Natural Products from Tongan Marine Organisms
Abstract
:1. Introduction
2. The Kingdom of Tonga
3. Tropical Marine Organisms and Biodiversity in Tongan Territorial Waters
4. A Brief History of Marine Natural Products from Tongan Waters
5. Tongan Marine Invertebrates
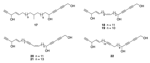
5.1. Sponge-Derived MNPs
5.1.1. Order Poecilosclerida

5.1.2. Diacarnus spinipoculum

5.1.3. Hyrtios erectus


5.1.4. Pseudoceratina sp.

5.1.5. Halichondria sp.

5.1.6. Jaspis sp.
5.1.7. Coelocarteria singaporensis

5.1.8. Plakortis sp.

5.1.9. Strongylodesma tongaensis


5.1.10. Cacospongia mycofijiensis




5.1.11. Fascaplysinopsis sp.

5.1.12. Order Dictyoceratida, Specimen I

5.1.13. Order Dictyoceratida, Specimen II

5.1.14. Order Dictyoceratida, Specimen III

5.1.15. Order Dictyoceratida, Specimen IV

5.1.16. Order Dictyoceratida, Specimen V

5.1.17. Order Dictyoceratida/Dendroceratida, Specimen I
5.1.18. Order Dictyoceratida/Dendroceratida, Specimen II

5.1.19. Order Homosclerophorida, Specimen I

5.1.20. Order Homosclerophorida, Specimen II

5.1.21. Order Haplosclerida

5.1.22. Order Verongiida, Specimen I

5.1.23. Order Verongiida, Specimen II

5.1.24. Unidentified Sponge

5.2. Tunicate (Ascidian) Derived MNPs
Didemnum ternerratum

5.3. Bryozoan Derived MNPs
Nelliella nelliiformis

5.4. Red Algae-Derived MNPs
Callophycus serratus

5.5. Bacteria-Derived MNPs
Actinomycetospora chlora Strain SNC-032

6. Conclusions
Funding
Institutional Review Board Statement
Informed Consent Statement
Acknowledgments
Conflicts of Interest
References
- Newman, D.J.; Cragg, G.M. Natural products as sources of new drugs over the 30 years from 1981 to 2010. J. Nat. Prod. 2012, 75, 311–335. [Google Scholar] [CrossRef] [Green Version]
- Haefner, B. Drugs from the deep: Marine natural products as drug candidates. Drug Discov. Today 2003, 8, 536–544. [Google Scholar] [CrossRef]
- Colin, P.L.; Arneson, C. Tropical Pacific Invertebrates; Coral Reef Press: Beverly Hills, CA, USA, 1995. [Google Scholar]
- Bolser, R.C.; Hay, M.E. Are tropical plants better defended? Palatability and defenses of temperate vs. tropical seaweeds. Ecology 1996, 77, 2269–2286. [Google Scholar] [CrossRef]
- Pawlik, J.R. Coral reef sponges: Do predatory fishes affect their distribution? Limnol. Oceanogr. 1998, 43, 1396–1399. [Google Scholar] [CrossRef]
- Bakus, G.J.; Green, G. Toxicity in sponges and holothurians: A geographic pattern. Science 1974, 185, 951–953. [Google Scholar] [CrossRef]
- Avila, C.; Taboada, S.; Núñez-Pons, L. Antarctic marine chemical ecology: What is next? Mar. Ecol. 2008, 29, 1–71. [Google Scholar] [CrossRef]
- Becerro, M.A.; Thacker, R.W.; Turon, X.; Uriz, M.J.; Paul, V.J. Biogeography of sponge chemical ecology: Comparisons of tropical and temperate defenses. Oecologia 2003, 135, 91–101. [Google Scholar] [CrossRef]
- Samani, U.; Palaki, A.; Hoponoa, T.; Halafihi, M.; Kami, V.; Matoto, L.; Samani, T.; Kilisimasi, K. First National Report. Tonga—Convention on Biological Diversity; Tonga Print Ltd.: Nuku’alofa, Tonga, 2006. [Google Scholar]
- Myers, B.L.; Crews, P. The ichthyotoxic chiral ether glyceride isolated from an undescribed red marine sponge. J. Org. Chem. 1983, 48, 3583–3585. [Google Scholar] [CrossRef]
- Manes, L.V.; Bakus, G.J.; Crews, P. Bioacive marine sponge norditerpene and norsesterterpene peroxides. Tetrahedron Lett. 1984, 25, 931–934. [Google Scholar]
- Crews, P.; Bescansa, P.; Bakus, G.J. A non-peroxide norsesterterpene from a marine sponge Hyrtios erecta. Experientia 1985, 41, 690–691. [Google Scholar] [CrossRef] [PubMed]
- Crews, P.; Bescansa, P. Sesterterpenes from a common marine sponge, Hyrtios erecta. J. Nat. Prod. 1986, 49, 1041–1052. [Google Scholar] [CrossRef]
- Rashid, M.A.; Gustafson, K.R.; Boyd, M.R. Pellynol I, a new cytotoxic polyacetylene from the sponge Pellina sp. Nat. Prod. Lett. 2000, 14, 387–392. [Google Scholar] [CrossRef]
- Meragelman, K.M.; McKee, T.C.; Boyd, M.R. New cytotoxic isomalabaricane triterpenes from the sponge Jaspis species. J. Nat. Prod. 2001, 64, 389–392. [Google Scholar] [CrossRef]
- Grkovic, T.; Akee, R.K.; Thornburg, C.C.; Trinh, S.K.; Britt, J.R.; Harris, M.J.; Evans, J.R.; Kang, U.; Ensel, S.; Henrich, C.J.; et al. National Cancer Institute (NCI) program for natural products discovery: Rapid isolation and identification of biologically active natural products from the NCI prefractionated library. ACS Chem. Biol. 2020, 15, 1104–1114. [Google Scholar] [CrossRef] [PubMed] [Green Version]
- Field, J.J.; Singh, A.J.; Kanakkanthara, A.; Halafihi, T.; Northcote, P.T.; Miller, J.H. Microtubule-stabilizing activity of zampanolide, a potent macrolide isolated from the Tongan marine sponge Cacospongia mycofijiensis. J. Med. Chem. 2009, 52, 7328–7332. [Google Scholar] [CrossRef] [PubMed]
- Barber, J.M.; Quek, N.C.H.; Leahy, D.C.; Miller, J.H.; Bellows, D.S.; Northcote, P.T. Lehualides E–K, cytotoxic metabolites from the Tongan marine sponge Plakortis sp. J. Nat. Prod. 2011, 74, 809–815. [Google Scholar] [CrossRef] [PubMed]
- Barber, J.M.; Leahy, D.C.; Miller, J.H.; Northcote, P.T. Luakuliides A–C, cytotoxic labdane diterpenes from a Tongan dictyoceratid sponge. Tetrahedron Lett. 2015, 56, 6314–6318. [Google Scholar] [CrossRef]
- Woolner, V.H.; Gordon, R.M.A.; Miller, J.H.; Lein, M.; Northcote, P.T.; Keyzers, R.A. Halogenated meroditerpenoids from a South Pacific collection of the red alga Callophycus serratus. J. Nat. Prod. 2018, 81, 2446–2454. [Google Scholar] [CrossRef]
- Taufa, T.; Gordon, R.M.A.; Hashmi, M.A.; Hira, K.; Miller, J.H.; Lein, M.; Fromont, J.; Northcote, P.T.; Keyzers, R.A. Pyrroloquinoline derivatives from a Tongan specimen of the marine sponge Strongylodesma tongaensis. Tetrahedron Lett. 2019, 60, 1825–1829. [Google Scholar] [CrossRef]
- Taufa, T.; Singh, A.J.; Harland, C.R.; Patel, V.; Jones, B.; Halafihi, T.; Miller, J.H.; Keyzers, R.A.; Northcote, P.T. Zampanolides B–E from the marine sponge Cacospongia mycofijiensis: Potent cytotoxic macrolides with microtubule-stabilizing activity. J. Nat. Prod. 2018, 81, 2539–2544. [Google Scholar] [CrossRef]
- van Soest, R.W.M.; Boury-Esnault, N.; Vacelet, J.; Dohrmann, M.; Erpenbeck, D.; de Voogd, N.J.; Santodomingo, N.; Vanhoorne, B.; Kelly, M.; Hooper, J.N.A. Global diversity of sponges (Porifera). PLoS ONE 2012, 7, e35105. [Google Scholar] [CrossRef]
- Hooper, J.N.; Van Soest, R.W. Systema Porifera: A Guide to the Classification of Sponges; Hooper, J.N.A., van Soest, R.W.M., Willenz, P., Eds.; Kluwer Academic/Plenum Publishers: New York, NY, USA, 2002. [Google Scholar]
- Kelly-Borges, M.; Vacelet, J. A Revision of Diacarnus Burton and Negombata de Laubenfels (Demospongiae; Latrunculiidae) with Descriptions from the West Central Pacific and the Red Sea; Queensland Museum: South Brisbane, Australia, 1995; Volume 38, pp. 477–503. [Google Scholar]
- Kashman, Y.; Rotem, M. Muqubilin, a new C24-isoprenoid from a marine sponge. Tetrahedron Lett. 1979, 20, 1707–1708. [Google Scholar] [CrossRef]
- Ibrahim, S.R.M.; Ebel, R.; Wray, V.; Müller, W.E.G.; Edrada-Ebel, R.; Proksch, P. Diacarperoxides, norterpene cyclic peroxides from the sponge Diacarnus megaspinorhabdosa. J. Nat. Prod. 2008, 71, 1358–1364. [Google Scholar] [CrossRef]
- Capon, R.J.; Macleod, J.K. Structural and stereochemical studies on marine norterpene cyclic peroxides. Tetrahedron 1985, 41, 3391–3404. [Google Scholar] [CrossRef]
- DÁniello, E.; Iannotti, F.A.; Falkenberg, L.G.; Martella, A.; Gentile, A.; De Maio, F.; Ciavatta, M.L.; Gavagnin, M.; Waxman, J.S.; Di Marzo, V.; et al. In silico identification and experimental validation of (−)-muqubilin A, a marine norterpene peroxide, as PPARα/γ-RXRα agonist and RARα positive allosteric modulator. Mar. Drugs 2019, 17, 110. [Google Scholar] [CrossRef] [Green Version]
- Bergquist, P.R. Dictyoceratida, Dendroceratida and Verongida from the New Caledonia Lagoon (Porifera: Demospongiae); Queensland Museum: South Brisbane, Australia, 1995; Volume 38, pp. 1–55. [Google Scholar]
- Kazlauskas, R.; Murphy, P.T.; Quinn, R.J.; Wells, R.J. Heteronemin, a new scalarin type sesterterpene from the sponge Heteronema erecta. Tetrahedron Lett. 1976, 30, 2631–2634. [Google Scholar] [CrossRef]
- Chen, Y.-C.; Lu, M.-C.; El-Shazly, M.; Lai, K.-H.; Wu, T.-Y.; Hsu, Y.-M.; Lee, Y.-L.; Liu, Y.-C. Breaking down leukemia walls: Heteronemin, a sesterterpene derivative, induces apoptosis in leukemia Molt4 cells through oxidative stress, mitochondrial dysfunction and induction of Talin expression. Mar. Drugs 2018, 16, 212. [Google Scholar] [CrossRef] [Green Version]
- Cimino, G.; De Stefano, S.; Minale, L. Scalaradial, a third sesterterpene with the tetracarbocyclic skeleton of scalarin, from the sponge Cacospongia mollior. Experientia 1974, 30, 846–847. [Google Scholar]
- Monti, M.C.; Casapullo, A.; Cavasotto, C.N.; Napolitano, A.; Riccio, R. Scalaradial, a dialdehyde-containing marine metabolite that causes an unexpected noncovalent PLA2 inactivation. Chembiochem 2007, 8, 1585–1591. [Google Scholar] [CrossRef] [PubMed]
- Fattorusso, E.; Magno, S.; Santacorce, C.; Sica, D. Scalarin a new pentacyclic C-25 terpenoid from the sponge Cacospongia scalaris. Tetrahedron 1972, 28, 5993–5997. [Google Scholar] [CrossRef]
- Guzmán, E.A.; Pitts, T.P.; Diaz, M.C.; Wright, A.E. The marine natural product scalarin inhibits the receptor for advanced glycation end products (RAGE) and autophagy in the PANC-1 and MIA PaCa-2 pancreatic cancer cell lines. Investig. New Drugs 2019, 37, 262–270. [Google Scholar] [CrossRef]
- Elhady, S.; El-Halawany, A.; Alahdal, A.; Hassanean, H.; Ahmed, S. A new bioactive metabolite isolated from the Red Sea marine sponge Hyrtios erectus. Molecules 2016, 21, 82. [Google Scholar] [CrossRef] [PubMed] [Green Version]
- Zhou, M.; Peng, B.R.; Tian, W.; Su, J.H.; Wang, G.; Lin, T.; Zeng, D.; Sheu, J.H.; Chen, H. 12-Deacetyl-12-epi-scalaradial, a scalarane sesterterpenoid from a marine sponge Hippospongia sp., Induces HeLa cells apoptosis via MAPK/ERK pathway and modulates nuclear receptor Nur77. Mar. Drugs 2020, 18, 375. [Google Scholar] [CrossRef]
- Kamel, H.N.; Kim, Y.B.; Rimoldi, J.M.; Fronczek, F.R.; Ferreira, D.; Slattery, M. Scalarane sesterterpenoids: Semi-synthesis and biological activity. J. Nat. Prod. 2009, 72, 1492–1496. [Google Scholar] [CrossRef]
- Doi, Y.; Shigemori, H.; Ishibashi, M.; Mizobe, F.; Kawashima, A.; Nakaike, S.; Kobayashi, J. New sesterterpenes with NGF synthesis-stimulating activity from the Okinawan marine sponge Hyrtios sp. Chem. Pharm. Bull. 1993, 41, 2190–2191. [Google Scholar] [CrossRef] [PubMed] [Green Version]
- Fuh, Y.-M.; Lu, M.-C.; Lee, C.-H.; Su, J.-H. Cytotoxic scalarane sesterterpenoids from a marine sponge Hippospongia sp. Nat. Prod. Commun. 2013, 8, 571–572. [Google Scholar] [CrossRef] [Green Version]
- Kobayashi, M.; Okamoto, T.; Hayashi, K.; Yokoyama, N.; Sasaki, T.; Kitagawa, I. Marine natural products. XXXII. Absolute configurations of C-4 of the manoalide family, Biologically active sesterterpenes from the marine sponge. Hyrtions erecta. Chem. Pharm. Bull. 1994, 42, 265–270. [Google Scholar] [CrossRef] [Green Version]
- Quiñoá, E.; Crews, P. Phenolic constituents of Psammaplysilla. Tetrahedron Lett. 1987, 28, 3229–3232. [Google Scholar] [CrossRef]
- van Soest, R.W.M. World Porifera Database. 2021. Available online: http://www.marinespecies.org/porifera (accessed on 8 February 2021).
- Kim, D.; Lee, I.S.; Jung, J.H.; Yang, S.I. Psammaplin A, a natural bromotyrosine derivative from a sponge, possesses the antibacterial activity against methicillin-resistant Staphylococcus aureus and the DNA gyrase-inhibitory activity. Arch. Pharm. Res. 1999, 22, 25–29. [Google Scholar] [CrossRef] [PubMed]
- Nicholas, G.M.; Eckman, L.L.; Ray, S.; Hughes, R.O.; Pfefferkorn, J.A.; Barluenga, S.; Nicolaou, K.C.; Bewley, C.A. Bromotyrosine-derived natural and synthetic products as inhibitors of mycothiol-S-conjugate amidase. Bioorg. Med. Chem. Lett. 2002, 12, 2487–2490. [Google Scholar] [CrossRef]
- Nicolaou, K.C.; Hughes, R.; Pfefferkorn, J.A.; Barluenga, S.; Roecker, A.J. Combinatorial synthesis through disulfide exchange: Discovery of potent psammaplin A type antibacterial agents active against methicillin-resistant Staphylococcus aureus (MRSA). Chem. Eur. J. 2001, 7, 4280–4295. [Google Scholar] [CrossRef]
- Nicolaou, K.C.; Hughes, R.; Pfefferkorn, J.A.; Barluenga, S. Optimization and mechanistic studies of psammaplin A type antibacterial agents active against methicillin-resistant Staphylococcus aureus (MRSA). Chem. Eur. J. 2001, 7, 4296–4310. [Google Scholar] [CrossRef]
- Piña, I.C.; Gautschi, J.T.; Wang, G.Y.S.; Sanders, M.L.; Schmitz, F.J.; France, D.; Cornell-Kennon, S.; Sambucetti, L.C.; Remiszewski, S.W.; Perez, L.B.; et al. Psammaplins from the sponge Pseudoceratina purpurea: Inhibition of both histone deacetylase and DNA methyltransferase. J. Org. Chem. 2003, 68, 3866–3873. [Google Scholar] [CrossRef]
- Shim, J.S.; Lee, H.S.; Shin, J.; Kwon, H.J. Psammaplin A, a marine natural product, inhibits aminopeptidase N and suppresses angiogenesis in vitro. Cancer Lett. 2004, 203, 163–169. [Google Scholar] [CrossRef]
- Jiang, Y.; Ahn, E.Y.; Ryu, S.H.; Kim, D.K.; Park, J.S.; Yoon, H.J.; You, S.; Lee, B.J.; Lee, D.S.; Jung, J.H. Cytotoxicity of psammaplin A from a two-sponge association may correlate with the inhibition of DNA replication. BMC Cancer 2004, 4, 70. [Google Scholar] [CrossRef] [Green Version]
- Kim, D.; Lee, I.S.; Jung, J.H.; Lee, C.O.; Choi, S.U. Psammaplin A, a natural phenolic compound, has inhibitory effect on human topoisomerase II and is cytotoxic to cancer cells. Anticancer Res. 1999, 19, 4085–4090. [Google Scholar]
- Shin, J.; Lee, H.S.; Seo, Y.; Rho, J.R.; Cho, K.W.; Paul, V.J. New bromotyrosine metabolites from the sponge Aplysinella rhax. Tetrahedron 2000, 56, 9071–9077. [Google Scholar] [CrossRef]
- Tabudravu, J.N.; Eijsink, V.G.H.; Gooday, G.W.; Jaspars, M.; Komander, D.; Legg, M.; Synstad, B.; van Aalten, D.M.F. Psammaplin A, a chitinase inhibitor isolated from the Fijian marine sponge Aplysinella rhax. Bioorg. Med. Chem. 2002, 10, 1123–1128. [Google Scholar] [CrossRef]
- Kim, D.H.; Shin, J.; Kwon, H.J. Psammaplin A is a natural prodrug that inhibits class I histone deacetylase. Exp. Mol. Med. 2007, 39, 47–55. [Google Scholar] [CrossRef]
- Fu, X.; Abbas, S.Y.; Schmitz, F.J.; Vidavsky, I.; Gross, M.L.; Laney, M.; Schatzman, R.C.; Cabuslay, R.D. New acetylenic metabolites from the marine sponge Pellina triangulata. Tetrahedron 1997, 53, 799–814. [Google Scholar] [CrossRef]
- Fu, X.; Schmitz, F.J.; Kelly, M. Swinholides and new acetylenic compounds from an undescribed species of Theonella sponge. J. Nat. Prod. 1999, 62, 1336–1338. [Google Scholar] [CrossRef] [PubMed]
- Ebada, S.S.; Wray, V.; De Voogd, N.J.; Deng, Z.; Lin, W.; Proksch, P. Two new Jaspamide derivatives from the marine sponge Jaspis splendens. Mar. Drugs 2009, 7, 434–444. [Google Scholar] [CrossRef] [PubMed]
- Samaai, T.; Gibbons, M.J.; Kelly, M. A revision of the genus Strongylodesma Lévi (Porifera: Demospongiae: Latrunculiidae) with descriptions of four new species. J. Mar. Biol. Assoc. 2009, 89, 1689–1702. [Google Scholar] [CrossRef] [Green Version]
- Taufa, T. New Sesterterpenes from Marine Sponges from the Tropical Waters of the Kingdom of Tonga. Master’s Thesis, Victoria University of Wellington, Auckland, New Zealand, 2010. [Google Scholar]
- Carney, J.R.; Scheuer, P.J.; Kelly-Borges, M. Makaluvamine G, a cytotoxic pigment from an Indonesian sponge Histodermella sp. Tetrahedron 1993, 49, 8483–8486. [Google Scholar] [CrossRef]
- Cheng, J.; Ohizumi, Y.; Walchli, M.R.; Nakamura, H.; Hirata, Y.; Sasaki, T.; Kobayashi, J. Prianosins B, C, and D, novel sulfur-containing alkaloids with potent antineoplastic activity from the Okinawan marine sponge Prianos melanos. J. Org. Chem. 1988, 53, 4621–4624. [Google Scholar] [CrossRef]
- Schmidt, E.W.; Harper, M.K.; Faulkner, D.J. Makaluvamines H-M and damirone C from the Pohnpeian sponge Zyzzya fuliginosa. J. Nat. Prod. 1995, 58, 1861–1867. [Google Scholar] [CrossRef]
- Taufa, T. Natural Products Analysis of South Pacific Marine Sponges. Ph.D. Thesis, Victoria University of Wellington, Auckland, New Zealand, 2018. [Google Scholar]
- Radisky, D.C.; Radisky, E.S.; Barrows, L.R.; Copp, B.R.; Kramer, R.A.; Ireland, C.M. Novel cytotoxic topoisomerase II inhibiting pyrroloiminoquinones from Fijian sponges of the genus Zyzzya. J. Am. Chem. Soc. 1993, 115, 1632–1638. [Google Scholar] [CrossRef]
- Stierle, D.B.; Faulkner, D.J. Two new pyrroloquinoline alkaloids from the sponge Damiria sp. J. Nat. Prod. 1991, 54, 1131–1133. [Google Scholar] [CrossRef]
- Fu, X.; Ng, P.L.; Schmitz, F.J.; Hossain, M.B.; van der Helm, D.; Kelly-Borges, M. Makaluvic acids A and B: Novel alkaloids from the marine sponge Zyzzya fuliginosus. J. Nat. Prod. 1996, 59, 1104–1106. [Google Scholar] [CrossRef]
- Hooper, G.J.; Davies-Coleman, M.T.; Kelly-Borges, M.; Coetzee, P.S. New alkaloids from a South African latrunculid sponge. Tetrahedron Lett. 1996, 37, 7135–7138. [Google Scholar] [CrossRef]
- Johnson, T.A.; Tenney, K.; Cichewicz, R.H.; Morinaka, B.I.; White, K.N.; Amagata, T.; Subramanian, B.; Media, J.; Mooberry, S.L.; Valeriote, F.A.; et al. Sponge-derived fijianolide polyketide class: Further evaluation of their structural and cytotoxicity properties. J. Med. Chem. 2007, 50, 3795–3803. [Google Scholar] [CrossRef] [Green Version]
- Kashman, Y.; Groweiss, A.; Shmueli, U. Latrunculin, a new 2-thiazolidinone macrolide from the marine sponge Latrunculia magnifica. Tetrahedron Lett. 1980, 21, 3629–3632. [Google Scholar] [CrossRef]
- Blasberger, D.; Carmely, S.; Cojocaru, M.; Spector, I.; Shochet, N.R.; Kashman, Y. On the chemistry of latrunculins A and B. Liebigs Ann. Chem. 1989, 1171–1188. [Google Scholar] [CrossRef]
- Quilico, A.; Piozzi, F.; Pavan, M. The structure of dendrolasin. Tetrahedron 1957, 1, 177–185. [Google Scholar] [CrossRef]
- Crews, P.; Kakou, Y.; Quiñoá, E. Mycothiazole, a polyketide heterocycle from a marine sponge. J. Am. Chem. Soc. 1988, 110, 4365–4368. [Google Scholar] [CrossRef]
- Quiñoá, E.; Kakou, Y.; Crews, P. Fijianolides, polyketide heterocycles from a marine sponge. J. Org. Chem. 1988, 53, 3642–3644. [Google Scholar] [CrossRef]
- Corley, D.G.; Herb, R.; Moore, R.E.; Scheuer, P.J.; Paul, V.J. Laulimalides. New potent cytotoxic macrolides from a marine sponge and a nudibranch predator. J. Org. Chem. 1988, 53, 3644–3646. [Google Scholar] [CrossRef]
- Tanaka, J.; Higa, T.; Bernardinelli, G.; Jefford, C.W. New Cytotoxic Macrolides from the Sponge Fasciospongia rimosa. Chem. Lett. 1996, 25, 255–256. [Google Scholar] [CrossRef]
- Tanaka, J.; Higa, T. Zampanolide, a new cytotoxic marcrolide from a marine sponge. Tetrahedron Lett. 1996, 37, 5535–5538. [Google Scholar] [CrossRef]
- Spector, I.; Shochet, N.R.; Kashman, Y.; Groweiss, A. Latrunculins: Novel marine toxins that disrupt microfilament organization in cultured cells. Science 1983, 219, 493–495. [Google Scholar] [CrossRef]
- Hoye, T.R.; Ayyad, S.E.N.; Eklov, B.M.; Hashish, N.E.; Shier, W.T.; El Sayed, K.A.; Hamann, M.T. Toward computing relative configurations: 16-Epi-latrunculin B, a new stereoisomer of the actin polymerization inhibitor latrunculin B. J. Am. Chem. Soc. 2002, 124, 7405–7410. [Google Scholar] [CrossRef]
- Gulavita, N.K.; Gunasekera, S.P.; Pomponi, S.A. Isolation of latrunculin A, 6,7-epoxylatrunculin A, fijianolide A, and euryfuran from a new genus of the family Thorectidae. J. Nat. Prod. 1992, 55, 506–508. [Google Scholar] [CrossRef]
- Kakou, Y.; Crews, P.; Bakus, G.J. Dendrolasin and latrunculin A from the Fijian sponge Spongia mycofijiensis and an associated nudibranch Chromodoris lochi. J. Nat. Prod. 1987, 50, 482–484. [Google Scholar] [CrossRef]
- Sonnenschein, R.N.; Johnson, T.A.; Tenney, K.; Valeriote, F.A.; Crews, P. A reassignment of (−)-mycothiazole and the isolation of a related diol. J. Nat. Prod. 2006, 69, 145–147. [Google Scholar] [CrossRef] [Green Version]
- Morgan, J.B.; Mahdi, F.; Liu, Y.; Coothankandaswamy, V.; Jekabsons, M.B.; Johnson, T.A.; Sashidhara, K.V.; Crews, P.; Nagle, D.G.; Zhou, Y.D. The marine sponge metabolite mycothiazole: A novel prototype mitochondrial complex I inhibitor. Bioorg. Med. Chem. 2010, 18, 5988–5994. [Google Scholar] [CrossRef] [PubMed] [Green Version]
- Johnson, T.A.; Morris, J.D.; Coppage, D.A.; Cook, C.V.; Persi, L.N.; Ogarrio, M.A.; Garcia, T.C.; McIntosh, N.L.; McCauley, E.P.; Media, J.; et al. Reinvestigation of mycothiazole reveals the penta-2,4-dien-1-ol residue imparts picomolar potency and 8S configuration. ACS Med. Chem. Lett. 2020, 11, 108–113. [Google Scholar] [CrossRef]
- Mooberry, S.L.; Tien, G.; Hernandez, A.H.; Plubrukarn, A.; Davidson, B.S. Laulimalide and isolaulimalide, new paclitaxel-like microtubule-stabilizing agents. Cancer Res. 1999, 59, 653–660. [Google Scholar]
- Pryor, D.E.; OBrate, A.; Bilcer, G.; DSaz, J.F.; Wang, Y.; Wang, Y.; Kabaki, M.; Jung, M.K.; Andreu, J.M.; Ghosh, A.K.; et al. The microtubule stabilizing agent laulimalide does not bind in the taxoid site, kills cells resistant to paclitaxel and epothilones, and may not require its epoxide moiety for activity. Biochemistry 2002, 41, 9109–9115. [Google Scholar] [CrossRef]
- Gollner, A.; Mulzer, J. Total synthesis of neolaulimalide and isolaulimalide. Org. Lett. 2008, 10, 4701–4704. [Google Scholar] [CrossRef] [PubMed]
- Gollner, A.; Altmann, K.-H.; Gertsch, J.; Mulzer, J. The laulimalide family: Total synthesis and biological evaluation of neolaulimalide, isolaulimalide, laulimalide and a nonnatural analogue. Chem. Eur. J. 2009, 15, 5979–5997. [Google Scholar] [CrossRef]
- Field, J.F.; Pera, B.; Calvo, E.; Canales, A.; Zurwerra, D.; Trigili, C.; Rodríguez-Salarichs, J.; Matesanz, R.; Kanakkanthara, A.; Wakefield, S.J.; et al. Zampanolide, a potent new microtubule stabilizing agent, covalently reacts with the taxane luminal site in both tubulin α,β-heterodimers and microtubules. Chem. Biol. 2012, 19, 686–698. [Google Scholar] [CrossRef] [PubMed]
- Cutignano, A.; Bruno, I.; Bifulco, G.; Casapullo, A.; Debitus, C.; Gomez-Paloma, L.; Riccio, R. Dactylolide, a new cytotoxic macrolide from the Vanuatu sponge Dactylospongia sp. Eur. J. Org. Chem. 2001, 775–778. [Google Scholar] [CrossRef]
- Segraves, N.L.; Robinson, S.J.; Garcia, D.; Said, S.A.; Fu, X.; Schmitz, F.J.; Pietraszkiewicz, H.; Valeriote, F.A.; Crews, P. Comparison of fascaplysin and related alkaloids: A study of structures, cytotoxicities, and sources. J. Nat. Prod. 2004, 67, 783–792. [Google Scholar] [CrossRef]
- Jiménez, C.; Quiñoá, E.; Adamczeski, M.; Hunter, L.M.; Crews, P. Novel sponge-derived amino acids. 12. Tryptophan-derived pigments and accompanying sesterterpenes from Fascaplysinopsis reticulata. J. Org. Chem. 1991, 56, 3403–3410. [Google Scholar] [CrossRef]
- Albizati, K.F.; Holman, T.; Faulkner, D.J.; Glaser, K.B.; Jacobs, R.S. Luffariellolide, an anti-inflammatory sesterterpene from the marine sponge Luffariella sp. Experientia 1987, 43, 949–950. [Google Scholar] [CrossRef]
- Kirsch, G.; König, G.M.; Wright, A.D.; Kaminsky, R. A new bioactive sesterterpene and antiplasmodial alkaloids from the marine sponge Hyrtios cf. erecta. J. Nat. Prod. 2000, 63, 825–829. [Google Scholar] [CrossRef]
- Roll, D.M.; Ireland, C.M.; Lu, H.S.M.; Clardy, J. Fascaplysin, an unusual antimicrobial pigment from the marine sponge Fascaplysinopsis sp. J. Org. Chem. 1988, 53, 3276–3278. [Google Scholar] [CrossRef]
- Elkhayat, E.; Edrada, R.A.; Ebel, R.; Wray, V.; van Soest, R.; Wiryowidagdo, S.; Mohamed, M.H.; Müller, W.E.G.; Proksch, P. New luffariellolide derivatives from the Indonesian sponge Acanthodendrilla sp. J. Nat. Prod. 2004, 67, 1809–1817. [Google Scholar] [CrossRef]
- Barber, J.M.E.K. Chemical and Biological Aspects of Secondary Metabolites from Tongan Marine Sponges. Ph.D. Thesis, Victoria University of Wellington, Auckland, New Zealand, 2012. [Google Scholar]
- Bourguet-Kondracki, M.L.; Debitus, C.; Guyot, M. Biologically active sesterterpenes from a New Caledonian marine sponge Hyrtios sp. J. Chem. Res. 1996, 192–193. [Google Scholar]
- Walker, R.P.; Faulkner, D.J. Diterpenes from the sponge Dysidea amblia. J. Org. Chem. 1981, 46, 1098–1102. [Google Scholar] [CrossRef]
- Rosser, R.M.; Faulkner, D.J.; Bass, L.S.; He, C.H.; Clardy, J. Two new metabolites of the sponge Dysidea amblia and revision of the structure of ambliol B. J. Org. Chem. 1984, 49, 5160–5163. [Google Scholar]
- Woolner, V.H. The Isolation and Structure Elucidation of Secondary Metabolites from Tongan Marine Organisms. Master’s Thesis, Victoria University of Wellington, Auckland, New Zealand, 2012. [Google Scholar]
- Dopeso, J.; Quiñoá, E.; Riguera, R.; Debitus, C.; Bergquist, P.R. Euryspongiols: Ten new highly hydroxylated 9,11-secosteroids with antihistaminic activity from the sponge Euryspongia sp. Stereochemistry and reduction. Tetrahedron 1994, 50, 3813–3828. [Google Scholar] [CrossRef]
- Raverty, W.D.; Thomson, R.H.; King, T.J. Metabolites from the sponge Pachymatisma johnstoni; L-6-bromohypaphorine, a new amino-acid (and its crystal structure). J. Chem. Soc. Perkin Trans. 1. 1977, 1204–1211. [Google Scholar] [CrossRef]
- Aiello, A.; Borrelli, F.; Capasso, R.; Fattorusso, E.; Luciano, P.; Menna, M. Conicamin, a novel histamine antagonist from the mediterranean tunicate Aplidium conicum. Bioorg. Med. Chem. Lett. 2003, 13, 4481–4483. [Google Scholar] [CrossRef]
- Kasheverov, I.E.; Shelukhina, I.V.; Kudryavtsev, D.S.; Makarieva, T.N.; Spirova, E.N.; Guzii, A.G.; Stonik, V.A.; Tsetlin, V.I. 6-Bromohypaphorine from marine nudibranch mollusk Hermissenda crassicornis is an agonist of human α7 nicotinic acetylcholine receptor. Mar. Drugs 2015, 13, 1255–1266. [Google Scholar] [CrossRef] [PubMed] [Green Version]
- Singh, A.J. The Structure-Directed Isolation of New Secondary Metabolites from South Pacific Sponges. Ph.D. Thesis, Victoria University of Wellington, Auckland, New Zealand, 2012. [Google Scholar]
- Fusetani, N.; Matsunaga, S.; Konosu, S. Bioactive marine metabolites I. Isolation of guaiazulene from the gorgonian Euplexaura erecta. Experientia 1981, 37, 680–681. [Google Scholar] [CrossRef]
- Capon, R.J.; Ghisalberti, E.L.; Jefferies, P.R. New aromatic sesquiterpenes from a Halichondria sp. Aust. J. Chem. 1982, 35, 2583–2587. [Google Scholar] [CrossRef]
- Wright, A.E.; Pomponi, S.A.; McConnell, O.J.; Kohmoto, S.; McCarthy, P. (+)-Curcuphenol and (+)-curcudiol, sesquiterpene phenols from shallow and deep water collections of the marine sponge Didiscus flavus. J. Nat. Prod. 1987, 50, 976–978. [Google Scholar] [CrossRef]
- Ralifo, P.; Sanchez, L.; Gassner, N.C.; Tenney, K.; Lokey, R.S.; Holman, T.R.; Valeriote, F.A.; Crews, P. Pyrroloacridine alkaloids from Plakortis quasiamphiaster: Structures and bioactivity. J. Nat. Prod. 2007, 70, 95–99. [Google Scholar] [CrossRef] [Green Version]
- Inman, W.D.; O’Neill-Johnson, M.; Crews, P. Novel marine sponge alkaloids. 1. Plakinidine A and B, anthelmintic active alkaloids from a Plakortis sponge. J. Am. Chem. Soc. 1990, 112, 1–4. [Google Scholar] [CrossRef]
- West, R.R.; Mayne, C.L.; Ireland, C.M.; Brinen, L.S.; Clardy, J. Plakinidines: Cytotoxic alkaloid pigments from the Fijian sponge Plakortis sp. Tetrahedron Lett. 1990, 31, 3271–3274. [Google Scholar] [CrossRef]
- Gauvin, A.; Smadja, J.; Aknin, M.; Faure, R.; Gaydou, E.M. Isolation of bioactive 5α,8α-epidioxy sterols from the marine sponge Luffariella cf. variabilis. Can. J. Chem. 2000, 78, 986–992. [Google Scholar] [CrossRef]
- Horton, P.A.; Longley, R.E.; Kelly-Borges, M.; McConnell, O.J.; Ballas, L.M. New cytotoxic peroxylactones from the marine sponge, Plakinastrella onkodes. J. Nat. Prod. 1994, 57, 1374–1381. [Google Scholar] [CrossRef]
- Gunatilaka, A.A.L.; Gopichand, Y.; Schmitz, F.J.; Djerassi, C. Minor and trace sterols in marine invertebrates. 26. Isolation and structure elucidation of nine new 5α,8α-epidoxy sterols from four marine organisms. J. Org. Chem. 1980, 46, 3860–3886. [Google Scholar] [CrossRef]
- Ioannou, E.; Abdel-Razik, A.F.; Zervou, M.; Christofidis, D.; Alexi, X.; Vagias, C.; Alexis, M.N.; Roussis, V. 5α,8α-Epidioxysterols from the gorgonian Eunicella cavolini and the ascidian Trididemnum inarmatum: Isolation and evaluation of their antiproliferative activity. Steroids 2009, 74, 73–80. [Google Scholar] [CrossRef]
- Lee, R.H.; Slate, D.L.; Moretti, R.; Alivi, K.A.; Crews, P. Marine sponge polyketide inhibitors of protein tyrosine kinase. Biochem. Biophys. Res. Commun. 1992, 184, 765–772. [Google Scholar] [CrossRef]
- Alvi, K.A.; Rodríguez, J.; Diaz, M.C.; Moretti, R.; Wilhelm, R.S.; Lee, R.H.; Slate, D.L.; Crews, P. Protein tyrosine kinase inhibitory properties of planar polycyclics obtained from the marine sponge Xestospongia cf. carbonaria and from total synthesis. J. Org. Chem. 1993, 58, 4871–4880. [Google Scholar]
- Kobayashi, M.; Shimizu, N.; Kitagawa, I.; Kyogoku, Y.; Harada, N.; Uda, H. Absolute stereostructures of halenaquinol and halenaquinol sulfate, pentacyclic hydroquinones from the Okinawan marine sponge Xestospongia sapra, as determined by theoretical calculation of CD spectra. Tetrahedron Lett. 1985, 26, 3833–3836. [Google Scholar] [CrossRef]
- Roll, D.M.; Scheuer, P.J.; Matsumoto, G.K.; Clardy, J. Halenaquinone, a pentacyclic polyketide from a marine sponge. J. Am. Chem. Soc. 1983, 105, 6177–6178. [Google Scholar] [CrossRef]
- Takaku, M.; Kainuma, T.; Ishida-Takaku, T.; Ishigami, S.; Suzuki, H.; Tashiro, S.; van Soest, R.W.; Nakao, Y.; Kurumizaka, H. Halenaquinone, a chemical compound that specifically inhibits the secondary DNA binding of RAD51. Genes Cells 2011, 16, 427–436. [Google Scholar] [CrossRef]
- Shioda, M.; Kano, K.; Kobayashi, M.; Kitagawa, I.; Shoji, M.; Yoshida, S.; Ikegami, S. Differential inhibition of eukaryotic DNA polymerases by halenaquinol sulfate, a p-hydroquinone sulfate obtained from a marine sponge. FEBS Lett. 1994, 350, 249–252. [Google Scholar] [CrossRef] [Green Version]
- Xynas, R.; Capon, R.J. Two new bromotyrosine-derived metabolites from an Australian marine sponge, Aplysina sp. Aust. J. Chem. 1989, 42, 1427–1433. [Google Scholar] [CrossRef]
- Cimino, G.; De Rosa, S.; De Stefano, S.; Self, R.; Sodano, G. The bromo-compounds of the true sponge Verongia aerophoba. Tetrahedron Lett. 1983, 24, 3029–3032. [Google Scholar] [CrossRef]
- Kijjoa, A.; Bessa, J.; Wattanadilok, R.; Sawangwong, P.; Nascimento, M.S.J.; Pedro, M.; Silva, A.M.S.; Eaton, G.; van Soest, R.; Herz, W. Dibromotyrosine derivatives, a maleimide, aplysamine-2 and other constituents of the marine sponge Pseudoceratina purpurea. Z. Naturforsch. 2005, 60, 904–908. [Google Scholar] [CrossRef]
- Buchanan, M.S.; Carroll, A.R.; Wessling, D.; Jobling, M.; Avery, V.M.; Davis, R.A.; Feng, Y.; Hooper, J.N.A.; Quinn, R.J. Clavatadines C−E, guanidine alkaloids from the Australian sponge Suberea clavata. J. Nat. Prod. 2009, 72, 973–975. [Google Scholar] [CrossRef] [PubMed]
- Olatunji, O.J.; Ogundajo, A.L.; Oladosu, I.A.; Changwichit, K.; Ingkanina, K.; Yuenyongsawad, S.; Plubrukarn, A. Non-competitive inhibition of acetylcholinesterase by bromotyrosine alkaloids. Nat. Prod. Commun. 2014, 9, 1559–1561. [Google Scholar] [CrossRef] [PubMed] [Green Version]
- Fattorusso, E.; Minale, L.; Sodano, G.; Moody, K.; Thomson, R.H. Aerothionin, a tetrabromo-compound from Aplysina aerophoba and Verongia thiona. J. Chem. Soc. 1970, 12, 752–753. [Google Scholar] [CrossRef]
- Thoms, C.; Wolff, W.; Padmakumar, K.; Ebel, R.; Proksch, P. Chemical defense of Mediterranean sponges Aplysina cavernicola and Aplysina aerophoba. Z. Naturforsch. 2004, 59, 113–122. [Google Scholar] [CrossRef]
- König, G.M.; Wright, A.D. Agelorins A and B, and 11-epi-fistularin-3, three new antibacterial fistularin-3 derivatives from the tropical marine sponge Agelas oroides. Heterocycles 1993, 36, 1351–1358. [Google Scholar]
- Wang, Q.; Tang, X.L.; Luo, X.C.; de Voog, N.J.; Li, P.L.; Li, G.Q. Aplysinopsin-type and bromotyrosine-derived alkaloids from the South China Sea sponge Fascaplysinopsis reticulata. Sci. Rep. 2019, 9, 2248. [Google Scholar] [CrossRef] [Green Version]
- Hanssen, K.O.; Cervin, G.; Trepos, R.; Petitbois, J.; Haug, T.; Hansen, E.; Andersen, J.H.; Pavia, H.; Hellio, C.; Svenson, J. The bromotyrosine derivative ianthelline isolated from the Arctic marine sponge Stryphnus fortis inhibits marine micro- and macrobiofouling. Mar. Biotechnol. 2014, 16, 684–694. [Google Scholar] [CrossRef] [PubMed] [Green Version]
- Nicacio, K.J.; Ióca, L.P.; Fróes, A.M.; Leomil, L.; Appolinario, L.R.; Thompson, C.C.; Thompson, F.L.; Ferreira, A.G.; Williams, D.E.; Andersen, R.J.; et al. Cultures of the marine bacterium Pseudovibrio denitrificans Ab134 produce bromotyrosine-derived alkaloids previously only isolated from marine sponges. J. Nat. Prod. 2017, 80, 235–240. [Google Scholar] [CrossRef] [PubMed]
- Gopichand, Y.; Schmitz, F.J. Marine natural products: Fistularin-1, -2 and -3 from the sponge Aplysina fistularis forma fulva. Tetrahedron Lett. 1979, 41, 3921–3924. [Google Scholar] [CrossRef]
- Fattorusso, E.; Minale, L.; Sodano, G. Aeroplysinin-1, an antibacterial bromo-compound from the sponge Verongia aerophoba. J. Chem. Soc. Perkin Trans. 1 1972, 16–18. [Google Scholar] [CrossRef] [PubMed]
- Borders, D.B.; Morton, G.O.; Wetzel, E.R. Structure of a novel bromine compound isolated from a sponge. Tetrahedron Lett. 1974, 31, 2709–2712. [Google Scholar] [CrossRef]
- Florean, C.; Kim, K.R.; Schnekenburger, M.; Kim, H.-J.; Moriou, C.; Debitus, C.; Dicato, M.; Al-Mourabit, A.; Han, B.W.; Diederich, M. Synergistic AML cell death induction by marine cytotoxin (+)-1(R), 6(S), 1’(R), 6’(S), 11(R), 17(S)-fistularin-3 and Bcl-2 inhibitor venetoclax. Mar. Drugs 2018, 16, 518. [Google Scholar] [CrossRef] [Green Version]
- Mancini, I.; Guella, G.; Laboute, P.; Debitus, C.; Pietra, F.J. Hemifistularin 3: A degraded peptide or biogenetic precursor? Isolation from a sponge of the order Verongida from the coral sea or generation from base treatment of 11-oxofistularin 3. Chem. Soc. Perkin Trans. 1 1993, 3121–3125. [Google Scholar] [CrossRef]
- Teeyapant, R.; Woerdenbag, H.J.; Kreis, P.; Hacker, J.; Wray, V.; Witte, L.; Proksch, P. Antibiotic and cytotoxic activity of brominated compounds from the marine sponge Verongia aerophoba. Z. Naturforsch. 1993, 48, 939–945. [Google Scholar] [CrossRef]
- Koulman, A.; Proksch, P.; Ebel, R.; Beekman, A.C.; van Uden, W.; Konings, A.W.; Pedersen, J.A.; Pras, N.; Woerdenbag, H.J. Cytoxicity and mode of action of aeroplysinin-1 and a related dienone from the sponge Aplysina aerophoba. J. Nat. Prod. 1996, 59, 591–594. [Google Scholar] [CrossRef]
- Kreuter, M.H.; Leake, R.E.; Rinaldi, F.; Müller-Klieser, W.; Maidhof, A.; Müller, W.E.; Schröder, H.C. Inhibition of intrinsic protein tyrosine kinase activity of EGF-receptor kinase complex from human breast cancer cells by the marine sponge metabolite (+)-aeroplysinin-1. Comp. Biochem. Physiol. 1990, 97, 151–158. [Google Scholar] [CrossRef]
- Martínez-Poveda, B.; García-Vilas, J.A.; Cárdenas, C.; Melgarejo, E.; Quesada, A.R.; Medina, M.A. The brominated compound aeroplysinin-1 inhibits proliferation and the expression of key pro-inflammatory molecules in human endothelial and monocyte cells. PLoS ONE 2013, 8, e55203. [Google Scholar] [CrossRef] [Green Version]
- Kijjoa, A.; Watanadilok, R.; Sonchaeng, P.; Sawangwong, P.; Pedro, M.; Nascimento, M.S.J.; Silva, A.M.S.; Eaton, G.; Herz, W. Further halotyrosine derivatives from the marine sponge Suberea aff. praetensa. Z. Naturforsch. 2002, 57, 732–738. [Google Scholar] [CrossRef] [Green Version]
- Schmidt, E.W.; Donia, M.S.; McIntosh, J.A.; Fricke, W.F.; Ravel, J. Origin and variation of tunicate secondary metabolites. J. Nat. Prod. 2012, 75, 295–304. [Google Scholar] [CrossRef] [Green Version]
- Bracegirdle, J.; Robertson, L.P.; Hume, P.A.; Page, M.J.; Sharrock, A.V.; Ackerley, D.F.; Carroll, A.R.; Keyzers, R.A. Lamellarin sulfates from the Pacific tunicate Didemnum ternerratum. J. Nat. Prod. 2019, 82, 2000–2008. [Google Scholar] [CrossRef]
- Hayward, P.J.; Ryland, J.S. Cheilostomatous Bryozoa. Part I. Aeteoidea Cribrilinoidea; Field Studies Council: Shrewsbury, UK, 1998. [Google Scholar]
- Sharp, J.H.; Winson, M.K.; Porter, J.S. Bryozoan metabolites: An ecological perspective. Nat. Prod. Rep. 2007, 24, 659–673. [Google Scholar] [CrossRef] [PubMed] [Green Version]
- Bracegirdle, J.; Gordon, D.P.; Harvey, J.E.; Keyzers, R.A. Kinase-inhibitory nucleoside derivatives from the Pacific bryozoan Nelliella nelliiformis. J. Nat. Prod. 2020, 83, 547–551. [Google Scholar] [CrossRef] [PubMed]
- Guiry, M.D.; Guiry, G.M. AlgaeBase. Available online: http://www.algaebase.org (accessed on 16 February 2021).
- Kubanek, J.; Prusak, A.C.; Snell, T.W.; Giese, R.A.; Fairchild, C.R.; Aalbersberg, W.; Hay, M.E. Bromophycolides C-I from the Fijian red alga Callophycus serratus. J. Nat. Prod. 2006, 69, 731–735. [Google Scholar] [CrossRef] [PubMed] [Green Version]
- Lane, A.L.; Stout, E.P.; Lin, A.-S.; Prudhomme, J.; Le Roch, K.; Fairchild, C.R.; Franzblau, S.G.; Hay, M.E.; Aalbersberg, W.; Kubanek, J. Antimalarial bromophycolides J–Q from the Fijian red alga Callophycus serratus. J. Org. Chem. 2009, 74, 2736–2742. [Google Scholar] [CrossRef] [Green Version]
- Kubanek, J.; Prusak, A.C.; Snell, T.W.; Giese, R.A.; Hardcastle, K.I.; Fairchild, C.R.; Aalbersberg, W.; Raventos-Suarez, C.; Hay, M.E. Antineoplastic diterpene–benzoate macrolides from the Fijian red alga Callophycus serratus. Org. Lett. 2005, 7, 5261–5264. [Google Scholar] [CrossRef] [PubMed] [Green Version]
- Lin, A.S.; Stout, E.P.; Prudhomme, J.; Le Roch, K.; Fairchild, C.R.; Franzblau, S.G.; Aalbersberg, W.; Hay, M.E.; Kubanek, J. Bioactive bromophycolides R–U from the Fijian red alga Callophycus serratus. J. Nat. Prod. 2010, 73, 275–278. [Google Scholar] [CrossRef] [Green Version]
- Fu, P.; MacMillan, J.B. Thiasporines A–C, thiazine and thiazole derivatives from a marine-derived Actinomycetospora chlora. J. Nat. Prod. 2015, 78, 548–551. [Google Scholar] [CrossRef] [PubMed] [Green Version]
- Subramani, R.; Sipkema, D. Marine rare actinomycetes: A promising source of structurally diverse and unique novel natural products. Mar. Drugs 2019, 17, 249. [Google Scholar] [CrossRef] [Green Version]
- Celmer, W.D.; Tanner, M.H., Jr.; Lees, T.M.; Solomons, I.A. Characterization of the antibiotic thiolutin and its relationship with aureothricin. J. Am. Chem. Soc. 1952, 74, 6304–6305. [Google Scholar] [CrossRef]
- Jimenez, A.; Tipper, D.J.; Davies, J. Mode of Action of Thiolutin, an inhibitor of macromolecular synthesis in Saccharomyces cerevisiae. Antimicrob. Agents Chemother. 1973, 3, 729–738. [Google Scholar] [CrossRef] [PubMed] [Green Version]
- Tipper, D.J. Inhibition of Yeast Ribonucleic-Acid Polymerases by Thiolutin. J. Bacteriol. 1973, 116, 245–256. [Google Scholar] [CrossRef] [PubMed] [Green Version]
- Jia, Y.F.; Wu, S.L.; Isenberg, J.S.; Dai, S.J.; Sipes, J.M.; Field, L.; Zeng, B.X.; Bandle, R.W.; Ridnour, L.A.; Wink, D.A.; et al. Thiolutin inhibits endothelial cell adhesion by perturbing Hsp27 interactions with components of the actin and intermediate filament cytoskeleton. Cell Stress Chaperon 2010, 15, 165–181. [Google Scholar] [CrossRef] [PubMed] [Green Version]
- Duncan, R.A.; Vallier, T.L.; Falvey, D.A. Volcanic Episodes at ‘Eua, Tonga Islands’. In Geology and Offshore Resources of Pacific island Arcs-Tonga Region; Scholl, D.W., Vallier, T.L., Eds.; American Association of Petroleum Geologists: Houston, TX, USA, 1985; Volume 2, pp. 281–290. [Google Scholar]

Publisher’s Note: MDPI stays neutral with regard to jurisdictional claims in published maps and institutional affiliations. |
© 2021 by the authors. Licensee MDPI, Basel, Switzerland. This article is an open access article distributed under the terms and conditions of the Creative Commons Attribution (CC BY) license (https://creativecommons.org/licenses/by/4.0/).
Share and Cite
Taufa, T.; Subramani, R.; Northcote, P.T.; Keyzers, R.A. Natural Products from Tongan Marine Organisms. Molecules 2021, 26, 4534. https://doi.org/10.3390/molecules26154534
Taufa T, Subramani R, Northcote PT, Keyzers RA. Natural Products from Tongan Marine Organisms. Molecules. 2021; 26(15):4534. https://doi.org/10.3390/molecules26154534
Chicago/Turabian StyleTaufa, Taitusi, Ramesh Subramani, Peter T. Northcote, and Robert A. Keyzers. 2021. "Natural Products from Tongan Marine Organisms" Molecules 26, no. 15: 4534. https://doi.org/10.3390/molecules26154534
APA StyleTaufa, T., Subramani, R., Northcote, P. T., & Keyzers, R. A. (2021). Natural Products from Tongan Marine Organisms. Molecules, 26(15), 4534. https://doi.org/10.3390/molecules26154534

