Concise Synthesis of Both Enantiomers of Pilocarpine
Abstract
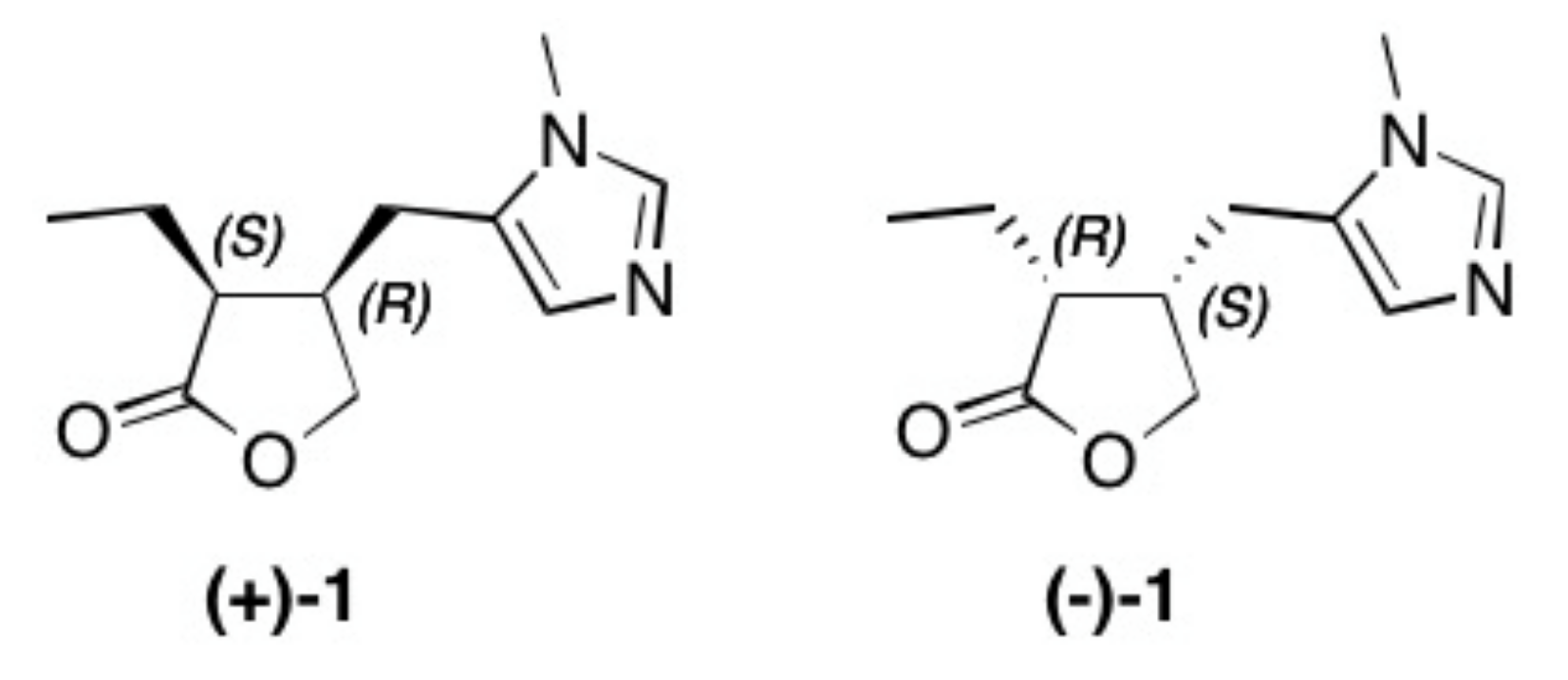
1. Introduction
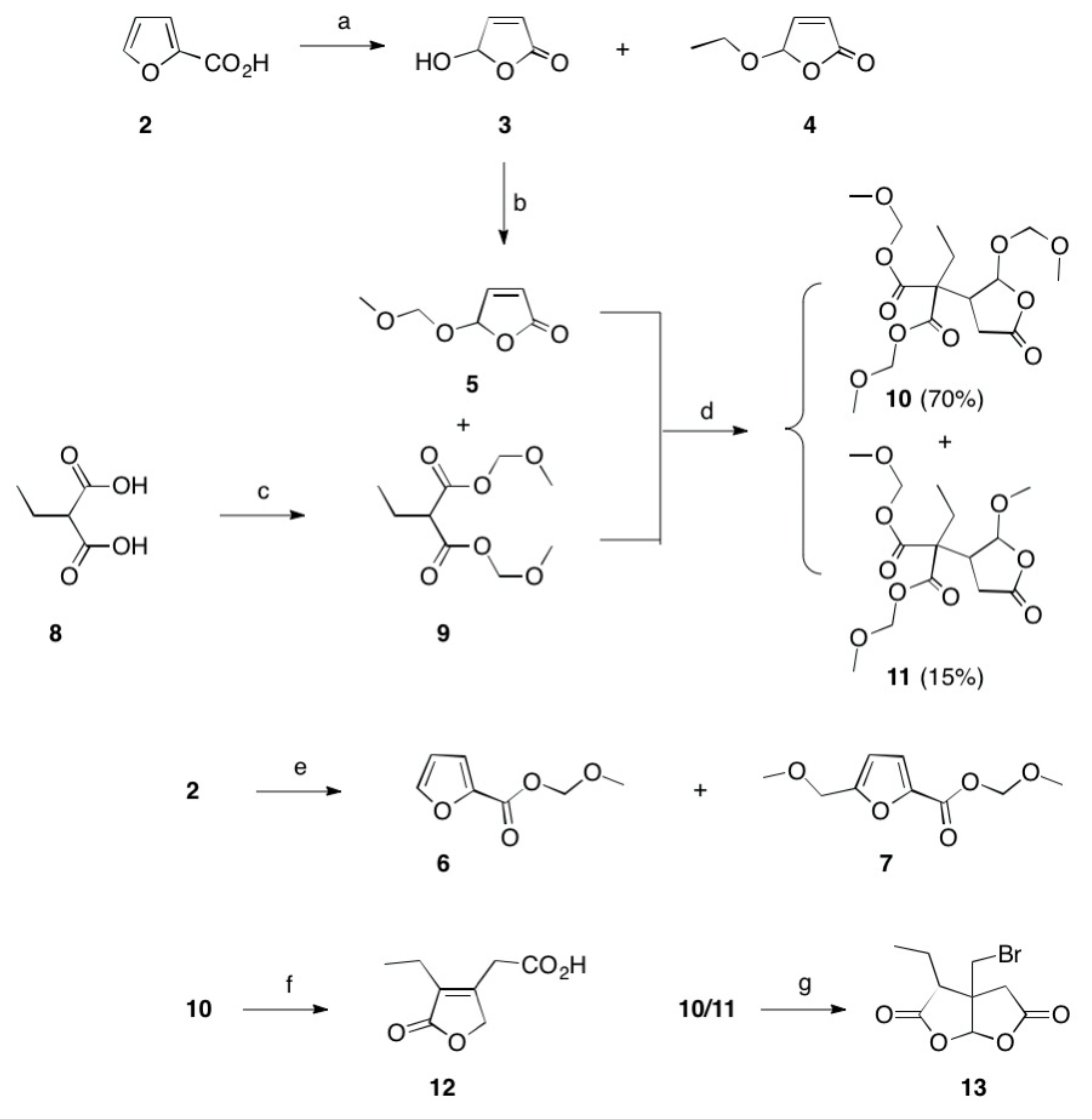
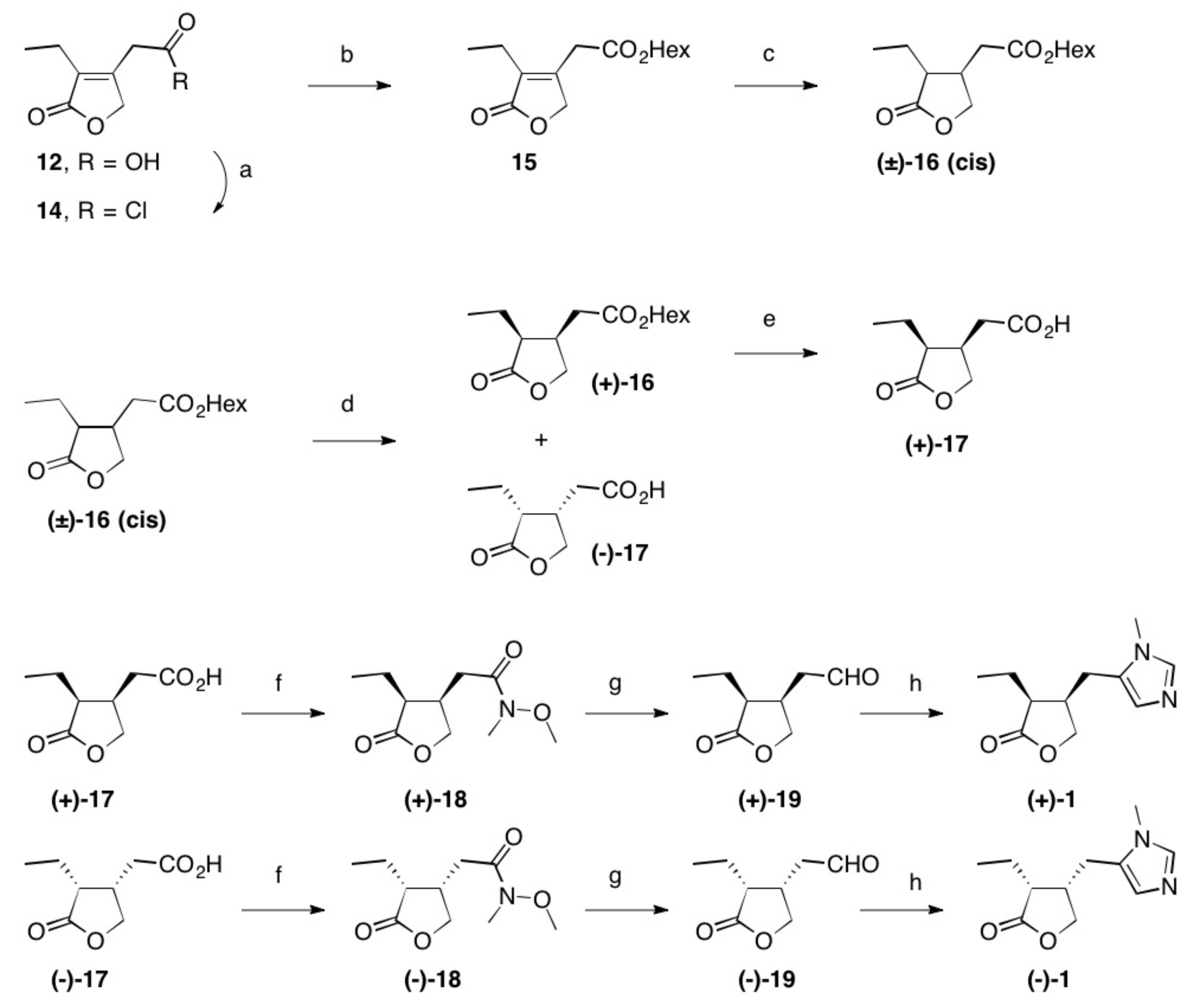
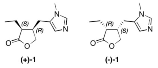
2. Results
3. Conclusions
4. Experimental
4.1. 5-Hydroxyfuran-2(5H)-one (3) and 5-ethoxyfuran-2(5H)-one (4)
4.2. 5-(Methoxymethoxy)-furan-2(5H)-one (5)
4.3. Methoxymethyl Furan-2-carboxylate (6) and Methoxymethyl 5-(methoxymethyl)furan-2-carboxylate (7)
4.4. Bis(methoxymethyl) Ethylpropanedioate (9)
4.5. Bis(methoxymethyl) Ethyl-[2-(methoxymethyl)-5-oxooxolan-3-yl] propanedioate (10) and Bis(methoxymethyl) ethyl-(2-methoxy-5-oxooxolan-3-yl) propanedioate (11)
4.6. (4-Ethyl-5-oxo-2,5-dihydrofuran-3-yl) Acetic Acid (12, Dehydro-homopilopic acid)
4.7. 3a-(Bromomethyl)-3-Ethyl-dihydro-[2,3-b]furan-(3H, 4H)-2,5-dione (13)
4.8. Hexyl (4-Ethyl-5-oxo-2,5-dihydrofuran-3-yl)acetate (15)
4.9. (±)-Hexyl [(3RS, 4SR)-4-Ethyl-5-oxooxolan-3-yl] acetate [(±)-16]
4.10. (+)-Hexyl 2-[(3S, 4R)-4-Ethyl-5-oxooxolan-3-yl]acetate [(+)-16] and (–)-2-[3R, 4S)-4-Ethyl-5-oxooxolan-3-yl] acetic acid [(–)-17]
4.11. (+)-2-[3S, 4R)-4-Ethyl-5-oxooxolan-3-yl] acetic acid [(+)-17]
4.12. (–) 2-[(3R, 4S)-4-Ethyl-5-oxooxolan-3-yl)-N-methoxy-N-methylacetamide [(–)-18]
4.13. (+)2-[(3S, 4R)-4-Ethyl-5-oxooxolan-3-yl)-N-methoxy-N-methylacetamide [(+)-18]
4.14. (–)-2-[(3R, 4S)-4-Ethyl-5-oxooxolan-3-yl]-acetaldehyde [(–)-19]
4.15. (+)-2-[(3S, 4R)-4-Ethyl-5-oxooxolan-3-yl]-acetaldehyde [(+)-19]
4.16. (–)-Pilocarpine [(–)-1]
4.17. (+)-Pilocarpine [(+)-1]
Author Contributions
Funding
Informed Consent Statement
Data availability Statement
Acknowledgments
Conflicts of Interest
Sample Availability
References
- Lumley, L.; Niquet, J.; Marrero-Rosado, B.; Schultz, M.; Rossetti, F.; de Araujo Furtado, M.; Wasterlain, C. Treatment of acetylcholinesterase inhibitor-induced seizures with polytherapy targeting GABA and glutamate receptors. Neuropharmacology 2021, 185, 108444. [Google Scholar] [CrossRef] [PubMed]
- Mateos-Hernandez, L.; Defaye, B.; Vancova, M.; Hajdusek, O.; Sima, R.; Park, Y.; Attoui, H.; Simo, L. Cholinergic axons regulate type I acini in salivary glands of Ixodes ricinus and Ixodes scapularis ticks. Sci. Rep. 2020, 10, 16054. [Google Scholar] [CrossRef] [PubMed]
- Shakeel, W.; Javaid, S.; Anjum, S.M.M.; Rasool, M.F.; Samad, N.; Alasmari, F. Time course evaluation of lacosamide alone and in polypharmacy on behavioral manifestations and oxidative stress in lithium-pilocarpine-induced model. J. Physiol. Pharmacol. 2020, 71, 547–564. [Google Scholar]
- Aboul-Enein, H.Y.; Ibrahim, S.E.; Al-Badr, A.A.; Ismail, M.; Alsamani, F.; Alaqil, F.A.; Alqarni, S.A.; Alotaib, F.M.; Alqahtani, F.; Imran, I. Synthesis and pharmacological properties of certain analogs of pilocarpine. Toxicol. Environ. Chem. 1986, 11, 253–259. [Google Scholar] [CrossRef]
- Loprinzi, C.L.; Balcueva, E.P.; Liu, H.; Sloan, J.A.; Kottschade, L.A.; Stella, P.J.; Carlson, M.D.; Moore, D.F., Jr.; Zon, R.T.; Levitt, R.; et al. A phase III randomized, double-blind, placebo-controlled study of pilocarpine for vaginal dryness: North central cancer treatment group study N04CA. J. Support. Oncol. 2011, 9, 105–112. [Google Scholar] [CrossRef]
- Perez-Gutierrez, R.M.; Perez-Gutierrez, M.S. Parasympathomimetic activity of salpantiol. A new cyclitol from Salpianthus arenarius. Pharm. Acta Helv. 1992, 67, 156–158. [Google Scholar]
- Shimura, T.; Kofunato, Y.; Yashima, R.; Hara, T.; Ito, H.; Takenoshita, S. Pilocarpine Hydrochloride Improves Baseline Image of Magnetic Resonance Cholangiopancreatography. Am. J. Gastroenterol. 2015, 110, 1735–1736. [Google Scholar] [CrossRef]
- Singhal, S.; Powles, R.; Treleaven, J.; Rattenbury, H.; Mehta, J. Pilocarpine hydrochloride for symptomatic relief of xerostomia due to chronic graft-versus-host disease or total-body irradiation after bone-marrow transplantation for hematologic malignancies. Leuk. Lymphoma 1997, 24, 539–543. [Google Scholar] [CrossRef]
- Camp, D.; Garavelas, A.; Campitelli, M. Analysis of Physicochemical Properties for Drugs of Natural Origin. J. Nat. Prod. 2015, 78, 1370–1382. [Google Scholar] [CrossRef]
- Wafa, H.G.; Essa, E.A.; El-Sisi, A.E.; El Maghraby, G.M. Ocular films versus film-forming liquid systems for enhanced ocular drug delivery. Drug Deliv. Transl. Res. 2021, 11, 1084–1095. [Google Scholar] [CrossRef]
- Jain, N.; Verma, A. Preformulation studies of pilocarpine hydrochloride as niosomal gels for ocular drug delivery. Asian J. Pharm. Clin. Res. 2020, 13, 149–155. [Google Scholar] [CrossRef]
- Jain, N.; Verma, A.; Jain, N. Formulation and investigation of pilocarpine hydrochloride niosomal gels for the treatment of glaucoma: Intraocular pressure measurement in white albino rabbits. Drug Deliv. 2020, 27, 888–899. [Google Scholar] [CrossRef]
- Umashankar, D.D. Plant secondary metabolites as potential usage in regenerative medicine. J. Phytopharm. 2020, 9, 270–273. [Google Scholar] [CrossRef]
- Ancuceanu, R.; Dinu, M.; Furtunescu, F.; Boda, D. An inventory of medicinal products causing skin rash: Clinical and regulatory lessons. Exp. Ther. Med. 2019, 18, 5061–5071. [Google Scholar] [CrossRef]
- Chowanski, S.; Pacholska-Bogalska, J.; Rosinski, G. Cholinergic agonists and antagonists have an effect on the metabolism of the beetle Tenebrio molitor. Molecules 2019, 24, 17. [Google Scholar] [CrossRef]
- Korczynska, M.; Clark, M.J.; Valant, C.; Xu, J.; Moo, E.V.; Albold, S.; Weiss, D.R.; Torosyan, H.; Huang, W.; Kruse, A.C.; et al. Structure-based discovery of selective positive allosteric modulators of antagonists for the M2 muscarinic acetylcholine receptor. Proc. Natl. Acad. Sci. USA 2018, 115, E2419–E2428. [Google Scholar] [CrossRef]
- Fajgenbaum, M.; Ansari, E. Prescribing Trends in a Glaucoma Clinic and Adherence to EGS Guidelines: A Retrospective, Non-Interventional, Single-Center UK Study. Adv. Ther. 2017, 34, 2033–2042. [Google Scholar] [CrossRef]
- Juenemann, A.; Hohberger, B.; Rech, J.; Sheriff, A.; Fu, Q.; Schloetzer-Schrehardt, U.; Voll, R.E.; Bartel, S.; Kalbacher, H.; Hoebeke, J.; et al. Agonistic autoantibodies to the β 2-adrenergic receptor involved in the pathogenesis of open-angle glaucoma. Front. Immunol. 2018, 9, 145. [Google Scholar] [CrossRef]
- Thieme, H.; Renieri, G.; Schuart, C. General substance classification and pharmacology of glaucoma. Ophthalmologe 2013, 110, 1149–1154. [Google Scholar] [CrossRef]
- Borthwick, K.J.; Kandemir, N.; Topaloglu, R.; Kornak, U.; Bakkaloglu, A.; Yordam, N.; Ozen, S.; Mocan, H.; Shah, G.N.; Sly, W.S.; et al. A phenocopy of CAII deficiency: A novel genetic explanation for inherited infantile osteopetrosis with distal renal tubular acidosis. J. Med. Genet. 2003, 40, 115–121. [Google Scholar] [CrossRef]
- de Sa, E.R.A.; Costa, A.N.; Costa, R.K.M.; Souza, J.L.; Ramos, R.M.; Lima, F.d.C.A. In silico study of the interactions of Pilocarpus microphyllus imidazolic alkaloids with the main protease (Mpro) of SARS-CoV-2. Mol. Simul. 2021, 47, 74–87. [Google Scholar] [CrossRef]
- Petit, A.; Polonowsky, M. Two new alkaloids isolated from a species of Jaborandi. J. Pharm. 1897, 5, 369–370. [Google Scholar]
- Petit, A.; Polonowsky, M. Isomerism of pilocarpine and pilocarpidine. J. Pharm. 1897, 6, 8–11. [Google Scholar]
- Gerrard, A.W. The alkaloid and active principle of Jaborandi. Pharm. J. 1875, 5, 865–867. [Google Scholar]
- Hardy, E. Sur le jaborandi (Polycarpus pinnatus). Bull. Soc. Chim. Fr. 1875, 24, 497–501. [Google Scholar]
- Jowett, H.A.D. The constitution of pilocarpine. Part 1. J. Chem. Soc. Trans. 1900, 77, 851–860. [Google Scholar] [CrossRef][Green Version]
- Zav’yalov, S.I. Configuration of pilocarpine. Dokl. Akad. Nauk SSSR 1952, 82, 257–260. [Google Scholar]
- Hill, R.K.; Barcza, S. Stereochemistry of the jaborandi alkaloids. Tetrahedron 1966, 22, 2889–2893. [Google Scholar] [CrossRef]
- Sawaya, A.C.H.F.; Costa, Y.D.; Mazzafera, P. Unraveling the Biosynthesis of Pilocarpine in Pilocarpus microphyllus. Nat. Prod. Commun. 2015, 10, 721–724. [Google Scholar] [CrossRef]
- Hill, A.P.; Dominicis, M.E.; Oquendo, M.; Sarduy, R. Isolation of pilocarpine from Pilocarpus racemosus Vahl. Rev. Cubana Farm. 1995, 29, 123–125. [Google Scholar]
- Jowett, H.A.D.; Pyman, F.L. Note on the Alkaloids of Pilocarpus racemosus. Proc. Chem. Soc. Lond. 1913, 28, 268. [Google Scholar]
- Sawaya, A.C.H.F.; Vaz, B.G.; Eberlin, M.N.; Mazzafera, P. Screening species of Pilocarpus (Rutaceae) as sources of pilocarpine and other imidazole alkaloids. Genet. Resour. Crop. Evol. 2011, 58, 471–480. [Google Scholar] [CrossRef]
- Caldas Pereira, R.; Nonato, C.d.F.A.; Camilo, C.J.; Melo Coutinho, H.D.; Rodrigues, F.F.G.; Xiao, J.; Martins da Costa, J.G. Development and validation of a rapid RP-HPLC-DAD analysis method for the quantification of pilocarpine in Pilocarpus microphyllus (Rutaceae). Food Chem. Toxicol. 2018, 119, 106–111. [Google Scholar] [CrossRef] [PubMed]
- Lima, D.F.; Ianny de Lima, L.; Rocha, J.A.; Moreira de Andrade, I.; Grazina, L.G.; Villa, C.; Meira, L.; Veras, L.M.C.; Azevedo, I.F.S.; Biase, A.G.; et al. Seasonal change in main alkaloids of jaborandi (Pilocarpus microphyllus Stapf ex Wardleworth), an economically important species from the Brazilian flora. PLoS ONE 2017, 12, e0170281/1–e0170281/19. [Google Scholar] [CrossRef]
- Sawaya, A.C.F.; Abreu, I.N.; Andreazza, N.L.; Eberlin, M.N.; Mazzafera, P. HPLC-ESI-MS/MS of imidazole alkaloids in Pilocarpus microphyllus. Molecules 2008, 13, 1518–1529. [Google Scholar] [CrossRef]
- Tunmann, O. Microchemical Detection of Alkaloid, Especially in the Leaves of Pilocarpus pennatifolius, Lem. Schweiz. Wochenschr. Chem. Pharm. 1909, 47, 177–183. [Google Scholar]
- Tunmann, O.; Jenzer, R. Pharmacognostic Investigations of Pilocarpus pennatifolius and Erythroxylon coca with Special Reference to their Alkaloids. Schweiz. Wochenschr. Chem. Pharm. 1910, 48, 17–24. [Google Scholar]
- Avancini, G.; Abreu, I.N.; Saldana, M.D.A.; Mohamed, R.S.; Mazzafera, P. Induction of pilocarpine formation in jaborandi leaves by salicylic acid and methyljasmonate. Phytochemistry 2003, 63, 171–175. [Google Scholar] [CrossRef]
- Holmstedt, B.; Wassen, S.H.; Schultes, R.E. Jaborandi: An interdisciplinary appraisal. J. Ethnopharmacol. 1979, 1, 3–21. [Google Scholar] [CrossRef]
- Chemnitius, F. Zur Darstellung des Pilocarpins. J. Prakt. Chem. 1928, 118, 20–24. [Google Scholar] [CrossRef]
- Compagnone, R.S.; Rapoport, H. Chirospecific synthesis of (+)-pilocarpine. J. Org. Chem. 1986, 51, 1713–1719. [Google Scholar] [CrossRef]
- Csuk, R.; Woeste, B. A chemoenzymatic approach to (+)-pilocarpine. Tetrahedron 2008, 64, 9384–9387. [Google Scholar] [CrossRef]
- Davies, S.G.; Roberts, P.M.; Stephenson, P.T.; Storr, H.R.; Thomson, J.E. A practical and scaleable total synthesis of the jaborandi alkaloid (+)-pilocarpine. Tetrahedron 2009, 65, 8283–8296. [Google Scholar] [CrossRef]
- Horne, D.A.; Fugmann, B.; Yakushijin, K.; Buchi, G. A synthesis of pilocarpine. J. Org. Chem. 1993, 58, 62–64. [Google Scholar] [CrossRef]
- Bermejo Gonzalez, F.; Perez Baz, J.; Ruano Espina, M.I. Synthesis of (+)-pilocarpine analogs with a 2-oxazolidone structure. Tetrahedron Lett. 1989, 30, 2145–2148. [Google Scholar] [CrossRef]
- Calmels, M.; Hardy, M. Sur la synthese de la pilocarpine. Compt. Rend. Hepd. Seances Acad. Sci. 1887, 105, 68–71. [Google Scholar]
- DeGraw, J.I. Improved synthesis of pilocarpine. Tetrahedron 1972, 28, 967–972. [Google Scholar] [CrossRef]
- Dener, J.M.; Zhang, L.H.; Rapoport, H. An effective chirospecific synthesis of (+)-pilocarpine from L-aspartic acid. J. Org. Chem. 1993, 58, 1159–1166. [Google Scholar] [CrossRef]
- Fairlamb, I.J.S. Asymmetric cycloisomerization of 1,6- and 1,7-enynes by transition metal catalysts. Angew. Chem. Int. Ed. 2004, 43, 1048–1052. [Google Scholar] [CrossRef]
- Lei, A.; He, M.; Zhang, X. Highly Enantioselective Syntheses of Functionalized α-Methylene-γ-butyrolactones via Rh(I)-catalyzed Intramolecular Alder Ene Reaction: Application to Formal Synthesis of (+)-Pilocarpine. J. Am. Chem. Soc. 2002, 124, 8198–8199. [Google Scholar] [CrossRef]
- Noordam, A.; Maat, L.; Beyerman, H.C. Imidazole chemistry. Part VII. Stereoselective synthesis of (+)-pilocarpine, an imidazole alkaloid used in ophthalmology. Recl. Trav. Chim. Pays-Bas 1979, 98, 467–468. [Google Scholar] [CrossRef]
- Noordam, A.; Maat, L.; Beyerman, H.C. Imidazole chemistry. Part IX. Stereoselective synthesis of the imidazole alkaloids (+)-pilocarpine and (+)-isopilocarpine. Recl. J. R. Neth. Chem. Soc. 1981, 100, 441–446. [Google Scholar] [CrossRef]
- Preobrazhenskii, N.A.; Polyakova, A.M.; Preobrazhenskii, V.A. Synthesis of pilocarpine alkaloids. Bull. Acad. Sci. URSS Classe Sci. Math. Nat. Ser. Chim. 1936, 983–995. (In German) [Google Scholar]
- Preobrazhenskii, N.A.; Vompe, A.F.; Preobrazhenskii, V.A.; Shchukina, M.N. Alkaloids of jaborandi leaves. III. Synthesis of pilocarpine and pilocarpidine. Ber. Dtsch. Chem. Ges. B 1933, 66B, 1536–1541. [Google Scholar] [CrossRef]
- Shapiro, G.; Cai, C. Asymmetric synthesis of (+)-pilosinine: A formal synthesis of (+)-pilocarpine. Tetrahedron Lett. 1992, 33, 2447–2450. [Google Scholar] [CrossRef]
- Wang, Z.; Lu, X. Palladium-catalyzed intramolecular alkyne-α,β-unsaturated carbonyl coupling. A formal synthesis of (+)-pilocarpine. Tetrahedron Lett. 1997, 38, 5213–5216. [Google Scholar] [CrossRef]
- Yoo, S.-E.; Im, M.-N.K.; Cho, I. Synthesis of pilocarpine analogs via radical cyclization. Bull. Korean Chem. Soc. 1994, 15, 680–684. [Google Scholar]
- Hoogenboom, B.E.; Oldenziel, O.H.; van Leusen, A.M. p-Tolylsulfonylmethyl isocyanide. Org. Synth. 1977, 57, 102–106. [Google Scholar]
- Van Leusen, A.M.; Wildeman, J.; Oldenziel, O.H. Chemistry of sulfonylmethyl isocyanides. 12. Base-induced cycloaddition of sulfonylmethyl isocyanides to carbon, nitrogen double bonds. Synthesis of 1,5-disubstituted and 1,4,5-trisubstituted imidazoles from aldimines and imidoyl chlorides. J. Org. Chem. 1977, 42, 1153–1159. [Google Scholar] [CrossRef]
- Fodili, M.; Nedjar-Kolli, B.; Vedrenne, M.; Saffon-Merceron, N.; Lherbet, C.; Hoffmann, P. The first example of an unusual rearrangement in the van Leusen imidazole synthesis. Chem. Heterocycl. Compd. 2015, 51, 940–943. [Google Scholar] [CrossRef]
- Zheng, X.; Ma, Z.; Zhang, D. Synthesis of Imidazole-Based Medicinal Molecules Utilizing the van Leusen Imidazole Synthesis. Pharmaceuticals 2020, 13, 37. [Google Scholar] [CrossRef]
- White, J.D.; Carter, J.P.; Kezar, H.S., III. Stereoselective synthesis of the macrocycle segment of verrucarin J. J. Org. Chem. 1982, 47, 929–932. [Google Scholar] [CrossRef]
- Schenck, G.O. Photochemical reactions. II. The unsensitized and photosensitized autoxidation of furans. Justus Liebigs Ann. Chem. 1953, 584, 156–176. [Google Scholar] [CrossRef]
- Schroeter, S.H.; Appel, R.; Brammer, R.; Schenck, G.O. Malealdehydic and fumaraldehydic acids. Justus Liebigs Ann. Chem. 1966, 697, 42–61. [Google Scholar] [CrossRef]
- Feringa, B.L. Photooxidation of furans. Recl. Trav. Chim. Pays-Bas 1987, 106, 469–488. [Google Scholar] [CrossRef]
- Fuji, K.; Nakano, S.; Fujita, E. Improved method for methoxymethylation of alcohols under mild acidic conditions. Synthesis 1975, 276–277. [Google Scholar] [CrossRef]
- Balasubramaniam, S.; Aidhen, I.S. The growing synthetic utility of the Weinreb amide. Synthesis 2008, 2008, 3707–3738. [Google Scholar]
- Khlestkin, V.K.; Mazhukin, D.G. Recent advances in the application of N,O-dialkylhydroxylamines in organic chemistry. Curr. Org. Chem. 2003, 7, 967–993. [Google Scholar] [CrossRef]
- Mentzel, M.; Hoffmann, H.M.R. N-Methoxy N-methyl amides (Weinreb amides) in modern organic synthesis. J. Prakt. Chem./Chem. Ztg. 1997, 339, 517–524. [Google Scholar] [CrossRef]
- Nowak, M. Weinreb Amides. Synlett 2015, 26, 561–562. [Google Scholar] [CrossRef]
- Senatore, R.; Ielo, L.; Monticelli, S.; Castoldi, L.; Pace, V. Weinreb Amides as Privileged Acylating Agents for Accessing α-Substituted Ketones. Synthesis 2019, 51, 2792–2808. [Google Scholar] [CrossRef]
- Singh, J.; Satyamurthi, N.; Aidhen, I.S. The growing synthetic utility of Weinreb’s amide. J. Prakt. Chem. 2000, 342, 340–347. [Google Scholar] [CrossRef]
- Sheldrick, G.M. A short history of SHELX. Acta Crystallogr. A 2008, 64, 112–122. [Google Scholar] [CrossRef]
- Dolomanov, O.V.; Bourhis, L.J.; Gildea, R.J.; Howard, J.A.K.; Puschmann, H. OLEX2: A complete structure solution, refinement and analysis program. J. Appl. Crystallogr. 2009, 42, 339–341. [Google Scholar] [CrossRef]
- Diamond-Crystal and Molecular Structure Visualization; Crystal Impact—Dr. H. Putz & Dr. K., Brandenburg GbR: Bonn, Germany, 2014; Available online: https://www.crystalimpact.com/diamond (accessed on 28 May 2021).
- Chumachenko, A.V.; Maurit, M.E.; Treboganov, A.D.; Smirnova, G.V.; Teplinskaya, R.B.; Volkova, L.V.; Zvonkova, E.N.; Preobrazhenskii, N.A. Structure of pilocarpine (an alkaloid). A new method of synthesizing cis-α-ethyl-β-carboxymethylbutyrolactone (homopilopic acid). Dokl. Akad. Nauk. SSSR 1968, 178, 1352–1355. [Google Scholar]




| Compound | 13 |
|---|---|
| Molecular formula | C9H11BrO4 |
| Formula weight /g·mol–1 | 263.09 |
| Crystal system | monoclinic |
| Space group | P 21/n |
| a /pm | 633.6(3) |
| b /pm | 1269.4(3) |
| c /pm | 1208.9(3) |
| β/° | 94.30(4)° |
| Cell volume /nm3 | 0.9696(6) |
| Molecules per cell Z | 4 |
| Calc. density ρ /g·cm–3 | 1.802 |
| μ (Mo-Ka) /mm–1 | 4.225 |
| Crystal size/mm | 0.6 × 0.56 × 0.4 |
| Diffractometer | STOE STADI IV |
| T /K | 293(2) |
| θ range /° | 2.33–25.96 |
| Absorption correction | empirical |
| Reflections collected | 5393 |
| Reflections unique | 1887 |
| Reflections with Fo > 4σ(Fo) | 1680 |
| Completeness of dataset /% | 99.9 |
| Rint | 0.0435 |
| Parameters | 88 |
| R1 (I > 2σ(I)) | 0.0379 |
| wR2 (all data) | 0.0998 |
| GooF (F2) | 1.080 |
Publisher’s Note: MDPI stays neutral with regard to jurisdictional claims in published maps and institutional affiliations. |
© 2021 by the authors. Licensee MDPI, Basel, Switzerland. This article is an open access article distributed under the terms and conditions of the Creative Commons Attribution (CC BY) license (https://creativecommons.org/licenses/by/4.0/).
Share and Cite
Schmidt, T.; Heise, N.; Merzweiler, K.; Deigner, H.-P.; Al-Harrasi, A.; Csuk, R. Concise Synthesis of Both Enantiomers of Pilocarpine. Molecules 2021, 26, 3676. https://doi.org/10.3390/molecules26123676
Schmidt T, Heise N, Merzweiler K, Deigner H-P, Al-Harrasi A, Csuk R. Concise Synthesis of Both Enantiomers of Pilocarpine. Molecules. 2021; 26(12):3676. https://doi.org/10.3390/molecules26123676
Chicago/Turabian StyleSchmidt, Theresa, Niels Heise, Kurt Merzweiler, Hans-Peter Deigner, Ahmed Al-Harrasi, and René Csuk. 2021. "Concise Synthesis of Both Enantiomers of Pilocarpine" Molecules 26, no. 12: 3676. https://doi.org/10.3390/molecules26123676
APA StyleSchmidt, T., Heise, N., Merzweiler, K., Deigner, H.-P., Al-Harrasi, A., & Csuk, R. (2021). Concise Synthesis of Both Enantiomers of Pilocarpine. Molecules, 26(12), 3676. https://doi.org/10.3390/molecules26123676

