Challenges and Progress in Nonsteroidal Anti-Inflammatory Drugs Co-Crystal Development
Abstract
1. Introduction
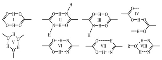
2. Co-Crystal
3. Progress on NSAID Co-Crystals
3.1. Screening NSAID Co-Crystals
3.2. Development of NSAID Co-Crystal Production
3.3. Enhancement of the Physicochemical Properties of Co-crystals
3.4. Drug–Drug Co-Crystals of NSAID
4. Challenges in NSAID Co-Crystal Development
4.1. Co-Former Selection
4.2. Solubility
4.3. Permeability
4.4. Intrinsic Dissolution Rate (IDR)
4.5. PH Microenvironment
4.6. Stability
4.6.1. Moisture Stability
4.6.2. Chemical Stability
4.6.3. Thermal Stability
4.7. Mechanical Properties of NSAID API
4.8. Polymorphism
4.9. Development of NSAID Formulations
5. Conclusions
Author Contributions
Funding
Institutional Review Board Statement
Informed Consent Statement
Conflicts of Interest
Abbreviations
| 1,2 BPE | 1,2-bis(4-pyridyl) ethane |
| 2-apy | 2-aminopyridine |
| 4,4 BP | bipyridine |
| ACF | aceclofenac |
| API | active pharmaceutical ingredient |
| ASP | aspirin |
| AUC | area under curve |
| BCS | biopharmaceutics classification system |
| CAF | caffeine |
| CD.MOF | cyclodextrin metal−organic framework |
| CEL | celecoxib |
| Cmax | concentration maximum |
| CMC | critical micelle concentration |
| CMC-S | carboxymethylcellulose sodium |
| CNX | clonixin |
| COC-LG | co-crystal—loaded with liposome gel |
| CPR | caprolactam |
| CSD | Cambridge structural database |
| COX | cyclooxygenase |
| CTC | co-crystal tramadol celecoxib |
| DFA | diclofenac |
| DFT | density functional theory |
| DHBA | dihydroxybenzoic acid |
| DIF | diflunisal |
| DSC | differential scanning calorimetry |
| DTA | differential thermal analysis |
| EA | ethyl acetate |
| ED | ethyl diclofenac |
| ET | ethenzamide |
| ETGA | ethenzamide-genticinic acid |
| FBX | febuxostat |
| FDA | food drug administration |
| FFA | flufenamic acid |
| FLU | flurbiprofen |
| FTIR | Fourier transform infrared |
| GLA | gallic acid |
| GLU | glutaric acid |
| GRAS | generally recognized as safe |
| HETCOR | heteronuclear correlation |
| HPMC | hydroxy-propyl-methylcellulose |
| IBU | ibuprofen |
| IDR | intrinsic dissolution rate |
| IL | ibuprofen—lysine |
| INC | indomethacin |
| KET | ketoprofen |
| KET-NIC | ketoprofen-nicotinamide |
| LA | lactose |
| LEV | leveracetam |
| LAG | liquid assisted grinding |
| LNX | lornoxicam |
| LYS | lysine |
| MCR-ALS | multivariate curve resolution alternating least squares |
| MFA | mefenamic acid |
| MG | N-methyl-d-glucamine |
| MSP | mesopore |
| MLX | meloxicam |
| MLA | maleic acid |
| NDPC | nano-diclofenac-proline-co-crystal |
| NFA | nifluminic acid |
| NG | neat grinding |
| NIC | nicotinamide |
| NMR | nuclear magnetic resonance |
| NPX | naproxen |
| NSAID | non-steroidal anti-inflammatory drugs |
| OXA | oxalic acid |
| OXP | oxaprozin |
| PA | picolinamide |
| PXRD | powder x-ray diffraction |
| PCM | paracetamol |
| PVP | poly-vinyl-pyhrolidone |
| PXC | piroxicam |
| PR | potassium bromide |
| PRO | proline |
| PS | potato starch |
| SA | salicylic acid |
| SAC | saccharine |
| SAS | supercritical anti-solvent |
| SAT | sodium acetate |
| SDH | sodium diclofenac hydrate |
| SDPM | sodium diclofenac l-proline monohydrate |
| SDPT | sodium diclofenac l-proline tetrahydrate |
| SDS | sodium dodecyl-sulfate |
| SFZ | sulfamethazine |
| SNP | sinapic acid |
| S-NPX-LT | sodium naproxen-lactose-tetrahydrate |
| SS | sodium saccharine |
| SSG | sodium starch glycolate |
| SCXRD | single-crystal x-ray diffraction |
| TCA | d-tartaric acid |
| TGA | thermogravimetric analysis |
| TLC | thin-layer chromatography |
| THP | theophylline |
| VF MAS NMR | very fast mas nuclear magnetic resonance |
| XO | xanthine oxidase |
| ZFN | zaltoprofen |
References
- Ghlichloo, I.; Gerriets, V. Indication and Mechanism of Action Nonsteroidal Anti-inflammatory Drugs (NSAID); StatPearls Publishing: Treasure Island, FL, USA, 2020; pp. 1–10. [Google Scholar]
- Lallana, M.J.; Feja, C.; Palacio, I.A.; Malo, S.; Rabanaque, M.J. Use of Non-Steroidal Anti-Inflammatory Drugs and Associated Gastroprotection in a Cohort of Workers. Int. J. Environ. Res. Public Health 2018, 15, 1836. [Google Scholar] [CrossRef] [PubMed]
- Vaishnavi, P.R.R.; Gaikwad, N.; Dhaneria, S.P. Assessment of Nonsteroidal Anti-Inflammatory Drug Use Pattern Using World Health Organization Indicators: A Cross-Sectional Study in a Tertiary Care Teaching Hospital of Chhattisgarh. Indian, J. Pharmacol. 2017, 49, 445–450. [Google Scholar]
- Al-Shidhani, A.; Al-Rawahi, N.; Al-Rawahi, A.; Murthi, S. Non-steroidal Anti-inflammatory Drugs (NSAIDs) Use in Primary Health Care Centers in A’Seeb, Muscat: A Clinical Audit. Oman Med. J. 2015, 30, 366–371. [Google Scholar] [CrossRef] [PubMed]
- Tsumea, Y.; Mudiea, D.M.; Langguth, P.; Amidona, G.E.; Amidon, G.L. Possibility of Extending Biopharmaceutics Classification System Based Biowaiver to BCS Class IIa Drug. Eur. J. Pharm. Sci. 2014, 16, 2065–2073. [Google Scholar]
- Altman, R.; Bosch, B.; Brune, K.; Patrignani, P.; Young, C. Advances in NSAID Development: Evolution of Diclofenac Products Using Pharmaceutical Technology. Drugs 2015, 75, 859–877. [Google Scholar] [CrossRef]
- Fukte, S.R.; Wagh, M.P.; Rawat, S. Coformer Selection: An Important Tool in Co-crystal Formation. Int. J. Pharm. Pharm. Sci. 2014, 6, 9–14. [Google Scholar]
- Santenna, C.; Kumar, S.; Balakrishnan, S.; Jhaj, R.; Ahmed, S.N. A comparative experimental study of analgesic activity of a novel non-steroidal anti-inflammatory molecule – zaltoprofen, and a standard drug – piroxicam, using murine models. J Exp Pharmacol 2019, 11, 85–91. [Google Scholar] [CrossRef]
- Kiran, H.C.; Venkatesh, D.N.; Kumar, R.R. Formulation and Characterisation of Sustained Release Microbeads Loaded with Zaltoprofen. Int. J. Appl. Pharm. 2019, 11, 173–180. [Google Scholar] [CrossRef]
- Karki, S.; Friscic, T.; Fabian, L.; Laity, P.R.; Day, G.M.; Jones, W. Improving Mechanical Properties of Crystalline Solids by Co-crystal Formation: New Compressible Forms of Paracetamol. Adv. Mater. Commun. 2009, 21, 3905–3909. [Google Scholar] [CrossRef]
- Cuong, V.P.; Jong-Suep, B.; Jong-Hun, P.; Sang-Hun, J.; Jong-Seong, K.; Cheong, W.C. A Thorough Analysis of the Effect of Surfactant/s on the Solubility and Pharmacokinetics of (S)-Zaltoprofen. Asian J. Pharm. Sci. 2019, 14, 435–444. [Google Scholar]
- Aitipamula, S.; Tan, B.H. Pharmaceutical co-crystals: Crystal engineering and applications. In Multi-Component Crystals: Synthesis, Concepts, Function; Tiekink, E.R., Schpector, J.Z., Eds.; De Gruyter: Berlin, Germany, 2018; pp. 1–27. [Google Scholar]
- Guidance for Industry: Regulatory Classification of Pharmaceutical Co-Crystals. Center for Drug Evaluation and Research, United States Food and Drug Administration. Available online: https://www.fda.gov/files/drugs/published/Regulatory-Classification-of-Pharmaceutical-Co-Crystals.pdf (accessed on 30 December 2020).
- Li, T.; Mattei, A. Pharmaceutical Crystals: Science and Engineering; Sun, C.C., Ed.; John Wiley & Sons; Mechanical Properties Inc.: Hoboken, NJ, USA, 2018; pp. 273–296. [Google Scholar]
- Ferretti, V.; Dalpiaz, A.; Bertolasi, V.; Ferraro, L.; Beggiato, S.; Spizzo, F.; Spisnil, E.; Pavan, B. Indomethacin Co-Crystals and Their Parent Mixtures: Does the Intestinal Barrier Recognize Them Differently? Mol. Pharm. 2015, 12, 1501–1511. [Google Scholar] [CrossRef]
- Erxleben, A. Co-crystal Applications in Drug Delivery. Pharmaceutics 2020, 12, 834. [Google Scholar] [CrossRef]
- Yuliandra, Y.; Zaini, E.; Syofyan, S.; Pratiwi, W.; Putri, L.N.; Pratiwi, W.; Pratiwi, Y.S.; Arifin, H. Co-crystal of Ibuprofen–Nicotinamide: Solid-State Characterization and In Vivo Analgesic Activity Evaluation. Sci. Pharm. 2018, 86, 23. [Google Scholar] [CrossRef]
- Perpétuo, G.L.; Chierice, G.O.; Ferreira, L.T.; Silva, T.F.C.F.; Venturini, J.; Arruda, M.S.P.; Bannachc, G.; Castrod, R.A.E. A combined approach using differential scanning calorimetry with polarized light thermomicroscopy in the investigation of ketoprofen and nicotinamide co-crystal. Thermochim. Acta 2017, 651, 1–10. [Google Scholar] [CrossRef]
- Kale, D.P.; Zode, S.S.; Bansal, A.K. Challenges in Translational Development of Pharmaceutical Co-crystals. J. Pharm. Sci. 2017, 106, 457–470. [Google Scholar] [CrossRef]
- Aitipamula, S.; Banerjee, R.; Bansal, A.K.; Biradha, K.; Cheney, M.L.; Choudhury, A.R.; Desiraju, G.R.; Dikundwar, A.G.; Dubey, R.; Duggirala, N.; et al. Polymorphs, Salts, and Cocrystals: What’s in a Name? Cryst. Growth Des. 2012, 12, 2147–2152. [Google Scholar] [CrossRef]
- Vioglio, P.C.; Chierotti, M.R.; Gobetto, R. Pharmaceutical Aspects of Salt and Cocrystal Forms of APIs and Characterization Challenges. Adv. Drug Deliv. Rev. 2017, 117, 86–110. [Google Scholar] [CrossRef]
- Wöhler, F. Untersuchungen über das Chinon. Justus Liebigs Ann. Chem. 1844, 51, 145–163. [Google Scholar] [CrossRef]
- Wang, L.Y.; Yua, Y.M.Y.; Jiang, F.B.; Li, Y.T.; Wu, Z.Y.; Yan, C.W. The first zwitterionic co-crystal of indomethacin with amino acid showing optimized physicochemical properties as well as accelerated absorption and slowed elimination in vivo. New J. Chem. 2020, 44, 3930–3939. [Google Scholar] [CrossRef]
- Kumar, A.; Kumar, S.; Nanda, A. A Review about Regulatory Status and Recent Patents of Pharmaceutical Co-Crystals. Adv Pharm Bull. 2018, 8, 355–363. [Google Scholar] [CrossRef]
- Goswami, P.K.; Kumar, V.; Ramanan, A. Multicomponent solids of diclofenac with pyridine based coformers. J. Mol. Struct. 2020, 1210, 128066. [Google Scholar] [CrossRef]
- Nugraha, Y.P.; Uekusa, H. Suppressed hydration in metoclopramide hydrochloride by salt co-crystallisation. CrystEngComm 2018, 20, 2653–2662. [Google Scholar] [CrossRef]
- Nugrahani, I.; Kumalasari, R.; Auli, W.; Horikawa, A.; Uekusa, H. Salt Co-crystal of Diclofenac Sodium-L-Proline: Structural, Pseudopolymorphism, and Pharmaceutics Performance Study. Pharmaceutics 2020, 12, E690. [Google Scholar] [CrossRef] [PubMed]
- Yano, Y.; Ono, T.; Hatanaka, S.; Gryko, D.T.; Hisaeda, Y. Salt–co-crystal continuum for photofunction modulation: Stimuli-responsive fluorescence color-tuning of pyridine-modified intramolecular charge-transfer dyes and acid complexes. J. Mater. Chem. C 2019, 7, 8847–8854. [Google Scholar] [CrossRef]
- Suzuki, N.; Kawahata, M.; Yamaguchi, K.; Suzuki, T.; Tomono, K.; Fukami, T. Comparison of the Relative Stability of Pharmaceutical Co-crystals Consisting of Paracetamol and Dicarboxylic Acids. Drug Dev. Ind. Pharm. 2018, 44, 582–589. [Google Scholar] [CrossRef]
- Bhattacharya, B.; Das, S.; Lal, G.; Sonib, S.R.; Ghosh, A.; Reddya, C.M.; Ghosh, S. Screening, crystal structures and solubility studies of a series of multidrug salt hydrates and co-crystals of fenamic acids with trimethoprim and sulfamethazine. J. Mol. Struct. 2020, 1119, 127028. [Google Scholar] [CrossRef]
- Verma, S.; Nanda, A.; Basu, S.P. Screening, preparation, and characterization of aceclofenac co-crystals. Drug Invent. Today 2019, 11, 81–87. [Google Scholar]
- Ishihara, S.; Hattori, Y.; Otsuka, M. MCR-ALS analysis of IR spectroscopy and XRD for the investigation of ibuprofen—Nicotinamide co-crystal formation. Spectrochim. Acta. Part. A 2019, 221, 117142. [Google Scholar] [CrossRef]
- Panzade, P.; Shendarkar, G.; Shaikh, S.; Rathi, P.B. Pharmaceutical Co-crystal of Piroxicam: Design, Formulation and Evaluation. Adv. Pharm. Bull. 2017, 7, 399–408. [Google Scholar] [CrossRef]
- Panzade, P.; Shendarkar, G. Design and Preparation of Zaltoprofen-Nicotinamide Pharmaceutical Co-crystals via Liquid Assisted Grinding Method. Indian J. Pharm. Educ. Res. 2019, 53, S567–S570. [Google Scholar] [CrossRef]
- Lemmerer, A.; Bernstein, J.; Griesser, U.J.; Kahlenberg, V.; Tobbens, D.M.; Lapidus, S.H.; Stephens, P.W.; Esterhuysen, C. A tale of two polymorphic pharmaceuticals: Pyrithyldione and propyphenazone and their 1937 co-crystal patent. Chem. Eur. J. 2011, 17, 13445–13460. [Google Scholar] [CrossRef]
- Skorupska, E.; Jeziorna, A.; Marek, J. Thermal Solvent-Free Method of Loading of Pharmaceutical Co-crystals into the Pores of Silica Particles: A Case of Naproxen/Picolinamide Co-crystal. J. Phys. Chem. C 2016, 120, 13169–13180. [Google Scholar] [CrossRef]
- Aitipamula, S.; Chowa, P.S.; Tan, R.B.H. Trimorphs of a pharmaceutical co-crystal involving two active pharmaceutical ingredients: Potential relevance to combination drugs. CrystEngComm 2009, 11, 1823–1827. [Google Scholar] [CrossRef]
- Pallipurath, A.R.; Civati, F.; Eziashi, M.; Omar, E.; McArdle, P.; Erxleben, A. Tailoring Co-crystal and Salt Formation and Controlling the Crystal Habit of Diflunisal. Cryst. Growth Des. 2016, 16, 6468–6478. [Google Scholar] [CrossRef]
- Sokal, A.; Pindelska, E.; Szeleszczuk, L.; Kolodziejski, W. Pharmaceutical properties of two ethenzamide-gentisic acid co-crystal polymorphs: Drug release profiles, spectroscopic studies and theoretical calculations. Int. J. Pharm. 2017, 522, 80–89. [Google Scholar] [CrossRef]
- Khatioda, R.; Bora, P.; Sarma, B. Trimorphic Ethenzamide Co-crystal: Invitro Solubility and Membrane Efflux Studies. Cryst. Growth Des. 2018, 18, 4637–4645. [Google Scholar] [CrossRef]
- Tong, Y.; Wang, Z.; Dang, L.; Wei, H. Solid-liquid phase equilibrium and ternary phase diagrams of ethenzamide-saccharin co-crystals in different solvents. Fluid Phase Equilib. 2016, 419, 24–30. [Google Scholar] [CrossRef]
- Nechipadappu, S.K.; Trived, D.R. Co-crystal of nutraceutical sinapic acid with Active Pharmaceutical Ingredients ethenzamide and 2-chloro-4-Nitrobenzoic acid: Equilibrium solubility and stability study. J. Mol. Struct. 2018, 1171, 898–905. [Google Scholar] [CrossRef]
- Wang, L.; Tan, B.; Zhang, H.; Deng, Z. Pharmaceutical Co-crystals of Diflunisal with Nicotinamide or Isonicotinamide. Org. Process. Res. Dev. 2013, 17, 1413–1418. [Google Scholar] [CrossRef]
- Evora, A.O.L.; Castro, R.A.E.; Maria, T.M.R.; Rosado, E.T.S.; Silva, M.R.; Beja, A.M.; Canotilh, J.; Eusébio, M.E.S. Pyrazinamide-Diflunisal: A New Dual-Drug Co-Crystal. Cryst. Growth Des. 2011, 11, 4780–4788. [Google Scholar] [CrossRef]
- Surov, A.O.; Manin, A.N.; Voronin, A.P.; Boycov, D.E.; Magdysyuk, O.V.; Perlovich, G.L. Pharmaceutical Co-crystals of Diflunisal and Diclofenac with Theophylline. Mol. Pharm. 2014, 11, 3707–3715. [Google Scholar] [CrossRef] [PubMed]
- Rai, S.K.; Allu, S.; Nangia, A.K. Salts and Co-crystal of Etodolac: Advantage of Solubility, Dissolution, and Permeability. Cryst. Growth Des. 2020, 20, 4512–4522. [Google Scholar] [CrossRef]
- Min-Sook, J.; Jeong-Soo, K.; Min-Soo, K.; Alhalaweh, A.; Cho, W.; Hwang, S.J.; Velaga, S.P. Bioavailability of indomethacin-saccharin co-crystals. J. Pharm. Pharmacol. 2010, 62, 1560–1568. [Google Scholar]
- Nugrahani, I.; Utami, D.; Ibrahim, S.; Nugraha, Y.P.; Uekusa, H. Zwitterionic co-crystal of diclofenac and L-proline: Structure determination, solubility, kinetics of co-crystallization, and stability study. Eur. J. Pharm. Sci. 2018, 117, 168–176. [Google Scholar] [CrossRef]
- Nugrahani, I.; Utami, D.; Permana, B.; Ibrahim, S. Development of the NSAID-l-Proline Amino Acid Zwitterionic Co-crystals. J. Appl. Pharm. Sci. 2018, 8, 57–63. [Google Scholar]
- Nugrahani, I.; Utami, D.; Nugraha, Y.P.; Uekusa, H.; Hasianna, R.; Darusman, A.A. Co-crystal construction between the ethyl ester with parent drug of diclofenac: Structural, stability, and anti-inflammatory study. Heliyon 2019, 5, e02946. [Google Scholar] [CrossRef]
- Nugrahani, I.; Komara, S.W.; Horikawa, A.; Uekusa, H. Composing Novel Diclofenac Potassium and l-Proline Salt Co-crystal as a Strategy to Increase Solubility and Dissolution. J. Pharm. Sci. Res. 2020, 109, 3423–3438. [Google Scholar]
- Nugrahani, I.; Auli, W.N. Diclofenac-proline nano-co-crystal development, characterization, in vitro dissolution and diffusion study. Heliyon 2020, 6, e04864. [Google Scholar] [CrossRef]
- Sevukarajan, M.; Thanuja, B.; Riyaz, S.; Rahul, N. Synthesis and Characterization of a Pharmaceutical Co-Crystal: (Aceclofenac: Nicotinamide). J. Pharm. Sci. Res. 2011, 3, 1288–1293. [Google Scholar]
- Verma, S.; Nanda, A.; Basu, S.P. Improvement of solubility and bioavailability of aceclofenac using co-crystallization. Drug Invent. Today 2019, 11, 59–63. [Google Scholar]
- Sharma, G.; Saini, M.K.; Thakur, K.; Kapil, N.; Garg, N.K.; Raza, K.; Goni, V.G.; Pareek, A.; Katare, O.P. Aceclofenac co-crystal nanoliposomes for rheumatoid arthritis with better dermatokinetic attributes: A preclinical study. Nanomedicine 2017, 12, 615–638. [Google Scholar] [CrossRef]
- Wicaksono, Y.; Setyawan, D.; Siswaodihardjo, S. Multicomponent Crystallization of Ketoprofen-Nicotinamide for Improving the Solubility and Dissolution Rate. Chem. J. Mold. 2018, 13, 74–81. [Google Scholar] [CrossRef]
- Neurohr, C.; Erriguible, A.; Laugier, S.; Paternault, S.P. Challenge of the supercritical antisolvent technique SAS to prepare co-crystal-pure powders of naproxen-nicotinamide. Chem. Eng. J. 2016, 303, 238–251. [Google Scholar] [CrossRef]
- Rajurkar, V.G.; Gite, R.D.; Ghawate, V.B. Development of Naproxen Co Crystal Formation: An Efficient Approach to Enhance Aqueous Solubility. Anal. Chem. Lett. 2015, 5, 229–238. [Google Scholar] [CrossRef]
- Wei, Y.; Zhang, L.; Wang, N.; Shen, P.; Dou, H.; Ma, K.; Gao, Y.; Zhang, J.; Qian, S. Mechanistic Study on Complexation-Induced Spring and Hover Dissolution Behavior of Ibuprofen-Nicotinamide Co-crystal. Cryst. Growth Des. 2018, 18, 7343–7355. [Google Scholar] [CrossRef]
- Surov, A.O.; Manin, A.N.; Voronin, A.P.; Boycov, D.E.; Magdysyuk, O.V.; Perlovich, G.L. New Pharmaceutical Co-crystal Forms of Flurbiprofen: Structural, Physicochemical, and Thermodynamic Characterization. Cryst. Growth Des. 2019, 19, 5751–5761. [Google Scholar] [CrossRef]
- Machado, S.; Castro, R.; Maria, T.M.R.; Canotilho, J.; Eusebio, M.E.S. Levetiracetam + nonsteroidal anti-inflammatory drug binary systems: A contribution to the development of new solid dosage forms. Int. J. Pharm. 2017, 533, 1–13. [Google Scholar] [CrossRef]
- Panzade, P.; Shendarkar, G. Superior Solubility and Dissolution of Zaltoprofen via Pharmaceutical Co-crystals. Turk. J. Pharm. Sci. 2019, 16, 310–316. [Google Scholar] [CrossRef]
- Aitipamula, S.; Wong, A.B.H.; Chow, P.S.; Tan, R.B.H. Novel solid forms of oxaprozin: Co-crystals and an extended release drug–drug salt of salbutamol. RSC Adv. 2016, 6, 34110–34119. [Google Scholar] [CrossRef]
- Utami, D.; Nugrahani, I.; Ibrahim, S. Mefenamic acid-nicotinamide co-crystal synthesized by using melt crystallization method and its solubility study. Asian J. Pharm. Clin. Res. 2017, 10, 135–139. [Google Scholar]
- Wichianphong, N.; Charoenchaitrakool, M. Statistical optimization for production of mefenamic acid–nicotinamide co-crystals using gas anti-solvent (GAS) process. J. Ind. Eng. Chem. 2018, 62, 375–382. [Google Scholar] [CrossRef]
- Zaini, E.; Fitriani, L.; Sari, R.Y.; Rosaini, H.; Horikawa, A.; Uekusa, H. Multicomponent Crystal of Mefenamic Acid and N-Methyl-d-Glucamine: Crystal Structures and Dissolution Study. J. Pharm. Sci. 2019, 108, 2341–2348. [Google Scholar] [CrossRef]
- Guo, M.; Wang, K.; Hamill, N.; Lorimer, K.; Li, M. Investigating the influence of polymers on supersaturated flufenamic acid co-crystal solutions. Mol. Pharm. 2016, 13, 3292–3307. [Google Scholar] [CrossRef] [PubMed]
- Joshi, T.V.; Singaraju, A.B.; Shah, H.S.; Morris, K.R.; Stevens, L.L.; Haware, R.V. Structure-mechanics and compressibility profile study of flufenamic acid: Nicotinamide co-crystal. Cryst. Growth Des. 2018, 18, 5853–5865. [Google Scholar] [CrossRef]
- Mittapalli, S.; Mannava, M.C.; Sahoo, R.; Nangia, A. Co-crystals, Salts, and Supramolecular Gels of Nonsteroidal Anti-Inflammatory Drug Niflumic Acid. Cryst. Growth Des. 2019, 19, 219–230. [Google Scholar] [CrossRef]
- Bolla, G.; Sanphui, P.; Nangia, A. Solubility advantage of tenoxicam phenolic co-crystals c compared to salts. Cryst. Growth Des. 2013, 13, 1988–2003. [Google Scholar] [CrossRef]
- Li, D.; Li, J.; Deng, Z.; Zhang, H. Piroxicam-clonixin drug-drug co-crystal solvates with enhanced hydration stability. CrystEngComm 2019, 21, 4145–4149. [Google Scholar] [CrossRef]
- Modani, S.; Gunnam, A.; Yadav, B.; Nangia, A.K.; Shastri, N.R. Generation and Evaluation of Pharmacologically Relevant Drug-Drug Co-crystal For Gout Therapy. Cryst. Growth Des. 2020, 20, 3577–3583. [Google Scholar] [CrossRef]
- Machado, T.; Gelain, A.; Rosa, J.; Gonçalves, S.; Thiago, S.C.; Caon, T. Co-crystallization as a novel approach to enhance the transdermal administration of meloxicam. Eur. J. Pharm. Sci. 2018, 15, 184–190. [Google Scholar] [CrossRef]
- Cheney, M.L.; Weyna, D.R.; Shan, N.; Hanna, M.; Wojtas, L.; Michael, J. Coformer selection in pharmaceutical cocrystal development: A case study of a meloxicam aspirin cocrystal that exhibits enhanced solubility and pharmacokinetics. J. Pharm. Sci. 2011, 100, 2172–2181. [Google Scholar] [CrossRef]
- Weyna, D.R.; Cheney, M.L.; Shan, N.; Hanna, M.; Zaworotko, M.J.; Sava, V.; Song, S.; Sanchez, R.J.R. Improving Solubility and Pharmacokinetics of Meloxicam via Multiple-Component Crystal Formation. Mol. Pharmaceutics 2012, 9, 2094–2102. [Google Scholar] [CrossRef]
- Gadade, D.D.; Kulkarni, D.A.; Rathi, P.B.; Pekamwar, S.S.; Joshi, S.S. Solubility Enhancement of Lornoxicam by Crystal Engineering. Indian J. Pharm. Sci. 2017, 79, 277–286. [Google Scholar] [CrossRef]
- Patel, D.M.; Shah, H.R.; Patel, R.J.; Patel, C.N. Preparation and Characterization of Lornoxicam Co-crystals. World, J. Pharm. Pharm. Sci. 2014, 3, 713–732. [Google Scholar]
- Nijhawan, M.; Santhosh, A.; Babu, P.R.S.; Subrahmanyam, C.V.S. Solid state manipulation of lornoxicam for co-crystals—physicochemical characterization. Drug Dev. Ind. Pharm. 2014, 40, 1163–1172. [Google Scholar] [CrossRef]
- Gascon, N.; Almansa, C.; Merlos, M.; Vela, J.M.; Encina, G.; Morte, A.; Smith, K.; Plata-Salamán, C. Co-crystal of Tramadol-Celecoxib: Preclinical and Clinical Evaluation of a Novel Analgesic. Expert Opin. Invest. Drugs 2019, 28, 399–409. [Google Scholar] [CrossRef]
- Cedrun, J.L.; Videla, S.; Burgueno, M.; Juarez, I.; Hosn, S.A.; Granizo, R.M.; Grau, J.; Puche, M.; Gil-Diez, J.L.; Hueto, J.A.; et al. Co-crystal of Tramadol-Celecoxib in Patients with Moderate to Severe Acute Post-surgical Oral Pain: A Dose-Finding, Randomised, Double-Blind, Placebo- and Active-Controlled, Multicentre, Phase II Trial. Drugs R&D 2018, 18, 137–148. [Google Scholar]
- Zhang, S.W.; Brunskill, A.P.J.; Schwartz, E.; Sun, S. Celecoxib-Nicotinamide Co-crystal Revisited: Can Entropy Control Co-crystal Formation? Cryst. Growth Des. 2017, 17, 2836–2843. [Google Scholar] [CrossRef]
- Latif, S.; Abbas, N.; Hussain, A.; Arshad, M.S.; Bukhari, N.I.; Afzal, H.; Riffat, S.; Ahmad, Z. Development of Paracetamol-Caffeine Co-Crystals to Improve Compressional, Formulation and in Vivo Performance. Drug Dev. Ind. Pharm. 2018, 44, 1099–1108. [Google Scholar] [CrossRef]
- Pathak, C.D.; Savjani, K.T.; Gajjar, A.K.; Savjani, J.K. Co-crystal formation of paracetamol with indomethacin and mefenamic acid: An efficient approach to enhance solubility. Int. J. Pharm. Pharm. Sci. 2013, 5, 414–419. [Google Scholar]
- Blagden, N.; de Matas, D.; Gavan, P.T.; York, P. Crystal engineering of active pharmaceutical ingredients to improve solubility and dissolution rates. Adv. Drug Deliv. Rev. 2007, 5I9, 617–630. [Google Scholar] [CrossRef]
- Kerr, H.E.; Softley, L.K.; Suresh, K.; Hodgkinson, P.; Evans, I.R. Structure and Physicochemical Characterization of a Naproxen—Picolinamide Co-crystal. Acta Crystallogr. Sect. C Struct. Chem. 2017, C73, 168–175. [Google Scholar] [CrossRef]
- Helmy, H.S.; Sahar, A.E.E.; Sayed, R.H.; Shamma, R.N.; Salama, A.H.; Elbaz, E.M. Therapeutic effects of lornoxicam-loaded nanomicellar formula in experimental models of rheumatoid arthritis. Int. J. Nanomed. 2017, 12, 7015–7023. [Google Scholar] [CrossRef] [PubMed]
- Isola, G.; Alibrandi, A.; Pedullà, E.; Grassia, V.; Ferlito, S.; Perillo, L.; Rapisarda, E. Analysis of the Effectiveness of Lornoxicam and Flurbiprofen on Management of Pain and Sequelae Following Third Molar Surgery: A Randomized, Controlled, Clinical Trial. J. Clin. Med. 2019, 8, 325. [Google Scholar] [CrossRef] [PubMed]
- Das, S.K.; Banerjee, M.; Mondal, S.; Ghosh, B.; Ghosh, B.; Sen, S. A Comparative Study of Efficacy and Safety of Lornoxicam Versus Tramadol as Analgesics After Surgery on Head and Neck. Indian J. Otolaryngol. Head Neck Surg. 2013, 65, 126–130. [Google Scholar] [CrossRef] [PubMed][Green Version]
- Pillinger, M.H.; Mandell, B.F. Therapeutic approaches in the treatment of gout. Semin. Arthritis Rheum. 2020, 50, S24–S30. [Google Scholar] [CrossRef] [PubMed]
- Latourte, A.; Pascart, T.; Flipo, R.M.; Chalès, G.; Coblentz-Baumann, L.; Cohen-Solal, A.; Ea, H.K.; Grichy, J.; Letavernier, E.; Lioté, F.; et al. 2020 Recommendations from The French Society Of Rheumatology For The Management Of Gout: Urate-Lowering Therapy. Joint Bone Spine 2020, 87, 395–404. [Google Scholar]
- Jafari, M.K.; Padrela, L.; Walker, G.M.; Croker, D.M. Creating Cocrystals: A review of Pharmaceutical Cocrystal Preparation Routes and Applications. Cryst. Growth Des. 2018, 18, 6370–6387. [Google Scholar] [CrossRef]
- Berry, D.J.; Seaton, C.C.; Clegg, W.; Harrington, R.W.; Coles, S.J.; Horton, P.N.; Hursthouse, M.B.; Storey, R.; Jones, W.; Friščić, T.; et al. Applying HotStage Microscopy to Co-Crystal Screening: A Study of Nicotinamide with Seven Active Pharmaceutical Ingredients. Cryst. Growth Des. 2008, 8, 1697–1712. [Google Scholar] [CrossRef]
- Guerain, M.; Guinet, Y.; Correia, N.T.; Correia, N.T.; Paccou, L.; Danède, F.; Hédoux, A. Polymorphism and stability of ibuprofen/nicotinamide co-crystal: The effect of the crystalline synthesis method. Int. J. Pharm. 2020, 584, 119454. [Google Scholar] [CrossRef]
- Revelli, A.L.; Laugier, S.; Erriguiblea, A.; Paternault, P.S. High-pressure solubility of naproxen, nicotinamide and their mixture in acetone with supercritical CO2 as an anti-solvent. Fluid Phase Equilib. 2014, 373, 29–33. [Google Scholar] [CrossRef]
- Tamer, M.A.; Ahmed, K.K.; Muhsin, Z. Nanocrystal Technology as a Tool for Improving Dissolution of Poorly Soluble Drugs. Int. J. Appl. Pharm. 2019, 11, 180–192. [Google Scholar]
- Jaspreet, K.; Sandeep, K. Development of Nanocrystal Formulation with Improved Dissolution. J. Drug Delivery Ther. 2018, 8, 118–129. [Google Scholar]
- Chun, N.; Lee, M.J.; Song, G.H.; Chang, K.Y.; Kim, C.S.; Choi, G.J. Combined anti-solvent and cooling method of manufacturing indomethacin–saccharin (IMC–SAC) co-crystal powders. J. Cryst. Growth 2014, 408, 112–118. [Google Scholar] [CrossRef]
- Sohrab, M.; Mahapatra, S.P.; Tiwari, S. Enhancement of Dissolution Rate of Aceclofenac by Formation of Aceclofenac-Nicotinic Acid Co-crystal using Water Soluble Polymers like PVPK-30, HPMCE5, SSG and Na-CMC. Indo Glob. J. Pharm. Sci. 2015, 5, 154–170. [Google Scholar] [CrossRef]
- Hartlieb, K.J.; Ferris, D.P.; Holcroft, J.M.; Kandela, I.; Stern, C.L.; Nassar, M.S.; Botros, Y.; Stoddart, J.F. Encapsulation of Ibuprofen in CD-MOF and Related Bioavailability Studies. Mol. Pharmaceutics 2017, 14, 1831–1839. [Google Scholar] [CrossRef]
- Videla, S.; Lahjou, M.; Vaque, A.; Encabo, M.; Soler, L.; Sans, A.; Sicard, E.; Gascón, N.; Encina, G.; Salamán, C.P. Single-dose pharmacokinetics of Co-Crystal of Tramadol-Celecoxib: Results of a 4-way randomized open-label Phase I clinical trial in healthy subjects. Br. J. Clin. Pharmacol. 2017, 83, 2718–2728. [Google Scholar] [CrossRef]
- Efficacy and safety in a randomised acute pain study of MR308 (tramadol/celecoxib). (STARDOM1). [Updated 29 May 2018, cited 15 September 2020. Available online: https://clinicaltrials.gov/ct2/show/NCT02982161?term=MR308&rank=1 (accessed on 31 December 2020).
- ClinicalTrials.gov. U.S. Efficacy and Safety in a Randomised Acute Pain Study of MR308: STARDOM2. (STARDOM2). [updated 20 September 2018; cited 15 September 2020]. Available online: https://clinicaltrials.gov/ct2/show/NCT03062644?term=MR308&rank=2Acc (accessed on 31 December 2020).
- ClinicalTrials.gov. U.S. Co-Crystal E-58425 vs. Tramadol and Celecoxib for Moderate to Severe Acute Pain after Bunionectomy. PHase III Clinical Trial. [Updated 24 January 2019; cited 15 September 2020]. Available online: https://clinicaltrials.gov/ct2/show/NCT03108482 (accessed on 31 December 2020).
- Ahmed, M.A.E.; El, M.E.M.; Ahmed, A.A.E. Protective Effects of Febuxostat Against Paraquatinduced Lung Toxicity in Rats: Impact On RAGE/PI3K/Akt Pathway and Downstream Inflammatory Cascades. Life Sci. 2019, 221, 56–64. [Google Scholar] [CrossRef]
- Jacob, S.; Herndon, D.N.; Hawkins, H.K.; Enkhbaatar, P. COX RA. Xanthine Oxidase Contributes to Sustained Airway Epithelial Oxidative Stress After Scald Burn. Int. J. Burns Trauma 2017, 7, 98–106. [Google Scholar]
- Fahmi, A.N.; Shehatou, G.S.; Shebl, A.M.; Salem, H.A. Febuxostat Protects Rats Against Lipopolysaccharide-Induced Lung Inflammation in A Dose-Dependent Manner. Naunyn-Schmiedeberg’s Arch. Pharmacol. 2016, 389, 269–278. [Google Scholar]
- Damarla, M.; Johnston, L.F.; Liu, G.; Gao, L.; Wang, L.; Varela, L.; Kolb, T.M.; Kim, B.S.; Damico, R.L.; Hassoun, P.M. XOR Inhibition with Febuxostat Accelerates Pulmonary Endothelial Barrier Recovery and Improves Survival in Lipopolysaccharide-Induced Murine Sepsis. Physiol. Rep. 2017, 5, e13377. [Google Scholar] [CrossRef]
- Davoodi, L.; Abedi, S.M.; Salehifar, E.; Navai, R.A.; Hamed, R.; Ghasemali, K.; Hosseinimeh, S.J. Febuxostat Therapy in Outpatients With Suspected COVID-19: A Clinical Trial. Int. J. Clin. Pract. 2020, 74, e13600. [Google Scholar] [CrossRef] [PubMed]
- Furihata, K.; Nagasawa, K.; Hagino, A.; Kumagai, Y. A drug–drug interaction study of a novel, selective urate reabsorption inhibitor dotinurad and the non steroidal anti inflammatory drug oxaprozin in healthy adult males. Clin. Exp. Nephrol. 2020, 24, S36–S43. [Google Scholar] [CrossRef]
- Almansa, C.; Frampton, C.S.; Vela, J.M.; Whitelock, S.; Plata-Salamán, C.R. Co-Crystals as A New Approach To Multimodal Analgesia And The Treatment Of Pain. J. Pain Res. 2019, 12, 2679–2689. [Google Scholar] [CrossRef] [PubMed]
- Ramiro, S.; Radner, H.; Heijde, D.M.V.D.; Buchbinder, R.; Aletaha, D.; Landewé, R.B. Combination Therapy for Pain Management In Inflammatory Arthritis: A Cochrane Systematic Review. J. Rheumatol. Suppl. 2012, 90, 47–55. [Google Scholar] [CrossRef] [PubMed]
- Shaikh, R.; Singh, R.; Walker, G.M.; Croker, D.M. Pharmaceutical Co-crystal Drug Products: An Outlook on Product Development. Trends Pharmacol. Sci. 2018, 39, 1033–1048. [Google Scholar]
- Khatioda, R.; Saikia, B.; Das, P.J.; Sarma, B. Solubility and in vitro drug permeation behavior of ethenzamide co-crystals regulated in physiological ph environments. CrystEngComm 2017, 19, 6992–7000. [Google Scholar] [CrossRef]
- Good, D.J.; Hornedo, N.R. Co-crystal Eutectic Constants and Prediction of Solubility Behavior. Cryst. Growth Des. 2010, 10, 1028–1032. [Google Scholar] [CrossRef]
- Guzman, H.R.; Mark, T.; Zhang, Z.; Shaw, P.; Gardner, C.R.; Chen, H.; Moreau, J.P.; Almarsson, Ö.; Remenar, J.F. Combined use of crystalline salt forms and precipitation inhibitors to improve oral absorption of celecoxib from solid oral formulations. J. Pharm. Sci. 2007, 96, 2686–2702. [Google Scholar] [CrossRef]
- Issa, M.G.; Ferraz, H.G. Intrinsic Dissolution as a Tool for Evaluating Drug Solubility in Accordance with the Biopharmaceutics Classification System. Dissolution Technol. 2011, 18, 6–13. [Google Scholar] [CrossRef]
- Chow, S.F.; Chen, M.; Shi, L.; Chow, A.H.; Sun, C.C. Simultaneously Improving the Mechanical Properties, Dissolution Performance, and Hygroscopicity of Ibuprofen and Flurbiprofen by Co-crystallization with Nicotinamide. Pharm. Res. 2012, 29, 1854–1865. [Google Scholar] [CrossRef]
- Machado, T.C.; Kuminek, G.; Cardoso, S.G.; Hornedo, N.R. The role of pH and dose/solubility ratio on co-crystal dissolution, drug supersaturation and precipitation. Eur. J. Pharm. Sci. 2020, 152, 105422. [Google Scholar] [CrossRef]
- Vemuri, V.D.; Lankalapalli, S. Insight into Concept and Progress on Pharmaceutical Co-Crystals: An Overview. Indian J. Pharm. Educ. Res. 2019, 53, 522–538. [Google Scholar] [CrossRef]
- Oswald, D.H.; Allan, D.R.; McGregor, P.A.; Mortherwell, W.D.S.; Parsons, S.; Pulham, C.R. The formation of paracetamol (acetaminophen) adducts with hydrogen-bond acceptors. Acta Crystallogr. Sect. B Struct. Sci. 2002, 58, 1057–1066. [Google Scholar] [CrossRef]
- Wicaksono, Y.; Setyawan, D.; Siswaodihardjo, S. Formation of Ketoprofen-Malonic Acid Co-crystal by Solvent Evaporation Method. Indones. J. Chem. 2017, 17, 161–166. [Google Scholar] [CrossRef][Green Version]
- Kulkarni, A.; Bachhav, R.; Hol, V.; Shete, S. Co-Crystals of Active Pharmaceutical Ingredient-Ibuprofen Lysine. Int. J. Appl. Pharm. 2020, 12, 22–32. [Google Scholar] [CrossRef]
- Chattoraj, S.; Shi, L.; Chen, M.; Alhalaweh, A.; Velaga, S.; Sun, C.C. Origin of Deteriorated Crystal Plasticity and Compaction Properties of a 1:1 Co-crystal between Piroxicam and Saccharin. Cryst. Growth Des. 2014, 14, 3864–3874. [Google Scholar] [CrossRef]
- Nasir, A.; Sumera, L.; Hafsa, A.; Arshad, M.S.; Hussain, A.; Sadeeqa, S.; Bukhari, N.I. Simultaneously Improving Mechanical, Formulation, and In Vivo Performance of Naproxen by Co-Crystallization. AAPS PharmSciTech 2018, 19, 3249–3257. [Google Scholar]
- Pharmaceutical Solid Polymorphism Chemistry, Manufacturing, and Controls Information Center for Drug Evaluation and Research, United States Food and Drug Administration. Available online: https://www.fda.gov/regulatory-information/search-fda-guidance-documents/andaspharmaceutical-solid-polymorphism-chemistry-manufacturing-and-controls-information (accessed on 30 December 2020).
- Child, S.L.; Hardcastle, K.I. Co-crystals of Piroxicam with Carboxylic Acids. Cryst. Growth Des. 2007, 7, 1291–1304. [Google Scholar] [CrossRef]
- Remenar, J.F.; Peterson, M.L.; Stephen, P.W.; Zhang, Z.; Zimenkov, Y.; Hickey, M.B. Celecoxib: Nicotinamide Dissociation: Using Excipients to Capture the Co-crystal’s Potential. Mol. Pharmaceutics 2007, 4, 386–400. [Google Scholar] [CrossRef]
- Sovago, I.; Wang, W.; Qiu, D.; Raijada, D.; Rantanen, J.; Grohganz, H.; Rades, T.; Bond, A.D.; Lobmann, K. Properties of the Sodium Naproxen-Lactose Tetrahydrate Co-Crystal upon Processing and Storage. Molecules 2016, 21, 509. [Google Scholar] [CrossRef]














| Group of NSAID | API-Coformer | Ratio | Preparation Methods | Advance | Refs |
|---|---|---|---|---|---|
| Salicylic acid derivatives | Ethenzamide-gentisinic acid | 1:1 | Solvent evaporation | Increased dissolution rate and is more stable at high pressures. | [39] |
| Ethenzamide-2,4 dihydroxybenzoic acids | 1:1 | Neat grinding | Has good stability, non-hygroscopic, higher solubility. | [40] | |
| Ethenzamide-saccharine | 1:1.1 | Neat grinding | Significantly increases solubility and permeability. | [41] | |
| Ethenzamide-sinapic acid | 1:1 | Solvent evaporation | Has good thermal stability. | [42] | |
| Diflunisal-nicotinamide | 2:1 | Solution co-crystallization | Thermal stability, improvements to solubility and dissolution. | [43] | |
| Diflunisal-isonicotinamide | 2:1 | Solution co-crystallization | |||
| Diflunisal-pyrazine | 2:1 | Ball milling | [44] | ||
| Diflunisal-theophylline | 1:1 | Solvent-drop grinding | Increased solubility up to 2.3-fold, indicated for asthma therapy. | [45] | |
| Indole | etodolac-piperazine | 2:1 | Solvent-drop grinding | Sstable and increased solubility of todolace. | [46] |
| Etodolac-isonicotinamide | 1:1 | ||||
| Indomethacin-l-proline | 1:1 | Increased solubility, bioavailability, permeability up to 2-fold and improved pharmacokinetic profiles such as increasing cmax up to 1.6-fold in 1h, accelerating tmax, and extending the drug half-life. | [23] | ||
| Indomethacin-saccharine | 1:1 | Refrigerant crystallization method without seeding | Increased stability, bioavailability, solubility and intrinsic dissolution rate up to 1.7-fold at pH 1.2. | [47] | |
| Indomethacin-2-hidroksi-4-metilpiridin | 1:1 | Slow solvent evaporation | Increased permeability up to 2-fold. | [15] | |
| Heteroacil acetic acid | Diclofenac-l-proline | 1:1 | Liquid assisted grinding and neat grinding | Increased stability and solubility up to 7.69-fold. | [48,49] |
| diclofenac-theophylline | 3:1 | Solvent-drop grinding | Increased dissolution rate up to 1.3-fold, indicated for asthma therapy. | [45] | |
| Diclofenac-ethyl diclofenac | 1:1 | Solvent evaporation | Increased chemical stability and inflamatory activity. | [50] | |
| Sodium-diclofenac-l-proline-tetrahydrate | 1:1:1:4 | Increased stability and solubility up to 3.1-fold. | [27] | ||
| Sodium-diclofenac-l-proline-monohydrate | 1:1:1:1 | Increased dissolution rate and solubility up to 4.8-fold. | |||
| Potassium-diclofenac-l-proline-hydrate | 1:1:1:4 | Slow evaporation and aided by ultrasonic | Increased solubility and intrinsic dissolution rate salt potassium diclofenac up to 3.55-fold. | [51] | |
| Nano-diclofenac-l-proline | 1:1 | Top-down with the ng and bottom-up with microwaving assisted rapid evaporation | Increased solubility up to 2.64-fold and increased diffusion up to 2.06 fold that of the dfa-pro co-crystal. | [52] | |
| Aceclofenac-nicotinamide | 1:1 | Neat grinding | Reduced size, increased bioavailability up to 1.77-fold. | [31,53] | |
| Aceclofenac-gallic acid | 1:1 | Solvent evaporation | Increased bioavailability of co-crystal up to 1.73-fold. | [54] | |
| Aceclofenac-lysine | 1:1 | Solvent drop grinding | Higher melting point than parent drug, 201 °C | [55] | |
| Arylpropionic acid | Ketoprofen-nicotinamide | 2:1 | Solvent evaporation | Increased solubility up to 1.3-fold. | [56] |
| Naproxen-nicotinamide | 2:1 | Supercritical antisolvent | Size distribution ranging between 20 μm and 1 mm and flow ratio increased to 36 times. | [57] | |
| Naproxen-urea | 1:3 | Solvent evaporation | Increased dissolution rate up to 4.37-fold, has good powder flow properties and compressibility. | [58] | |
| Naproxen-thiourea | 1:2 | Solvent evaporation | Increased dissolution rate up to 4.5-fold. | ||
| Ibuprofen-nicotinamide | 1:1 | Solvent evaporation | Increased solubility up to 70-fold, dissolution rate up to 2.5-fold and improved the level of pain inhibition up to 2-fold. | [17,59] | |
| Flurbiprofen-benzamide | 1:1 | Liquid-assisted grinding | Increased solubility, intrinsic dissolution rate, and showed a swift and massive dissolution within the first 1h. | [60] | |
| Flurbiprofen-picolinamide | 1:1 | Solvent evaporation | Increased dissolution rate up to 4.37-fold, has good powder flow properties and compressibility. | ||
| Ibuprofen (R,S)-leverasetam | 1:1 | Green neat mechanochemical | Increased dissolution rate up to 2.5-fold, indicated to treat epilepsy accompanied by inflammation. | [61] | |
| Zaltoprofen-nicotinamide | 1:1 | Dry milling and solution-assisted grinding methods | Increased solubility up to 149-fold, dissolution up to 2.25-fold, thermal stability, and improved micromeritic properties, especially the flow rate of zaltoprofen. | [34,62] | |
| Oxaprozin-1,2-bis (4-pyridyl) ethane | 1:0.5 | Solvent evaporation | Stable and not hygroscopic. | [63] | |
| Anthranilic acid (phenamic) | Mefenamic acid-nicotinamide | 1:2 | Melt crystallization | Increased solubility up to 1.6-fold. | [64] |
| 5:1 | Gas anti-solvent | Increased the dissolution rate about 10–38-fold. | [65] | ||
| Mefenamic acid-n-methyl-d-glucamine | 1:1 | Solvent evaporation | Increased dissolution up to 3.3-fold. | [66] | |
| Flufenamic acid-nicotinamide | 1:1 | Solvent evaporation | Increased solubility up to 1.1-fold and has good tabletability. | [67,68] | |
| Flufenamic acid-sulfamethazine | 1:1 | Liquid-assisted grinding | An increase in solubility of about 2.9–4-fold, indicated for pain relief therapy and preventive postoperative infections. | [30] | |
| Niflumic acid-caprolactam | 1:1 | Liquid-assisted grinding | Increased solubility up to 1.4-fold and dissolution rate up to 2-fold, indicated for pain relief therapy and preventive postoperative infections. | [69] | |
| Enolic acid | Tenoxicam-resorcinol | 1:1 | Liquid-assisted grinding | Increased solubility up to 10-fold and intrinsic dissolution rates up to 8-fold. | [70] |
| Piroxicam-sodium acetate | 1:1 | Dry grinding | Increased solubility up to 5-fold and dissolution up to 6.34-fold. | [33] | |
| Piroxicam-clonixin-ethyl acetate | 1:1 | Slurry methods | Improved stability at high humidity up to 95% RH. Synergistic therapeutic of anti-inflammatory. | [71] | |
| Piroxicam-febuxostat | 1:1 | Solvent evaporation | Increased stability, flow rate, compressibility, solubility febuxostat in pH medium 1.2–4.5 up to 2.5-fold, increased solubility piroxicam at pH 6.8 and 7.4, and improved dissolution rate piroxicam up to 2.8-fold in ph medium 1.2–4.5. indicated for gout therapy as uricosuric, anti-inflammatory, and analgesic agent. | [72] | |
| Meloxicam-salicylic acid | 1:1 | Reaction crystallization method | Increased solubility up to 5.7-fold and increased permeation rate up to 1.6-fold. | [73] | |
| Meloxicam-aspirin | 2:1 | Solvent evaporation | Increased solubility up to 44-fold in ph 7.4 medium, bioavailability up to 4.3-fold, accelerates the t max up to 4-fold (t max = 10 menit) and increases dose tolerance by up to 10-fold, indicated as a reliever of mild to moderate acute pain. | [74] | |
| Meloxicam-1-hydroxy-2-naphthoic acid | 1:1 | Solvent drop grinding | Increased dissolution rate up to 2.8-fold and drug absorption to 30.2 μg/mL within 21 min. | [75] | |
| Lornoxicam-sodium saccharin | 1:1 | Neat grinding method | Improved micromeritic properties, solubility, dissolution rate up to 2-fold and good stability in extreme temperatures. | [76] | |
| Lornoxicam-saccharin | 1:1 | Liquid-assisted grinding | [77] | ||
| Lornoxicam-2,4 dihydroxy benzoic acid | 1:1 | Solvent drop grinding | Increased solubility up to 1.76-fold in pH 7.4 buffer and dissolution rate up to 1.52-fold at 10 min. | [78] | |
| Lornoxicam-l-catechol | 1:1 | Increased solubility up to 2-fold in pH 7.4 buffer and dissolution rate up to 1.25-fold at 10 min. | |||
| COX-2 selective inhibitors | Celecoxib-tramadol HCl | 1:1 | Grinding co-crystallization method | Improved dissolution rate up to 3-fold, bioavailability, and reduce tramadol dose in the cocrystal, indicated for moderate to severe acute pain. | [79,80] |
| Celecoxib-nicotinamide | 1:1 | Solvent evaporation | Increased stability of celecoxib. | [81] | |
| Para-aminophenol derivatives | Paracetamol-caffeine | 1:1 | Liquid-assisted grinding | Increased relative oral bioavailability and improved intrinsic dissolution up to 2.84-fold | [29] |
| Paracetamol-oxalate | 2:1 | Grinding process | |||
| 1:1 | |||||
| Paracetamol-caffeine | 1:1 | Solvent evaporation | Improved stability thermal of drug. | [82] | |
| Paracetamol-indomethacin | 1:1 | Solvent evaporation method | Improved physicochemical properties. | [83] | |
| Paracetamol-mefenamic acid | 1:1 |
Publisher’s Note: MDPI stays neutral with regard to jurisdictional claims in published maps and institutional affiliations. |
© 2021 by the authors. Licensee MDPI, Basel, Switzerland. This article is an open access article distributed under the terms and conditions of the Creative Commons Attribution (CC BY) license (https://creativecommons.org/licenses/by/4.0/).
Share and Cite
Nugrahani, I.; Parwati, R.D. Challenges and Progress in Nonsteroidal Anti-Inflammatory Drugs Co-Crystal Development. Molecules 2021, 26, 4185. https://doi.org/10.3390/molecules26144185
Nugrahani I, Parwati RD. Challenges and Progress in Nonsteroidal Anti-Inflammatory Drugs Co-Crystal Development. Molecules. 2021; 26(14):4185. https://doi.org/10.3390/molecules26144185
Chicago/Turabian StyleNugrahani, Ilma, and Rismaya Desti Parwati. 2021. "Challenges and Progress in Nonsteroidal Anti-Inflammatory Drugs Co-Crystal Development" Molecules 26, no. 14: 4185. https://doi.org/10.3390/molecules26144185
APA StyleNugrahani, I., & Parwati, R. D. (2021). Challenges and Progress in Nonsteroidal Anti-Inflammatory Drugs Co-Crystal Development. Molecules, 26(14), 4185. https://doi.org/10.3390/molecules26144185

