Abstract
(Co, Nb) co-doped rutile TiO2 (CoNTO) nanoparticles with low dopant concentrations were prepared using a wet chemistry method. A pure rutile TiO2 phase with a dense microstructure and homogeneous dispersion of the dopants was obtained. By co-doping rutile TiO2 with 0.5 at.% (Co, Nb), a very high dielectric permittivity of ε′ ≈ 36,105 and a low loss tangent of tanδ ≈ 0.04 were achieved. The sample–electrode contact and resistive outer-surface layer (surface barrier layer capacitor) have a significant impact on the dielectric response in the CoNTO ceramics. The density functional theory calculation shows that the 2Co atoms are located near the oxygen vacancy, creating a triangle-shaped 2CoVoTi complex defect. On the other hand, the substitution of TiO2 with Nb atoms can form a diamond-shaped 2Nb2Ti complex defect. These two types of complex defects are far away from each other. Therefore, the electron-pinned defect dipoles cannot be considered the primary origins of the dielectric response in the CoNTO ceramics. Impedance spectroscopy shows that the CoNTO ceramics are electrically heterogeneous, comprised of insulating and semiconducting regions. Thus, the dielectric properties of the CoNTO ceramics are attributed to the interfacial polarization at the internal insulating layers with very high resistivity, giving rise to a low loss tangent.
1. Introduction
The intensive investigation of a novel giant dielectric oxide (GDO) showing a high dielectric constant (ε′) has fueled research in the field of dielectric materials [1,2,3,4,5,6]. The loss tangent (tanδ) is also an essential factor for capacitor applications. ACu3Ti4O12 (A = Ca, Cd, etc.), the famous GDO, is a widely researched GDO because it can show a large ε′ of ~104 over a wide temperature range [3,7,8,9,10]. This unusual behavior is owing to the existence of a potential barrier at the grain boundaries (GBs); that is, the Schottky barrier. ACu3Ti4O12 ceramics have an electrically heterogeneous microstructure consisting of low conductivity and high conductivity parts. The microstructure is usually analyzed by the brickwork layer model of an internal barrier layer capacitor (IBLC) structure. Therefore, the dielectric properties of many GDOs can be improved by enhancing the electrical properties of the grains and GBs. Although ACu3Ti4O12 ceramics can exhibit a large ε′ response, their tanδ values are very large, which cannot be used in ceramic capacitors [11,12,13,14,15,16,17]. The low-frequency tanδ of ACu3Ti4O12 and other GDOs can be decreased by increasing the resistivity at the GBs (Rgb) via doping ions or designing a small grain-sized microstructure [8,18,19,20].
Recently, a new promising GDO was reported. By co-doping TiO2 with aliovalent ions into the rutile structure (i.e., Ti1−x(Nb0.5In0.5)xO2), a very high ε′ > 104 with low tanδ ≈ 0.02 can be obtained [21]. The giant dielectric properties, with a low-temperature coefficient of the ε′ from 80 to 450 K of the Ti1−x(Nb0.5In0.5)xO2 ceramics, are much better than those of the ACu3Ti4O12 [15,22,23]. The existence of electron-pinned defect dipoles (EPDD) was suggested to be the primary cause of the observed dielectric properties. In this EPDD model, the diamond-shaped (A = Ti3+/In3+/Ti4+) and triangular-shaped defects were predicted to be closely correlated, resulting in a low tanδ and high ε′ with temperature stability. The former and latter defects can be produced by co-doping with acceptor dopant (e.g., Ga3+or In3+) and donor dopant (e.g., Nb5+ or Ta5+) [21,24,25].
Besides the quasi-intrinsic effect of the complex defect dipoles [21,26], extrinsic effects based on interfacial polarization have been widely proposed, such as the surface barrier layer capacitor (SBLC) [27] and IBLC models [28,29]. Although the non-Ohmic contact at the sample–electrode interface (i.e., sample–electrode, SE effect) can have a remarkable impact on the dielectric properties [27], a significant increase in ε′ is usually accompanied by an enormous tanδ value [24,30]. According to the SBLC and IBLC effects, the insulating layers in co-doped TiO2 polycrystalline ceramics can be formed by doping with an acceptor dopant. At the same time, the semiconducting part can be produced by doping with a donor dopant [29,31]. Thus, the origin of the giant dielectric response in co-doped TiO2 is still under discussion.
Until recently, many co-doped TiO2 systems have been intensively investigated to develop a new co-doped TiO2 system that can exhibit a high ε′ > 104 with low tanδ, such as (Ga, Nb), (Ag, Nb), (In, Nb), (Sc, Nb), (In, Ta), and (Y, Nb) co-doped TiO2 systems [4,25,31,32,33,34]. To the best of our knowledge, the preparation, characterization, dielectric properties, and formation of defect dipoles of (Co, Nb) co-doped TiO2 (CoNTO) ceramics have never been reported. The aims of this study were to prepare and characterize the CoNTO ceramics using a wet chemistry method for obtaining a new co-doped TiO2 system that can exhibit a high ε′ and low tanδ, and to clearly explain the primary cause of the dielectric properties.
In the present study, the synthesized CoNTO ceramics with low levels of co-doping concentrations were systematically studied to obtain a high ε′ and low tanδ, and to clarify the primary contribution of the giant dielectric properties in CoNTO ceramics. X-ray photoelectron spectroscopy (XPS), scanning electron microscope (SEM), Raman scattering spectroscopy, and X-ray diffraction (XRD) techniques were used for the characterization of the sintered CoNTO ceramics. Impedance spectroscopy and first-principle calculations were used to evaluate the possible origin of the dielectric response in the CoNTO ceramics. The intrinsic and extrinsic effects were discussed in detail.
2. Results and Discussion
Figure 1 shows the XRD patterns of the 0.5% CoNTO and 1% CoNTO powders and sintered 0.5% CoNTO and 1% CoNTO ceramics. A main phase of the rutile TiO2 (JCPDS 21-1276) with a tetragonal structure is clearly observed in all samples with no impurity phase. The lattice parameters (a and c values) of all the samples calculated by a Rietveld refinement method are summarized in Table 1. Both values are nearly the same as the a (4.593 Å) and c (2.959 Å) values for the rutile TiO2 structure. These calculated values are comparable to those reported in the (In, Nb) co-doped TiO2 ceramics 21. The lattice parameters of the 0.5% CoNTO and 1% CoNTO powders are slightly changed. This may be due to the fact that, after the calcination process, the (Co, Nb) dopants did not, or only faintly, substitute into the rutile TiO2 structure. The lattice parameters of sintered ceramics had slightly decreased compared to those of the powders with the same doping content. This result may be due to the substitution of rutile TiO2 with (Co, Nb) dopants into the structure. On the other hand, the observed increase in the lattice parameters of the 1% CoNTO ceramic compared to those of the 0.5% CoNTO ceramic may be associated with the different ionic radii between the dopants and the host Ti4+ ions.
Figure 1.
XRD patterns of: (a) 0.5% CoNTO; (b) 1% CoNTO powders and sintered ceramics; (c) 0.5% CoNTO; and (d) 1% CoNTO ceramics.
Table 1.
Lattice parameters of (Co0.33Nb0.67)xTi1-xO2 powders and ceramics.
Figure 2a,b show the surface morphologies and the elemental mapping in the 0.5% CoNTO and 1% CoNTO ceramics, respectively. It was found that the dopants were homogeneously dispersed in the microstructure. A dense microstructure consisting of grains and grain boundaries is observed. The average grain size of the 0.5% CoNTO (~16.5 μm) and 1% CoNTO (~7.4 μm) ceramics was significantly changed by variations in the co-doping concentrations. The decrease in the mean grain size of the 1% CoNTO ceramic was likely due to the solute drag mechanism associated with the formation of a space charge at the grain boundaries [32,35,36]. The relative densities of the 0.5% CoNTO and 1% CoNTO ceramics were 94.83% and 97.64%, respectively. Elemental mapping images show homogeneous dispersion of the (Co, Nb) dopants and the major elements of Ti and O throughout the microstructure, without segregation of the dopants at any specific region.
Figure 2.
Field emission scanning electron microscope (FE-SEM) images and mapping images of all elements of (a) 0.5% CoNTO and (b) 1% CoNTO ceramics.
Figure 3 shows Raman spectra of the 0.5% CoNTO and 1% CoNTO ceramics compared to the undoped TiO2 ceramic. The peak positions of the Raman shift of the Eg mode were the same position at 445.6 cm−1. The peak positions of the A1g mode of the undoped TiO2, 0.5% CoNTO, and 1% CoNTO ceramics were 610.5, 610.0, and 610.0 cm−1, respectively. Generally, the Eg mode in the Raman spectrum of the rutile TiO2 is attributed to the vibration mode of oxygen along the c axis, which can be correlated with the presence of oxygen vacancies in the structure. The A1g model is related to the vibration of the Ti–O bond [24,28]. The unchanged Raman shift of the Eg mode and the A1g model mode may be due to a small doping concentration.
Figure 3.
Raman spectra of TiO2, 0.5% CoNTO, and 1% CoNTO ceramics.
The 0.5% CoNTO and 1% CoNTO ceramics were characterized using XPS techniques to clarify the influences of (Co, Nb) co-dopants on the formation of defects in the rutile TiO2 structure. XPS spectra of the 0.5% CoNTO and 1% CoNTO ceramics are shown in Figure 4. Two peaks of Nb 3d electrons were detected, corresponding to 3d3/2 and 3d5/2, respectively, which is entirely consistent with those observed in Nb5+ single-doped TiO2 materials [21]. Generally, doping a rutile TiO2 ceramic with Nb5+ can produce free electrons and eventually cause a reduction in Ti4+ to Ti3+, following the relationship [21]:
Figure 4.
XPS spectra of 0.5% CoNTO and 1% CoNTO ceramics.
Ti4+ + e− → Ti3+
As shown in Figure 4, the binding energies of Ti3+ and Ti4+ for the 0.5% CoNTO ceramic were about 457.52 and 458.54, respectively, while the binding energies of Ti3+ and Ti4+ for the 1% CoNTO ceramic were about 457.67 and 458.42 eV, respectively. The oxidation states of Co were Co2+ and Co3+. As shown in Figure 4 for the XPS spectra of Co2p, by fitting the experimental results, the prominent peaks of Co 2p1/2 and Co 2p3/2 were observed at about 779.15–780.19 eV and 794.55–794.86 eV, respectively, confirming the existence of the Co3+. Additionally, a small peak at relatively higher binding energies was observed. This can be ascribed to the Co2+. The XPS spectrum of O1s profiles was measured. Three peaks were obtained from the fitted data. The XPS peaks at 529.84, 532.43, and 531.15 eV were ascribed to the oxygen lattice in the bulk ceramic, oxygen lattices of other cation–oxygen bonds, and oxygen vacancies, respectively [21,37]. The substitution of TiO2 with acceptor Co2+ dopant can result in the existence of oxygen vacancies due to charge compensation, following the relation:
The dielectric properties as a function of frequency at room temperature for the 0.5% CoNTO and 1% CoNTO ceramics are illustrated in Figure 5a,b and its insets. The as-fired samples exhibited ultra-high ε′ values of ~103–104, over the frequency range of 40–107 Hz. At 1 kHz, the ε′ values of the 0.5% CoNTO and 1% CoNTO ceramics were 3.6 × 104 and 3.6 × 103, respectively, while the tanδ values were 0.039 and 0.079, respectively.
Figure 5.
Frequency dependence of ε′ for (a) 0.5% CoNTO and (b) 1% CoNTO ceramics.
After dielectric properties of the as-fired samples were measured at different temperatures, both sides of the initial electrodes and the outer surface layers of the pellet samples were removed by polishing them with SiC paper (referred to as the polished sample). In this step, the sample thickness was reduced by ~0.12 mm. The polished samples were painted by Ag paste and heated in air at 600 °C for 0.5 h. After that, the dielectric properties of the polished samples were remeasured. It was found that the ε′ of the polished samples significantly increased compared to that of the as-fired samples, especially in a low-frequency range. Furthermore, it was found that the tanδ values of the polished samples significantly increased in frequencies below 104 Hz, as shown in the insets of Figure 5a,b. These results indicated that the outer surface layers of the 0.5% CoNTO and 1% CoNTO ceramics are the insulating layers. Generally, a low-frequency tanδ of many giant dielectric oxides is associated with the DC conduction of the long-range motion of free charge carriers. Removing the resistive outer surface layer results in an increase in conductivity, leading to the observed increase in a low-frequency tanδ. The increased ε′ values of the polished 0.5% CoNTO and 1% CoNTO ceramics were attributed to the non-Ohmic sample–electrode contact.
After the dielectric properties of both polished samples were measured, the electrodes and outer surface layer were removed. In this step, the sample thickness was reduced by ~0.15 mm. Then, the samples were annealed at 1200 °C in the air for 30 min (referred to as the annealed samples). Next, the annealed samples were painted with Ag paste and heated in the air at 600 °C for 0.5 h. After that, the dielectric properties of the annealed samples were measured again. As illustrated in Figure 5a,b, the ε′ and tanδ values of the annealed 0.5% CoNTO sample were recovered to their initial values (as-fired sample), while the ε′ and tanδ values of the annealed 1% CoNTO sample were significantly reduced compared to those of the polished 1% CoNTO sample. At 1 kHz, the ε′ values of the annealed 0.5% CoNTO and 1% CoNTO ceramics were 3.3 × 104 and 7.6 × 103, respectively, while the tanδ values were 0.032 and 0.043, respectively. These results indicated the important role of the insulative outer surface layer that contributed to the dielectric properties of the 0.5% CoNTO and 1% CoNTO ceramics. During the annealing process at 1200 °C, the surfaces of the polished samples were re-oxidized by filling oxygen vacancies on the surface and along the GBs. Free charges on the surfaces and the GB regions were reduced by filling oxygen vacancies with oxygen ions during the annealing process [27,32,38]. Therefore, the SBLC and IBLC mechanisms can be used to explain the dielectric properties of the (Co, Nb) co-doped TiO2 ceramics. Thus, it is clearly shown that the SBLC and IBLC effects have a significant impact on the dielectric properties of the 0.5% CoNTO and 1% CoNTO ceramics.
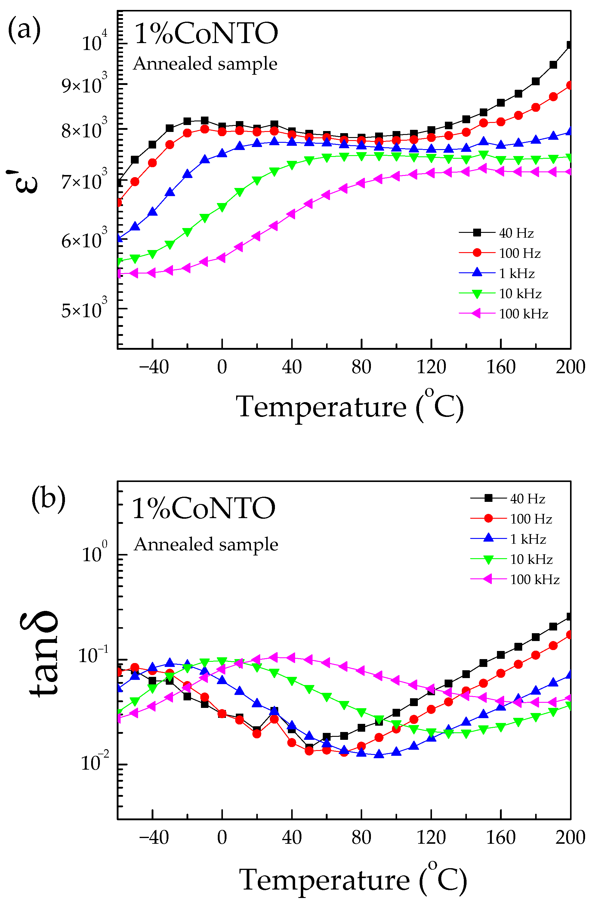
Figure 6 and Figure 7 show the temperature dependences of the ε′ and tanδ values of the 0.5% CoNTO and 1% CoNTO ceramics. The relaxation peak of tanδ was observed in the 0.5% CoNTO and 1% CoNTO ceramics in the temperature range from −60 to 40 °C. The dielectric relaxation was likely attributed to the electrical response of internal insulating interfaces between grains [39]. The dielectric relaxation in a low temperature range is similar to that observed in ACu3Ti4O12 ceramics. This result may be due to the Maxwell–Wagner polarization relaxation at the insulating GBs [40,41]. The relaxation peak of tanδ shifts to high temperatures as the frequency increases, indicating a thermally activated relaxation mechanism.

Figure 6.
Temperature dependences of (a) ε′ and (b) tanδ of 0.5% CoNTO ceramic.
Figure 7.
Temperature dependences of (a) ε′ and (b) tanδ of 1% CoNTO ceramic.
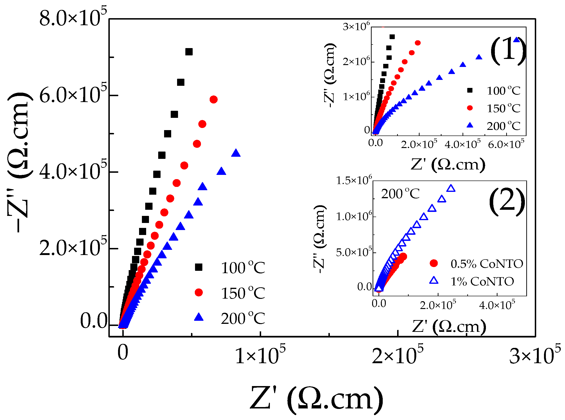
By using impedance spectroscopy analysis, the electrical properties of the grains and GBs can be characterized [8]. As shown in Figure 8 and the inset (1), only parts of large arcs are observed in a high-temperature range (100–200 °C) for the 0.5% CoNTO and 1% CoNTO ceramics, indicating the electrical response of the insulating parts (GBs and resistive outer surface layer). The nonzero intercept of the impedance spectra on the Z′ axis was observed for all the ceramics (not shown), confirming the existence of semiconducting grains with the grain resistance of Rg ~40 and 25 Ω.cm for the 0.5% CoNTO and 1% CoNTO ceramics, respectively. Therefore, the 0.5% CoNTO and 1% CoNTO ceramics are electrically heterogeneous and comprised of insulating and semiconducting parts. Furthermore, the diameter of the large arc decreased with increasing temperature, indicating the decrease in total resistance of the insulating parts (Ri). Thus, the colossal permittivity in the 0.5% CoNTO and 1% CoNTO ceramics prepared by a wet chemical process method may be primarily caused by extrinsic factors resulting from the IBLC and SBLC effects. The result indicates that the dielectric properties are associated with the electrical responses of grain and grain boundaries. As shown in the inset (2) of Figure 8, although the arc of the 0.5% CoNTO and 1% CoNTO ceramics cannot be seen at 200 °C, it is clearly observed that the arc of the 1% CoNTO ceramic was much larger than that of the 0.5% CoNTO ceramic. This result indicates that the Ri of the 1% CoNTO ceramic was larger than that of the 0.5% CoNTO ceramic. As shown in Figure 2a,b, the mean grain size of the 1% CoNTO ceramic was smaller than that of the 0.5% CoNTO ceramic. Thus, the number of insulating GBs per volume (GB density) of the 1% CoNTO ceramic should be higher than that of the 0.5% CoNTO ceramic, resulting in the increased Ri.
Figure 8.
Impedance spectra at different temperatures (100–200 °C) for 0.5% CoNTO ceramic. Inset (1) shows impedance spectra of 1% CoNTO ceramic at different temperatures and inset (2) shows the comparison of impedance spectra at 200 °C for 0.5% CoNTO and 1% CoNTO ceramics.
To clarify the possible origin of the colossal dielectric properties in 0.5% CoNTO and 1% CoNTO ceramics, we calculated the most stable configurations of 2CoVoTiO2 and 2NbTiO2. To investigate the lowest energy configuration of the 0.5% CoNTO and 1% CoNTO ceramics, the 2CoVo triangular and 2Nb diamond defects were placed into the TiO2 structure simultaneously in three configurations, for structures 1–3, as shown in Figure 9. The stable structure of 2NbTiO2 is structure 1 due to the lowest total energy. This result indicates that the 2CoVo triangular defect does not prefer to be close to the 2Nb diamond defect. For the formation of defect clusters of EPDDs, these two types of defects must be close together. However, according to DFT calculations, the lowest total energy can be obtained when the 2CoVo triangular and 2Nb diamond defects are far away. Therefore, it is reasonable to suggest that the colossal dielectric properties of the 0.5% CoNTO and 1% CoNTO ceramics were attributed to the SBLC and IBLC effects, in which the electron hopping mechanism between Ti3+ and Ti4+ ions occurred inside the semiconducting grains of the 0.5% CoNTO and 1% CoNTO ceramics.
Figure 9.
Energy-preferable structure of the 2CoVo triangular defect and 2Nb diamond with different configurations.
3. Materials and Methods
(Nb2/3Co1/3)xTi1−xO2 (CoNTO) powders with x = 0.5% (0.5% CoNTO) and 1% (1% CoNTO) were prepared by a wet chemistry method. Co(NO3)2•6H2O (Kanto chemical, >99.5%), Diisopropoxytitanium bis(acetylacetonate) (C16H28O6Ti, Sigma–Aldrich), NbCl5 (Sigma–Aldrich, >99.9%), deionized water, and citric acid were used as the starting raw materials. First, Co(NO3)2•6H2O and NbCl5 were dissolved in an aqueous solution of citric acid under constant stirring at ~25 °C (solution A). Second, a C16H28O6Ti solution was dropped into solution A at 130 °C until a viscous gel was obtained. Third, a viscous gel was heated at 350 °C in an oven for 1 h to form dried porous precursors. Then, the resulting dried precursors were ground and calcined in air at 1000 °C for 12 h to produce the rutile phase in the 0.5% CoNTO and 1% CoNTO powders. Next, the obtained 0.5% CoNTO and 1% CoNTO powders were carefully ground. After that, the powders were pressed into pellets of ~1.0 mm in thickness and ~9.5 mm in diameter. Finally, the pellets were sintered at 1450 °C for 5 h. The heating and cooling rates were 2 °C/min and ~10 °C/min, respectively.
The prepared powders and sintered ceramics were characterized using XRD (PANalytical, EMPYREAN), SEM (FEI, QUANTA 450), XPS (AXIS Ultra DLD, UK), and Raman (Horiba Jobin-Yvon T64000) techniques. The densities of the sintered samples were measured using an Archimedes’ method. For the measurement of the dielectric properties, the top and bottom surfaces of the sintered samples with thickness < 1 mm were painted with Ag paste and heated in air at 600 °C for 0.5 h to make good electrode contact. The dielectric properties of the as-fired 0.5% CoNTO and 1% CoNTO ceramics were tested using a KEYSIGHT E4990A impedance analyzer over the frequency range from 40 to 107 Hz using an oscillation voltage of 0.5 V. The dielectric properties as a function of temperature were measured using a step increase of 10 °C from −60 to 200 °C.
The stable configuration of the (Co, Nb) co-doped rutile TiO2 was investigated using the density functional theory (DFT) implemented in the Vienna ab initio simulation package (VASP). According to the pseudopotential used in this work, the projector augments wave approach and the Perdew–Burke–Ernzerhof (PBE) form of exchange–correlation functional was chosen. The 600-eV plane-wave energy cutoff and 3 × 3 × 3 k-point samplings with Monkhorst–Pack scheme were successfully tested. The conjugate–gradient algorithm was carried out, and the force acting on each ion was calculated by the Hellmann–Feynman theorem.
4. Conclusions
(Nb0.67Co0.33)xTi1−xO2 ceramics with different co-dopant concentrations were successfully prepared using a wet chemistry method. A highly dense microstructure was obtained in all ceramics. High ε′ ≈ 103–104 and very low tanδ ≈ 0.032–0.079 at 1 kHz were achieved. The XPS analysis indicated that the substitution of TiO2 with Co2+ and/or Co3+ caused the existence of for charge compensation, while doping TiO2 with Nb5+ could cause the existence of free electrons, giving rise to the electron hopping mechanism between Ti4+ and Ti3+ in the semiconducting grains. Examination of the possible formation of defect structures was performed using a DFT calculation. The 2Nb diamond did not correlate with the 2CoVo triangular shapes, indicating that there was no EPDD. According to the impedance spectroscopy and DFT calculation, it can reasonably be suggested that the origins of the colossal dielectric properties are attributable to the IBLC and SBLC effects.
Author Contributions
Conceptualization, P.T.; Formal analysis, T.N. and P.T.; Investigation, T.N., N.C. and P.M.; Methodology, T.N.; Software, P.T.; Validation, P.T.; Writing—original draft, T.N. and P.T. All authors have read and agreed to the published version of the manuscript.
Funding
This research was funded by the Basic Research Fund of Khon Kaen University and Research and Graduate Studies, Khon Kaen University. This research was partially funded by the Synchrotron Light Research Institute, Khon Kaen University, and the Thailand Research Fund (TRF), grant number BRG6180003 and The Royal Golden Jubilee Ph.D. Program, grant number PHD/0114/2559.
Institutional Review Board Statement
Not applicable.
Informed Consent Statement
Not applicable.
Data Availability Statement
The data presented in this study are available in article.
Acknowledgments
This work was supported by the Basic Research Fund of Khon Kaen University and Research and Graduate Studies, Khon Kaen University. This study was financially supported by the Synchrotron Light Research Institute, Khon Kaen University, and the Thailand Research Fund (TRF) (grant no. BRG6180003). T. Nachaithong would like to thank the Thailand Research Fund under The Royal Golden Jubilee Ph.D. Program [Grant Number PHD/0114/2559] for her Ph.D. scholarship.
Conflicts of Interest
The authors declare no conflict of interest.
References
- Xu, Z.; Li, L.; Wang, W.; Lu, T. Colossal permittivity and ultralow dielectric loss in (Nd0.5Ta0.5)xTi1-xO2 ceramics. Ceram. Int. 2019, 45, 17318–17324. [Google Scholar] [CrossRef]
- Peng, Z.; Wang, J.; Liang, P.; Zhu, J.; Zhou, X.; Chao, X.; Yang, Z. A new perovskite-related ceramic with colossal permittivity and low dielectric loss. J. Eur. Ceram. Soc. 2020, 40, 4010–4015. [Google Scholar] [CrossRef]
- Peng, Z.; Liang, P.; Wang, J.; Zhou, X.; Zhu, J.; Chao, X.; Yang, Z. Interfacial effect inducing thermal stability and dielectric response in CdCu3Ti4O12 ceramics. Solid State Ion. 2020, 348, 115290. [Google Scholar] [CrossRef]
- Zhou, X.; Liang, P.; Zhu, J.; Peng, Z.; Chao, X.; Yang, Z. Enhanced dielectric performance of (Ag1/4Nb3/4)0.01Ti0.99O2 ceramic prepared by a wet-chemistry method. Ceram. Int. 2020, 46 Pt. B, 11921–11925. [Google Scholar]
- Liang, P.; Zhu, J.; Wu, D.; Peng, H.; Chao, X.; Yang, Z. Good dielectric performance and broadband dielectric polarization in Ag, Nb co-doped TiO2. J. Am. Ceram. Soc. 2021, 104, 2702–2710. [Google Scholar] [CrossRef]
- Zhu, J.; Wu, D.; Liang, P.; Zhou, X.; Peng, Z.; Chao, X.; Yang, Z. Ag+/W6+ co-doped TiO2 ceramic with colossal permittivity and low loss. J. Alloys Compd. 2021, 856, 157350. [Google Scholar] [CrossRef]
- Sinclair, D.C.; Adams, T.B.; Morrison, F.D.; West, A.R. CaCu3Ti4O12: One-step internal barrier layer capacitor. Appl. Phys. Lett. 2002, 80, 2153. [Google Scholar] [CrossRef]
- Adams, T.; Sinclair, D.; West, A. Characterization of grain boundary impedances in fine- and coarse-grained CaCu3Ti4O12 ceramics. Phys. Rev. B 2006, 73, 094124. [Google Scholar] [CrossRef]
- Peng, Z.; Zhou, X.; Wang, J.; Zhu, J.; Liang, P.; Chao, X.; Yang, Z. Origin of colossal permittivity and low dielectric loss in Na1/3Cd1/3Y1/3Cu3Ti4O12 ceramics. Ceram. Int. 2020, 46 Pt A, 11154–11159. [Google Scholar] [CrossRef]
- Zhao, N.; Liang, P.; Wu, D.; Chao, X.; Yang, Z. Temperature stability and low dielectric loss of lithium-doped CdCu3Ti4O12 ceramics for X9R capacitor applications. Ceram. Int. 2019, 45 Pt B, 22991–22997. [Google Scholar] [CrossRef]
- Lunkenheimer, P.; Fichtl, R.; Ebbinghaus, S.; Loidl, A. Nonintrinsic origin of the colossal dielectric constants in CaCu3Ti4O12. Phys. Rev. B 2004, 70, 172102. [Google Scholar] [CrossRef]
- Li, M.; Cai, G.; Zhang, D.F.; Wang, W.Y.; Wang, W.J.; Chen, X.L. Enhanced dielectric responses in Mg-doped CaCu3Ti4O12. J. Appl. Phys. 2008, 104, 074107. [Google Scholar] [CrossRef]
- Ni, L.; Chen, X.M. Enhancement of Giant Dielectric Response in CaCu3Ti4O12 Ceramics by Zn Substitution. J. Am. Ceram. Soc. 2010, 93, 184–189. [Google Scholar] [CrossRef]
- Ni, L.; Chen, X.M.; Liu, X.Q. Structure and modified giant dielectric response in CaCu3(Ti1−xSnx)4O12 ceramics. Mater. Chem. Phys. 2010, 124, 982–986. [Google Scholar] [CrossRef]
- Yang, Z.; Zhang, L.; Chao, X.; Xiong, L.; Liu, J. High permittivity and low dielectric loss of the Ca1−xSrxCu3Ti4O12 ceramics. J. Alloys Compd. 2011, 509, 8716–8719. [Google Scholar] [CrossRef]
- Sun, L.; Zhang, R.; Wang, Z.; Cao, E.; Zhang, Y.; Ju, L. Microstructure and enhanced dielectric response in Mg doped CaCu3Ti4O12 ceramics. J. Alloys Compd. 2016, 663, 345–350. [Google Scholar] [CrossRef]
- Jumpatam, J.; Putasaeng, B.; Yamwong, T.; Thongbai, P.; Maensiri, S. Enhancement of giant dielectric response in Ga-doped CaCu3Ti4O12 ceramics. Ceram. Int. 2013, 39, 1057–1064. [Google Scholar] [CrossRef]
- Thongbai, P.; Yamwong, T.; Maensiri, S.; Amornkitbamrung, V.; Chindaprasirt, P. Improved Dielectric and Nonlinear Electrical Properties of Fine-Grained CaCu3Ti4O12 Ceramics Prepared by a Glycine-Nitrate Process. J. Am. Ceram. Soc. 2014, 97, 1785–1790. [Google Scholar] [CrossRef]
- Boonlakhorn, J.; Thongbai, P. Dielectric properties, nonlinear electrical response and microstructural evolution of CaCu3Ti4-xSnxO12 ceramics prepared by a double ball-milling process. Ceram. Int. 2020, 46, 4952–4958. [Google Scholar] [CrossRef]
- Jumpatam, J.; Putasaeng, B.; Chanlek, N.; Boonlakhorn, J.; Thongbai, P.; Phromviyo, N.; Chindaprasirt, P. Significantly improving the giant dielectric properties of CaCu3Ti4O12 ceramics by co-doping with Sr2+ and F- ions. Mater. Res. Bull. 2021, 133, 111043. [Google Scholar] [CrossRef]
- Hu, W.; Liu, Y.; Withers, R.L.; Frankcombe, T.J.; Norén, L.; Snashall, A.; Kitchin, M.; Smith, P.; Gong, B.; Chen, H.; et al. Electron-pinned defect-dipoles for high-performance colossal permittivity materials. Nat. Mater. 2013, 12, 821–826. [Google Scholar] [CrossRef]
- Wu, J.; Nan, C.-W.; Lin, Y.; Deng, Y. Giant Dielectric Permittivity Observed in Li and Ti Doped NiO. Phys. Rev. Lett. 2002, 89, 217601. [Google Scholar] [CrossRef]
- Chouket, A.; Bidault, O.; Optasanu, V.; Cheikhrouhou, A.; Cheikhrouhou-Koubaa, W.; Khitouni, M. Enhancement of the dielectric response through Al-substitution in La1.6Sr0.4NiO4 nickelates. RSC Adv. 2016, 6, 24543–24548. [Google Scholar] [CrossRef]
- Hu, W.; Lau, K.; Liu, Y.; Withers, R.L.; Chen, H.; Fu, L.; Gong, B.; Hutchison, W. Colossal Dielectric Permittivity in (Nb+Al) Codoped Rutile TiO2 Ceramics: Compositional Gradient and Local Structure. Chem. Mater. 2015, 27, 4934–4942. [Google Scholar] [CrossRef]
- Nachaithong, T.; Tuichai, W.; Kidkhunthod, P.; Chanlek, N.; Thongbai, P.; Maensiri, S. Preparation, characterization, and giant dielectric permittivity of (Y3+ and Nb5+) co–doped TiO2 ceramics. J. Eur. Ceram. Soc. 2017, 37, 3521–3526. [Google Scholar] [CrossRef]
- Han, H.; Dufour, P.; Mhin, S.; Ryu, J.H.; Tenailleau, C.; Guillemet-Fritsch, S. Quasi-intrinsic colossal permittivity in Nb and In co-doped rutile TiO2 nanoceramics synthesized through a oxalate chemical-solution route combined with spark plasma sintering. Phys. Chem. Chem. Phys. 2015, 17, 16864–16875. [Google Scholar] [CrossRef]
- Nachaithong, T.; Kidkhunthod, P.; Thongbai, P.; Maensiri, S. Surface barrier layer effect in (In + Nb) co-doped TiO2 ceramics: An alternative route to design low dielectric loss. J. Am. Ceram. Soc. 2017, 100, 1452–1459. [Google Scholar] [CrossRef]
- Liu, G.; Fan, H.; Xu, J.; Liu, Z.; Zhao, Y. Colossal permittivity and impedance analysis of niobium and aluminum co-doped TiO2 ceramics. RSC Adv. 2016, 6, 48708–48714. [Google Scholar] [CrossRef]
- Wu, Y.Q.; Zhao, X.; Zhang, J.L.; Su, W.B.; Liu, J. Huge low-frequency dielectric response of (Nb,In)-doped TiO2 ceramics. Appl. Phys. Lett. 2015, 107, 242904. [Google Scholar] [CrossRef]
- Nachaithong, T.; Thongbai, P.; Maensiri, S. Colossal permittivity in (In1/2Nb1/2)xTi1−xO2 ceramics prepared by a glycine nitrate process. J. Eur. Ceram. Soc. 2017, 37, 655–660. [Google Scholar] [CrossRef]
- Tuichai, W.; Danwittayakul, S.; Chanlek, N.; Thongbai, P.; Maensiri, S. High-performance giant-dielectric properties of rutile TiO2 co-doped with acceptor-Sc3+ and donor-Nb5+ ions. J. Alloys Compd. 2017, 703, 139–147. [Google Scholar] [CrossRef]
- Tuichai, W.; Thongyong, N.; Danwittayakul, S.; Chanlek, N.; Srepusharawoot, P.; Thongbai, P.; Maensiri, S. Very low dielectric loss and giant dielectric response with excellent temperature stability of Ga3+ and Ta5+ co-doped rutile-TiO2 ceramics. Mater. Des. 2017, 123, 15–23. [Google Scholar] [CrossRef]
- Dong, W.; Hu, W.; Berlie, A.; Lau, K.; Chen, H.; Withers, R.L.; Liu, Y. Colossal Dielectric Behavior of Ga+Nb Co-Doped Rutile TiO2. ACS Appl. Mater. Interfaces 2015, 7, 25321–25325. [Google Scholar] [CrossRef] [PubMed]
- Dong, W.; Hu, W.; Frankcombe, T.J.; Chen, D.; Zhou, C.; Fu, Z.; Candido, L.; Hai, G.; Chen, H.; Li, Y.; et al. Colossal permittivity with ultralow dielectric loss in In + Ta co-doped rutile TiO2. J. Mater. Chem. A 2017, 5, 5436–5441. [Google Scholar] [CrossRef]
- Rahaman, M.N. Ceramic Processing and Sintering, 2nd ed.; M. Dekker: New York, NY, USA, 2003; 875p. [Google Scholar]
- Thongbai, P.; Jumpatam, J.; Yamwong, T.; Maensiri, S. Effects of Ta5+ doping on microstructure evolution, dielectric properties and electrical response in CaCu3Ti4O12 ceramics. J. Eur. Ceram. Soc. 2012, 32, 2423–2430. [Google Scholar] [CrossRef]
- Cheng, X.; Li, Z.; Wu, J. Colossal permittivity in ceramics of TiO2Co-doped with niobium and trivalent cation. J. Mater. Chem. A 2015, 3, 5805–5810. [Google Scholar] [CrossRef]
- Wang, C.C.; Zhang, L.W. Surface-layer effect in CaCu3Ti4O12. Appl. Phys. Lett. 2006, 88, 042906. [Google Scholar] [CrossRef]
- Tuichai, W.; Danwittayakul, S.; Maensiri, S.; Thongbai, P. Investigation on temperature stability performance of giant permittivity (In + Nb) in co-doped TiO2 ceramic: A crucial aspect for practical electronic applications. RSC Adv. 2016, 6, 5582–5589. [Google Scholar] [CrossRef]
- Liu, J.; Duan, C.-G.; Yin, W.-G.; Mei, W.; Smith, R.; Hardy, J. Large dielectric constant and Maxwell-Wagner relaxation in Bi2∕3Cu3Ti4O12. Phys. Rev. B 2004, 70, 144106. [Google Scholar] [CrossRef]
- Thongbai, P.; Jumpatam, J.; Putasaeng, B.; Yamwong, T.; Maensiri, S. The origin of giant dielectric relaxation and electrical responses of grains and grain boundaries of W-doped CaCu3Ti4O12 ceramics. J. Appl. Phys. 2012, 112, 114115. [Google Scholar] [CrossRef]
Publisher’s Note: MDPI stays neutral with regard to jurisdictional claims in published maps and institutional affiliations. |
© 2021 by the authors. Licensee MDPI, Basel, Switzerland. This article is an open access article distributed under the terms and conditions of the Creative Commons Attribution (CC BY) license (https://creativecommons.org/licenses/by/4.0/).









