CrossRef] [PubMed]
- Feizi, M.; Jalali, M. Leaching of Cd, Cu, Ni and Zn in a sewage sludge-amended soil in presence of geo- and nano-materials. J. Clean. Prod. 2021, 297, 126506. [Google Scholar] [CrossRef]
- Zhou, T.; Cheng, X.; Pan, Y.; Li, C.; Gong, L.; Zhang, H. Mechanical performance and thermal stability of glass fibre reinforced silica aerogel composites based on co-precursor method by freeze drying. Appl. Surf. Sci. 2018, 437, 321–328. [Google Scholar] [CrossRef]
- Bonab, S.A.; Moghaddas, J.; Rezaei, M. In-situ synthesis of silica aerogel/polyurethane inorganic-organic hybrid nanocomposite foams: Characterization, cell microstructure and mechanical properties. Polymer 2019, 172, 27–40. [Google Scholar] [CrossRef]
- Pawlaczyk, M.; Schroeder, G. Adsorption studies of Cu(II) ions on dendrimer-grafted silica-based materials. J. Mol. Liq. 2019, 281, 176–185. [Google Scholar] [CrossRef]
- Tighadouini, S.; Radi, S.; Massaoudi, M.; Lakbaibi, Z.; Ferbinteanu, M.; Garcia, Y. Efficient and environmentally friendly adsor-bent based on β ketoenol-pyrazole-thiophene for heavy-metal ion removal from aquatic medium: A combined experi-mental and theoretical study. ACS Omega 2020, 5, 17324–17336. [Google Scholar] [CrossRef]
- Tighadouini, S.; Radi, S.; Anannaz, M.; Bacquet, M.; Degoutin, S.; Tillard, M.; Eddike, D.; Amhamdi, H.; Garcia, Y. Engineering β-ketoenol structure functionality in hybrid silica as excellent adsorbent material for removal of heavy metals from water. New J. Chem. 2018, 42, 13229–13240. [Google Scholar] [CrossRef]
- Tighadouini, S.; Radi, S.; Elidrissi, A.; Zaghrioui, M.; Garcia, Y. Selective confinement of CdII in silica particles functionalized with β-keto-enol-bisfuran receptor: Isotherms, kinetic and thermodynamic studies. Eur. J. Inorg. Chem. 2019, 2019, 3180–3186. [Google Scholar] [CrossRef]
- Tighadouini, S.; Radi, S.; Elidrissi, A.; Haboubi, K.; Bacquet, M.; Degoutin, S.; Zaghrioui, M.; Garcia, Y. Removal of toxic heavy metals from river water samples using a porous silica surface modified with a new β-ketoenolic host. Beilstein J. Nanotechnol. 2019, 10, 262–273. [Google Scholar] [CrossRef] [PubMed] [Green Version]
- Tighadouini, S.; Radi, S.; Ferbinteanu, M.; Garcia, Y. Highly selective removal of Pb(II) by a pyridylpyrazole-β-ketoenol recep-tor covalently bonded onto the silica surface. ACS Omega 2019, 4, 3954–3964. [Google Scholar] [CrossRef] [Green Version]
- Aggoun, D.; Fernández-García, M.; López, D.; Bouzerafa, B.; Ouennoughi, Y.; Setifi, F.; Ourari, A. New nickel (II) and copper (II) bidentate Schiff base complexes, derived from dihalogenated salicylaldehyde and alkylamine: Synthesis, spectroscopic, thermogravimetry, crystallographic determination and electrochemical studies. Polyhedron 2020, 187, 114640. [Google Scholar] [CrossRef]
- Mudi, P.K.; Bandopadhyay, N.; Joshi, M.; Shit, M.; Paul, S.; Choudhury, A.R.; Biswas, B. Schiff base triggering synthesis of copper(II) complex and its catalytic fate towards mimics of phenoxazinone synthase activity. Inorg. Chim. Acta 2020, 505, 119468. [Google Scholar] [CrossRef]
- Jiang, S.; Ni, H.; Liu, F.; Gu, S.; Yu, P.; Gou, Y. Binuclear Schiff base copper(II) complexes: Syntheses, crystal structures, HSA interaction and anticancer properties. Inorg. Chim. Acta 2020, 499, 119186. [Google Scholar] [CrossRef]
- Zhang, Y.; Cao, X.; Wu, G.; Wang, J.; Zhang, T. Quaternized salicylaldehyde Schiff base modified mesoporous silica for efficiently sensing Cu(II) ions and their removal from aqueous solution. Appl. Surf. Sci. 2020, 527, 146803. [Google Scholar] [CrossRef]
- Betihaa, M.A.; Moustafaa, Y.M.; Betihaa, M.A.; Moustafaa, Y.M.; El-Shahatc, M.F.; Rafikc, E. Polyvinylpyrroli-done-Aminopropyl-SBA-15 Schiff Base hybrid for efficient removal of divalent heavy metal cations from wastewater. J. Hazard. Mater. 2020, 397, 122675. [Google Scholar] [CrossRef] [PubMed]
- Wangab, W.; Tao, G.W.; Yin, Z.; Yuan, Y.; Zhang, Y. Synthesis of thiazole Schiff base modified SBA-15 mesoporous silica for se-lective Pb(II) adsorption. J. Taiwan Inst. Chem. Eng. 2021, 125, 349–359. [Google Scholar] [CrossRef]
- Zhao, J.; Luan, L.; Li, Z.; Duan, Z.; Li, Y.; Zheng, S.; Xue, Z.; Xu, W.; Niu, Y. The adsorption property and mechanism for Hg(II) and Ag(I) by Schiff base functionalized magnetic Fe3O4 from aqueous solution. J. Alloy. Compd. 2020, 825, 154041. [Google Scholar] [CrossRef]
- Janeta, M.; Lis, T.; Szafert, S. Zinc imine polyhedral oligomeric silsesquioxane as a quattro-site catalyst for the synthesis of cyclic carbonates from epoxides and low-pressure CO2. Chem.-A Eur. J. 2020, 26, 13686–13697. [Google Scholar] [CrossRef]
- Di Iulio, C.; Jones, M.D.; Mary Mahon, F.; Apperley, D.C. Zinc(II) silsesquioxane complexes and their application for the ring-opening polymerization of rac-lactide. Inorg. Chem. 2010, 49, 10232–10234. [Google Scholar] [CrossRef]
- Sing, K.S.W.; Everett, D.H.; Haul, R.A.W.; Moscou, L.; Pierotti, R.A.; Rouquerol, J.; Siemieniewska, T. Reporting physisorption data for gas/solid systems with special reference to the determination of surface area and porosity (IUPAC Recommendations 1984). Pure Appl. Chem. 1985, 57, 603–619. [Google Scholar] [CrossRef]
- Yu, Z.; Dang, Q.; Liu, C.; Cha, D.; Zhang, H.; Zhu, W.; Zhang, Q.; Fan, B. Preparation and characterization of poly(maleic ac-id)-grafted cross-linked chitosan microspheres for Cd(II) adsorption. Carbohydr. Polym. 2017, 172, 28–39. [Google Scholar] [CrossRef]
- Largitte, L.; Pasquier, R. A review of the kinetics adsorption models and their application to the adsorption of lead by an acti-vated carbon. Chem. Eng. Res. Des. 2016, 109, 495–504. [Google Scholar] [CrossRef]
- Limousin, G.; Gaudet, J.-P.; Charlet, L.; Szenknect, S.; Barthès, V.; Krimissa, M. Sorption isotherms: A review on physical bases, modeling and measurement. Appl. Geochem. 2007, 22, 249–275. [Google Scholar] [CrossRef]
- Fu, Y.; Jiang, J.; Chen, Z.; Ying, S.; Wang, J.; Hu, J. Rapid and selective removal of Hg(II) ions and high catalytic performance of the spent adsorbent based on functionalized mesoporous silica/poly(m-aminothiophenol) nanocomposite. J. Mol. Liq. 2019, 286, 110746. [Google Scholar] [CrossRef]
- Chen, X. Modeling of experimental adsorption isotherm data. Information 2015, 6, 14–22. [Google Scholar] [CrossRef] [Green Version]
- Krishni, R.; Foo, K.Y.; Hameed, B. Adsorption of methylene blue onto papaya leaves: Comparison of linear and nonlinear isotherm analysis. Desalin. Water Treat. 2013, 52, 6712–6719. [Google Scholar] [CrossRef]
- Li, Z.; Xiao, D.; Ge, Y.; Koehler, S. Surface-functionalized porous lignin for fast and efficient lead removal from aqueous solution. ACS Appl. Mater. Interfaces 2015, 7, 15000–15009. [Google Scholar] [CrossRef]
- Milonjic, S. A consideration of the correct calculation of thermodynamic parameters of adsorption. J. Serbian Chem. Soc. 2007, 72, 1363–1367. [Google Scholar] [CrossRef]
- Thue, P.S.; Sophia, A.C.; Lima, E.C.; Wamba, A.G.; de Alencar, W.S.; Reis, G.; Rodembusch, F.; Dias, S. Synthesis and characterization of a novel organic-inorganic hybrid clay adsorbent for the removal of acid red 1 and acid green 25 from aqueous solutions. J. Clean. Prod. 2018, 171, 30–44. [Google Scholar] [CrossRef]
- Gao, B.; Gao, Y.; Li, Y. Preparation and chelation adsorption property of composite chelating material poly(amidoxime)/SiO2 toward heavy metal ions. Chem. Eng. J. 2010, 158, 542–549. [Google Scholar] [CrossRef]
- Radi, S.; El Abiad, C.; Moura, N.M.M.; Faustino, M.A.F.; Neves, M.G.P.M.S. New hybrid adsorbent based on porphyrin functionalized silica for heavy metals removal: Synthesis, characterization, isotherms, kinetics and thermodynamics studies. J. Hazard. Mater. 2019, 370, 80–90. [Google Scholar] [CrossRef]
- Zhang, Y.; Cao, X.; Sun, J.; Wu, G.; Wang, J.; Zhang, D. Synthesis of pyridyl Schiff base functionalized SBA-15 mesoporous silica for the removal of Cu(II) and Pb(II) from aqueous solution. J. Sol-Gel Sci. Technol. 2020, 94, 658–670. [Google Scholar] [CrossRef]
- Mohammadnezhad, G.; Moshiri, P.; Dinari, M.; Steiniger, F. In situ synthesis of nanocomposite materials based on modi-fied-mesoporous silica MCM-41 and methyl methacrylate for copper (II) adsorption from aqueous solution. J. Iran. Chem. Soc. 2019, 16, 1491–1500. [Google Scholar] [CrossRef]
- He, S.; Zhao, C.; Yao, P.; Yang, S. Chemical modification of silica gel with multidentate ligands for heavy metals removal. Desalin. Water Treat. 2014, 57, 1–11. [Google Scholar] [CrossRef]
- He, Q.; Chang, X.; Huang, X.; Hu, Z. Determination of trace elements in food samples by ICP-AES after preconcentration with p-toluenesulfonylamide immobilized on silica gel and nanometer SiO2. Microchim. Acta. 2008, 160, 147–152. [Google Scholar] [CrossRef]
- Moftakhar, M.K.; Dousti, Z.; Yaftian, M.R.; Ghorbanloo, M. Investigation of heavy metal ions adsorption behavior of silica-supported Schiff base ligands. Desalin. Water Treat. 2016, 57, 27396–27408. [Google Scholar] [CrossRef]
- Radi, S.; Tighadouini, S.; El Massaoudi, M.; Bacquet, M.; Degoutin, S.; Revel, B.; Mabkhot, Y.N. Thermodynamics and kinetics of heavy metals adsorption on silica particles chemically modified by conjugated β-ketoenol furan. J. Chem. Eng. Data 2015, 60, 2915–2925. [Google Scholar] [CrossRef]
- Dong, C.; Fu, R.; Sun, C.; Qu, R.; Ji, C.; Niu, Y.; Zhang, Y. Comparison studies of adsorption properties for copper ions in fuel ethanol and aqueous solution using silica-gel functionalized with 3-amino-1,2-propanediol. Fuel 2018, 226, 331–337. [Google Scholar] [CrossRef]
- Morcali, M.H.; Zeytuncu, B.; Baysal, A.; Akman, S.; Yucel, O. Adsorption of copper and zinc from sulfate media on a commercial sorbent. J. Environ. Chem. Eng. 2014, 2, 1655–1662. [Google Scholar] [CrossRef]
- Radi, S.; El Massaoudi, M.; Bacquet, M.; Degoutin, S.; Adarsh, N.N.; Robeyns, K.; Garcia, Y. A novel environment-friendly hybrid material based on a modified silica gel with a bispyrazole derivative for the removal of ZnII, PbII, CdIIand CuIItraces from aqueous solutions. Inorg. Chem. Front. 2017, 4, 1821–1831. [Google Scholar] [CrossRef]
- Radi, S.; Tighadouini, S.; Feron, O.; Riant, O.; Mabkhot, Y.N.; Al-Showiman, S.S.; Ben Hadda, T.; El-Youbi, M.; Benabbes, R.; Saala-oui, E. One pot synthesis, antiturmor, antibacterial and antifingal activities of some Schiff base heterocycles. Int. J. Pharm. 2015, 5, 39–45. [Google Scholar]
- Tighadouni, S.; Radi, S.; Sirajuddin, M.; Akkurt, M.; Özdemir, N.; Ahmad, M.; Mabkhot, Y.N.; Ben Hadda, T. In vitro antifungal, anticancer activities and POM analyses of a novel bioactive schiff base 4-{[(e)-furan-2-ylmethylidene]amino}phenol: Synthesis, characterization and crystal structure. J. Chem. Soc. Pak. 2016, 38, 157–165. [Google Scholar]
- Radi, S.; Toubi, Y.; El-Massaoudi, M.; Bacquet, M.; Degoutin, S.; Mabkhot, Y. Efficient extraction of heavy metals from aqueous solution by novel hybrid material based on silica particles bearing new Schiff base receptor. J. Mol. Liq. 2016, 223, 112–118. [Google Scholar] [CrossRef]
- Radi, S.; Attayibat, A.; El-Massaoudi, M.; Bacquet, M.; Jodeh, S.; Warad, I.; Al-Showiman, S.; Mabkhot, Y.N. C,N-bipyrazole re-ceptor grafted onto a porous silica surface as a novel adsorbent based polymer hybrid. Talanta 2015, 143, 1–6. [Google Scholar] [CrossRef]
- Xue, X.; Li, F. Removal of Cu(II) from aqueous solution by adsorption onto functionalized SBA-16 mesoporous silica. Microporous Mesoporous Mater. 2008, 116, 116–122. [Google Scholar] [CrossRef]
- Ma, H.; Chen, S.; Liu, Z.; Sun, Y. Theoretical elucidation on the inhibition mechanism of pyridine-pyrazole compound: A hartreefock study. J. Mol. Struct. 2006, 774, 19–22. [Google Scholar] [CrossRef]
- Jamalizadeh, E.; Hosseini, S.; Jafari, A. Quantum chemical studies on corrosion inhibition of some lactones on mild steel in acid media. Corros. Sci. 2009, 51, 1428–1435. [Google Scholar] [CrossRef]
- Dutta, A.; Saha, S.K.; Banerjee, P.; Sukul, D. Correlating electronic structure with corrosion inhibition potentiality of some bis-benzimidazole derivatives for mild steel in hydrochloric acid: Combined experimental and theoretical studies. Corros. Sci. 2015, 98, 541–550. [Google Scholar] [CrossRef]
















| Models | Parameters | Adsorbents | |
|---|---|---|---|
| Si-o-OR | Si-p-OR | ||
| qexp (mg g−1) | 79.36 | 36.20 | |
| Pseudo-first-order | qe (mg g−1) | 76.00 | 34.00 |
| k1 (min−1) | 0.45 | 0.36 | |
| R2 | 0.993 | 0.996 | |
| Pseudo-second-order | qe (mg g−1) | 80.00 | 36.00 |
| k2 (g mg−1 min−1) | 0.01 | 0.02 | |
| R2 | 0.997 | 0.999 | |
| Model | Parameters | Adsorbents | |
|---|---|---|---|
| Si-o-OR | Si-p-OR | ||
| qexp (mg g−1) | 79.36 | 36.20 | |
| Langmuir | qe (mg g−1) | 88.00 | 36.00 |
| KL (L mg−1) | 0.19 | 0.56 | |
| R2 | 0.99 | 0.98 | |
| Freundlich | N | 2.50 | 7.50 |
| KF (mg L−1) | 21.00 | 21.00 | |
| R2 | 0.97 | 0.96 | |
| Adsorbents | ΔH° (kJ mol−1) | ΔS° (J mol−1 K−1) | ΔG° (kJ mol−1) | ||
|---|---|---|---|---|---|
| 299.15 K | 309.15 K | 319.15 | |||
| Si-o-OR | 3.799 | 20.655 | −2.184 | −2.586 | −2.793 |
| Si-p-OR | 6.986 | 26.543 | −0.955 | −1.219 | −1.485 |
| Interfering Metal Ions | Concentration (μg mL−1) | Recovery of Cu(II) (%) for Si-o-OR | Recovery of Cu(II) (%) for Si-p-OR |
|---|---|---|---|
| K+ | 3000 | 97.89 | 95.98 |
| Na+ | 3000 | 97. 76 | 94.89 |
| Ca2+ | 2000 | 95. 87 | 92.45 |
| Mg2+ | 2000 | 96.65 | 91.65 |
| Cycle | qe (mg g−1) of Cu(II) Adsorbed on Si-o-OR | qe (mg g−1) of Cu(II) Adsorbed on Si-p-OR |
|---|---|---|
| 1 | 79.36 | 36.20 |
| 2 | 79.04 | 36.06 |
| 3 | 79.16 | 35.87 |
| 4 | 77.04 | 34.74 |
| 5 | 76.89 | 33.98 |
| Rivers | Added Cu(II) (mg L−1) | Percentage of Removal Efficiency (%) Si-o-OR | Percentage of Removal Efficiency (%) Si-p-OR |
|---|---|---|---|
| Ghiss | 10 | 92.06 | 82.16 |
| Toussit-Boubekker | 10 | 93.87 | 84.65 |
| Silica Gel-Ligand | Reference | Metal Ion (mg g−1) |
|---|---|---|
| Si-o-OR Si-p-OR | This work This work | 79.36 36.20 |
| Porphyrin | [40] | 19.08 |
| N-propyl-2-pyridylimine | [41] | 35.63 |
| Methyl methacrylate | [42] | 41.36 |
| Dithiocarbamate | [43] | 25.00 |
| p-toluenesulfonylamide | [44] | 05.00 |
| 3-Hydroxysalicylaldiminepropyl triethoxysilane | [45] | 05.72 |
| Furan ketonenol | [46] | 31.82 |
| 3-amino-1,2-propanediol Commercial Lewatit (L-207) Bis(pyrazole) | [47] [48] [49] | 31.18 68.09 20.24 |
| ΔGC (kcal mol−1) (Cu-N11) | ΔGC (kcal mol−1) (Cu-O21) | |
|---|---|---|
| Cu-Si-p-OR | −25.264 | −05.115 |
| Cu-Si-o-OR | −112.73 | −13.52 |
| Electronic Configuration | E(2) of NBED→3DEO | |
|---|---|---|
| (for Cu and N11) | ||
| H2O-Cu-N11(Si-p-OR) | Cu:[core]4s0.173d4.934p0.06 | |
| N11:[core]2s1.412p5.023p0.01 | 37.53 | |
| H2O-Cu-N11(Si-o-OR) | Cu:[core]4s0.193d7.884p0.08 | |
| N11:[core]2s1.412p5.093p0.01 | 43.93 |
| d-OA | dxy | dxz | dyz | dx2-y2 | dz2 |
|---|---|---|---|---|---|
| Occupancy | |||||
| Cu(II) | 1.000 | 0.999 | 1.000 | 0.249 | 0.749 |
| Zn(II) | 2.000 | 2.000 | 2.000 | 2.000 | 2.000 |
| Cd(II) | 2.000 | 2.000 | 2.000 | 2.000 | 2.000 |
| Pb(II) | 1.999 | 1.999 | 1.999 | 1.999 | 0.000 |
| Energy | |||||
| Cu(II) | −0.989 | −1.036 | −1.092 | −1.092 | −1.036 |
| Zn(II) | −1.204 | −1.154 | −1.204 | −1.009 | −1.106 |
| Cd(II) | −1.277 | −1.277 | −1.277 | −1.277 | −1.277 |
| Pb(II) | −1.329 | −1.329 | −1.329 | −1.329 | −1.329 |
| Ligand | 2s | 2px | 2py | 2pz |
|---|---|---|---|---|
| N11(Si-o-OR) | −0.337 | −0.176 | −0.208 | −0.189 |
| N11(Si-p-OR) | −0.503 | −0.194 | −0.135 | −0.167 |
Publisher’s Note: MDPI stays neutral with regard to jurisdictional claims in published maps and institutional affiliations. |
© 2021 by the authors. Licensee MDPI, Basel, Switzerland. This article is an open access article distributed under the terms and conditions of the Creative Commons Attribution (CC BY) license (https://creativecommons.org/licenses/by/4.0/).
Share and Cite
Tighadouini, S.; Roby, O.; Radi, S.; Lakbaibi, Z.; Saddik, R.; Mabkhot, Y.N.; Almarhoon, Z.M.; Garcia, Y. A Highly Efficient Environmental-Friendly Adsorbent Based on Schiff Base for Removal of Cu(II) from Aqueous Solutions: A Combined Experimental and Theoretical Study. Molecules 2021, 26, 5164. https://doi.org/10.3390/molecules26175164
Tighadouini S, Roby O, Radi S, Lakbaibi Z, Saddik R, Mabkhot YN, Almarhoon ZM, Garcia Y. A Highly Efficient Environmental-Friendly Adsorbent Based on Schiff Base for Removal of Cu(II) from Aqueous Solutions: A Combined Experimental and Theoretical Study. Molecules. 2021; 26(17):5164. https://doi.org/10.3390/molecules26175164
Chicago/Turabian StyleTighadouini, Said, Othmane Roby, Smaail Radi, Zouhair Lakbaibi, Rafik Saddik, Yahia N. Mabkhot, Zainab M. Almarhoon, and Yann Garcia. 2021. "A Highly Efficient Environmental-Friendly Adsorbent Based on Schiff Base for Removal of Cu(II) from Aqueous Solutions: A Combined Experimental and Theoretical Study" Molecules 26, no. 17: 5164. https://doi.org/10.3390/molecules26175164
APA StyleTighadouini, S., Roby, O., Radi, S., Lakbaibi, Z., Saddik, R., Mabkhot, Y. N., Almarhoon, Z. M., & Garcia, Y. (2021). A Highly Efficient Environmental-Friendly Adsorbent Based on Schiff Base for Removal of Cu(II) from Aqueous Solutions: A Combined Experimental and Theoretical Study. Molecules, 26(17), 5164. https://doi.org/10.3390/molecules26175164

