Calorimetric Evaluation of Glycyrrhetic Acid (GA)- and Stearyl Glycyrrhetinate (SG)-Loaded Solid Lipid Nanoparticle Interactions with a Model Biomembrane
Abstract
:1. Introduction
2. Results and Discussion
2.1. Characterization of SLNs
2.2. MLVs and SLNs Analysis
2.3. Kinetic Experiments
2.3.1. Interaction between MLVs and GA/SG
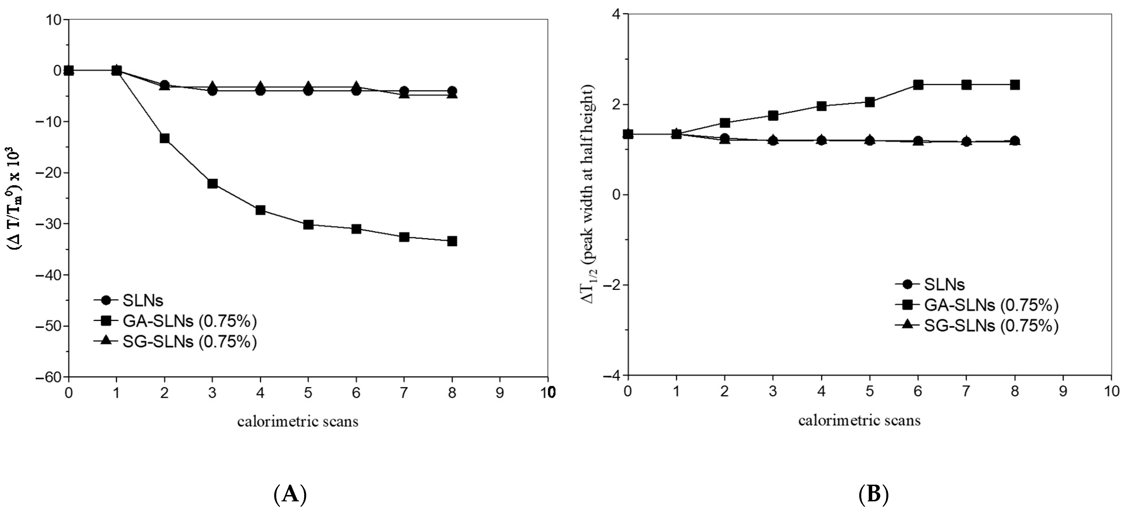
2.3.2. Interaction between MLV and SLNs
3. Materials and Methods
3.1. Materials
3.2. Preparation of SLNs
3.3. Characterization of SLNs
3.4. DMPC Multilamellar Vesicles (MLVs) Preparation
3.5. DMPC/GA MLVs and DMPC/SG MLVs Preparation
3.6. Differential Scanning Calorimetry (DSC)
3.7. MLVs and SLNs Analysis
3.8. Kinetic Experiments
3.8.1. Interaction between MLVs and GA/SG
3.8.2. Interaction between MLVs and SLNs
4. Conclusions
Author Contributions
Funding
Institutional Review Board Statement
Informed Consent Statement
Data Availability Statement
Conflicts of Interest
References
- Nazari, S.; Rameshrad, M.; Hosseinzadeh, H. Toxicological Effects of Glycyrrhiza glabra (Licorice): A Review. Phytother. Res. 2017, 31, 1635–1650. [Google Scholar] [CrossRef] [PubMed]
- Chintharlapalli, S.; Papineni, S.; Jutooru, I.; McAlees, A.; Safe, S. Structure-dependent activity of glycyrrhetinic acid derivatives as peroxisome proliferator–activated receptor agonists in colon cancer cells. Mol. Cancer Ther. 2007, 6, 1588–1598. [Google Scholar] [CrossRef] [PubMed] [Green Version]
- Tiboni, M.; Benedetti, S.; Skouras, A.; Curzi, G.; Perinelli, D.R.; Palmieri, G.F.; Casettari, L. 3D-printed microfluidic chip for the preparation of glycyrrhetinic acid loaded ethanolic liposomes. Int. J. Pharm. 2020, 584, 119436. [Google Scholar] [CrossRef]
- Zhu, J.; Zhang, W.; Wang, D.; Li, S.; Wu, W. Preparation and characterization of norcantharidin liposomes modified with stearyl glycyrrhetinate. Exp. Ther. Med. 2018, 16, 1639–1646. [Google Scholar] [CrossRef] [PubMed] [Green Version]
- Kao, T.C.; Shyu, M.H.; Yen, G.C. Glycyrrhizic Acid and 18β-Glycyrrhetinic Acid Inhibit Inflammation via PI3K/Akt/GSK3β Signaling and Glucocorticoid Receptor Activation. J. Agric. Food Chem. 2010, 58, 8623–8629. [Google Scholar] [CrossRef]
- Kalaiarasi, P.; Pugalendi, K.V. Protective effect of 18b-glycyrrhetinic acid on lipid peroxidation and antioxidant enzymes in experimental diabetes. J. Pharm. Res. 2011, 4, 107–111. [Google Scholar]
- Oyama, K.; Kawada-Matsuo, M.; Oogai, Y.; Hayashi, T.; Nakamura, N.; Komatsuzawa, H. Antibacterial Effects of Glycyrrhetinic Acid and Its Derivatives on Staphylococcus aureus. PLoS ONE 2016, 11, e0165831. [Google Scholar] [CrossRef] [Green Version]
- Puglia, C.; Rizza, L.; Drechsler, M.; Bonina, F. Nanoemulsions as vehicles for topical administration of glycyrrhetic acid: Characterization and in vitro and in vivo evaluation. Drug Deliv. 2010, 17, 123–129. [Google Scholar] [CrossRef]
- Piquero-Casals, J.; Hexsel, D.; Mir-Bonafe´, J.F.; Rozas-Muñoz, E. Topical Non-Pharmacological Treatment for Facial Seborrheic Dermatitis. Dermatol. Ther. 2019, 9, 469–477. [Google Scholar] [CrossRef] [Green Version]
- Puglia, C.; Rizza, L.; Offerta, A.; Gasparri, F.; Giannini, V.; Bonina, F. Formulation strategies to modulate the topical delivery of anti-inflammatory compounds. J. Cosmet. Sci. 2013, 64, 341–353. [Google Scholar]
- Santonocito, D.; Sarpietro, M.G.; Carbone, C.; Panico, A.; Campisi, A.; Siciliano, E.A.; Sposito, G.; Castelli, F.; Puglia, C. Curcumin Containing PEGylated Solid Lipid Nanoparticles for Systemic Administration: A Preliminary Study. Molecules 2020, 25, 2991. [Google Scholar] [CrossRef]
- Puglia, C.; Santonocito, D.; Musumeci, T.; Cardile, V.; Graziano, A.C.E.; Salerno, L.; Raciti, G.; Crascì, L.; Panico, A.M.; Puglisi, G. Nanotechnological Approach to Increase the Antioxidant and Cytotoxic Efficacy of Crocin and Crocetin. Planta Med. 2019, 85, 258–265. [Google Scholar] [CrossRef] [PubMed] [Green Version]
- Puglia, C.; Blasi, P.; Ostacolo, C.; Sommella, E.; Bucolo, C.; Platania, C.B.M.; Romano, G.L.; Geraci, F.; Drago, F.; Santonocito, D.; et al. Innovative Nanoparticles Enhance N Palmitoylethanolamide Intraocular Delivery. Front. Pharmacol. 2018, 9, 285. [Google Scholar] [CrossRef]
- Puglia, C.; Lauro, M.R.; Offerta, A.; Crascì, L.; Micicchè, L.; Panico, A.M.; Bonina, F.; Puglisi, G. Nanostructured Lipid Carriers (NLC) as Vehicles for Topical Administration of Sesamol: In Vitro Percutaneous Absorption Study and Evaluation of Antioxidant Activity. Planta Med. 2017, 83, 398–404. [Google Scholar] [CrossRef] [Green Version]
- Puglia, C.; Santonocito, D.; Ostacolo, C.; Sommella, M.E.; Campiglia, P.; Carbone, C.; Drago, F.; Pignatello, R.; Bucolo, C. Ocular Formulation Based on Palmitoylethanolamide-Loaded Nanostructured Lipid Carriers: Technological and Pharmacological Profile. Nanomaterials 2020, 10, 287. [Google Scholar] [CrossRef] [Green Version]
- Sarpietro, M.G.; Accolla, M.L.; Puglisi, G.; Castelli, F.; Montenegro, L. Idebenone loaded solid lipid nanoparticles: Calorimetric studies on surfactant and drug loading effects. Int. J. Pharm. 2014, 471, 69–74. [Google Scholar] [CrossRef]
- Castelli, F.; Sarpietro, M.G.; Micieli, D.; Ottimo, S.; Pitarresi, G.; Tripodo, G.; Carlisi, B.; Giammona, G. Differential scanning calorimetry study on drug release from an inulin-based hydrogel and its interaction with a biomembrane model: pH and loading effect. Eur. J. Pharm. Sci. 2008, 35, 76–85. [Google Scholar] [CrossRef]
- Serro, A.P.; Galante, R.; Kozica, A.; Paradiso, P.; Goncalves da Silva, A.M.P.S.; Luzyanin, K.V.; Fernandes, A.C.; Saramago, B. Effect of tetracaine on DMPC and DMPC + cholesterol biomembrane models: Liposomes and monolayers. Colloids Surf. B 2014, 116, 63–71. [Google Scholar] [CrossRef] [PubMed] [Green Version]
- Montenegro, L.; Ottimo, S.; Puglisi, G.; Castelli, F.; Sarpietro, M.G. Idebenone Loaded Solid Lipid Nanoparticles Interact with Biomembrane Models: Calorimetric Evidence. Mol. Pharm. 2012, 9, 2534–2541. [Google Scholar] [CrossRef]
- Basso, L.G.M.; Rodrigues, R.Z.; Naal, R.M.Z.G.; Costa-Filho, A.J. Effects of the antimalarial drug primaquine on the dynamic structure of lipid model membranes. Biochim. Biophys. Acta 2011, 1808, 55–64. [Google Scholar] [CrossRef] [PubMed] [Green Version]
- Estep, T.N.; Mountcastle, D.B.; Biltonen, R.L.; Thompson, T.E. Studies on the anomalous thermotropic behavior of aqueous dispersions of dipalmitoylphosphatidylcholine-cholesterol mixtures. Biochemistry 1978, 17, 1984–1989. [Google Scholar] [CrossRef]
- Alves, I.D.; Goasdoué, N.; Correia, I.; Aubry, S.; Galanth, C.; Sagan, S.; Lavielle, S.; Chassaing, G. Membrane interaction and perturbation mechanisms induced by two cationic cell penetrating peptides with distinct charge distribution. Biochim. Biophys. Acta 2008, 1780, 948–959. [Google Scholar] [CrossRef]
- Tapia, M.J.; Monteserín, M.; Burrows, H.D.; de Melo, J.S.; Pina, J.; Castro, R.A.; García, S.; Estelrich, J. β-phase formation of poly (9,9-dioctylfluorene) induced by liposome phospholipid bilayers. J. Phys. Chem. B 2011, 115, 5794–5800. [Google Scholar] [CrossRef]
- Jenning, V.; Thunemann, A.F.; Gohla, S.H. Characterization of a novel solid lipid nanoparticle carrier system based on binary mixtures of liquid and solid lipids. Int. J. Pharm. 2000, 199, 167–177. [Google Scholar] [CrossRef]
- Hou, D.; Xie, C.; Huang, K.; Zhu, C. The production and characteristics of solid lipid nanoparticles (SLNs). Biomaterials 2003, 24, 1781–1785. [Google Scholar] [CrossRef]
- Wolka, A.M.; Rytting, J.H.; Reed, B.L.; Finnin, B.C. The interaction of the penetration enhancer DDAIP with a phospholipid model membrane. Int. J. Pharm. 2004, 271, 5–10. [Google Scholar] [CrossRef] [PubMed]
- Lambros, M.P.; Rahman, Y.E. Effects of cyclosporin A on model lipid membranes Rahman. Chem. Phys. Lipids 2004, 131, 63–69. [Google Scholar] [CrossRef] [PubMed]
- Zhou, M.; Li, S.; Shi, S.; He, S.; Ma, Y.; Wang, W. Hepatic targeting of glycyrrhetinic acid via nanomicelles based on stearic acid-modified fenugreek gum. Artif. Cells Nanomed. Biotechnol. 2020, 48, 1105–1113. [Google Scholar] [CrossRef]
- Brugè, F.; Damiani, E.; Puglia, C.; Offerta, A.; Armeni, T.; Littarru, G.P.; Tiano, L. Nanostructured lipid carriers loaded with CoQ10: Effect on human dermal fibroblasts under normal and UVA-mediated oxidative conditions. Int. J. Pharm. 2013, 455, 348–356. [Google Scholar] [CrossRef]








| Formulation | Z-Ave [nm ± SD] | PDI [-] ± SD | ZP [mV ± SD] |
|---|---|---|---|
| Unloaded SLNs | 157.3 ± 0.25 | 0.361 ± 0.35 | −27.9 ± 0.14 |
| GA-SLNs (0.25%) | 210.0 ± 0.09 | 0.286 ± 0.22 | −26.2 ± 0.10 |
| GA-SLNs (0.5%) | 159.2 ± 0.23 | 0.336 ± 0.25 | −40.3 ± 0.09 |
| GA-SLNs (0.75%) | 215.1 ± 0.05 | 0.276 ± 0.21 | −41.8 ± 0.50 |
| SG-SLNs (0.25%) | 174.2 ± 0.02 | 0.249 ± 0.40 | −26.3 ± 0.25 |
| SG-SLNs (0.5%) | 198.8 ± 0.28 | 0.247 ± 0.03 | −36.1 ± 0.20 |
| SG-SLNs (0.75%) | 160.0 ± 0.07 | 0.189 ± 0.34 | −39.1 ± 0.06 |
Publisher’s Note: MDPI stays neutral with regard to jurisdictional claims in published maps and institutional affiliations. |
© 2021 by the authors. Licensee MDPI, Basel, Switzerland. This article is an open access article distributed under the terms and conditions of the Creative Commons Attribution (CC BY) license (https://creativecommons.org/licenses/by/4.0/).
Share and Cite
Santonocito, D.; Puglia, C.; Torrisi, C.; Giuffrida, A.; Greco, V.; Castelli, F.; Sarpietro, M.G. Calorimetric Evaluation of Glycyrrhetic Acid (GA)- and Stearyl Glycyrrhetinate (SG)-Loaded Solid Lipid Nanoparticle Interactions with a Model Biomembrane. Molecules 2021, 26, 4903. https://doi.org/10.3390/molecules26164903
Santonocito D, Puglia C, Torrisi C, Giuffrida A, Greco V, Castelli F, Sarpietro MG. Calorimetric Evaluation of Glycyrrhetic Acid (GA)- and Stearyl Glycyrrhetinate (SG)-Loaded Solid Lipid Nanoparticle Interactions with a Model Biomembrane. Molecules. 2021; 26(16):4903. https://doi.org/10.3390/molecules26164903
Chicago/Turabian StyleSantonocito, Debora, Carmelo Puglia, Cristina Torrisi, Alessandro Giuffrida, Valentina Greco, Francesco Castelli, and Maria Grazia Sarpietro. 2021. "Calorimetric Evaluation of Glycyrrhetic Acid (GA)- and Stearyl Glycyrrhetinate (SG)-Loaded Solid Lipid Nanoparticle Interactions with a Model Biomembrane" Molecules 26, no. 16: 4903. https://doi.org/10.3390/molecules26164903
APA StyleSantonocito, D., Puglia, C., Torrisi, C., Giuffrida, A., Greco, V., Castelli, F., & Sarpietro, M. G. (2021). Calorimetric Evaluation of Glycyrrhetic Acid (GA)- and Stearyl Glycyrrhetinate (SG)-Loaded Solid Lipid Nanoparticle Interactions with a Model Biomembrane. Molecules, 26(16), 4903. https://doi.org/10.3390/molecules26164903

