Abstract
This review focuses on diaziridine, a high strained three-membered heterocycle with two nitrogen atoms that plays an important role as one of the most important precursors of diazirine photoaffinity probes, as well as their formation and transformation. Recent research trends can be grouped into three categories, based on whether they have examined non-substituted, N-monosubstituted, or N,N-disubstituted diaziridines. The discussion expands on the conventional methods for recent applications, the current spread of studies, and the unconventional synthesis approaches arising over the last decade of publications.
Keywords:
diaziridines; substituted diaziridines; diazirines; formation; synthesis; transformation; reactivity 1. Introduction
An important intermediate and precursor in organic chemistry, diaziridine [1] is a highly strained three-membered heterocycle with two nitrogen atoms [2]. The other excellent properties of diaziridine include a weak N–N bond, low toxicity, hydrazine aminal duality [3], and neurotropic activity [4]. Diaziridines, independently discovered by three research groups (Schmitz’s, Paulsen’s, and Abendroth and Henrich’s research groups) between 1958 and 1959, progressively achieved popularity in the field of chemistry over the two decades following these first publications [5]. Non-substituted diaziridine (diaziridine without any substituent on the nitrogen atom, 1) was developed as a reagent for a variety of oxidative transformations [6] and employed in the synthesis of carbene-mediated photoaffinity-labeled photophores of 3H-diazirines [7,8,9,10]. The trend of using diaziridine 1 as a precursor for the diazirine photoaffinity probe has been progressively updated until the present day, and a series of reviews have discussed it since the 2010s [7,11,12,13,14,15]. Although the chemistry of N-monosubstituted diaziridine 2 has not been studied as extensively as that of non-substituted diaziridine 1, there are examples documenting its application as an N-transfer reagent with α,β-unsaturated amides to form stereopure aziridines [16]. As for N,N-disubstituted diaziridine 3, these valuable heterocycles have also been used as a versatile reagent via selective C–N or N–N cleavage in organic synthesis, particularly their bicyclic analogues of 1,5-diazabicyclo[3.1.0]-hexanes, which possess a strained cis-N,N-disubstituted diaziridine fragment for 1,3-dipolar cycloaddition [17]. The advancements in substituted diaziridine with respect to its nitrogen atom(s) synthesis and applications have been summarized in several reviews [3,4,5,18,19,20]. On the basis of these excellent reviews, only a few studies have been fully dedicated to investigating the potential properties diaziridine with respect to its monocyclic synthetic methods [20] or its reactivity towards electrophilic reagents [5]. Here in this review, the scope is limited to the current formation and transformation of diaziridines. Then, the trends in these areas are simplified into three categories—non-, N-mono-, and N,N-disubstituted diaziridines (Figure 1)—in which the discussion describes recent conventional uses, the current field of studies, and unconventional approaches that have emerged over the last decade of publications.
Figure 1.
Structure of non-substituted diaziridine (1), N-monosubstituted diaziridine (2), N,N-disubstituted diairidine (3).
2. The Chemistry of Diaziridines
Three key approaches are known for the construction of monocyclic diaziridines 4, and these were summarized by Makhova et al. in their previous 2008 review of diaziridine (Figure 2) [20]. First, the reaction of primary aliphatic amines or ammonia 5 with the condensation products of carbonyl compounds 6 and aminating reagents. Second, the reaction of imines 7 (the condensation product of carbonyl compounds and primary aliphatic amines) is conducted with aminating reagent 8. Last, a three-component condensation reaction involving the carbonyl compound 9, primary aliphatic amines or ammonia 10, and aminating reagents (hydroxylamine-O-sulfonic acid (HOSA) or halo(alkyl)amine, 11). In addition, in their summary, Meijler et al. [7] emphasized that diaziridine synthesis as a precursor of 3-aryl-3-trifluoromethyl-3H-diazirine can start from the preparation of corresponding α,α,α-trifluoroacetophenone via oximation and tosylation (or mesylation)—the condensation products of carbonyl compounds 6—followed by the treatment of ammonia. In consequence, these known approaches can be described as the “conventional” synthesis methods that have generally been used for the synthesis of diaziridine up until the most recent past. The reactivity of diaziridine was then pursued in order to broaden the advanced applications of these three-membered heterocycles, with reactions that can take place with or without any ring cleavage [1], or the transformation of its unprotected form into respective diazirines through oxidation. Diaziridine transformation induced by electrophilic reagents started being studied in the early 1950s and these reactions are primarily associated with the steric strain of the diaziridine ring and the presence of its two nitrogen atoms [5].
Figure 2.
General construction of monocyclic diaziridines.
The rapid improvement in the quality of analysis instrumentation for experimental structure identification and detailed stereocenter has lead to the intensive study of the detailed structure determination of diaziridine. Experimental data regarding the structures of diaziridines are important for achieving deeper insight into the previously elucidated features of the diaziridine ring structure, in particular, for the comparison of its corresponding N-N or C-N bond length [21]. Recently, experimental data were obtained for the structural determination of N,N-disubstituted diaziridine [22] and its trisubstituted form, which possesses an additional alkyl group at position 3 [23,24], bis-diaziridine [25], and bicyclic diaziridine [26] derivatives by the method of gas electron diffraction. Most diaziridine derivatives are liquids; thus, the recent experimental determination of its structures on the basis of X-ray diffraction studies [21,27] has only been performed in a few cases. Investigation of conformational and configurational changes in order to understand the effect of the interconversion barrier on the steric hindrance of the diaziridine substituent has also been conducted using dynamic gas chromatography [28,29,30]. The identification of equilibrium (molecular) structures using joint analysis of gas phase electron diffraction, quantum chemistry, and spectroscopic data [25,26] is becoming a trend and has made diaziridine stereochemical study more visible. Table 1 summarizes the details of recent experimental structure identification studies of several diaziridine derivatives.
Table 1.
Recent experimental structure identification studies of diaziridine derivatives.
Since the strained ring compound exhibits high detonation performance when releasing a large amount of strain energy during ring opening, diaziridine properties were taken into consideration in this study. The design and theoretical investigation of a series of trinitromethane derivatives of diaziridines as candidates for high-energy-density materials were conducted [31]. A computational study of several properties of diaziridines was performed by using Density Functional Theory—B3LYP functional and the aug-cc-pVDZ basis set with the Gaussian 09 program. The formation heat, energetic properties, stability, impact sensitivity, and the calculation of vibrational frequency were studied, and it was found that the trinitromethane substituent was beneficial for enhancing the detonation properties. Among the diaziridines tested, 12 (Figure 3A) and 1-(trinitromethyl)diaziridine (13, Figure 3B) were confirmed to possess good potential as a high-density materials, possessing good detonation performance and higher stability.
Figure 3.
Structure of trinitromethane derivatives of diaziridine 12 (A) and 1-(trinitromethyl)diaziridine 13 (B).
3. Diaziridine Formation and Transformation
3.1. Non-Substituted Diaziridines
3.1.1. Conventional Method for Recent Uses
The concept of using the conventional method for the advanced synthesis and application of diaziridines that are non-substituted at their N-terminal started with the use of a programmable batch of synthesis robots to design and develop a diazirine-based photoreactive compound [32]. This recent study mimicked the manual organic synthesis workflow by first synthesizing the 3H-diazirine-based crosslinker that mediates the formation of diaziridine from ketone. The automatization was constructed through the addition of methanol-NH3 and NH2OSO3H to the ketone, filtration and evaporation of the resulting diaziridine, all followed by the formation of 3H-diazirine by an I2-Et2O system at low temperature, ready for the next reaction process. The feasibility of the robotic synthesis workflow is possibly due to the convenient formation of diaziridine as an intermediate for the synthesis of diazirine, which can be formed using commercial starting materials and universal reagents. Therefore, the recent automatization of the conventional method for synthesis of 3H-diazirine broadens the potential of the formation of diaziridine as an intermediate for advanced uses.
The reactivity of non-substituted diaziridines towards oxidants for the feasible synthesis of 3H-diazirines expands its applicability as an important intermediate. In a study exploring the process of Pd(0)-catalyzed cross-coupling of diazirines with aryl halides assisted by microwave irradiation [33], 3-methyl-3-(p-tolyl)diaziridine 14 was employed for the Pd(0)-catalyzed cross-coupling with 4-bromotoluene 15—resulting in the product 4,4’-(ethene-1,1-diyl)bis(methylbenzene) 16—under oxidative conditions following the addition of Ag2O as an oxidant (Scheme 1). The Pd(0)-catalyzed cross-coupling is the first example of a transition-metal-catalyzed reaction of diazirines supported by combination with the conventional oxidation of diaziridine, and significantly expands the chemistry of three-membered heterocycles.
Scheme 1.
Oxidative Pd(0)-catalyzed cross-coupling of 3-methyl-3-(p-tolyl)diaziridine with aryl halides. Reagents: (i) Pd2(dba)3, Xphos (2-dicyclo-hexylphosphino-2′,4′,6′-triisopropylbiphenyl), Et3N, Ag2O, DCE.
In continuation of the oxidation of diaziridine followed by oxidation into diazirine, it is possible to construct the 15N—15N moiety when synthesizing the three-membered heterocycle diazirine (Figure 4). The conventional transformation of ketone 17 into diaziridine 18 can result in the formation of 15N2-diazirine 19 molecular tags—hyperpolarized heteronuclei—contained in the diazirine moiety, supporting its potential as a molecular tag for NMR and MRI [34,35]. The readily oxidized 15N2-diaziridine 18 was possible to synthesize using 15NH3 and 15N-labeled hydroxylamine O-sulfonic acid (15NH2OSO3H), whereby the common I2-Et3N system was used for the formation of the final 15N2-diazirine product. Although the overall yield achieved for the synthesized 15N2-diazirine molecular tag was less than 50%, this is sufficient for further modification and analysis. Therefore, the development of subsequent utilizations of this isotope-labeled compound is to be expected.
Figure 4.
N2-diazirine molecular tags synthesis via 15N2-diaziridine oxidation by conventional system. Reagents: (i) 15NH3 (ii) 15NH2OSO3H; (iii) I2, Et3N; (iv) I2 then TsCl.
The synthesis of spirocyclic 3H-diazirine-containing building blocks has been discussed in the literature to a lesser extent [36]; however, it can potentially be employed to probe underexplored parts of proteome with libraries derived from structurally similar scaffolds of the parent’s analogues [13,14,37]. Currently, spirocyclic 3H-diazirines can be found in steroid [38,39,40], proline [41,42], the simplified structure of chamuvarinin [43] analogues, and 1,5-disubsituted tetrazoles containing 3H-diazirine [44]. In a process with fewer steps, the crude diaziridine formed using the conventional method can be used directly for the synthesis of functionalized spirocyclic 3H-diazirine without using the chromatographic technique [36]. The transformation of the five- to seven-membered heterocycle or bicycle ketone 20 (Figure 5A) into diazirine 21 via NH3 and NH2OSO3H can be used for the formation of diaziridine 22, when subjected to an I2-Et3N system after filtration and concentration. Despite the use of the conventional NH2OSO3H as a reagent for the formation of diaziridine as an intermediate, four-membered heterocyclic 3H-diazirine 23 can be achieved by the sequential formation of oxime 24 from ketone 25 and O-sulfonylation for the formation of diaziridine 26, followed by oxidation into diazirine 23 (Figure 5B). This method is commonly used for the synthesis of 3-phenyl-3-(trifluoromethyl)-3H-diazirine (TPD) instead of spirocyclic (aliphatic skeleton) 3H-diazirine. Both conventional methods can be used to achieve scles of up to 50 g when synthesizing functionalized spirocyclic 3H-diazirine mediated by diaziridine formation. By using this one-pot approach, two types of spirocyclic compounds (compound 47g–h, Table 2, Entries 7–8) can also be successfully synthesized, and will be discussed in next section.
Figure 5.
Diaziridine-mediated functionalized spirocyclic 3H-diazirine synthesis. (A) Five- to seven-membered heterocycle or bicycle ketone 20 as starting material. (B) Four-membered heterocycle ketone 25 as starting material. Reagents: (i) NH3-MeOH then NH2OSO3H, (ii) I2-Et3N, (iii) NH2OH·HCl and MeOH, (iv) Mesyl chloride or tosyl chloride and Et3N, (v) NH3, (vi) I2 and NaHCO3.
An ambient light stabile-favored photoaffinity labeling probe comprising 3-pyridyl- and 3-pyrimidyl-substituted 3-trifluoromethyl-diazirines 27 [45] was synthesized from alcohols 28, which directly transformed into an important scaffold representative, ketone 29 (Scheme 2). The replacement of the phenyl group with an electron-withdrawing pyridine or pyrimidine ring indicates that there were no obstacles during the sequential process of oxime formation and O-sulfonylation for diaziridine 30 formation. The conventional methods offered by the study showed that the 3-pyridyl- and 3-pyrimidyl-substituted 3-trifluoromethyl-diaziridines were stable and could be readily oxidized into diazirine 27 with Ag2O-ether system.
Scheme 2.
Syntheses of 3-pyridyl- and 3-pyrimidyl-substituted 3-trifluoromethyl-3H-diazirines 27. Conditions: (i) 1. TBS-Cl or TBDPS-Cl, imidazole, DCM, RT, 16 h, 2. n-BuLi, ether, 3. methyltrifluoroacetate, ether, 4 h; (ii) 1. NH2OH.HCl, AcONa, ethanol, reflux, 16 h, 2. pyridine, DMAP, Ts2O, DCM, 0 °C to RT or DIEA, DMAP, TsCl, DCM, −50 °C to 0 °C; (iii) liquid NH3, ether, 16 h; (iv) 1. Ag2O, ether, 2–16 h, 2. TBAF, THF, RT, 2 h.
The novel asymmetric synthesis of trifluoromethyldiazirine-based lactisole derivatives 31 occurs as a result of the preparation of trifluoroacetyl modified on the aromatic ring of lactisole, which then introduces the diazirinyl three-membered ring on the trifluoroacetyl group [46]. However, to synthesize the starting material, advanced methods are required; since the 2-, 3-, and 4-trifluoroacetyl lactisole derivatives 32 (Scheme 3) need to consider the optical retention of the protected lactate counterpart, the conventional diazirine 31 construction via diaziridine 33 formation can be easily conducted, starting with oximation with hydroxylamine hydrochloride, tosylation for the hydroxyl group of oxime, diaziridine formation with liquid ammonia, and a final step of oxidation with activated MnO2 to obtain diazirine. The chiral center configuration was checked for every step, and asymmetric 2-, 3-, and 4- trifluoromethyldiazirine-based lactisole 31 were able to be synthesized with fine yields.
Scheme 3.
Synthesis of 2-, 3- and 4-trifluoromethyl diazirinyl lactisole derivatives 31. Conditions: (i) NH2OH-HCl, pyridine, EtOH, 60 °C, 12 h then tosyl chloride, DMAP, CH2Cl2, rt, 45 min; (ii) NH3 (l), Et2O, rt, 12 h; (iii) MnO2, CH2Cl2, rt, 2 h.
3.1.2. Diaziridine as an Intermediate for “Minimalist” into “All-in-One” 3H-Diazirine
The term “minimalist” aliphatic diazirine-based probe for photoaffinity labeling was popularized by Yao’s group in 2013 [47], and while it was describes as “minimalist” diazirine linkers in a recent review [48]. The first generation [47] of so-called “minimalist” diazirine-based linkers was able to minimize the interference towards target binding and was built upon an alkyl diazirine and a terminal alkyne connected by short aliphatic chains [47,49,50]. These “minimalist” linkers 34 were made possible by synthesized representative aliphatic ketone containing alkyne 35, which had previously been transformed from ethyl acetoacetate 36 as the starting material (Scheme 4A). The minimum length was limited to 2 carbons on both sides of the diazirine moiety in the linker in order to enable the linker to possess different functional groups and to prevent any side reaction during the requisite NH3/NH2SO3H step in diaziridine 37 formation. Subsequently, the first-generation “minimalist” diazirine linker’s 34 alkyne terminal was changed into cyclopropenes, which are similar in size, by rhodium-catalyzed reaction of α-diazo esters with alkynes, which have since been claimed to be the second generation of minimalist linkers [51,52].
Scheme 4.
Diaziridine as intermediate for (A) “minimalist” 34; (B) fluorinated “minimalist” 43; (C) “all-in-one” 44 3H-diazirine. Reagents: (i) NH3-NH2SO3H, (ii) I2-Et3N or I2-Et3N and MeOH, (iii) n-BuLi, THF-ether (2:1), (iv) NH2OH, HCl, pyridine or ethanol, (v) tosyl chloride, pyridine or CH2Cl2 or DMAP, then NH3, Et2O or CH2Cl2, (vi) Ag2O-Et2O, (vii) (COCl)2, DMSO, CH2Cl2, then Et3N.
The strategy for the adjustment of fluorine into the “minimalist” aliphatic diazirine linker can be initiated by the reaction of ester 38 and monobromodifluoroalkyne 39 in order to form an equimolar mixture of difluoroketone 40 along with in situ formation of its hydrate 41, depending on the electrophilicity of the difluoroketone (Scheme 4B). This 1:1 mixture is then treated with hydroxylamine, followed by tosyl chloride in pyridine and ammonia in sequence [53], thus forming difluorodiaziridine 42 as an intermediate prior to oxidation with the I2-Et3N system, which results in 3H-diazirine 43. From this approaches, the trend of “minimalist” diazirine-based compounds has shifted towards: (1) the synthesis of aliphatic 3H-diaziridine via activation of tosyl oxime formation, in contrast to the conventional methods; and (2) addition of difluoro moiety into the “minimalist” diazirine-based compounds as an approach to mimicking the superior stability and selectivity [54] of 3-phenyl-3-(trifluoromethyl)-3H-diazirine (TPD).
The compact, “all-in-one” structure of the diaziridine-mediated radioisotope-free photoaffinity labeling probe can be categorized as a “minimalist” aliphatic 3H-diazirine that includes the aromatics, as well as the addition of the fluorine moiety. The parts of the “all-in-one” photoaffinity labeling probe comprise a diazirine as a photo-crosslinker (a carbene-generating group), a fluorinated carbon at the aliphatic 3H-diazirine side chain of the aromatics for mimicking TPD, and an alkyne [55] or azide [56] as a tag for the attachment of a detectable group via bioorthogonal click chemistry. “All-in-one” 3H-diazirine 44 containing both alkyne and azide are constructed from representative ketone 45 containing aromatics, fluorine moiety, and alkyne or azide terminal in advance, before transformation into the diaziridine 46 intermediate via tosyl oxime formation. The Swern oxidation—dimethylsulfoxide and oxalyl chloride followed by the addition of triethylamine—can be used for the oxidation of the diaziridine 46 intermediate instead of Ag2O-Et2O, resulting in the “all-in-one” 3H-diazirine 44 (Scheme 4C).
Table 2.
Diaziridine in-situ formation in one-pot aliphatic 3H-diazirine 48 syntheses.
3.1.3. In Situ Formation of Diaziridines in One-Pot Synthesis of 3H-Diazirine
The dehydrogenation of the NH–NH bond in aliphatic diaziridine is a crucial transformation for generating the N=N double bond that acts as the main skeleton of aliphatic 3H-diazirine [57]. In the conventional method, different oxidants, including silver oxide or iodine in the presence of triethylamine, are introduced in order to transform diaziridines into 3H-diazirine following the removal of the ammonia [14,58,59,60]. Diaziridines are basic and form salts, and in several cases, the pure form of diaziridines can be difficult to isolate [59]. During the synthesis of 3H-diazirine as a photoaffinity labeled-based photophore, 3H-diazirine can be readily used for the further post-functional synthesis of the corresponding probe [8], and “bypassing” the prior synthesis steps of 3H-diazirine is the ideal way to run. Thus, the strategy for the current development of 3H-diazirine synthesis is the in situ formation of diaziridine, and approaches for one-pot synthesis of 3H-diazirine take advantage of this more comprehensive method.
Aliphatic diaziridine is generally synthesized from ketone treated with liquid ammonia to form the imine, followed by reaction with hydroxylamine-O-sulfonic acid (HOSA, NH2OSO3H), enabling intramolecular cyclization to the diaziridine. The addition of a base to the synthesis process of conventional aliphatic diaziridine from aliphatic ketone can provide the direct dehydrogenation of the in situ formed diaziridine into 3H-diazirine. The alternative method for dehydrogenation of hydroazobenzene, combining the least expensive bulk chemicals of liquid NH3 as a solvent and the readily available tBuOK system as a base, could be applied for the dehydrogenation of diaziridine [57]. Following this improvement, the use of base that can be easily handled and stored, as well as being highly available, such as KOH could enable gram-scale production [58]. Table 2 (Entries 1–8) shows the representative in situ formation of diaziridine 47a–h for the synthesis of 3H-diazirine 48. Kinetic study of the KOH-mediated direct transformations of diaziridine 47f into 3H-diazirine 48 (Table 2, Entry 6) based on 1H-NMR analysis indicated that diaziridine possessed appropriate reactivity for ready transformation into 3H-diazirine [58]. When adding HOSA to liquid ammonia in ketone at room temperature for 12 h, the corresponding diaziridine 47f (Table 2, Entry 6) was detected, as well as a trace amount of its 3H-diazirine form. Upon further treatment with KOH for 2 h, the 3H-diazirine was dramatically improved, indicating that diaziridine, as a precursor, can be converted directly, with the detection of no other by-products.
A carbene precursor, 3-phenyl-3-(trifluoromethyl)-3H-diazirine (TPD) derivatives are known for their ability to not promote cell death in the generation of active species in in vitro photoaffinity experiments [8]. Unlike the conventional synthesis of 3H-diazirine from diaziridine as an intermediate, the multistep reaction of TPD derivatives is performed from a phenyl trifluoromethyl ketone, which is transformed into the active species tosyl oxime, which is treated with an ammonia-Et2O solution at −78 °C, then brought to room temperature to allow the formation of diaziridine, which is oxidized with the I2-Et3N system as a final step to result in TPD [7,14,54]. Since the treatment of TPD after oxidation is time-consuming and yield-diminishing, the inevitable isolation of diaziridines can be skipped by using an alternative one-pot synthesis starting from tosyl oxime [61].
The treatment of tosyl oxime 49 with conventional reagents, depending on the temperature and the reaction time, can result in the formation of diaziridine 50 and/or its direct transformation into 3H-diazirine 51 [61]. The proposed mechanism for the transformation of tosyl oxime into diaziridine in past decades described the formation of the intermediate gem-diamine [62] following attack by NH3, and by removing the tosyl group and the proton, diaziridine is formed [61]. The current developments suggest that the neceesity of using liquid ammonia for the generation of NH2− species can elongate the deprotonation of diaziridine to form diazirine. The self-ionization of liquid NH3 into NH2− species seems crucial for this reaction, as demonstrated by the search for additives to increase this species, which has determined in studies that LiNH2 is superior to the inhibitor of NH4Cl (Figure 6). It should be noted that diaziridine formation is crucial, and the aim to achieve diaziridine isolation by removing the ammonia from the reaction, in terms of the conventional method, overlooks the important involvement of ammonia in the transformation of diaziridine 50 into 3H-diazirine 51 using tosyl oxime 49 as the starting material.
Figure 6.
Diaziridine 50 formation in one-pot approaches for synthesis of 3-phenyl-3-(trifluoromethyl)-3H-diazirine (51, TPD) from tosyloxime 49.
In order to broaden the applications of diaziridine-intermediated 52, and the one-pot synthesis TPD 54 from tosyl oxime 53, there are several viable substituents in the aromatic moiety of the starting material. Optically pure (trifluoromethyl)diazirinylphenylalanine ((Tmd)Phe) has been used as important building block in synthesis involving tosyl oxime as a precursor following the one-pot reaction method [61]. Method A prolongs the optical retention of (Tmd)Phe 55 and 56, while the addition of LiNH2 in Method B results in the racemization of the product 55. (Tmd)Phe 57, deuterated at the aromatic moiety, was synthesized via Method A, and its optical activity was retarded. Furthermore, the synthesis of 3-nitro 58 or 3-aminol 59 and 3-/4-methyl TPD 60–61 for the construction of phenylthiourea derivatives [63] and saccharin derivatives [64], respectively, using a one-pot (method A or B) system resulted in an almost quantitative yield compared with the conventional stepwise Method C (Figure 7).
Figure 7.
Comparison of conventional methods and the one-pot system for the synthesis of 3-phenyl-3-(trifluoromethyl)-3H-diazirine 54 (TPD) from tosyl oxime 53. a Method A: NH3 (l), 80 °C. b Method B: NH3 (l), LiNH2, rt. c Method C: NH3, Et2O, rt (Conventional).
3.1.4. Improved Method for the Synthesis of 3-[3-(Trifluoromethyl)-3H-diazirin-3-yl]aniline Derivatives
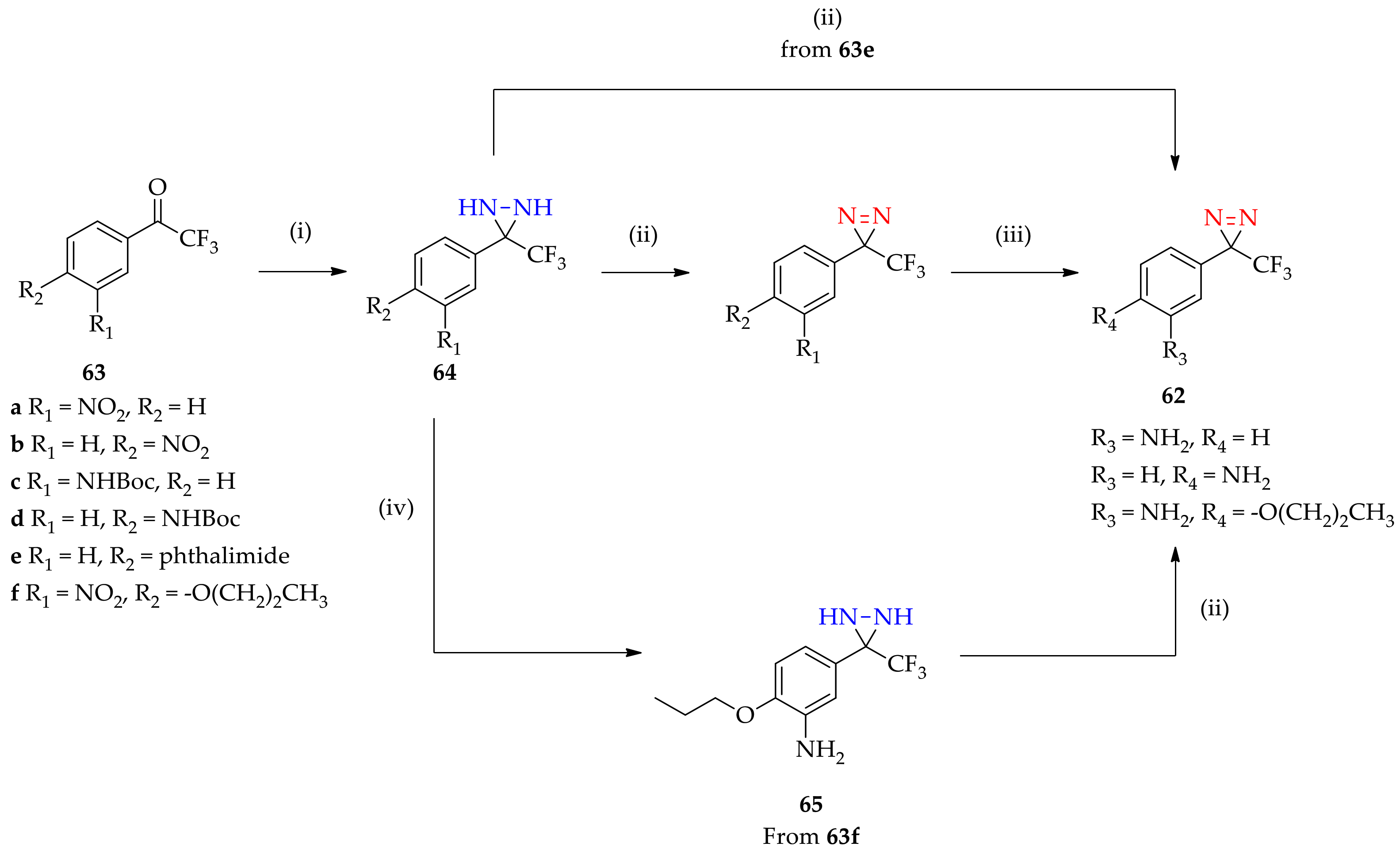
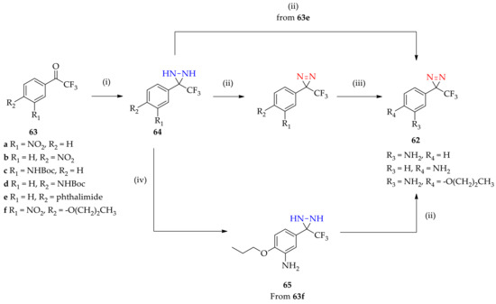
The needs of the aniline skeleton as a precursor for the multistep synthesis of the 3-phenyl-3-(trifluoromethyl)-3H-diazirine-based photoaffinity labeling probe faces an obstacle with respect to obtaining high overall yields. Studies describing the synthesis methods employed in previous decades [65,66,67,68] provide limited experimental details or analytical data; thus, it has become necessary to improve on these methods. In a brief (Figure 8), recent study has successfully synthesized 3-[3-(trifluoromethyl)-3H-diazirin-3-yl]aniline 62 with excellent yield through the reduction of nitrobenzene derivatives following the formation of 3H-diazirine 63a–b [63] or the protection of the amino group from undergoing 3H-diazirine formation, followed by its deprotection, resulting in 63c–e [63,69]. This new improvement showed that it is preferable to protect the amino group at the 3-position with —Boc (63c), enabling convenent acidic deprotection after 3H-diazirine formation [63,69]. Meanwhile, the amino group at the 4-position can be subjected to two types of protecting group (—Boc 63d or —phthalimide 63e), and in the case of —phthalimide group (63e), this protecting group can be directly oxidized in conjunction with the diaziridine 64 moiety by MnO2-CH2Cl2 into a final product of 3-[3-(trifluoromethyl)-3H-diazirin-3-yl]aniline derivative 62 [63].
Figure 8.
Improved method of NH2-substituted 3-phenyl-3-(trifluoromethyl)-3H-diazirine 62. Reagents: (i) 1. NH2OH-HCl, pyridine or EtOH; 2. TsCl, Et3N, acetone or DMAP; 3. NH3, Et2O or CH2Cl2, (ii) MnO2, CH2Cl2 or Et2O, or with I2-Et3N, MeOH, (iii) TFA, CH2Cl2, or Fe, EtOH, HCl, or NaSH, EtOH, or HCl, dioxane, or PPh3, THF-H2O, (iv) Na2S2O4/THF, EtOH, H2O.
A few studies have performed the final step of forming the 3-[3-(trifluoromethyl)-3H-diazirin-3-yl] aniline derivatives from nitrobenzene derivatives through the reduction of the nitro moiety in sodium dithionite [68,70]. During the synthesis of photoreactive 2-propoxyaniline derivatives as artificial sweeteners [71], the reduction by sodium dithionite after 3H-diazirine formation did not take place, and the diazirinyl moiety was unable to tolerate this condition, causing decomposition to occur. A possible route for this was diaziridine 65 formation following reduction with sodium dithionite (Figure 8). A moderate yield was obtained without breaking the diaziridinyl moiety, and validated the essential aspects of diaziridine formation, enabling a better understanding of the improved method for NH2-substituted 3-phenyl-3-(trifluoromethyl)-3H-diazirine 62.
3.1.5. Expansion of Fluorous 3H-Diaziridine as a Basis for 3H-Diazirine Application
A new fluorous 3H-diazirine-based photoaffinity labeling probe taking advantage of fluorous chromatography and fluorous solid phase extraction was developed. These techniques aim to retard fluorinated compounds on fluorinated silica gel, while all other organic material is washed off the column with the appropriate organic mobile phase. A new fluorous 3H-diaziridine-based photoaffinity labeling probe, with a longer perfluoroalkyl residue substituted for the trifluoromethyl group in the non-radioactive photoaffinity labeling probe, can be synthesized starting from the transformation of perfluoroalkylated ketone 66 (perfluorobutyl and perfluorooctyl (Figure 9A) [72]) into diaziridine 67 through the conventional approach of oxime formation, tosylation, and treatment with liquid ammonia. The temporary silylation of the diaziridine moiety of compound 68 was performed by means of trimethylsilyl triflate, bromide–lithium exchange, and carboxylation with carbon dioxide for the conversion of benzoic acid. The final product was observed after the oxidation of diaziridine 68 into diazirine 69 with I2−Et3N. Prior to the study reporting the perfluoroalkylated 3H-diaziridine-based photoaffinity labeling probe, the perfluoropropyl and perfluorohexyl [73] residues had also been studied using the conventional approach, starting from the modification of perfluoroalkylated ketone 70 to result in diaziridine 71, which can readily be oxidized to 3H-diazirine 72 (Figure 9B).
Figure 9.
Perfluoroalkylated aryldiazirine synthesis: (A) perfluorobutyl and perfluorooctyl residue 69. (B) perfluoropropyl and perfluorohexyl residue 72. Conditions: (i) 1. NH2OH.HCl, pyridine, EtOH, 60 °C or 85 °C, 2. p-TsCl, DMAP, Et3N, CH2Cl2, 0 °C to r.t., 3. NH3(l), CH2Cl2 or EtOH, −78 °C to r.t., 16 h; (ii) Me3SiOTf, Et3N, CH2Cl2, −78 °C to r.t.; (iii) 1. nBuLi, THF, 2. CO2, −78 °C to r.t., 3. H2O, (iv) I2, Et3N, MeOH, r.t., (v) TBAF, THF, rt, 1 h.
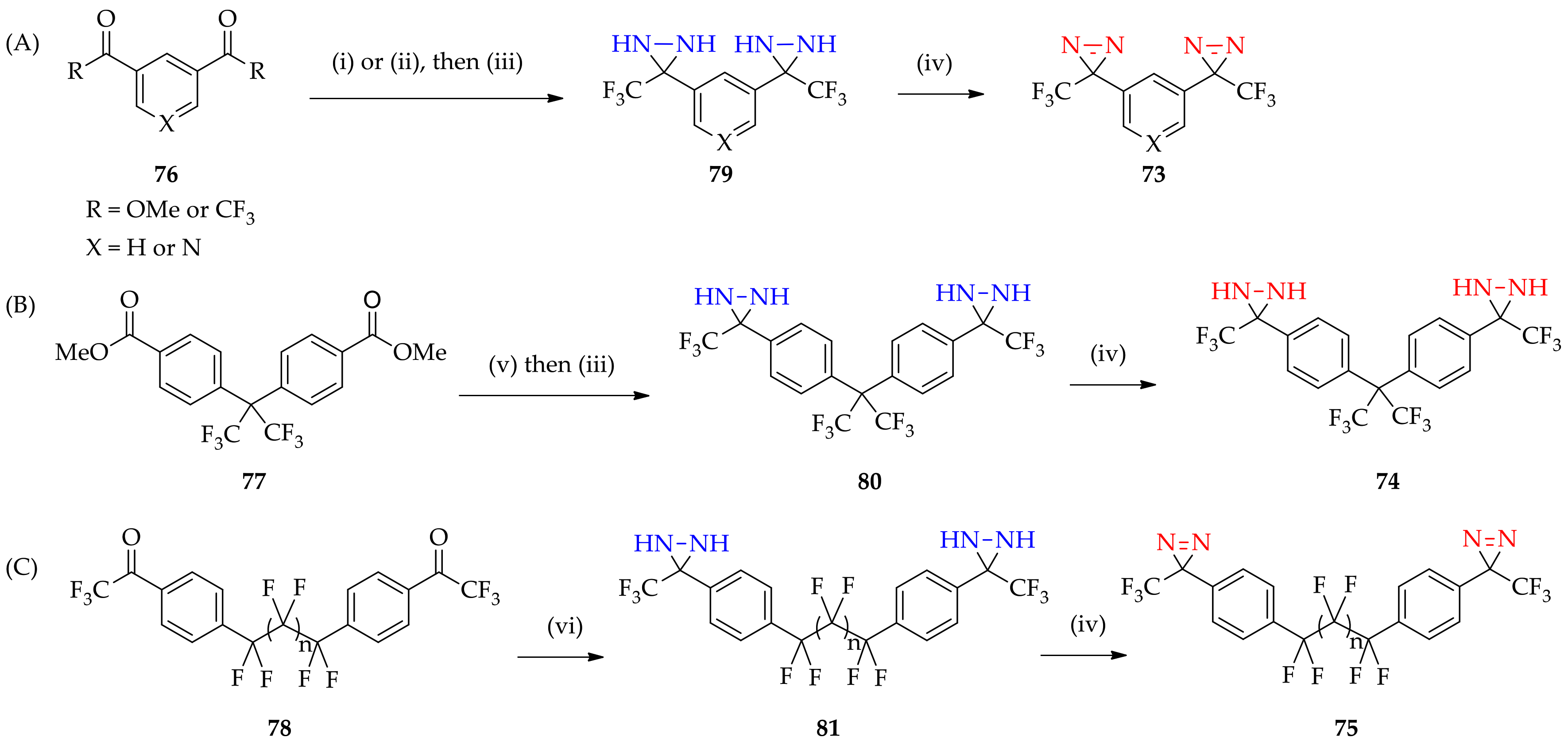
Diazirine-based crosslinkers (synthesized from the counterpart diaziridine) have been explored due to their ability to act as carbene-generating reagents. Since the 3-trifluoromethyl 3H-diazirine can be photoreactivated with light at 350 nm to generate carbene, this photophore is categorized as a high reactive species, and is able to rapidly form crosslinks to biomolecules with short photoirradiation times [8]. This universal crosslinker for aliphatic polymers, the simple bis-diazirine reagent, contains the known compound 1,3-bis(3-(trifluoromethyl)-3H-diazirin-3-yl)benzene or its pyridyl analog 73, which is volatile, and is prone to explosion (Figure 10A) [74]. Thus, the bis-diazirine crosslinker was improved by the addition of an electron-deficient linker at the para position of diazirine compound 74 [74], which can be handled under ambient conditions, preventing any self-reaction due to the absence of any aliphatic C-H bonds (Figure 10B). The so-called second-generation bis-diazirine 75 is an elongated perfluoroalkylated chain inspired by the first-generation bis-diazirine 74 [75]. The highly fluorinated bis-diazirines designed in the study can be developed into a flexible covalent adhesive (Figure 10C). The simple 1st-generation and 2nd-generation bis-diazirines are highly useful as crosslinkers for a broad range of feasible synthesis applications applications starting from representative ketone 76–78 into diaziridine 79–81, which can be directly oxidized by the I2−Et3N system.
Figure 10.
Fluorous 3H-diazirine-based crosslinker: (A) Simple bis-diazirine 73, (B) 1st generation bis-diazirine 74, (C) 2nd-generation bis-diazirine 75. Conditions: (i) 1. NH2OH.HCl, EtOH, reflux, 2 h, 2. NaOH(aq), reflux, 2 h, (ii) 1. TMSCF3, TBAF, DCM, 2. NH2OH.HCl, NaOH, EtOH/H2O, reflux, 2 h, (iii)TsCl, NEt3, DMAP, DCM, 0 °C, then NH3(l), DCM, −78 °C to r.t, (iv) I2, NEt3, DCM, 0 °C, (v) 1. TMSCF3, TBAF, THF, −10 °C to r.t. 2. NH2OH.HCl, EtOH, reflux, 2 h, (vi) 1. NH2OH.HCl, 2. p-TsCl, NEt3, 3. NH3(l), −78 °C to r.t.
3.1.6. Unconventional Non-Substituted Diaziridine Synthesis Approaches
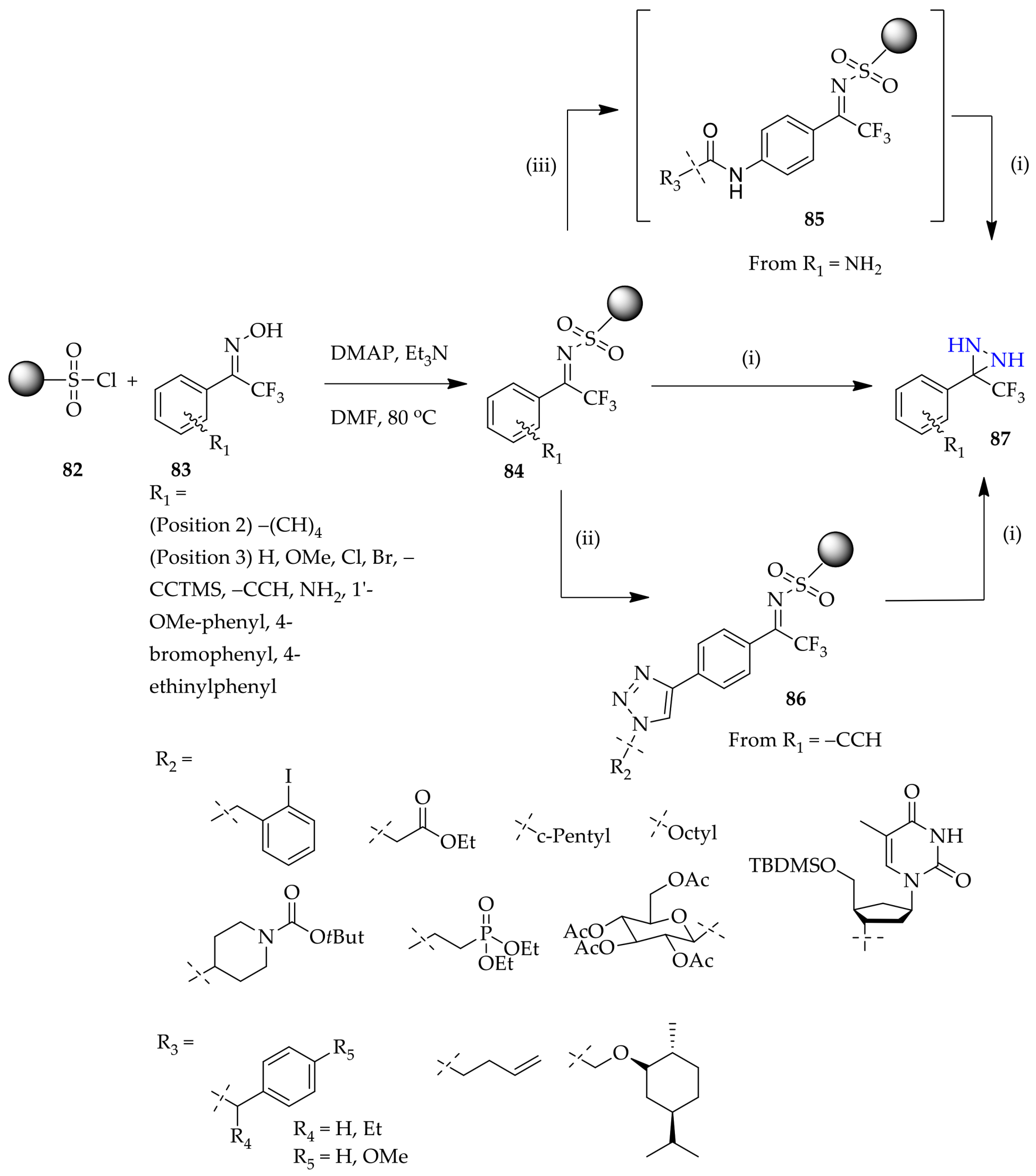
Recently, there have been two methods that have taken advantage of the conventional concept and turned it into brand new approaches to developing diaziridine synthesis. The first is the use of resin-bound sulfonyl oximes for the synthesis of 3-trifluoromethyl-3-phenyldiaziridine [76]. A commercially available polystyrene–sulfonyl chloride 82, used as an equivalent to replace the common reagents mesyl or tosyl chloride, was previously reacted with oxime 83 to provide the desired solid-supported sulfonyl oxime. The conventional-like active species sulfonyl oxime 84–86 were then transformed by ammonia/dioxane solution to obtain a set of substituted diaziridines 87. The presence of the trifluoromethyl group has a role in the cleavage of the immobilized sulfonyl oxime precursors from their solid supports, therefore allowing good results for diaziridine 87 formation. The compatibility of the immobilization and cleavage protocols in this method was tested with several aromatic building blocks and alkyne groups (Figure 11). An optical retention study of the optical active-aromatic substituents or building blocks remains to be performed for this method in the future.
Figure 11.
Synthesis of diaziridines 87 via unconventional resin-bound sulfonyl oxime 82 reagent. Reagents: (i) NH3-dioxane; (ii) R2-N3, CuI, DIPEA, DMF, H2O; (iii) R3-COCl, Et3N or R3-CO2H, DIC, HOBt.
The second unconventional method is the ammonia-free synthesis of 3-trifluoromethyl-3-phenyldiaziridine 88 [77]. The study started with the preparation of trifluoromethyl phenyl imines 89 using lithium bis(trimethylsilyl)amide [78] into trifluoromethyl phenyl ketone 90, resulting in N-TMS-ketimine 91 (Figure 12). The solvolysis of this N-TMS-ketimine with methanol provides the representative imine for direct diaziridine formation. Since the use of the conventional reagent HOSA, which acts as the O-sulfonyl hydroxylamine source, did not yield the desired diaziridine product due to the reduced nucleophilicity of the amine function of the formd zwitterions, this study therefore then reacted p-toluenesulfonyl hydroxylamine with trifluoromethyl phenyl imines 89 as an advanced ammonia-free methodology for the synthesis of diaziridine 88 (Figure 12). The ammonia-free synthesis was carried out in significantly fewer reaction steps and with less purification of the intermediate compared to the multiple overnight steps of the conventional method. Various 3-trifluoromethyl-3-phenyldiaziridine derivatives can be explored for further study based on ammonia-free methods, despite the difficulty of synthesizing the imine intermediate. In addition, both of the unconventional methods described here successfully oxidized the resulting 3-trifluoromethyl-3-phenyldiaziridine into representative diazirine using the common oxidation reagents MnO2 [76] or Ag2O [77].
Figure 12.
Synthesis of diaziridine 91 via unconventional reagents in an ammonia-free method. Reagents: (i) LiN(TMS)2 in THF, toluene; (ii) methanol; (iii) p-toluenesulfonyl hydroxylamine in THF; (iv) piperidine.
3.2. N-Monosubstituted Diaziridines
3.2.1. Conventional Method for Recent Uses
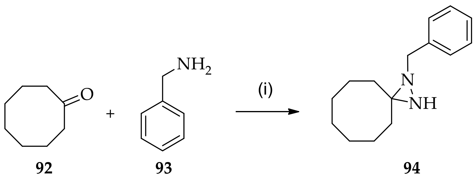
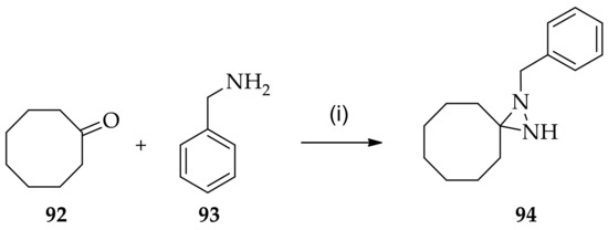
In general, conventional methods for the synthesis of diaziridines with HOSA have been performed in various solvents, such as water [79], methanol [80], or pure liquid ammonia [81]. When conventional methods were used for the reaction of cyclooctanone 92, benzylamine 93, and HOSA, the corresponding bicyclic diaziridine, 1,2 diazaspiro[2,7]decane 94 (Figure 13), was produced with quite a low yield (~20%) [81]. In order to achieve a better understanding of this, the solvent dependency of the N-monosubstituted diaziridine 94 yield was studied by means of GC–MS [82]. The highest yield of the product N-monosubstituted diaziridine 94 (~42%) corresponded to the use of an apolar aprotic solvent, such as cyclohexane or toluene.
Figure 13.
Solvent dependency of N-monosubstituted diaziridine 94. Conditions: (i) HOSA, rt, 3 h, solvent (pentane, hexane, dichloromethane, cyclohexane, toluene, acetonitrile, diethyl ether, tetrahydrofuran, methyl tert-butyl ether, ethyl acetate, methanol, ethanol, isopropyl alcohol, 1-butanol, 1,4-butanediol).
The reactions of nucleophilic diaziridines with electrophilic alkynes were established decades ago [83], and by means of the 15N-labeling experiment, it was shown that the mechanism of the reaction could be assumed to involve the initial addition of an alkylated nitrogen atom (N-monosubstituted diaziridine counterpart) to provide an intermediate that could subsequently undergo ring-opening and proton transfer, resulting in the adduct product [84]. The trapping reaction resulted in thermally generated benzyne species 95a–f with heteroatom-rich diaziridine 96 leading to N-arylated hydrazones 97a–f in a single step, while these could be converted into fused-ring indole derivatives 97c–e in some cases (Scheme 5). The conventional method for the synthesis of diaziridines has been used in recent years to form N-ethyl diaziridine 98a in quantitive yield from the reaction of 2-adamantane-2,3-[3H]-diazirine 99 with alkyl Grignard reagents (Scheme 6). Despite this success, the use of aryl Grignard reagents did not lead to N-phenyl diaziridine, and the expected diaziridine 98b was obtained only upon the addition of phenyl lithium. The direct reaction with acetylacetone was then conducted from the pure resulting N-phenyl diaziridine 98b, allowing pyrazole 100 and adamantanone 101 to be obtained with excellent yields (Scheme 6) [85].
Scheme 5.
The reactions of diaziridines 96 with benzynes 95a–f to produce N-arylhydrazones 97.
Scheme 6.
Diaziridine 98a–b synthesis from Grignard reaction of diazirine 99 and its reaction, resulting in pyrazole 100 and adamantanone 101. Condition: (i) EtMgBr or PhLi, Et2O, 0 °C or −78 °C, 2 h; (ii) acetylacetone, p-TsOH, EtOH, 80 °C, 24 h.
3.2.2. Base Addition for Enhancement of N-Monosubstituted Diaziridine Formation
It is known that the formation of monocyclic diaziridine the three-component condensation of carbonyl compounds, primary aliphatic amines, and HOSA in protic medium is substantially dependent on pH value. A possible pathway for this is through the generation of carbenium-iminium cations, which subsequently react with the aminating reagent (HOSA) to form an intermediate compound of an aminal type. The presence of base would rapidly cyclize this intermediate to result in diaziridine [20]. The addition of base to the process was followed by diastereoselective synthesis of N-monosubstituted diaziridines coupled with neurotransmitter amino acid 102 [86]. The pH can be adjusted with the simultaneous addition of HOSA (1 equiv.) and 30% aqueous NaOH in order to neutralize the H2SO4 that formed during the reaction, and the requirement vary depending on the substrate. Moreover, the new hybrid structure of N-monosubstituted diaziridine 102 can be prepared from the reaction of aldehydes or ketones 103 and amino acid ethyl esters 104 under mild conditions, with the major diastereomer corresponding to the racemic mixture of two meso-forms, 1R*, 2R*, 3S* (Scheme 7).
Scheme 7.
The pH-controlled diastereoselective synthesis of N-monosubstituted diaziridines coupled with neurotransmitter amino acids 102. Condition: H2NOSO3H in water–ethanol mixture at 0–5 °C, (i) pH 8–8.5 or (ii) pH 9.5–10.0.
The use of N-monosubstituted diaziridines as N-transfer reagents to α,β-unsaturated amides to form stereopure aziridines has been reported [16]. Taking advantage of the reactivity of diaziridine as an essential precursor, diastereoselective synthesis of N-monosubstituted diaziridine 105 can be conducted from simple aldehydes or ketones 106 with amines 107 [87]. The reaction takes place in the presence of hydroxylamine O-sulfonic acid (HOSA), a conventional aminating reagent. The addition of NaHCO3 results in a major product of N-monosubstituted diaziridine 105, suppressing the formation of N-monosubstituted imine (108, Figure 14). This weak inorganic base also showed high product yield compared with K3PO4 or Et3N, and can be used to replace an excess of amine counterparts. The method provides the resulting N-monosubstituted diaziridines 105 with a single diastereomer and a wide variety of aromatic and aliphatic aldehydes or ketones 106 and amines 107.
Figure 14.
N-monosubstituted diaziridines 105 synthesis from simple aldehydes or ketones 106 with amines 107.
3.2.3. Unconventional N-Monosubstituted Diaziridine Synthesis Approach
When an excess of the mixture of CS2 and KOH was added to hydrazide 109 spirit boiling solution, the hydrogen sulphide evolved in the reaction. As a result of the elimination of hydrogen sulphide, three-membered diaziridine 110 was formed, along with another product, 1,3,4-thiadiazolidine [2]. Although the amounts of CS2 and KOH were varied, the same substances were formed, with the amount of CS2 affecting only the yield of the final product. The maximum reaction yield was observed when hydrazide, CS2, and KOH were taken in a molar ratio of 1:1.7:2.0, indicating that diaziridine 110 had been formed, while for thiadiazolidine cycle formation, an excess CS2 of more than double is required. At first, it is possible to form potassium salt, which is then converted into diaziridine derivative under the action of hydrochloric acid. Using this unconventional method, compound 110 can be either thion or thiol tautomeric (Figure 15A). Using the described method, the 1-(4-methoxy-6-methyl- pyrimidin-2-yl)-diaziridine-3-thion 111 can also be established from hydrazide 112 (Figure 15B). As for the influence of the carbonyl group on the reaction, similar interactions were carried out using 4,6-bis-dimethylamino- [1,3,5]triazine-2-carboxylic acid hydrazide 113 (Figure 15C) and 3,4-di- methyl-2-thioxo-2,3-dihydro-thiazole-5-carboxylic acid hydrazide 114 (Figure 15D). The N-monosubstituted diaziridine of (4,6-bis-dimethylamino-[1,3,5]tria- zine-2-yl)-(3-thioxo-diaziridin-1-yl)-methanone 115 and (3,4- dimethyl-2-thioxo-2,3-dihydro-thiazole-5-yl)-(3-thioxo- diaziridin-1-yl)-methanone 116 can be obtained (Figure 15C,D).
Figure 15.
Synthesis of N-monosubstituted diaziridines 110, 111, 115, and 116 via the unconventional method by elaborating hydrazine, CS2, and KOH. (A) pyrimidine, (B) 1,3,5-triazine, (C) carbonylated 1,3,5-triazine and (D) carbonylated thiazole-2(3H)-thione. Reagents: (i) CS2, KOH, ethanol.
3.3. N,N-Disubstituted Diaziridines
3.3.1. Conventional Method for Recent Uses
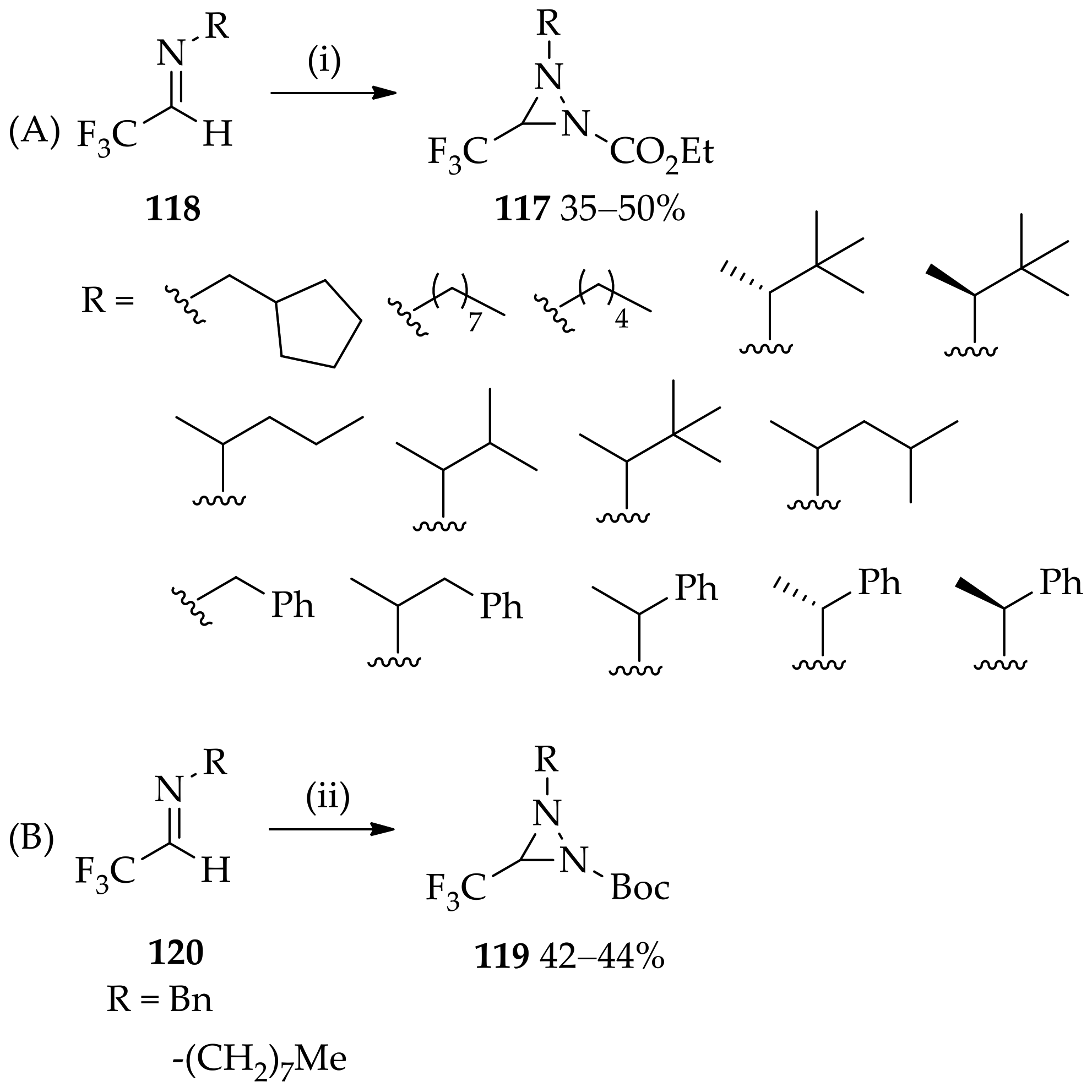
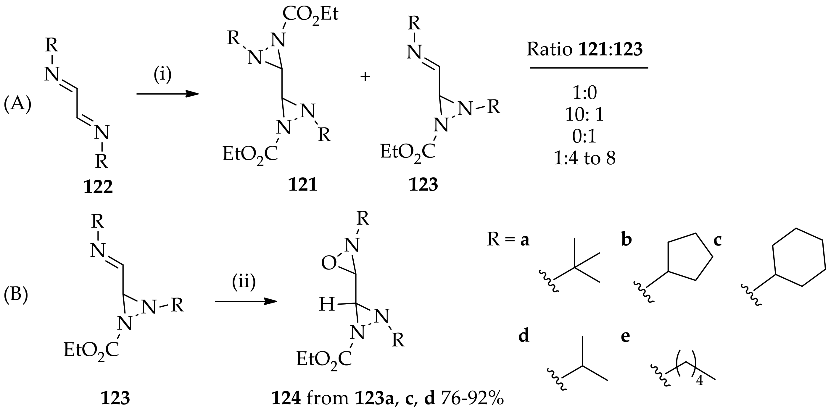
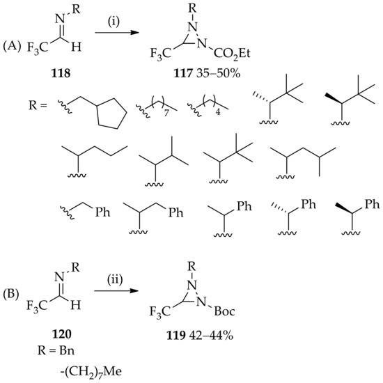
N,N-disubstituted diaziridines containing trifluoromethyl at the 3-position 117 can be synthesized using conventional conditions. Various trifluoromethyl imines 118 have been used in amination reactions with NsONHCO2Et as the aminating agent [88]. A twofold excess of NsONHCO2Et in CH2C12 without any addition of base at room temperature can give the corresponding N,N-disubstituted diaziridines 117 (Scheme 8A). N,N-Disubstituted diaziridines 119 were also successfully synthesized by the reaction of trifluoromethyl imines 120 with NsONHCO2t-Bu, a carbamate, which is known to give amination reactions only by an ionic pathway involving the corresponding aza-anion (Scheme 8B). The advantage of using conventional methods for the synthesis of N,N-disubstituted diaziridines was also observed when synthesizing bidiaziridine 121 from α-diimines 122 [89]. A two-phase H2O/CH2Cl2 system and the portion-wise addition of both amination agent and base (NsONHCO2Et and CaO) is considered to favor the formation of the monodiaziridine (E)-3-(iminomethyl)diaziridine-1-carboxylates 123, rather than its bidiaziridine 121 (Figure 16A). Further functionalization of this monodiaziridine, 123a,c,d, can be performed to obtain a hybrid compound containing an diaziridine and oxaziridine ring in one molecule of 3-(diaziridin-3-yl)oxaziridines 124 (Figure 16B) [89].
Scheme 8.
Trifluoromethyled N,N-disubstituted diaziridines synthesis. (A) ethyl carbamate, (B) tert-butyl carbamate. Conditions: (i) NsONHCO2Et (molar ratio to imine 2:1), CH2Cl2, rt, 16 h; (ii) NsONHCO2t-Bu (molar ratio to imine 2:1), CH2Cl2, rt, 12 h.
Figure 16.
Synthesis of monodiaziridine 123 and bidiaziridine 121 from α-diimines 122 (A) and further substitution for 123 (B). Conditions: (i) NsONHCO2Et, H2O/CH2Cl2, CaO, rt; (ii) m-CPBA, CH2Cl2, 0 °C.
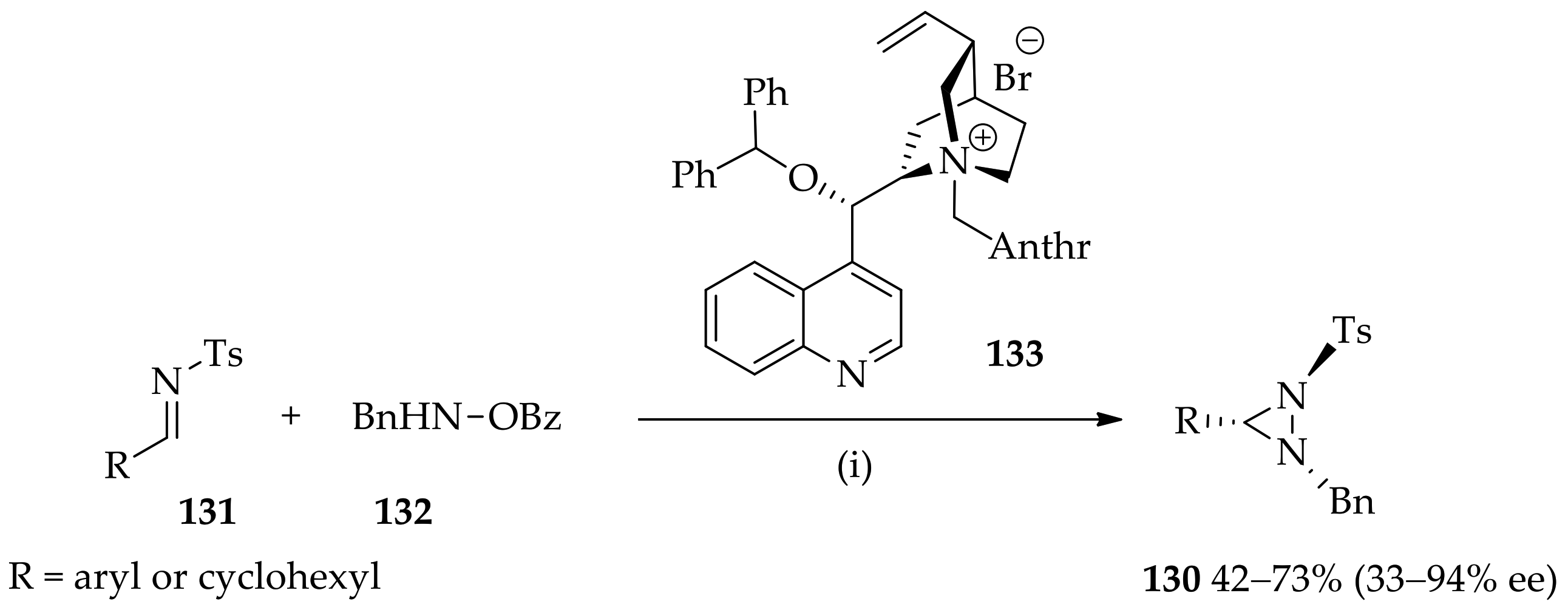
In line with the synthesis of the hybrid compound, a diastereoselective method for the synthesis of diaziridines with N- and/or C- cyclopropyl substituents (125 and/or 126) was developed [90] using the conventional methods. A one-pot, three-component condensation of cyclopropyl-containing carbonyl compounds 127, primary aliphatic amines, including cyclo propylamine 128, and N-chloroalkylamines 129 was conducted in the organic solvents. This typical reaction was carried out under mild conditions and in the presence of bases (Scheme 9), resulting in the predominance of diaziridine product 125 and/or 126, with the major diastereomer being the racemic mixture of two meso-forms, and the racemic mixtures of two enantiomers for the minor diastereomer. The use of K2CO3 as a base, and an aprotic solvent (CHCl3) obtained from equimolar amounts of aldehyde, cyclopropylamine, and pre-synthesized N-chloroalkylamines can provide access to compounds with cyclopropyl substituents on the nitrogen atom of the diaziridine ring. As for the enantio- and diastereoselective synthesis of diaziridines 130 via aziridination of N-tosyl aldimines 131 while applying modified hydroxylamine 132 under asymmetric phase-transfer catalysis 133, it was recognized that K2CO3 was too weak to mediate this reaction [91]. Thus, K2PO4 was then utilized, and the reaction rate was significantly enhanced, and gave diaziridine with similar selectivity. By taking advantage of a phase-transfer catalyzed nitrogen insertion into the π-system of N-tosyl aldimines 131 and the use of N-transfer agent of N-benzyl-O-benzoyl hydroxylamine 133, the afforded N-tosyl-N′-benzyl-diaziridines 130 can be synthesized as a single diastereomer in up to high yields with high to excellent enantioselectivity (up to 96% ee, Scheme 10).
Scheme 9.
Synthesis of diaziridines with N- and/or C-cyclopropyl substituents 125 and/or 126. Conditions: (i) excess of the corresponding amine, MeOH, 0–5 °C; (ii) K2CO3/CHCl3, ~20 °C.
Scheme 10.
Catalytic enantio- and diastereoselective synthesis of N,N-disubstituted diaziridines 130. Conditions: (i) K3PO4, Toluene, −12 °C, 72 h.
3.3.2. The Green Transformation of 6-Aryl-1,5-diazabicyclo[3.1.0]hexanes
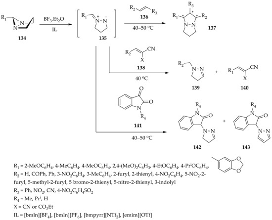
Green chemistry is leading the development of ionic liquids as alternative solvents that possess useful physicochemical properties, such as non-inflammability, low vapor pressure, and ease of regeneration. These trends have led to the transformation of N,N-disubstituted diaziridines under ionic liquid solvent-based reaction. The 6-aryl-1,5-diazabicyclo[3.1.0]hexanes 134 can be thermally (by refluxing in toluene or xylene) or catalytically (by the addition of 20 mol % Lewis acid (BF3∙Et2O)) transformed into active species of azomethine imines 135 (Figure 17). In [92,93], mild conditions were represented by the use of ionic liquid medium, and it was found that the reaction could be managed by ionic liquid, rather than the organic solvent, of MeCN [94]. In some case, heating was required (40 °C or 50 °C) to to initiate the reaction with olefins 136, which resulted in the [3 + 2] cycloaddition products of 1,5diazabicyclo[3.3.0]octane derivatives 137. High diastereoselectivity can be achieved through the [3 + 2] cycloaddition of azomethine imines derived from 6-aryl-1,5-diazabicyclo[3.1.0]hexanes to acrylonitrile and 4-nitrophenyl vinyl sulfone in ionic liquid of [emim][OTf] [93]. The transformation of diaziridine 134 into active species of azomethine imines 135 showed different reactivity when reacted with arylidenemalononitrile 138 (Figure 17). The presence of an electron-withdrawing NO2 substituent in the aromatic ring of arylidenemalononitrile, as the starting material, resulted in pyrazoline 139, and the isolation of arylidenemalononitriles containing aromatic fragments of the starting bicyclic diaziridines 140 was also achieved [95]. The annulations of azomethine imines 135, derived from the representative diaziridine 134 with 1H-indole-2,3-diones 141, can occur on the basis of the reaction between azomethine imines and carbonyl compounds. There are two types of product introduced in the ionic liquid of [bmim][BF4] systems: pyrazolines 142, which are proposed to be proced by the induction of a formal 1,4-H shift in azomethine imine; and pyrazoles 143 (Figure 17), which are most likely to emerge as a result of the oxidation of pyrazolines by air oxygen [96]. Moreover, the reaction between 6-aryl-1,5-diazabicyclo[3.1.0]hexanes and 1,3-diarylpropenones was also conducted under microwave irradiation (110 °C), which is compliant with the principles of green chemistry in organic synthesis [97]. The [3 + 2] cycloaddition products of perhydropyrazolopyrazoles were formed in fine yields as single diastereomers.
Figure 17.
Reaction of 6-aryl-1,5-diazabicyclo[3.1.0]hexanes 134 upon reaction with olefins 136, arylidenemalononitrile 138, and 1H-indole-2,3-diones 141 in ionic liquids.
3.3.3. Metal Catalysis of Diaziridines Ring Opening
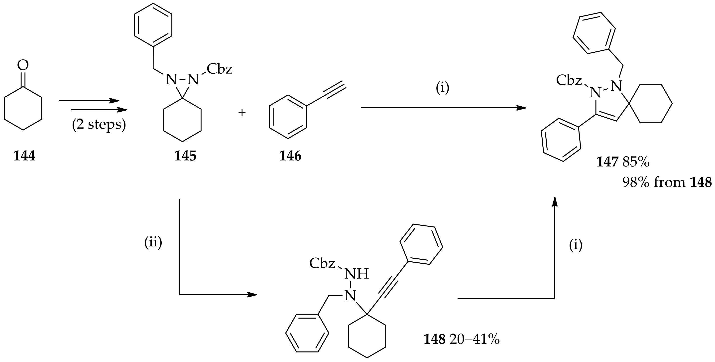
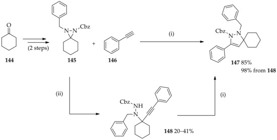
A single reagent that is able catalyze multiple mechanistically distinct processes in a chemical reaction known as an auto-tandem catalyst [98], and the transition metal used for this process is gold(I). The ring opening of diaziridines [99] is started by the synthesis of N-monosubstituted diaziridine by the conventional method of reacting ketone 144, benzyl, and the aminating reagent NH2OSO3H. A minimal modification at the free N-terminal of diaziridine resulted in 1-benzyl-1,2-diazaspiro[2,5]octane 145, which was then used as the starting material for an auto-tandem catalysis reaction mediated by gold(I). The model reaction was conducted by reacting diaziridine 145 with phenylacetylene 146, and it was found that the product 3-pyrazoline 147 was preferentially obtained using Ph3AuNTf2 as the catalyst, rather than other catalysts. The alkyne insertion product 146 was possibly an intermediate in the process, since it can be directly transformed into the product 3-pyrazoline 147 by the use of Ph3AuNTf2. Taken together, gold(I) as an auto-tandem catalyst is capable of being used to pursue the typical subsequent ring opening of diaziridine 145 and the cyclization of 148 (Figure 18).
Figure 18.
Metal-catalyzed formation of 3-pyrazolines 147 through cycloaddition of diaziridine 145 to alkynes 146. Conditions: (i) 10 mol % Ph3AuNTf2, toluene, rt or 70 °C, 12 h or 18 h; (ii) 10 mol % AgOTf or AuCl3 or Zn(OTf)2 or Cu(OTf)2, toluene, 70 °C, 18 h; Cbz = carbamate group.
The [3+3]-annulation of bicyclic diaziridines 149 with N-substituted aziridines 150a,b in iron salt can be processed into [1,2,4]-triazines 151a,b as a single diastereoisomer by using FeCl3 (Scheme 11). The chelation of aziridines with FeCl3 can lead to stereospecific ring opening using azomethine imine intermediate derived from diaziridine and the diasteroselectivity potentially obtained by the steric factors during the approaches of aziridine with the azomethine imine. Diaziridine 149 was tested using optically active aziridine 150b, demonstrating the stereoselectivity of this typical iron-catalyzed reaction [100]. The one-pot reaction of bicyclic diaziridines 152 and (2-bromo-2-nitrovinyl)arenes 153 resulting in bicyclic cationic 154 (2,3-dihydro-1H-pyrazolo[1,2-a]pyrazol-4-ium as cation and [Ce3+(NO3)6]3− as anion) can only be conducted under the action of ceric ammonium nitrate (CAN) and MeCN (Figure 19). CAN as the catalyst can trigger in situ diaziridine ring opening of bicyclic diaziridines or metathesis of azomethine imine, the occurrence of [3+2] cycloaddition of (2-bromo-2-nitrovinyl)arenes, followed by the aromatization of the formed pyrazolidine ring [101]. This metal catalysis of diaziridine ring opening approaches (Scheme 11 and Figure 19) provides the advantage of simplicity, and is a powerful tool for the synthesis of hydrazine bicyclic compounds.
Scheme 11.
Iron-catalyzed cycloaddition of diaziridines 149 with aziridines 150.
Figure 19.
CAN-mediated synthesis of bicyclic cationic 154 with 2,3-dihydro-1H-pyrazolo[1,2-a]pyrazol-4-ium core.
3.3.4. Diaziridine Reaction with Donor–Acceptor Cyclopropanes/Cyclopropenes
The first [3+3]-annulation of two different three-membered rings of bicyclic diaziridines 154a–n and donor–acceptor cyclopropanes 155 was reported in 2018 [102]. The reaction afforded perhydropyridazine derivatives 156 in high yields and diastereoselectivity under mild Lewis acid catalysis of Ni(ClO4)2·6H2O (Figure 20). Under the same conditions, the difference of alkyl substituent(s) at the C(6) atom of bicyclic diaziridine 154k,o–u can prevent (3+3)-annulation. The spiro-[cyclohexane-1,6′-(1,5-diazabicyclo[3.1.0]hexane)] and other bulky substituents at the C(3) atom of the diaziridine ring of 1,5-diazabicyclo[3.1.0]hexanes (154k,o–u,v) did not produce the corresponding hexahydropyridazine 156 and afford 1-alkylated 2,3-dihydropyrazoles 157 or 158 in the reaction with donor–acceptor cyclopropanes 155 [103]. The reaction possibly proceeds via the alkylation of a diaziridine derivative with a Lewis acid-activated cyclopropane, followed by hydration of the formed 1,6-zwitterion, producing hemiaminal. Following this process, the elimination of the carbonyl compound and the air oxidation of the formed pyrazolidine accomplishes the synthesis of 1-alkylated 2,3-dihydropyrazole derivatives (157 or 158, Figure 20).
Figure 20.
Bicyclic diaziridine 154a–v reaction with donor–acceptor cyclopropanes 155. Conditions: (i) Ni(ClO4)2·6H2O, MS 4Å, CH2Cl2.
Since diaziridine is a strained ring system that can undergo N–N bond cleavage, the ring opening of bicyclic diaziridine 159 was continued for its reaction with enoldiazoacetates 160, which resulted in the cycloadduct 161 (Scheme 12). The metallo-enolcarbenes was initially generated to undergo the novel [3 + 2]-cycloaddition. The asymmetric synthesis process is able to produce the cycloaddition product 161 with 31% ee or 95% ee, depending on the isomeric mixture of the starting material. The metallocarbene source of donor–acceptor cyclopropene 162 is also able to form the cycloaddition product 161 in 95% ee (Scheme 12), suggesting that the initially generated cycloaddition of metallo-enolcarbenes is possible at a faster rate than the formation of the corresponding donor–acceptor cyclopropene 162 [104].
Scheme 12.
The [3 + 2]-cycloaddition of diaziridine 159 with enoldiazoacetate 160 or cyclopropene 162.
3.3.5. Unconventional N,N-Disubstituted Diaziridine Synthesis Approach
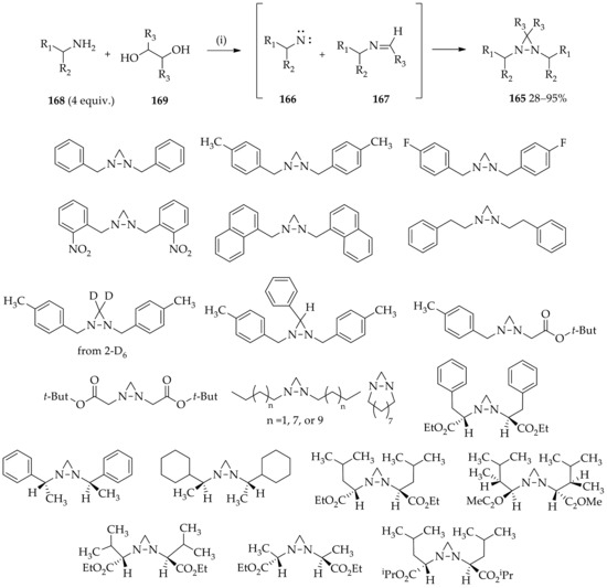
An unconventional nonmetallic and photocatalytic approach to N,N-disubstituted diaziridine synthesis was developed [105], excluding hydroxylamine-O-sulfonic acid [20] and ethyl nosyloxycarbamate [18] for the mediation of condensations of carbonyl compounds, amines, or ammonia. A blue LED, an organic photocatalyst (rose Bengal 163), and a Lewis acid such as the oxidant PhI(OAc)2 164 were used to generate functionalized diaziridines with excellent reaction rates and yields that also showed high stereoselectivities for the synthesis of diaziridines 165 with chiral substituents. The reaction proceeded through the in situ formation of nitrene 166 and an imine 167 intermediate, whereby their formation involved the light-activated Rose Bengal in order to convert related species from the combination of PhI(OAc)2 164, amine 168, with 1,2-diol 169 or the simultaneous combination of PhI(OAc)2 directly with amine. The typical N,N-disubstituted diaziridine 165 synthesized using this novel and extraordinary method is summarized in Scheme 13.
Scheme 13.
The unconventional N,N-disubstituted diaziridine synthesis. Conditions: (i) Rose Bengal (163, 1 mol %), blue LED, PhI(OAc)2 (164, 4 equiv.), CH2Cl2, rt, 20–40 min.
4. Conclusions
The non-, N-mono-, and N,N-disubstituted diaziridines are attractive skeletons as building blocks in the synthesis of important intermediates and precursors with excellent stereochemical properties. The trend of diaziridine formation is still following the conventional concept, wherein valuable synthesized diaziridine derivatives are added together with various substituents. More unconventional approaches are limited to the period of the last decade, and further studies aiming to extend these unconventional methods remain to be performed. The study of diaziridine transformation in the field of organic and pharmaceutical chemistry—especially to become a precursor in diazirine-based photoaffinity labeling probes for drug design—as well as its stereochemistry, offer great opportunities for further exploration.
Author Contributions
All the authors designed the research plan after conducting an appropriate discussion. Z.P.T. and M.H. are the main contributors. All authors have read and agreed to the published version of the manuscript.
Funding
This research was partially supported by the Ministry of Education, Science, Sports and Culture Grant-in-Aid for Scientific Research (C), 17K0194007 (Makoto Hashimoto).
Institutional Review Board Statement
Not applicable.
Informed Consent Statement
Not applicable.
Acknowledgments
Part of this work was performed under the Cooperative Research Program of the Network Joint Research Center for Materials and Devices.
Conflicts of Interest
The authors declare no conflict of interest.
References
- Hashimoto, M. Diaziridines and Diazirines, 4th ed.; Elsevier Inc.: Amsterdam, The Netherlands, 2008; Volume 1, ISBN 9780080449920. [Google Scholar]
- Eliazyan, K.A.; Avetisyan, F.V.; Jivanshiryan, T.L.; Pivazyan, V.A.; Ghazaryan, E.A.; Shahbazyan, L.V.; Harutyunyan, S.V.; Yengoyan, A.P. Synthesis and Fungicidal Activity of Novel 1,3-Disubstituted 1H-Diazirine Derivatives. J. Heterocycl. Chem. 2009, 46, 1259–1265. [Google Scholar] [CrossRef]
- Ravindra, S.; Irfana Jesin, C.P.; Shabashini, A.; Nandi, G.C. Recent Advances in the Preparations and Synthetic Applications of Oxaziridines and Diaziridines. Adv. Synth. Catal. 2021, 363, 1756–1781. [Google Scholar] [CrossRef]
- Makhova, N.N.; Belen’kii, L.I.; Gazieva, G.A.; Dalinger, I.L.; Konstantinova, L.S.; Kuznetsov, V.V.; Kravchenko, A.N.; Krayushkin, M.M.; Rakitin, O.A.; Starosotnikov, A.M.; et al. Progress in the chemistry of nitrogen-, oxygen- and sulfur-containing heterocyclic systems. Russ. Chem. Rev. 2020, 89, 55–124. [Google Scholar] [CrossRef]
- Makhova, N.N.; Shevtsov, A.V.; Petukhova, V.Y. Transformations of diaziridines and their fused analogues induced by electrophilic reagents. Russ. Chem. Rev. 2011, 80, 1035–1066. [Google Scholar] [CrossRef]
- Williamson, K.S.; Michaelis, D.J.; Yoon, T.P. Advances in the chemistry of oxaziridines. Chem. Rev. 2014, 114, 8016–8036. [Google Scholar] [CrossRef] [PubMed] [Green Version]
- Dubinsky, L.; Krom, B.P.; Meijler, M.M. Diazirine based photoaffinity labeling. Bioorganic Med. Chem. 2012, 20, 554–570. [Google Scholar] [CrossRef] [PubMed]
- Hashimoto, M.; Hatanaka, Y. Recent progress in diazirine-based photoaffinity labeling. Eur. J. Org. Chem. 2008, 2513–2523. [Google Scholar] [CrossRef]
- Halloran, M.W.; Lumb, J.P. Recent Applications of Diazirines in Chemical Proteomics. Chem. Eur. J. 2019, 25, 4885–4898. [Google Scholar] [CrossRef] [PubMed]
- Hatanaka, Y.; Nakayama, H.; Kanaoka, Y. Diazirine-based photoaffinity labeling: Chemical approach to biological interfaces. Rev. Heteroat. Chem. 1996, 14, 213–243. [Google Scholar]
- Hassan, M.M.; Olaoye, O.O. Recent Advances in Chemical Biology Using Benzophenones and Diazirines as Radical Precursors. Molecules 2020, 25, 2285. [Google Scholar] [CrossRef] [PubMed]
- Ichiishi, N.; Moore, K.P.; Wassermann, A.M.; Wolkenberg, S.E.; Krska, S.W. Reducing Limitation in Probe Design: The Development of a Diazirine-Compatible Suzuki-Miyaura Cross Coupling Reaction. ACS Med. Chem. Lett. 2019, 10, 56–61. [Google Scholar] [CrossRef]
- Ge, S.S.; Chen, B.; Wu, Y.Y.; Long, Q.S.; Zhao, Y.L.; Wang, P.Y.; Yang, S. Current advances of carbene-mediated photoaffinity labeling in medicinal chemistry. RSC Adv. 2018, 8, 29428–29454. [Google Scholar] [CrossRef] [Green Version]
- Hill, J.R.; Robertson, A.A.B. Fishing for Drug Targets: A Focus on Diazirine Photoaffinity Probe Synthesis. J. Med. Chem. 2018, 61, 6945–6963. [Google Scholar] [CrossRef]
- Gakh, A.; Shermolovich, Y. Trifluoromethylated Heterocycles. Curr. Top. Med. Chem. 2014, 14, 952–965. [Google Scholar] [CrossRef]
- Ishihara, H.; Hori, K.; Sugihara, H.; Ito, Y.N.; Katsuki, T. Highly diastereo- and enantioselective aziridination of α,β-unsaturated amides with diaziridine and mechanistic consideration on its stereochemistry. Helv. Chim. Acta 2002, 85, 4272–4286. [Google Scholar] [CrossRef]
- Hu, H.; Xu, J.; Wang, F.; Dong, S.; Liu, X.; Feng, X. Chiral ScIII- N, N′-Dioxide-Catalyzed 1,3-Dipolar Cycloaddition of Diaziridines with Chalcones. Org. Lett. 2020, 22, 93–97. [Google Scholar] [CrossRef]
- Pellacani, L.; Fioravanti, S.; Tardella, P.A. Ethyl Nosyloxycarbamate: A Chameleonic Aminating Agent. Curr. Org. Chem. 2011, 15, 1465–1481. [Google Scholar] [CrossRef]
- Huang, C.Y.; Doyle, A.G. The chemistry of transition metals with three-membered ring heterocycles. Chem. Rev. 2014, 114, 8153–8198. [Google Scholar] [CrossRef]
- Makhova, N.N.; Petukhova, V.Y.; Kuznetsov, V.V. Synthesis of monocyclic diaziridines and their fused derivatives. Arkivoc 2008, 2008, 128–152. [Google Scholar] [CrossRef] [Green Version]
- Kuznetsov, V.V.; Marochkin, I.I.; Goloveshkin, A.S.; Makhova, N.N.; Shishkov, I.F. Comparable study of the structure of 1,2-bis(2-acetamidoethyl) diaziridine and 3,3-diethyldiaziridine with structures of related compounds by X-ray diffraction analysis and quantum chemical calculations. Struct. Chem. 2017, 28, 1211–1221. [Google Scholar] [CrossRef]
- Marochkin, I.I.; Kuznetsov, V.V.; Li, Z.; Rykov, A.N.; Makhova, N.N.; Shishkov, I.F. Molecular structure of 1,2-diethyldiaziridine studied by gas electron diffraction supported by quantum chemistry calculations. J. Mol. Struct. 2021, 1225, 129066–129073. [Google Scholar] [CrossRef]
- Marochkin, I.I.; Kuznetsov, V.V.; Rykov, A.N.; Makhova, N.N.; Shishkov, I.F. Molecular structure study of 1,2,3-trimethyldiaziridine by means of gas electron diffraction method. Struct. Chem. 2019, 30, 457–464. [Google Scholar] [CrossRef]
- Altova, E.P.; Kuznetsov, V.V.; Marochkin, I.I.; Rykov, A.N.; Makhova, N.N.; Shishkov, I.F. 3-Cyclopropyl-1,2-dimethyldiaziridine: Synthesis and study of molecular structure by gas electron diffraction method. Struct. Chem. 2018, 29, 815–822. [Google Scholar] [CrossRef]
- Khaikin, L.S.; Kochikov, I.V.; Rykov, A.N.; Grikina, O.E.; Ageev, G.G.; Shishkov, I.F.; Kuznetsov, V.V.; Makhova, N.N. Equilibrium structures of the tetramezine diastereomers and their ratio: Joint analysis of gas phase electron diffraction, quantum chemistry, and spectroscopic data. Phys. Chem. Chem. Phys. 2019, 21, 5598–5613. [Google Scholar] [CrossRef] [PubMed]
- Khaikin, L.S.; Ageev, G.G.; Rykov, A.N.; Grikina, O.E.; Shishkov, I.F.; Kochikov, I.V.; Kuznetsov, V.V.; Makhova, N.N.; Bukalov, S.S.; Leites, L.A. Equilibrium molecular structure and spectra of 6-methyl-1,5-diazabicyclo[3.1.0]hexane: Joint analysis of gas phase electron diffraction, quantum chemistry, and spectroscopic data. Phys. Chem. Chem. Phys. 2020, 22, 22477–22492. [Google Scholar] [CrossRef] [PubMed]
- Kamuf, M.; Trapp, O. Stereodynamics of tetramezine. Chirality 2011, 23, 113–117. [Google Scholar] [CrossRef] [PubMed]
- Kamuf, M.; Trapp, O. Stereodynamics of Small 1,2-Dialkyldiaziridines. Chirality 2013, 25, 224–229. [Google Scholar] [CrossRef]
- Trapp, O.; Sahraoui, L.; Hofstadt, W.; Könen, W. The stereodynamics of 1,2-dipropyldiaziridines. Chirality 2010, 22, 284–291. [Google Scholar] [CrossRef]
- Zawatzky, K.; Kamuf, M.; Trapp, O. Chiral 1,2-Dialkenyl Diaziridines: Synthesis, Enantioselective Separation, and Nitrogen Inversion Barriers. Chirality 2015, 27, 156–162. [Google Scholar] [CrossRef]
- Ameen, R.; Anoop, A. Detonation properties and impact sensitivities of trinitromethane derivatives of three-membered heterocyclic ring compounds. J. Mol. Graph. Model. 2021, 105, 107863. [Google Scholar] [CrossRef]
- Angelone, D.; Hammer, A.J.S.; Rohrbach, S.; Krambeck, S.; Granda, J.M.; Wolf, J.; Zalesskiy, S.; Chisholm, G.; Cronin, L. Convergence of multiple synthetic paradigms in a universally programmable chemical synthesis machine. Nat. Chem. 2021, 13, 63–69. [Google Scholar] [CrossRef]
- Zhao, X.; Wu, G.; Yan, C.; Lu, K.; Li, H.; Zhang, Y.; Wang, J. Microwave-assisted, Pd(0)-catalyzed cross-coupling of diazirines with aryl halides. Org. Lett. 2010, 12, 5580–5583. [Google Scholar] [CrossRef]
- Shen, K.; Logan, A.W.J.; Colell, J.F.P.; Bae, J.; Ortiz, G.X.; Theis, T.; Warren, W.S.; Malcolmson, S.J.; Wang, Q. Diazirines as Potential Molecular Imaging Tags: Probing the Requirements for Efficient and Long-Lived SABRE-Induced Hyperpolarization. Angew. Chem. 2017, 56, 12112–12116. [Google Scholar] [CrossRef]
- Theis, T.; Ortiz, G.X.; Logan, A.W.J.; Claytor, K.E.; Feng, Y.; Huhn, W.P.; Blum, V.; Malcolmson, S.J.; Chekmenev, E.Y.; Wang, Q.; et al. Direct and cost-efficient hyperpolarization of long-lived nuclear spin states on universal 15N2-diazirine molecular tags. Sci. Adv. 2016, 2, e1501438. [Google Scholar] [CrossRef] [Green Version]
- Martyloga, O.V.; Myronenko, A.; Tkachenko, A.M.; Matvienko, V.O.; Kuchkovska, Y.O.; Grygorenko, O.O. Multigram Synthesis of Functionalized Spirocyclic Diazirines. Eur. J. Org. Chem. 2019, 3744–3750. [Google Scholar] [CrossRef]
- Das, J. Aliphatic diazirines as photoaffinity probes for proteins: Recent developments. Chem. Rev. 2011, 111, 4405–4417. [Google Scholar] [CrossRef]
- Wu, B.; Jayakar, S.S.; Zhou, X.; Titterton, K.; Chiara, D.C.; Szabo, A.L.; Savechenkov, P.Y.; Kent, D.E.; Cohen, J.B.; Forman, S.A.; et al. Inhibitable photolabeling by neurosteroid diazirine analog in the β3-Subunit of human hetereopentameric type A GABA receptors. Eur. J. Med. Chem. 2019, 162, 810–824. [Google Scholar] [CrossRef]
- Savechenkov, P.Y.; Chiara, D.C.; Desai, R.; Stern, A.T.; Zhou, X.; Ziemba, A.M.; Szabo, A.L.; Zhang, Y.; Cohen, J.B.; Forman, S.A.; et al. Synthesis and pharmacological evaluation of neurosteroid photoaffinity ligands. Eur. J. Med. Chem. 2017, 136, 334–347. [Google Scholar] [CrossRef]
- Byrd, K.M.; Arieno, M.D.; Kennelly, M.E.; Estiu, G.; Wiest, O.; Helquist, P. Design and synthesis of a crosslinker for studying intracellular steroid trafficking pathways. Bioorganic Med. Chem. 2015, 23, 3843–3851. [Google Scholar] [CrossRef] [Green Version]
- Van Der Meijden, B.; Robinson, J.A. Synthesis and application of photoproline-a photoactivatable derivative of proline. Arkivoc 2011, 2011, 130–136. [Google Scholar] [CrossRef] [Green Version]
- Wright, M.H.; Fetzer, C.; Sieber, S.A. Chemical Probes Unravel an Antimicrobial Defense Response Triggered by Binding of the Human Opioid Dynorphin to a Bacterial Sensor Kinase. J. Am. Chem. Soc. 2017, 139, 6152–6159. [Google Scholar] [CrossRef] [PubMed] [Green Version]
- Fraser, A.L.; Menzies, S.K.; King, E.F.B.; Tulloch, L.B.; Gould, E.R.; Zacharova, M.K.; Smith, T.K.; Florence, G.J. Design and Synthesis of Broad Spectrum Trypanosomatid Selective Inhibitors. ACS Infect. Dis. 2018, 4, 560–567. [Google Scholar] [CrossRef] [PubMed]
- Kambe, T.; Correia, B.E.; Niphakis, M.J.; Cravatt, B.F. Mapping the Protein Interaction Landscape for Fully Functionalized Small-Molecule Probes in Human Cells. J. Am. Chem. Soc. 2014, 136, 10777–10782. [Google Scholar] [CrossRef] [PubMed] [Green Version]
- Kumar, A.B.; Tipton, J.D.; Manetsch, R. 3-Trifluoromethyl-3-aryldiazirine photolabels with enhanced ambient light stability. Chem. Commun. 2016, 52, 2729–2732. [Google Scholar] [CrossRef]
- Nakagita, T.; Ishida, A.; Tachrim, Z.P.; Wang, L.; Misaka, T.; Hashimoto, M. Asymmetric Synthesis of Photophore-Containing Lactisole Derivatives to Elucidate Sweet Taste Receptors. Molecules 2020, 25, 2790. [Google Scholar] [CrossRef]
- Li, Z.; Hao, P.; Li, L.; Tan, C.Y.J.; Cheng, X.; Chen, G.Y.J.; Sze, S.K.; Shen, H.-M.; Yao, S.Q. Design and Synthesis of Minimalist Terminal Alkyne-Containing Diazirine Photo-Crosslinkers and Their Incorporation into Kinase Inhibitors for Cell- and Tissue-Based Proteome Profiling. Angew. Chem. 2013, 125, 8713–8718. [Google Scholar] [CrossRef]
- Pan, S.; Zhang, H.; Wang, C.; Yao, S.C.L.; Yao, S.Q. Target identification of natural products and bioactive compounds using affinity-based probes. Nat. Prod. Rep. 2016, 33, 612–620. [Google Scholar] [CrossRef]
- Lang, W.; Yuan, C.; Zhu, B.; Pan, S.; Liu, J.; Luo, J.; Nie, S.; Zhu, Q.; Lee, J.S.; Ge, J. Expanding the “minimalist” small molecule tagging approach to different bioactive compounds. Org. Biomol. Chem. 2019, 17, 3010–3017. [Google Scholar] [CrossRef]
- Su, Y.; Pan, S.; Li, Z.; Li, L.; Wu, X.; Hao, P.; Sze, S.K.; Yao, S.Q. Multiplex Imaging and Cellular Target Identification of Kinase Inhibitors via an Affinity-Based Proteome Profiling Approach. Sci. Rep. 2015, 5, 7724–7734. [Google Scholar] [CrossRef] [Green Version]
- Li, Z.; Wang, D.; Li, L.; Pan, S.; Na, Z.; Tan, C.Y.J.; Yao, S.Q. “Minimalist” cyclopropene-containing photo-cross-linkers suitable for live-cell imaging and affinity-based protein labeling. J. Am. Chem. Soc. 2014, 136, 9990–9998. [Google Scholar] [CrossRef]
- Pan, S.; Jang, S.Y.; Wang, D.; Liew, S.S.; Li, Z.; Lee, J.S.; Yao, S.Q. A Suite of “Minimalist” Photo-Crosslinkers for Live-Cell Imaging and Chemical Proteomics: Case Study with BRD4 Inhibitors. Angew. Chem. 2017, 56, 11816–11821. [Google Scholar] [CrossRef]
- Chang, C.-F.; Mfuh, A.; Gao, J.; Wu, H.-Y.; Woo, C.M. Synthesis of an electronically-tuned minimally interfering alkynyl photo-affinity label to measure small molecule–protein interactions. Tetrahedron 2018, 74, 3273–3277. [Google Scholar] [CrossRef]
- Brunner, J.; Senn, H.; Richards, F.M. 3-Trifluoromethyl-3-phenyldiazirine. A new carbene generating group for photolabeling reagents. J. Biol. Chem. 1980, 255, 3313–3318. [Google Scholar] [CrossRef]
- Kumar, N.S.; Young, R.N. Design and synthesis of an all-in-one 3-(1,1-difluoroprop-2-ynyl)-3H-diazirin-3-yl functional group for photo-affinity labeling. Bioorg. Med. Chem. 2009, 17, 5388–5395. [Google Scholar] [CrossRef]
- Hiramatsu, T.; Guo, Y.; Hosoya, T. 3-Azidodifluoromethyl-3H-diazirin-3-yl group as an all-in-one functional group for radioisotope-free photoaffinity labeling. Org. Biomol. Chem. 2007, 5, 2916–2919. [Google Scholar] [CrossRef]
- Wang, L.; Ishida, A.; Hashidoko, Y.; Hashimoto, M. Dehydrogenation of the NH–NH Bond Triggered by Potassium tert-Butoxide in Liquid Ammonia. Angew. Chem. 2017, 56, 870–873. [Google Scholar] [CrossRef]
- Wang, L.; Tachrim, Z.P.; Kurokawa, N.; Ohashi, F.; Sakihama, Y.; Hashidoko, Y.; Hashimoto, M. Base-mediated one-pot synthesis of aliphatic diazirines for photoaffinity labeling. Molecules 2017, 22, 1389. [Google Scholar] [CrossRef] [Green Version]
- Church, R.F.R.; Kende, A.S.; Weiss, M.J. Diazirines. I. Some Observations on the Scope of the Ammonia-Hydroxylamine-O-sulfonic Acid Diaziridine Synthesis. The Preparation of Certain Steroid Diaziridines and Diazirines. J. Am. Chem. Soc. 1965, 87, 2665–2671. [Google Scholar] [CrossRef]
- Church, R.F.R.; Weiss, M.J. Diazirines. II. Synthesis and Properties of Small Functionalized Diazirine Molecules. Some Observations on the Reaction of a Diaziridine with the Iodine-Iodide Ion System. J. Org. Chem. 1970, 35, 2465–2471. [Google Scholar] [CrossRef]
- Wang, L.; Murai, Y.; Yoshida, T.; Ishida, A.; Masuda, K.; Sakihama, Y.; Hashidoko, Y.; Hatanaka, Y.; Hashimoto, M. Alternative One-Pot Synthesis of (Trifluoromethyl)phenyldiazirines from Tosyloxime Derivatives: Application for New Synthesis of Optically Pure Diazirinylphenylalanines for Photoaffinity Labeling. Org. Lett. 2015, 17, 616–619. [Google Scholar] [CrossRef]
- Smith, R.A.G.; Knowles, J.R. The preparation and photolysis of 3-aryl-3H-diazirines. J. Chem. Soc. Perkin Trans. 2 1975, 686. [Google Scholar] [CrossRef]
- Ishida, A.; Wang, L.; Tachrim, Z.P.; Suzuki, T.; Sakihama, Y.; Hashidoko, Y.; Hashimoto, M. Comprehensive Synthesis of Photoreactive Phenylthiourea Derivatives for the Photoaffinity Labeling. Chemistryselect 2017, 2, 160–164. [Google Scholar] [CrossRef] [Green Version]
- Wang, L.; Yoshida, T.; Muto, Y.; Murai, Y.; Tachrim, Z.P.; Ishida, A.; Nakagawa, S.; Sakihama, Y.; Hashidoko, Y.; Masuda, K.; et al. Synthesis of Diazirine-Based Photoreactive Saccharin Derivatives for the Photoaffinity Labeling of Gustatory Receptors. Eur. J. Org. Chem. 2015, 3129–3134. [Google Scholar] [CrossRef]
- Darrow, J.W.; Hadac, E.M.; Miller, L.J.; Sugg, E.E. Structurally similar small molecule photoaffinity CCK-A agonists and antagonists as novel tools for directly probing 7TM receptor-ligand interactions. Bioorganic Med. Chem. Lett. 1998, 8, 3127–3132. [Google Scholar] [CrossRef]
- Brunner, J.; Semenza, G. Selective Labeling of the Hydrophobic Core of Membranes with 3-(Trifluoromethyl)-3-(m-[125I]iodophenyl)diazirine, a Carbene-Generating Reagent. Biochemistry 1981, 20, 7174–7182. [Google Scholar] [CrossRef]
- Döring, T.; Mitchell, P.; Osswald, M.; Bochkariov, D.; Brimacombe, R. The decoding region of 16S RNA; A cross-linking study of the ribosomal A, P and E sites using tRNA derivatized at position 32 in the anticodon loop. EMBO J. 1994, 13, 2677–2685. [Google Scholar] [CrossRef]
- Biasotti, B.; Dallavalle, S.; Merlini, L.; Farina, C.; Gagliardi, S.; Parini, C.; Belfiore, P. Synthesis of photoactivable inhibitors of osteoclast vacuolar ATPase. Bioorg. Med. Chem. 2003, 11, 2247–2254. [Google Scholar] [CrossRef]
- Wixe, T.; Almqvist, F. An improved synthesis of 3-[3-(trifluoromethyl)-3H-1,2-diazirin-3-yl]aniline: A key intermediate in the synthesis of photoaffinity probes. Tetrahedron Lett. 2017, 58, 3350–3352. [Google Scholar] [CrossRef]
- Kosemura, S.; Emori, H.; Yamamura, S.; Anai, T.; Tomita, K.; Hasegawa, K. Design of photoaffinity reagents for labeling the auxin receptor in maize. Tetrahedron Lett. 1997, 38, 2125–2128. [Google Scholar] [CrossRef]
- Murai, Y.; Yoshida, T.; Wang, L.; Masuda, K.; Hashidoko, Y.; Monde, K.; Hatanaka, Y.; Hashimoto, M. Efficient Synthesis of Photoreactive 2-Propoxyaniline Derivatives as Artificial Sweeteners. Synlett 2016, 27, 946–950. [Google Scholar] [CrossRef]
- Burkard, N.; Bender, T.; Westmeier, J.; Nardmann, C.; Huss, M.; Wieczorek, H.; Grond, S.; Von Zezschwitz, P. New fluorous photoaffinity labels (F-PAL) and their application in V-ATPase inhibition studies. Eur. J. Org. Chem. 2010, 2176–2181. [Google Scholar] [CrossRef]
- Song, Z.; Zhang, Q. Fluorous aryldiazirine photoaffinity labeling reagents. Org. Lett. 2009, 11, 4882–4885. [Google Scholar] [CrossRef] [PubMed]
- Lepage, M.L.; Simhadri, C.; Liu, C.; Takaffoli, M.; Bi, L.; Crawford, B.; Milani, A.S.; Wulff, J.E. A broadly applicable cross-linker for aliphatic polymers containing C–H bonds. Science 2019, 366, 875–878. [Google Scholar] [CrossRef] [PubMed]
- Simhadri, C.; Bi, L.; Lepage, M.L.; Takaffoli, M.; Pei, Z.; Musolino, S.F.; Milani, A.S.; DiLabio, G.A.; Wulff, J.E. Flexible polyfluorinated bis-diazirines as molecular adhesives. Chem. Sci. 2021, 12, 4147–4153. [Google Scholar] [CrossRef] [PubMed]
- Protasova, I.; Bulat, B.; Jung, N.; Bräse, S. Synthesis of diaziridines and diazirines via resin-bound sulfonyl oximes. Org. Lett. 2017, 19, 34–37. [Google Scholar] [CrossRef] [PubMed]
- Kumar, A.B.; Manetsch, R. Ammonia-free synthesis of 3-trifluoromethyl-3-phenyldiaziridine. Synth. Commun. 2018, 48, 626–631. [Google Scholar] [CrossRef]
- Gosselin, F.; O’Shea, P.D.; Roy, S.; Reamer, R.A.; Chen, C.Y.; Volante, R.P. Unprecedented catalytic asymmetric reduction of N-H imines. Org. Lett. 2005, 7, 355–358. [Google Scholar] [CrossRef]
- Schmitz, E.; Ohme, R. 3,3-Pentamethylenediazirine. In Organic Syntheses; John Wiley & Sons, Inc.: Hoboken, NJ, USA, 2003; Volume 27, p. 83. ISBN 0471264180. [Google Scholar]
- Bond, M.R.; Zhang, H.; Vu, P.D.; Kohler, J.J. Photocrosslinking of glycoconjugates using metabolically incorporated diazirine-containing sugars. Nat. Protoc. 2009, 4, 1044–1063. [Google Scholar] [CrossRef]
- Bradley, G.F.; Evans, W.B.L.; Stevens, I.D.R. Thermal and photochemical decomposition of cycloalkanespirodiazirines. J. Chem. Soc. Perkin Trans. 1977, 2, 1214–1220. [Google Scholar] [CrossRef]
- Billing, P.; Brinker, U.H. Solvent dependency of the yield of an N-monosubstituted diaziridine: A GC–MS study. Tetrahedron Lett. 2012, 53, 2822–2824. [Google Scholar] [CrossRef]
- Heine, H.W.; Hoye, T.R.; Williard, P.G.; Hoye, R.C. Diaziridines. II. Addition of diaziridines to electrophilic acetylenes. J. Org. Chem. 1973, 38, 2984–2988. [Google Scholar] [CrossRef]
- Arora, S.; Palani, V.; Hoye, T.R. Reactions of Diaziridines with Benzynes Give N-Arylhydrazones. Org. Lett. 2018, 20, 8082–8085. [Google Scholar] [CrossRef]
- Schneider, Y.; Prévost, J.; Gobin, M.; Legault, C.Y. Diazirines as potent electrophilic Nitrogen sources: Application to the synthesis of Pyrazoles. Org. Lett. 2014, 16, 596–599. [Google Scholar] [CrossRef]
- Kuznetsov, V.V.; Shevtsov, A.V.; Pleshchev, M.I.; Strelenko, Y.A.; Makhova, N.N. Diastereoselective synthesis of 1,3-di- and 1,3,3-trisubstituted diaziridines coupled with neurotransmitter amino acids. Mendeleev Commun. 2016, 26, 391–394. [Google Scholar] [CrossRef]
- Beebe, A.W.; Dohmeier, E.F.; Moura-Letts, G. Diastereoselective synthesis of substituted diaziridines from simple ketones and aldehydes. Chem. Commun. 2015, 51, 13511–13514. [Google Scholar] [CrossRef]
- Carroccia, L.; Fioravanti, S.; Pellacani, L.; Sadun, C.; Tardella, P.A. Synthesis of optically active trifluoromethyl substituted diaziridines and oxaziridines. Tetrahedron 2011, 67, 5375–5381. [Google Scholar] [CrossRef]
- Aresu, E.; Carroccia, L.; Fioravanti, S.; Pellacani, L. Desymmetrization of α-diimines: Synthesis of new 3-(diaziridin-3-yl) oxaziridines. Tetrahedron Lett. 2013, 54, 4574–4576. [Google Scholar] [CrossRef]
- Kuznetsov, V.V.; Kachala, V.V.; Makhova, N.N. Synthesis of hybrid structures comprising diaziridine and cyclopropane rings in one molecule. Mendeleev Commun. 2018, 28, 497–500. [Google Scholar] [CrossRef]
- Lykke, L.; Halskov, K.S.; Carlsen, B.D.; Chen, V.X.; Jørgensen, K.A. Catalytic asymmetric diaziridination. J. Am. Chem. Soc. 2013, 135, 4692–4695. [Google Scholar] [CrossRef]
- Syroeshkina, Y.S.; Fershtat, L.L.; Kachala, V.V.; Kuznetsov, V.V.; Makhova, N.N. Diaziridine ring expansion in 6-aryl-1,5-diazabicyclo[3.1.0]hexanes upon reactions with activated olefins in ionic liquids. Russ. Chem. Bull. 2010, 59, 1621–1630. [Google Scholar] [CrossRef]
- Pleshchev, M.I.; Kachala, V.V.; Goloveshkin, A.S.; Bushmarinov, I.S.; Kuznetsov, V.V.; Khakimov, D.V.; Makhova, N.N. Unexpected regioselectivities of [3 + 2] cycloaddition of azomethine imines to acrylonitrile and 4-nitrophenyl vinyl sulfone. Mendeleev Commun. 2013, 23, 271–273. [Google Scholar] [CrossRef]
- Pleshchev, M.I.; Epishina, M.A.; Kachala, V.V.; Kuznetsov, V.V.; Goloveshkin, A.S.; Bushmarinov, I.S.; Makhova, N.N. Ionic liquid-promoted stereoselective [3 + 2] cycloaddition of 1-hetaryl-2-nitroethenes to azomethine imines generated in situ. Mendeleev Commun. 2013, 23, 206–208. [Google Scholar] [CrossRef]
- Pleshchev, M.I.; Petukhova, V.Y.; Kuznetsov, V.V.; Khakimov, D.V.; Pivina, T.S.; Struchkova, M.I.; Nelyubina, Y.V.; Makhova, N.N. Metathesis of Azomethine Imines in Reaction of 6-aryl-1,5-Diazabicyclo[3.1.0]Hexanes with (Het)Arylidenemalononitriles. Mendeleev Commun. 2013, 23, 34–36. [Google Scholar] [CrossRef]
- Petukhova, V.Y.; Pleshchev, M.I.; Fershtat, L.L.; Kuznetsov, V.V.; Kachala, V.V.; Makhova, N.N. Metathesis of azomethine imines in the reaction of 6-aryl-1,5- diazabicyclo[3.1.0]hexanes with carbonyl compounds. Mendeleev Commun. 2012, 22, 32–34. [Google Scholar] [CrossRef]
- Molchanov, A.P.; Efremova, M.M.; Kryukova, M.A.; Kuznetsov, M.A. Selective and reversible 1,3-dipolar cycloaddition of 6-aryl-1,5-diazabicyclo[3.1.0]hexanes with 1,3-diphenylprop-2-en-1-ones under microwave irradiation. Beilstein J. Org. Chem. 2020, 16, 2679–2686. [Google Scholar] [CrossRef]
- Camp, J.E. Auto-Tandem Catalysis: Activation of Multiple, Mechanistically Distinct Process by a Single Catalyst. Eur. J. Org. Chem. 2017, 425–433. [Google Scholar] [CrossRef] [Green Version]
- Capretto, D.A.; Brouwer, C.; Poor, C.B.; He, C. Gold(I)-catalyzed formation of 3-pyrazolines through cycloaddition of diaziridine to alkynes. Org. Lett. 2011, 13, 5842–5845. [Google Scholar] [CrossRef]
- Sarkar, T.; Talukdar, K.; Roy, S.; Punniyamurthy, T. Expedient iron-catalyzed stereospecific synthesis of triazines: Via cycloaddition of aziridines with diaziridines. Chem. Commun. 2020, 56, 3381–3384. [Google Scholar] [CrossRef]
- Pleshchev, M.I.; Das Gupta, N.V.; Kuznetsov, V.V.; Fedyanin, I.V.; Kachala, V.V.; Makhova, N.N. CAN-mediated new, regioselective one-pot access to bicyclic cationic structures with 2,3-dihydro-1H-pyrazolo[1,2-a]pyrazol-4-ium core. Tetrahedron 2015, 71, 9012–9021. [Google Scholar] [CrossRef]
- Chagarovskiy, A.O.; Vasin, V.S.; Kuznetsov, V.V.; Ivanova, O.A.; Rybakov, V.B.; Shumsky, A.N.; Makhova, N.N.; Trushkov, I.V. (3+3)-Annulation of Donor–Acceptor Cyclopropanes with Diaziridines. Angew. Chem. 2018, 57, 10338–10342. [Google Scholar] [CrossRef]
- Chagarovskiy, A.O.; Kuznetsov, V.V.; Ivanova, O.A.; Goloveshkin, A.S.; Levina, I.I.; Makhova, N.N.; Trushkov, I.V. Synthesis of 1-Substituted Pyrazolines by Reaction of Donor-Acceptor Cyclopropanes with 1,5-Diazabicyclo[3.1.0]hexanes. Eur. J. Org. Chem. 2019, 2019, 5475–5485. [Google Scholar] [CrossRef]
- Dong, K.; Marichev, K.O.; Doyle, M.P. Role of Donor–Acceptor Cyclopropenes in Metal Carbene Reactions. Conversion of E-Substituted Enoldiazoacetates to Z-Substituted Metallo-Enolcarbenes. Organometallics 2019, 38, 4043–4050. [Google Scholar] [CrossRef]
- Mondal, R.R.; Khamarui, S.; Maiti, D.K. Photocatalytic Generation of Nitrenes for Rapid Diaziridination. Org. Lett. 2017, 19, 5964–5967. [Google Scholar] [CrossRef]
Publisher’s Note: MDPI stays neutral with regard to jurisdictional claims in published maps and institutional affiliations. |
© 2021 by the authors. Licensee MDPI, Basel, Switzerland. This article is an open access article distributed under the terms and conditions of the Creative Commons Attribution (CC BY) license (https://creativecommons.org/licenses/by/4.0/).














































