Tunable Microwave Dielectric Properties of Ca0.6La0.8/3TiO3 and Ca0.8Sm0.4/3TiO3-Modified (Mg0.6Zn0.4)0.95Ni0.05TiO3 Ceramics with a Near-Zero Temperature Coefficient
Abstract
1. Introduction
2. Results and Discussion
2.1. Physical Investigation
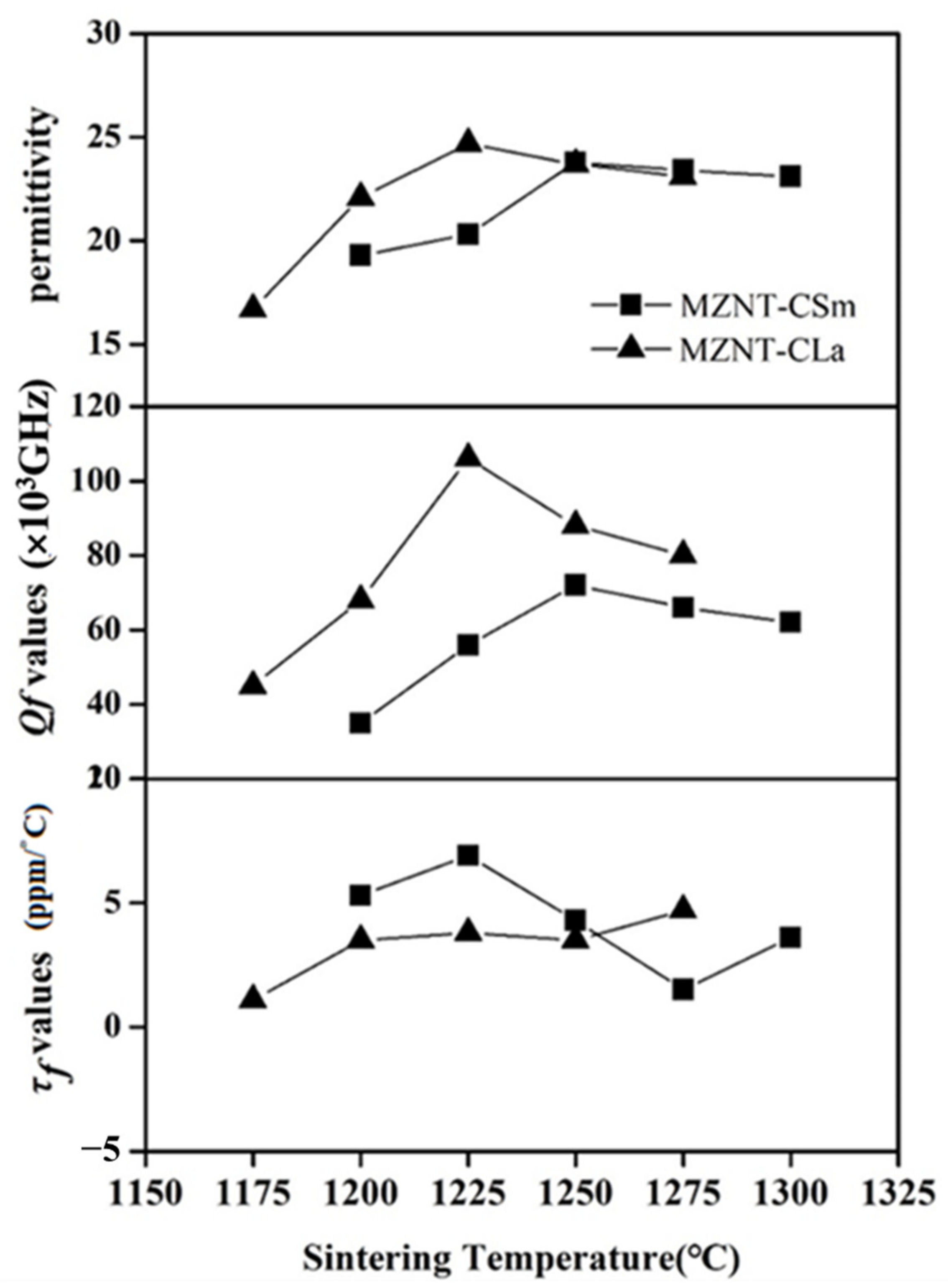
2.2. Microwave Dielectric Properties
3. Experimental Procedure
4. Conclusions
Author Contributions
Funding
Data Availability Statement
Acknowledgments
Conflicts of Interest
Sample Availability
References
- Nakagoshi, Y.; Sato, J.; Morimoto, M.; Suzuki, Y. Near-zero volume-shrinkage in reactive sintering of porous MgTi2O5 with pseudobrookite-type structure. Ceram. Int. 2016, 42, 9139–9144. [Google Scholar] [CrossRef][Green Version]
- Lin, S.H.; Chen, Y.B. Crystal structure and microwave dielectric properties of [(Mg0.6Zn0.4)0.95Co0.05]2TiO4 modified Ca0.8Sm0.4/3TiO3 ceramics. Ceram. Int. 2017, 43, 296–300. [Google Scholar] [CrossRef]
- Aljaafari, A.; Sedky, A. Influence of Fine Crystal Percentage on the Electrical Properties of ZnO Ceramic-Based Varistors. Crystals 2020, 10, 681. [Google Scholar] [CrossRef]
- Bor, B.; Heilmann, L.; Domènech, B.; Kampferbeck, M.; Vossmeyer, T.; Weller, H.; Schneider, G.A.; Giuntini, D. Mapping the Mechanical Properties of Hierarchical Supercrystalline Ceramic-Organic Nanocomposites. Molecules 2020, 25, 4790. [Google Scholar] [CrossRef]
- Palmero, P. Structural Ceramic Nanocomposites: A Review of Properties and Powders’ Synthesis Methods. Nanomaterials 2015, 5, 656–696. [Google Scholar] [CrossRef] [PubMed]
- Lin, S.H.; Chen, Y.B. Structure and characterization of B2O3 modified yNd(Mg1/2Ti1/2)O3-(1−y)Ca0.8Sr0.2TiO3 ceramics with a near-zero temperature coefficient at microwave frequency. Ceram. Int. 2017, 43, 2368–2371. [Google Scholar] [CrossRef]
- Freitas, A.E.; Manhabosco, T.M.; Batista, R.J.C.; Segundo, A.K.R.; Araújo, H.X.; Araújo, F.G.S.; Costa, A.R. Development and Characterization of Titanium Dioxide Ceramic Substrates with High Dielectric Permittivities. Materials 2020, 13, 386. [Google Scholar] [CrossRef] [PubMed]
- Itaalit, B.; Mouyane, M.; Bernard, J.; Womes, M.; Houivet, D. Effect of Post-Annealing on the Microstructure and Microwave Dielectric Properties of Ba(Co0.7Zn0.3)1/3Nb2/3O3 Ceramics. Appl. Sci. 2016, 6, 2. [Google Scholar] [CrossRef]
- Lin, S.H.; Lin, Z.Q.; Chen, C.W. Microwave dielectric characterization of Ca0.6(La1-xYx)0.2667TiO3 perovskite ceramics with high positive temperature coefficient. Ceram. Int. 2021, 47, 16828–16832. [Google Scholar] [CrossRef]
- Tang, B.; Xiang, Q.; Fang, Z.; Zhang, X.; Xiong, Z.; Lid, H.; Yuan, C.; Zhang, S. Influence of Cr3+ substitution for Mg2+ on the crystal structure and microwave dielectric properties of CaMg1-xCr2x/3Si2O6 ceramics. Ceram. Int. 2019, 45, 11484–11490. [Google Scholar] [CrossRef]
- Sohn, J.H.; Inaguma, Y.; Yoon, S.O. Microwave Dielectric Characteristics of Ilmenite-Type Titanates with High Q Values. Jpn. J. Appl. Phys. 1994, 33, 5466. [Google Scholar] [CrossRef]
- Huang, C.L.; Pan, C.L. Dielectric properties of (1−x) (Mg0.95Co0.05) TiO3–xCaTiO3 ceramic system at microwave frequency. Mater. Res. Bull. 2002, 37, 2483–2490. [Google Scholar] [CrossRef]
- Shen, C.H.; Pan, C.L.; Lin, S.H. A Study of the Effect of Sintering Conditions of Mg0.95Ni0.05Ti3 on Its Physical and Dielectric Properties. Molecules 2020, 25, 5988. [Google Scholar] [CrossRef] [PubMed]
- Wakino, K. Wakino. Recent developments of dielectric resonator materials and filters. Ferroelectrics 1989, 91, 69–86. [Google Scholar] [CrossRef]
- Shen, C.H.; Huang, C.L. Microwave Dielectric Characteristics of (Mg0.95Ni0.05) TiO3-Ca0.8Sm0.4/3TiO3 Ceramic System. J. Alloys Compd. 2009, 477, 720–725. [Google Scholar] [CrossRef]
- Shen, C.H.; Huang, C.L.; Shih, C.F.; Huang, C.M. A novel temperature-compensated microwave dielectric (1−x) (Mg0.95Ni0.05) TiO3-xCa0.6La0.8/3TiO3 ceramics system. Int. J. Appl. Ceram. 2009, 6, 562–570. [Google Scholar] [CrossRef]
- Shen, C.H.; Pan, C.L.; Lin, S.H.; Ho, C.C. Microwave Performance, Microstructure, and Crystallization of (Mg0.6Zn0.4)1−yNiyTiO3 Ilmenite Ceramics. Appl. Sci. 2021, 11, 2952. [Google Scholar] [CrossRef]
- Chen, Y.-B. The dielectric properties of 0.85MgTiO3–0.15Ca0.6La0.8/3TiO3 with ZnO additions for microwave applications. J. Alloys Compd. 2009, 477, 883–887. [Google Scholar] [CrossRef]
- Zhai, S.; Liu, P.; Fu, Z. Microwave dielectric properties of low-fired [Mg0.98(Li0.5Bi0.5)0.02]2SiO4–Ca0.8Sm0.4/3TiO3 composite ceramics. J. Mater. Sci. Mater. Electron. 2018, 29, 1298–1303. [Google Scholar] [CrossRef]
- Liao, J.; Senna, M. Crystallization of titania and magnesium titanate from mechanically activated Mg (OH)2 and TiO2 gel mixture Mater. Res. Bull. 1995, 30, 385. [Google Scholar] [CrossRef]
- Huang, C.L.; Pan, C.L. Low Temperature Sintering and Microwave Dielectric Properties of (1−x) MgTiO3-xCaTiO3 Ceramics Using Bismuth Additions. Jpn. J. Appl. Phys. 2002, 41, 707. [Google Scholar] [CrossRef]
- Shen, C.H.; Huang, C.L.J. Phase Evolution and Dielectric Properties of (Mg0.95M0.052+) Ti2O5 (M2+=Co, Ni, and Zn) Ceramics at Microwave Frequencies. Am. Ceram. 2009, 92, 384–388. [Google Scholar]
- Gurevich, V.L.; Tagantsev, A.K. Intrinsic dielectric loss in crystals. Adv. Phys. 1991, 40, 719. [Google Scholar] [CrossRef]
- Kim, E.S.; Yoon, K.H. Effect of nickel on microwave dielectric properties of Ba (Mg1/3Ta2/3) O3. J. Mater. Sci. 1994, 29, 830. [Google Scholar] [CrossRef]
- Kim, I.T.; Kim, Y.; Chung, S.J. Order-disorder transition and microwave dielectric properties of Ba(Ni1/3Nb2/3)O3 ceramics. Jpn. J. Appl. Phys. 1995, 34, 4096. [Google Scholar] [CrossRef]
- Penn, S.J.; Alford, N.M.; Templeton, A.; Wang, X.; Xu, M.; Reece, M.; Schrapel, K. Effect of porosity and grain size on the microwave dielectric properties of sintered alumina. J. Am. Ceram. 1997, 80, 1885–1888. [Google Scholar] [CrossRef]
- Courtney, W.E. Analysis and Evaluation of a Method of Measuring the Complex Permittivity and Permeability Microwave Insulators. IEEE Trans. Microwave Theory Tech. 1970, 18, 476–485. [Google Scholar] [CrossRef]
- Shannon, R.D.; Prewitt, C.D. Effective ionic radii in oxides and fluorides. Acta Crystallogr. 1969, 25, 925–946. [Google Scholar] [CrossRef]








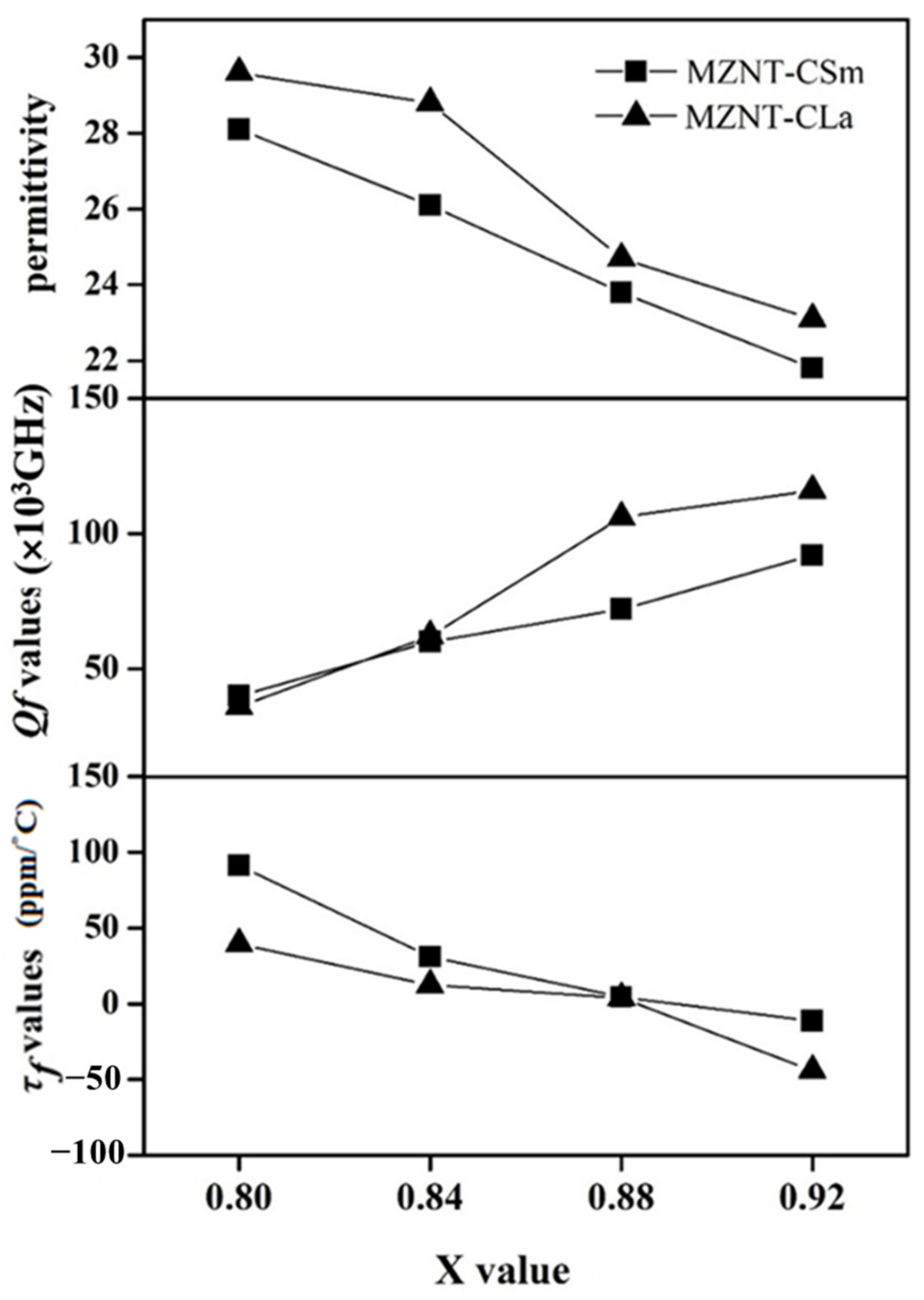
| x(Mg0.6Zn0.4)0.95Ni0.05TiO3-(1 − x)Ca0.6La0.8/3TiO3 | |||||
| x value | S.T.(°C) | Density (g/cm3) | εr | Qf(Hz) | τf(ppm/°C) |
| 0.92 | 1225 | 4.0 | 23.1 | 116,000 | −44.0 |
| 0.88 | 4.2 | 24.7 | 106,000 | 3.8 | |
| 0.84 | 4.4 | 28.8 | 62,000 | 12.3 | |
| 0.80 | 4.5 | 29.6 | 36,000 | 39.4 | |
| x(Mg0.6Zn0.4)0.95Ni0.05TiO3-(1 − x)Ca0.8Sm0.4/3TiO3 | |||||
| x value | S.T.(°C) | Density (g/cm3) | εr | Qf (Hz) | τf(ppm/°C) |
| 0.92 | 1250 | 4.05 | 21.8 | 92,000 | −11.3 |
| 0.88 | 4.06 | 23.8 | 72,000 | 4.3 | |
| 0.84 | 4.10 | 26.1 | 60,000 | 30.9 | |
| 0.80 | 4.40 | 28.1 | 40,000 | 91.2 | |
| Composition | S.T.(°C) | Permittivity | Qf (Hz) | τf (ppm/°C) | Ref |
|---|---|---|---|---|---|
| (Mg0.95Ni0.05)TiO3 | 1350 °C/4 h | 17.35 | 192,000 | −47.0 | [13] |
| 0.85(Mg0.95Ni0.05)TiO3-0.15Ca0.6La0.8/3TiO3 | 1325 °C/4 h | 24.61 | 102,000 | −3.6 | [15] |
| (Mg0.6Zn0.4)0.95Ni0.05TiO3 | 1200 °C/4h | 19.30 | 165,000 | −65.4 | [16] |
| 0.88(Mg0.6Zn0.4)0.95Ni0.05TiO3-0.12Ca0.6La0.8/3TiO3 | 1225 °C/4 h | 24.70 | 106,000 | 3.8 | This work |
Publisher’s Note: MDPI stays neutral with regard to jurisdictional claims in published maps and institutional affiliations. |
© 2021 by the authors. Licensee MDPI, Basel, Switzerland. This article is an open access article distributed under the terms and conditions of the Creative Commons Attribution (CC BY) license (https://creativecommons.org/licenses/by/4.0/).
Share and Cite
Pan, C.-L.; Shen, C.-H.; Lin, S.-H.; Lin, Q.-Z. Tunable Microwave Dielectric Properties of Ca0.6La0.8/3TiO3 and Ca0.8Sm0.4/3TiO3-Modified (Mg0.6Zn0.4)0.95Ni0.05TiO3 Ceramics with a Near-Zero Temperature Coefficient. Molecules 2021, 26, 4715. https://doi.org/10.3390/molecules26164715
Pan C-L, Shen C-H, Lin S-H, Lin Q-Z. Tunable Microwave Dielectric Properties of Ca0.6La0.8/3TiO3 and Ca0.8Sm0.4/3TiO3-Modified (Mg0.6Zn0.4)0.95Ni0.05TiO3 Ceramics with a Near-Zero Temperature Coefficient. Molecules. 2021; 26(16):4715. https://doi.org/10.3390/molecules26164715
Chicago/Turabian StylePan, Chung-Long, Chun-Hsu Shen, Shih-Hung Lin, and Qi-Zi Lin. 2021. "Tunable Microwave Dielectric Properties of Ca0.6La0.8/3TiO3 and Ca0.8Sm0.4/3TiO3-Modified (Mg0.6Zn0.4)0.95Ni0.05TiO3 Ceramics with a Near-Zero Temperature Coefficient" Molecules 26, no. 16: 4715. https://doi.org/10.3390/molecules26164715
APA StylePan, C.-L., Shen, C.-H., Lin, S.-H., & Lin, Q.-Z. (2021). Tunable Microwave Dielectric Properties of Ca0.6La0.8/3TiO3 and Ca0.8Sm0.4/3TiO3-Modified (Mg0.6Zn0.4)0.95Ni0.05TiO3 Ceramics with a Near-Zero Temperature Coefficient. Molecules, 26(16), 4715. https://doi.org/10.3390/molecules26164715

