Spectral Characteristics Related to Chemical Substructures and Structures Indicative of Organic Precursors from Fulvic Acids in Sediments by NMR and HPLC-ESI-MS
Abstract
1. Introduction
2. Results and Discussion
2.1. Optimization of Conditions for a High Spectral Resolution in NMR
2.2. Identification of Functional Groups through 1H NMR
2.3. Assignment of Substructures through COSY Spectrum NMR
2.3.1. The Aliphatic and Intermediate Regions
2.3.2. The Aromatic Region
2.4. 13C Analysis
2.5. Assignment of Functional Groups or Substructures through HSQC Spectrum
2.6. DOSY Spectrum Analysis
2.7. Assignment of Structures through HPLC-ESI-MS
3. Experimental
3.1. Materials and Methods
3.2. Description of the Site
3.3. Sampling
3.4. Fulvic Acids Extraction
3.4.1. Fulvic Acids Purification
3.5. Instrumental Techniques
3.5.1. Nuclear Magnetic Resonance (NMR)
3.5.2. High-Performance Liquid Chromatography-Electrospray Ionization-Mass Spectrometry (HPLC-ESI-MS)
4. Conclusions
Supplementary Materials
Author Contributions
Funding
Institutional Review Board Statement
Informed Consent Statement
Data Availability Statement
Acknowledgments
Conflicts of Interest
Sample Availability
References
- Orsi, M. Molecular dynamics simulation of humic substances. Chem. Biol. Technol. Agric. 2014, 1, 10. [Google Scholar] [CrossRef]
- Thorn, K.A.; Cox, L.G. N-15 NMR spectra of naturally abundant nitrogen in soil and aquatic natural organic matter samples of the International Humic Substances Society. Org. Geochem. 2009, 40, 484–499. [Google Scholar] [CrossRef]
- D’Andrilli, J.; Foreman, C.M.; Marshall, A.G.; Mcknight, D. Characterization of IHSS Pony Lake fulvic acid dissolved organic matter by electrospray ionization Fourier transform ion cyclotron resonance mass spectrometry and fluorescence spectroscopy. Org. Geochem. 2013, 65, 19–28. [Google Scholar] [CrossRef]
- Cook, R.L.; McIntyre, D.D.; Langford, C.H.; Vogel, H.J. A Comprehensive Liquid-State Heteronuclear and Multidimensional NMR Study of Laurentian Fulvic Acid. Environ. Sci. Technol. 2003, 37, 3935–3944. [Google Scholar] [CrossRef]
- Mylotte, R.; Verheyen, V.; Reynolds, A.; Dalton, C.; Patti, A.; Chang, R.R.; Burdon, J.; Hayes, M.H.B. Isolation and characterisation of recalcitrant organic components from an estuarine sediment core. J. Soils Sediments 2015, 15, 211–224. [Google Scholar] [CrossRef]
- Simpson, A.J.; Lefebvre, B.; Moser, A.; Williams, A.; Larin, N.; Kvasha, M.; Kingery, W.L.; Kelleher, B. Identifying residues in natural organic matter through spectral prediction and pattern matching of 2D NMR datasets. Magn. Reson. Chem. 2003, 42, 14–22. [Google Scholar] [CrossRef] [PubMed]
- Leenheer, J.A.; Rostad, C.E. Tannins and Terpenoids as Major Precursors of Suwannee River Fulvic Acid; U.S. Department of the Interior—U.S. Geological Survey: Reston, VA, USA, 2004. [Google Scholar]
- Leenheer, J.A.; Rostad, C.E.; Gates, P.M.; Furlong, E.T.; Ferrer, I. Molecular Resolution and Fragmentation of Fulvic Acid by Electrospray Ionization/Multistage Tandem Mass Spectrometry. Anal. Chem. 2001, 73, 1461–1471. [Google Scholar] [CrossRef] [PubMed]
- Livens, F.R. Chemical reactions of metals with humic material. Environ. Pollut. 1991, 70, 183–208. [Google Scholar] [CrossRef]
- Leenheer, J.A.; Brown, G.K.; MacCarthy, A.P.; Cabaniss, S. Models of Metal Binding Structures in Fulvic Acid from the Suwannee River, Georgia. Environ. Sci. Technol. 1998, 32, 2410–2416. [Google Scholar] [CrossRef]
- Chiou, C.T.; Malcolm, R.L.; Brinton, T.I.; Kile, D.E. Water solubility enhancement of some organic pollutants and pesticides by dissolved humic and fulvic acids. Environ. Sci. Technol. 1986, 20, 502–508. [Google Scholar] [CrossRef] [PubMed]
- Senesi, N. Binding mechanisms of pesticides to soil humic substances. Sci. Total Environ. 1992, 123–124, 63–76. [Google Scholar] [CrossRef]
- Tramonti, V.; Zienius, R.H.; Gamble, D.S. Solution Phase Interaction of Lindane with Fulvic Acid: Effect of Solution pH and Ionic Strength. Int. J. Environ. Anal. Chem. 1986, 24, 203–212. [Google Scholar] [CrossRef]
- Saparpakorn, P.; Kim, J.H.; Hannongbua, S. Investigation on the Binding of Polycyclic AromaticHydrocarbons with Soil Organic Matter: A Theoretical Approach. Molecules 2007, 12, 703–715. [Google Scholar] [CrossRef]
- Bridgham, S.D.; Megonigal, J.P.; Keller, J.K.; Bliss, N.B.; Trettin, C. The carbon balance of North American wetlands. Wetlands 2006, 26, 889. [Google Scholar] [CrossRef]
- International Humic Substances Society. Available online: http://humic-substances.org (accessed on 21 May 2020).
- Janoš, P. Separation methods in the chemistry of humic substances. J. Chromatogr. A 2003, 983, 1–18. [Google Scholar] [CrossRef]
- Bell, N.G.A.; Graham, M.C.; Uhrín, D. Isotope-filtered nD NMR spectroscopy of complex mixtures to unravel the molecular structures of phenolic compounds in tagged soil organic matter. Analyst 2016, 141, 4614–4624. [Google Scholar] [CrossRef]
- Xu, J.; Zhao, B.; Chu, W.; Mao, J.; Zhang, J. Chemical nature of humic substances in two typical Chinese soils (upland vs paddy soil): A comparative advanced solid state NMR study. Sci. Total Environ. 2017, 576, 444–452. [Google Scholar] [CrossRef]
- Simpson, A.J.; Burdon, J.; Graham, C.L.; Hayes, M.H.B.; Spencer, N.; Kingery, W.L. Interpretation of heteronuclear and multidimensional NMR spectroscopy of humic substances. Eur. J. Soil Sci. 2001, 52, 495–509. [Google Scholar] [CrossRef]
- Simpson, A.J.; Kingery, W.L.; Spraul, M.; Humpfer, E.; Dvortsak, P.; Kerssebaum, R. Separation of Structural Components in Soil Organic Matter by Diffusion Ordered Spectroscopy. Environ. Sci. Technol. 2001, 35, 4421–4425. [Google Scholar] [CrossRef] [PubMed]
- Leenheer, J.A. Progression from model structures to molecular structures of natural organic matter components. Ann. Environ. Sci. 2007, 1, 57. [Google Scholar]
- Thorn, K.A.; Folan, D.W.; MacCarthy, P. Characterization of the International Humic Substances Society Standard and Reference Fulvic and Humic Acids by Solution State Carbon-13 (13C) and Hydrogen-1 (1H) Nuclear Magnetic Resonance Spectrometry; Water-Resources Investigations Report 89-4196; U.S. Geological Survey: Reston, VA, USA, 1989. [Google Scholar]
- Simpson, A.J.; Song, G.; Smith, E.; Lam, B.; Novotny, E.H.; Hayes, M.H.B. Unraveling the Structural Components of Soil Humin by Use of Solution-State Nuclear Magnetic Resonance Spectroscopy. Environ. Sci. Technol. 2007, 41, 876–883. [Google Scholar] [CrossRef]
- Tao, Z.-Y.; Zhang, J.; Zhai, J.-J. Characterization and differentiation of humic acids and fulvic acids in soils from various regions of China by nuclear magnetic resonance spectroscopy. Anal. Chim. Acta 1999, 395, 199–203. [Google Scholar] [CrossRef]
- Han, R.; Lv, J.; Luo, L.; Wen, B.; Zhang, S. Molecular-scale investigation of soil fulvic acid and water-extractable organic matter by high-resolution mass spectrometry and 1H NMR spectroscopy. Environ. Chem. 2019, 16, 92. [Google Scholar] [CrossRef]
- Ohno, T.; Sleighter, R.L.; Hatcher, P.G. Comparative study of organic matter chemical characterization using negative and positive mode electrospray ionization ultrahigh-resolution mass spectrometry. Anal. Bioanal. Chem. 2016, 408, 2497–2504. [Google Scholar] [CrossRef]
- Perdue, E.M.; Hertkorn, N.; Kettrup, A. Substitution Patterns in Aromatic Rings by Increment Analysis. Model Development and Application to Natural Organic Matter. Anal. Chem. 2007, 79, 1010–1021. [Google Scholar] [CrossRef]
- Fuentes, M.; Baigorri, R.; González-Gaitano, G.; García-Mina, J.M. The complementary use of 1H NMR, 13C NMR, FTIR and size exclusion chromatography to investigate the principal structural changes associated with composting of organic materials with diverse origin. Org. Geochem. 2007, 38, 2012–2023. [Google Scholar] [CrossRef]
- Lambert, J.B.; Shurvell, H.F.; Lightner, D.A.; Cooks, R.G. Organic Structural Spectroscopy; Prentice Hall: New Jersey, NJ, USA, 1998. [Google Scholar]
- Machado, A.A.; Da Silva, J.C.E.; Da Silva, J.E. Factor analysis of molecular fluorescence data of marine and soil fulvic acids. Chemom. Intell. Lab. Syst. 1993, 19, 155–167. [Google Scholar] [CrossRef]
- Sano, Y.; Yamamoto, S. Mutual Diffusion Coefficient of Aqueous Sugar Solutions. J. Chem. Eng. Jpn. 1993, 26, 633–636. [Google Scholar] [CrossRef]
- Chen, J.S.; Chiu, C.Y. Characterization of soil organic matter in different particle-size fractions in humid subalpine soils by CP/MAS C NMR. Geoderma 2003, 117, 129–141. [Google Scholar] [CrossRef]
- Jien, S.H.; Chen, T.H.; Chiu, C.Y. Effects of afforestation on soil organic matter characteristics under subtropical forests with low elevation. J. For. Res. 2011, 16, 275–283. [Google Scholar] [CrossRef]
- Keeler, C.; Kelly, E.F.; Maciel, G.E. Chemical-structural information from solid-state C-13 NMR studies of a suite of humic materials from a lower montane forest soil, Colorado, USA. Geoderma 2006, 130, 124–140. [Google Scholar] [CrossRef]
- Ussiri, D.A.N.; Johnson, C.E. Characterization of organic matter in a northern hardwood forest soil by 13 C NMR spectroscopy and chemical methods. Geoderma 2003, 111, 123–149. [Google Scholar] [CrossRef]
- López, R.; Gondar, D.; Iglesias, A.; Fiol, S.; Antelo, J.; Arce, F. Acid properties of fulvic and humic acids isolated from two acid forest soils under different vegetation cover and soil depth. Eur. J. Soil Sci. 2008, 59, 892–899. [Google Scholar] [CrossRef]
- Chen, C.R.; Hu, Z.H.; Mathers, N.J. Soil carbon pools in adjacent natural and plantation forests of subtropical Australia. Soil Sci. Soc. Am. J. 2004, 68, 282–291. [Google Scholar] [CrossRef]
- Mueller, C.W. Koegel-Knabner I Soil organic carbon stocks, distribution, and composition affected by historic land use changes on adjacent sites. Biol. Fertil. Soils 2009, 45, 347–359. [Google Scholar] [CrossRef]
- Fuentes, M.; González-Gaitano, G.; García-Mina, J.M.A. The usefulness of UV–visible and fluorescence spectroscopies to study the chemical nature of humic substances from soils and composts. Org. Geochem. 2006, 37, 1949–1959. [Google Scholar] [CrossRef]
- Jin, B.S.; Kang, H.C.; Kim, D.; Lee, K.H.; Bae, Y.H. Synthesis of poly(cystine bisamide)-PEG block copolymers grafted with 1-(3-aminopropyl)imidazole and their phase transition behaviors. Polym. Adv. Technol. 2008, 19, 1558–1565. [Google Scholar] [CrossRef]
- Schuster, I.I.; Roberts, J.D. Nitrogen-15 nuclear magnetic resonance spectroscopy. Effects of hydrogen bonding and protonation on nitrogen chemical shifts in imidazoles. J. Org. Chem. 1979, 44, 3864–3867. [Google Scholar] [CrossRef]
- Hertzog, J.; Carré, V.; Le Brech, Y.; Mackay, C.L.; Dufour, A.; Mašek, O.; Aubriet, F. Combination of electrospray ionization, atmospheric pressure photoionization and laser desorption ionization Fourier transform ion cyclotronic resonance mass spectrometry for the investigation of complex mixtures—Application to the petroleomic analysis of bio-oils. Anal. Chim. Acta 2017, 969, 26–34. [Google Scholar] [CrossRef]
- Witt, M.; Fuchser, J.; Koch, B. Fragmentation Studies of Fulvic Acids Using Collision Induced Dissociation Fourier Transform Ion Cyclotron Resonance Mass Spectrometry. Anal. Chem. 2009, 81, 2688–2694. [Google Scholar] [CrossRef]
- Zhang, Z. Sequence Analysis of Native Oligosaccharides Using Negative ESI Tandem MS. Curr. Anal. Chem. 2009, 5, 225–237. [Google Scholar] [CrossRef] [PubMed][Green Version]
- Santoro, A.L.; Bastviken, D.; Gudasz, C.; Tranvik, L.J.; Enrich-Prast, A. Dark Carbon Fixation: An Important Process in Lake Sediments. PLoS ONE 2013, 8, e65813. [Google Scholar] [CrossRef] [PubMed]
- Sorin, M.; Matei, G.-M.; Monica, D.; Mocanu, V. Differences in organic matter quality, chemical and microbiological characteristics of two Phaeozems under natural and anthropic influence. EuroBiotech J. 2019, 3, 182–189. [Google Scholar] [CrossRef]
- Secretaría de Desarrollo Sustentable. Available online: https://sustentable.morelos.gob.mx/anp/peubch (accessed on 17 November 2020).
- Hartemink, A.E.; Bockheim, J. Soil genesis and classification. Catena 2013, 104, 251–256. [Google Scholar] [CrossRef]
- Swift, R.S. Organic Matter Characterization. In Methods of Soil Analysis Part 3-Chemical Methods 5.3; Wiley and Sons: Hoboken, NJ, USA, 2018; pp. 1011–1069. [Google Scholar]
- Wolfe, A.P.; Kaushal, S.S.; Fulton, J.R.; Mcknight, D. Spectrofluorescence of Sediment Humic Substances and Historical Changes of Lacustrine Organic Matter Provenance in Response to Atmospheric Nutrient Enrichment. Environ. Sci. Technol. 2002, 36, 3217–3223. [Google Scholar] [CrossRef]
- Thurman, E.M.; Malcolm, R.L. Preparative isolation of aquatic humic substances. Environ. Sci. Technol. 1981, 15, 463–466. [Google Scholar] [CrossRef]
- Sánchez-Monedero, M.Á.; Roig, A.; Cegarra, J.; Bernal, M.P.; Paredes, C. Effects of HCl-HF purification treatment on chemical composition and structure of humic acids. Eur. J. Soil Sci. 2002, 53, 375–381. [Google Scholar] [CrossRef]
- Stenson, A.C. Reversed-Phase Chromatography Fractionation Tailored to Mass Spectral Characterization of Humic Substances. Environ. Sci. Technol. 2008, 42, 2060–2065. [Google Scholar] [CrossRef]
- Frauendorf, H.; Herzschuh, R. Application of high-performance liquid chromatography/electrospray mass/spectrometry for identification of carboxylic acids containing several carboxyl groups from aqueous solutions. Eur. J. Mass Spectrom. 1998, 4, 269. [Google Scholar] [CrossRef]




| Hydrogen Type | δ ppm | Sections |
|---|---|---|
| Primary alkyl, secondary alkyl, methyl in position β to alcohol, β methylene adjacent to olefines, aliphatic protons on β and γ to aromatic rings. | 0.64–1.64 | A (57%) |
| Methyl and methylene adjacent to carboxylic acids, methyl and methylene adjacent to carbonyls, esters, aromatic rings, olefins. | 1.64–3.0 | B (19.62%) |
| Ethers adjacent to aromatic rings in the lignin structure, CH at positions 2, 3, 4, and 5 and CH2 at position 6 in carbohydrate/polysaccharide rings. | 3.5–4.31 | C (14%) |
| Hydroxyl groups adjacent to aromatics rings. | 4.31–4.64 | D (0.194%) |
| Vinyls. | 5.27–5.80 | E (0.99%) |
| Aromatic protons. | 6.15–8.19 | F (8.11%) |
| A | B | C |
|---|---|---|
![]() | ![]() | ![]() |
| Group A | ||||
|---|---|---|---|---|
| No. | 1H1 (ppm) | 1H1* (ppm) | 13C (ppm) | Structure * |
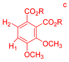
| 1 2 3 | 6.66 6.69 6.65 | 6.97 7.02 7.01 | 114.53, 125.40, 129.81, 126.30 | ![]() |
| Group B | ||||
| No. | 1H1 or 1H2 (ppm) | 1H2* (ppm) | 13C (ppm) | Structure * |
| 4 | 6.30 | 7.50 | 115.19, 129.81, 125.19, 127.49, 114.81 | ![]() |
| Group C | ||||
| No. | 1H1 (ppm) | 1H2 (ppm) | 13C (ppm) | Structure * |
| 5 6 7 8 9 10 13 14 15 | 6.65 6.77 6.79 6.81 6.81 7.09 6.93 6.82 7.02 | 7.39 7.52 7.43 7.49 7.43 7.49 7.75 7.78 7.88 | 129.81, 125.19, 127.49, 114.81, 125.40, 126.30, 131.28, 128.64 | ![]() |
| Group D | ||||
| No. | 1H1 (ppm) | 1H2 (ppm) | 13C (ppm) | Structure * |
| 11 12 | 7.25 7.25 | 7.49 7.51 | 127.85, 127.70, 129.19, 127.49, 114.81 | ![]() |
| Group E | ||||
| No. | 1H1 (ppm) | 1H2 (ppm) | 13C (ppm) | Structure * |
| 16 17 | 7.70 7.75 | 7.92 8.14 | 128.64, 131.28 | ![]() |
| Carbon Type | δ |
|---|---|
| ppm | |
| Aliphatic 13C adjacent to carbonyls, Aliphatic 13C adjacent to aromatic carbons, and Aliphatic 13C adjacent to olefins | 0–50 |
| Ether 13C adjacent to aromatic rings in the lignin structure | 50–90 |
| CH at positions 2, 3, 4, and 5 and CH2 at position 6 in carbohydrate/polysaccharide rings | 57–76 |
| Vinyl 13C | 90–130 |
| Phenolic 13C | 110–165 |
| Carbonyl 13C | 165–190 |
| ESI (+) | |||
|---|---|---|---|
| λ = 220 nm | |||
| Quasi-Molecular and Molecular Ion | Molecular formula | tR (min) | Absorbance |
| C6H13N | 5.025 | *** | |
| A * = 100.4 m/z | M.W. = 99.1741 g/mol | 9.028 | *** |
| A ** = 99.4 (a) | 53.136 | *** | |
| C6H11N3 | 5.025 | *** | |
| B * = 126.3 m/z | M.W. = 125.1716 g/mol | 9.028 | *** |
| B ** = 125.3 (a) | 53.136 | *** | |
| C7H6O2 | 6.073 | *** | |
| C * = 123.2 m/z | M.W. = 122.1213 g/mol | ||
| C ** = 122.2 (a) | |||
| C30H50O4 | 13.492 | *** | |
| D * = 475.3 m/z | M.W. = 474.7156 g/mol | ||
| D ** = 474.3 (a) | |||
| C9H12O2 | 14.965 | *** | |
| E * = 149 m/z | M.W. = 148.1586 g/mol | ||
| E ** = 148.0 (a) | |||
| ESI (−) | |||
| λ = 220 nm | |||
| Quasi-Molecular and Molecular Ion | Molecular formula | tR (min) | Absorbance |
| C5H6O3 | 5.794 | *** | |
| M.W. = 114.0993 g/mol | 6.127 | *** | |
| C6H10O2 | 9.148 | *** | |
| M.W. = 114.1424 g/mol | 10.095 | *** | |
| A * = 113.1 m/z | C7H14O | ||
| A ** = 114.1 (a) | M.W. = 114.1855 g/mol | ||
| C7H11O5 | 6.127 | *** | |
| M.W. = 175.1672 g/mol | 15.995 | *** | |
| B * = 174.9 m/z | C10H7O3 | ||
| B ** = 175.9 (a) | M.W. = 175.1687 g/mol | ||
| C30H48O5 | 6.127 | *** | |
| C * = 487.2 m/z | M.W. = 488.6991 g/mol | ||
| C ** = 488.2 (a) | |||
| 6.127 | *** | ||
| C28H54O11 | |||
| M.W. = 566.7218 g/mol | |||
| D * = 565.2 m/z | C36H70O4 | ||
| D ** = 566.2 (a) | M.W. = 566.9386 g/mol | ||
| C7H5O3 | 9.148 | *** | |
| E * = 136.9 m/z | M.W. = 137.1207 g/mol | ||
| E ** = 137.9* (a) | |||
| C11H10O2 | 9.148 | *** | |
| F * = 173.0 m/z | M.W. = 174.1959 g/mol | ||
| F ** = 174.0 (a) | |||
| C11H8O3 | 10.095 | *** | |
| G * = 187.1 m/z | M.W. = 188.1794 g/mol | ||
| G ** = 188.1 (a) | |||
| H * = 201.1 m/z | C13H14O2 | 10.095 | *** |
| H ** = 202.1 (a) | M.W. = 202.2491 g/mol | ||
| I * = 197.1 m/z | C10H14O4 | 15.995 | *** |
| I ** = 198.1* (a) | M.W. = 198.2158 g/mol | ||
| J * = 1893.6 m/z | 15.995 | *** | |
| J ** = 1894.6 | |||
| Undetermined | |||
| 29.053 | **** | ||
| K * = 112.7 m/z | Undetermined | ||
| K ** = 113.7 | |||
| C17H18O9 | 29.053 | **** | |
| L * = 365.1 m/z | M.W. = 366.088 g/mol | ||
| L ** = 366.1 (b) | |||
| NMR Experiments | Scans | Additional Information |
|---|---|---|
| 1D 1H | 3084 vs. 32 [20] | |
| 1D 13C | 279,352 vs. 16,000 [20] | Line broadening 1 Hz. Pulse delay 2 s. |
| 2D COSY | 96 vs. 32 [20] | |
| 2D HSQC | 752 vs. 16 [20] | 145 Hz one-bonded heteronuclear J coupling |
| 2D DOSY | 14,336 vs. 1024 [21] |
Publisher’s Note: MDPI stays neutral with regard to jurisdictional claims in published maps and institutional affiliations. |
© 2021 by the authors. Licensee MDPI, Basel, Switzerland. This article is an open access article distributed under the terms and conditions of the Creative Commons Attribution (CC BY) license (https://creativecommons.org/licenses/by/4.0/).
Share and Cite
López-Martínez, V.G.; Guerrero-Álvarez, J.A.; Ronderos-Lara, J.G.; Murillo-Tovar, M.A.; Solá-Pérez, J.E.; León-Rivera, I.; Saldarriaga-Noreña, H. Spectral Characteristics Related to Chemical Substructures and Structures Indicative of Organic Precursors from Fulvic Acids in Sediments by NMR and HPLC-ESI-MS. Molecules 2021, 26, 4051. https://doi.org/10.3390/molecules26134051
López-Martínez VG, Guerrero-Álvarez JA, Ronderos-Lara JG, Murillo-Tovar MA, Solá-Pérez JE, León-Rivera I, Saldarriaga-Noreña H. Spectral Characteristics Related to Chemical Substructures and Structures Indicative of Organic Precursors from Fulvic Acids in Sediments by NMR and HPLC-ESI-MS. Molecules. 2021; 26(13):4051. https://doi.org/10.3390/molecules26134051
Chicago/Turabian StyleLópez-Martínez, Verónica Gisela, Jorge A. Guerrero-Álvarez, José Gustavo Ronderos-Lara, Mario Alfonso Murillo-Tovar, Jorge Ernesto Solá-Pérez, Ismael León-Rivera, and Hugo Saldarriaga-Noreña. 2021. "Spectral Characteristics Related to Chemical Substructures and Structures Indicative of Organic Precursors from Fulvic Acids in Sediments by NMR and HPLC-ESI-MS" Molecules 26, no. 13: 4051. https://doi.org/10.3390/molecules26134051
APA StyleLópez-Martínez, V. G., Guerrero-Álvarez, J. A., Ronderos-Lara, J. G., Murillo-Tovar, M. A., Solá-Pérez, J. E., León-Rivera, I., & Saldarriaga-Noreña, H. (2021). Spectral Characteristics Related to Chemical Substructures and Structures Indicative of Organic Precursors from Fulvic Acids in Sediments by NMR and HPLC-ESI-MS. Molecules, 26(13), 4051. https://doi.org/10.3390/molecules26134051









