Potentiometric Surfactant Sensor Based on 1,3-Dihexadecyl-1H-benzo[d]imidazol-3-ium for Anionic Surfactants in Detergents and Household Care Products
Abstract
:1. Introduction
2. Results
2.1. Computational Analysis
2.2. Sensor Characterization
2.2.1. Sensor Response to Anionic Surfactants
- = electromotive force of the system
- = constant potential term
- = sensor slope
- = anionic surfactant sensor activity
2.2.2. pH Influence and Interference Study
2.3. Potentiometric Titrations
2.3.1. Titrant Selection
2.3.2. Titrations of Alkane Sulfonate Homologues
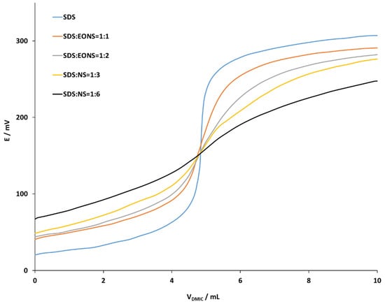
2.3.3. The Influence of Nonionic Surfactant on Titrations
2.3.4. Titration of Technical Grade Surfactants
2.3.5. Titrations of Commercial Samples
3. Materials and Methods
3.1. Reagents and Materials
3.2. Ionophore Characterization by FTIR
3.3. Computational Details of Ionophore Characterization
3.4. Preparation of Surfactant Sensor
3.5. Apparatus
3.6. Procedure
3.6.1. Potentiometric Sensor Characterization
3.6.2. Potentiometric Titrations
4. Conclusions
Supplementary Materials
Author Contributions
Funding
Institutional Review Board Statement
Informed Consent Statement
Data Availability Statement
Acknowledgments
Conflicts of Interest
Sample Availability
References
- Jozanović, M.; Sakač, N.; Karnaš, M.; Medvidović-Kosanović, M. Potentiometric Sensors for the Determination of Anionic Surfactants–A Review. Crit. Rev. Anal. Chem. 2019, 0, 115–137. [Google Scholar] [CrossRef] [PubMed]
- Global Anionic Surfactants Market—Industry Trends and Forecast to 2027; DATA BRIDGE MARKET RESEARCH: Maharashtra, India, 2020.
- Barson, D.C. Using consumer research in the development and restaging of personal care products. Surfactants Pers. Care Prod. Decor. Cosmet. Third Ed. 2006, 95–105. [Google Scholar] [CrossRef]
- ISO16265:2009 Water Quality—Determination of the Methylene Blue Active Substances (MBAS) Index—Method Using Continuous Flow Analysis (CFA). Available online: https://www.iso.org/standard/52130.html (accessed on 9 August 2018).
- ISO. Surface Active Agents, Detergents, Determination of Anionic-Active Matter by Manual or Mechanical Direct Two-Phase Titration Procedure; ISO: Geneva, Switzerland, 1989. [Google Scholar]
- Kovács, B.; Csóka, B.; Nagy, G.; Ivaska, A. All-solid-state surfactant sensing electrode using conductive polymer as internal electric contact. Anal. Chim. Acta 2001, 437, 67–76. [Google Scholar] [CrossRef]
- Najafi, M.; Maleki, L.; Rafati, A.A. Novel surfactant selective electrochemical sensors based on single walled carbon nanotubes. J. Mol. Liq. 2011, 159, 226–229. [Google Scholar] [CrossRef]
- Mohamed, G.G.; Ali, T.A.; El-Shahat, M.F.; Al-Sabagh, A.M.; Migahed, M.A.; Khaled, E. Potentiometric determination of cetylpyridinium chloride using a new type of screen-printed ion selective electrodes. Anal. Chim. Acta 2010, 673, 79–87. [Google Scholar] [CrossRef] [PubMed]
- Sakač, N.; Jozanović, M.; Karnaš, M.; Sak-Bosnar, M. A New Sensor for Determination of Anionic Surfactants in Detergent Products with Carbon Nanotubes as Solid Contact. J. Surfactants Deterg. 2017, 20, 881–889. [Google Scholar] [CrossRef]
- Abounassif, M.A.; Hefnawy, M.M.; Al-Robian, H.; Mostafa, G.A.E. Dodecanthiol as novel sensing material for potentiometric determination of sodium dodecyl sulphate anionic surfactant. Int. J. Electrochem. Sci. 2015, 10, 8668–8679. [Google Scholar]
- Seguí, M.J.; Lizondo-Sabater, J.; Benito, A.; Martínez-Máñez, R.; Pardo, T.; Sancenón, F.; Soto, J. A new ion-selective electrode for anionic surfactants. Talanta 2007, 71, 333–338. [Google Scholar] [CrossRef] [PubMed]
- Matešić-Puač, R.; Sak-Bosnar, M.; Bilić, M.; Grabarić, B.S. Potentiometric determination of anionic surfactants using a new ion-pair-based all-solid-state surfactant sensitive electrode. Sensors Actuators, B Chem. 2005, 106, 221–228. [Google Scholar] [CrossRef]
- Sakač, N.; Karnaš, M.; Jozanović, M.; Medvidović-Kosanović, M.; Martinez, S.; Macan, J.; Sak-Bosnar, M. Determination of anionic surfactants in real samples using a low-cost and high sensitive solid contact surfactant sensor with MWCNTs as the ion-to-electron transducer. Anal. Methods 2017, 9, 2305–2314. [Google Scholar] [CrossRef]
- Jaworska, E.; Lewandowski, W.; Mieczkowski, J.; Maksymiuk, K.; Michalska, A. Simple and disposable potentiometric sensors based on graphene or multi-walled carbon nanotubes--carbon-plastic potentiometric sensors. Analyst 2013, 138, 2363–2371. [Google Scholar] [CrossRef] [PubMed]
- Madunić-Čačić, D.; Sak-Bosnar, M. Investigation of homologous tallow fatty alcohols and oleyl alcohol ethoxylates using a potentiometric surfactant sensor. Int. J. Electrochem. Sci. 2011, 6, 1630–1641. [Google Scholar]
- Sakač, N.; Marković, D.; Šarkanj, B.; Madunić-Čačić, D.; Hajdek, K.; Smoljan, B.; Jozanović, M. Direct Potentiometric Study of Cationic and Nonionic Surfactants in Disinfectants and Personal Care Products by New Surfactant Sensor Based on 1,3-Dihexadecyl−1H-benzo[d]imidazol−3-ium. Molecules 2021, 26, 1366. [Google Scholar] [CrossRef] [PubMed]
- Buck, R.P.; Lindner, E. Recomendations for nomenclature of ion-selective electrodes (IUPAC recommendations 1994). Pure Appl. Chem. 1994, 66, 2527–2536. [Google Scholar] [CrossRef]
- Arooj, M.; Arrigan, D.W.M.; Mancera, R.L. Characterization of Protein-Facilitated Ion-Transfer Mechanism at a Polarized Aqueous/Organic Interface. J. Phys. Chem. B 2019, 123, 7436–7444. [Google Scholar] [CrossRef] [PubMed]
- Handbook of Computational Chemistry; Leszczynski, J.; Kaczmarek-Kedziera, A.; Puzyn, T.G.; Papadopoulos, M.; Reis, H.K.; Shukla, M. (Eds.) Springer International Publishing: Dordrecht, The Netherlands, 2017; ISBN 978-3-319-27281-8. [Google Scholar]
- Hou, T.; Wang, J.; Li, Y.; Wang, W. Assessing the Performance of the MM/PBSA and MM/GBSA Methods. 1. The Accuracy of Binding Free Energy Calculations Based on Molecular Dynamics Simulations. J. Chem. Inf. Model. 2011, 51, 69–82. [Google Scholar] [CrossRef] [PubMed]
- Genheden, S.; Ryde, U. The MM/PBSA and MM/GBSA methods to estimate ligand-binding affinities. Expert Opin. Drug Discov. 2015, 10, 449–461. [Google Scholar] [CrossRef] [PubMed]
- Ptiček, L.; Hok, L.; Grbčić, P.; Topić, F.; Cetina, M.; Rissanen, K.; Pavelić, S.K.; Vianello, R.; Racané, L. Amidino substituted 2-aminophenols: Biologically important building blocks for the amidino-functionalization of 2-substituted benzoxazoles. Org. Biomol. Chem. 2021, 19, 2784–2793. [Google Scholar] [CrossRef] [PubMed]
- Marinović, M.; Perković, I.; Fontinha, D.; Prudêncio, M.; Held, J.; Pessanha de Carvalho, L.; Tandarić, T.; Vianello, R.; Zorc, B.; Rajić, Z. Novel Harmicines with Improved Potency against Plasmodium. Molecules 2020, 25, 4376. [Google Scholar] [CrossRef] [PubMed]







| Parameters | Anionic Surfactant | |||
|---|---|---|---|---|
| SDS | DBS | |||
| In H2O | In SO42− | In H2O | In SO42− | |
| Slope (mV/decade) | 60.1 ± 0.5 | 59.7 ± 0.4 | 58.4 ± 0.6 | 58.7 ± 0.5 |
| Correlation coefficient (R2) | 0.9993 | 0.9994 | 0.9995 | 0.9995 |
| Limit of detection (M) | 3.2 × 10−7 | 4.2 × 10−7 | 6.1 × 10−7 | 6.1 × 10−7 |
| Useful linear concentration range (M) | 4.6 × 10−7 to 5.1 × 10−3 | 6.8 × 10−7 to 5.1 × 10−3 | 8.9 × 10−7 to 4.1 × 10−3 | 8.9 × 10−7 to 4.1 × 10−3 |
| Interfering Anions | |
|---|---|
| Chloride | −3.92 |
| Carbonate | −4.03 |
| Nitrate | −3.93 |
| Acetate | −3.27 |
| Sulfate | −4.69 |
| Borate | −4.13 |
| EDTA | −4.57 |
| Dihydrogenphosphate | −3.75 |
| Hydrogen carbonate | −3.30 |
| Benzoate | −3.46 |
| NaDBS | −0.10 |
| Xylensulfonate | −3.48 |
| Fluoride | −4.12 |
| Bromide | −3.98 |
| Hydrogen sulfate | −3.82 |
| Technical Grade Anionic Surfactant | w (Surfactant) */% | n (Added)/µmol | n (Found) **/µmol | Recovery/% | RSD/% |
|---|---|---|---|---|---|
| Dodecyl sulfate | 92.51 ± 0.54 | 30 | 30.12 ± 0.07 | 100.4 | 0.22 |
| Dodecyl benzenesulfonate | 47.73 ± 0.21 | 30 | 30.22 ± 0.05 | 101.0 | 0.31 |
| Lauryl ether sulfate | 27.12 ± 0.09 | 30 | 29.85 ± 0.11 | 99.5 | 0.54 |
| Secondary alkane sulfonate | 67.41 ± 0.48 | 30 | 30.38 ± 0.11 | 101,3 | 0.76 |
| Commercial Detergents | % Anionic Surfactant | |||
|---|---|---|---|---|
| DHBI-TPB | ISE Surfactant Sensor * | Two-Phase Titration ** | ||
| Powdered | sample 1 | 6.14 ± 0.09 | 6.03 | 6.38 |
| sample 2 | 6.76 ± 0.15 | 6.88 | 6.86 | |
| sample 3 | 5.78 ± 0.06 | 5.68 | 5.45 | |
| sample 4 | 6.03 ± 0.07 | 6.11 | 6.08 | |
| Liquid-gel | sample 5 | 2.56 ± 0.07 | 2.49 | 2.66 |
| sample 6 | 2.33 ± 0.06 | 2.31 | 2.19 | |
| sample 7 | 2.13 ± 0.11 | 2.09 | 2.01 | |
| sample 8 | 2.01 ± 0.04 | 2.12 | 2.22 | |
| Handwashing | sample 9 | 15.89 ± 0.19 | 15.76 | 15.64 |
| sample 10 | 14.11 ± 0.11 | 14.14 | 14.31 | |
| sample 11 | 13.98 ± 0.07 | 13.88 | 13.72 | |
| sample 12 | 14.35 ± 0.21 | 14.41 | 14.48 | |
Publisher’s Note: MDPI stays neutral with regard to jurisdictional claims in published maps and institutional affiliations. |
© 2021 by the authors. Licensee MDPI, Basel, Switzerland. This article is an open access article distributed under the terms and conditions of the Creative Commons Attribution (CC BY) license (https://creativecommons.org/licenses/by/4.0/).
Share and Cite
Sakač, N.; Madunić-Čačić, D.; Marković, D.; Hok, L.; Vianello, R.; Šarkanj, B.; Đurin, B.; Hajdek, K.; Smoljan, B.; Milardović, S.; et al. Potentiometric Surfactant Sensor Based on 1,3-Dihexadecyl-1H-benzo[d]imidazol-3-ium for Anionic Surfactants in Detergents and Household Care Products. Molecules 2021, 26, 3627. https://doi.org/10.3390/molecules26123627
Sakač N, Madunić-Čačić D, Marković D, Hok L, Vianello R, Šarkanj B, Đurin B, Hajdek K, Smoljan B, Milardović S, et al. Potentiometric Surfactant Sensor Based on 1,3-Dihexadecyl-1H-benzo[d]imidazol-3-ium for Anionic Surfactants in Detergents and Household Care Products. Molecules. 2021; 26(12):3627. https://doi.org/10.3390/molecules26123627
Chicago/Turabian StyleSakač, Nikola, Dubravka Madunić-Čačić, Dean Marković, Lucija Hok, Robert Vianello, Bojan Šarkanj, Bojan Đurin, Krunoslav Hajdek, Božo Smoljan, Stjepan Milardović, and et al. 2021. "Potentiometric Surfactant Sensor Based on 1,3-Dihexadecyl-1H-benzo[d]imidazol-3-ium for Anionic Surfactants in Detergents and Household Care Products" Molecules 26, no. 12: 3627. https://doi.org/10.3390/molecules26123627
APA StyleSakač, N., Madunić-Čačić, D., Marković, D., Hok, L., Vianello, R., Šarkanj, B., Đurin, B., Hajdek, K., Smoljan, B., Milardović, S., Matasović, B., & Jozanović, M. (2021). Potentiometric Surfactant Sensor Based on 1,3-Dihexadecyl-1H-benzo[d]imidazol-3-ium for Anionic Surfactants in Detergents and Household Care Products. Molecules, 26(12), 3627. https://doi.org/10.3390/molecules26123627

