Inherently Area-Selective Atomic Layer Deposition of Manganese Oxide through Electronegativity-Induced Adsorption
Abstract
1. Introduction
2. Results
2.1. Characterization of Selectivity
2.2. Surface Composition of MnOx Deposited on Different Substrates
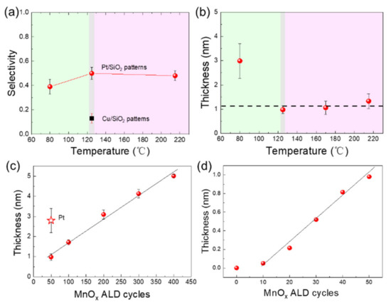
2.3. Selectivity Window of MnOx
3. The Origin of Selective Growth
4. Materials and Methods
4.1. Substrate Preparation
4.2. Growth Conditions
4.3. Characterization of MnOx
4.4. DFT Calculation
5. Conclusions
Supplementary Materials
Author Contributions
Funding
Data Availability Statement
Acknowledgments
Conflicts of Interest
Sample Availability
References
- Mackus, A.J.M.; Merkx, M.J.M.; Kessels, W.M.M. From the bottom-up: Toward area-selective atomic layer deposition with high selectivity. Chem. Mater. 2018, 31, 2–12. [Google Scholar] [CrossRef] [PubMed]
- Chen, R.; Li, Y.C.; Cai, J.M.; Cao, K.; Lee, H. Atomic level deposition to extend Moore’s law and beyond. Int. J. Extrem. Manuf. 2020, 2, 022002. [Google Scholar] [CrossRef]
- Parsons, G.N.; Clark, R.D. Area-selective deposition: Fundamentals, applications, and future outlook. Chem. Mater. 2020, 32, 4920–4953. [Google Scholar] [CrossRef]
- George, S.M. Atomic layer deposition: An overview. Chem. Rev. 2010, 110, 111–131. [Google Scholar] [CrossRef] [PubMed]
- Mackus, A.J.M.; Bol, A.A.; Kessels, W.M.M. The use of atomic layer deposition in advanced nanopatterning. Nanoscale 2014, 6, 10941–10960. [Google Scholar] [CrossRef]
- Adhikari, S.; Selvaraj, S.; Kim, D.H. Progress in powder coating technology using atomic layer deposition. Adv. Mater. Interfaces 2018, 1800581, 1–20. [Google Scholar] [CrossRef]
- Yanguas-Gil, A.; Libera, A.; Jeffrey, W.E. Modulation of the growth per cycle in atomic layer deposition using reversible surface functionalization. Chem. Mater. 2013, 25, 4849–4860. [Google Scholar] [CrossRef]
- Lu, J.; Low, K.B.; Lei, Y.; Libera, J.A.; Nicholls, A.; Stair, P.C.; Elam, J.W. Toward atomically-precise synthesis of supported bimetallic nanoparticles using atomic layer deposition. Nat. Commun. 2014, 5, 1–9. [Google Scholar] [CrossRef]
- Mameli, A.; Karasulu, B.; Verheijen, M.A.; Barcones, B.; Macco, B.; Mackus, A.; Kessels, M.; Roozeboom, F. Area-selective atomic layer deposition of ZnO by area activation using electron beam induced deposition. Chem. Mater. 2019, 31, 1250–1257. [Google Scholar] [CrossRef]
- Soethoudt, J.; Crahaij, S.; Conard, T.; Delabie, A. Impact of SiO2 surface composition on trimethylsilane passivation for area-selective deposition. J. Mater. Chem. C 2019, 7, 11911–11918. [Google Scholar] [CrossRef]
- Lu, J.L.; Elam, J.W. Low temperature ABC-type Ru atomic layer deposition through consecutive dissociative chemisorption, combustion, and reduction steps. Chem. Mater. 2015, 27, 4950–4956. [Google Scholar] [CrossRef]
- Masango, S.S.; Peng, L.; Marks, L.D.; Duyne, R.P.V.; Stair, P.C. Nucleation and growth of silver nanoparticles by AB and ABC-type atomic layer deposition. J. Phys. Chem. C 2014, 118, 17655–17661. [Google Scholar] [CrossRef]
- Weber, M.J.; Mackus, A.; Verheijen, M.A.; Marel, C.; Kessels, W. Supported core/shell bimetallic nanoparticles synthesis by atomic layer deposition. Chem. Mater. 2012, 24, 2973–2977. [Google Scholar] [CrossRef]
- Weber, M.J.; Verheijen, M.A.; Bol, A.A.; Kessels, W.M.M. Sub-nanometer dimensions control of core shell nanoparticles prepared by atomic layer deposition. Nanotechnology 2015, 26, 094002. [Google Scholar] [CrossRef] [PubMed]
- Bobb-Semple, D.; Nardi, K.L.; Draeger, N.; Hausmann, D.M.; Bent, S.F. Area-selective atomic layer deposition assisted by self-assembled monolayers a comparison of Cu, Co, W, and Ru. Chem. Mater. 2019, 31, 1635–1645. [Google Scholar] [CrossRef]
- Merkx, M.J.M.; Vlaanderen, S.; Faraz, T.; Verheijen, M.A.; Kessels, W.M.M.; Mackus, A.J.M. Area-selective atomic layer deposition of TiN using aromatic inhibitor molecules for metal/dielectric selectivity. Chem. Mater. 2020, 32, 7788–7795. [Google Scholar] [CrossRef]
- Cian, C.; Tobias, W.; Morris, M.A. Enabling large-area selective deposition on metal-dielectric patterns using polymer brush deactivation. J. Phys. Chem. C 2018, 122, 14698–14705. [Google Scholar]
- Cao, K.; Cai, J.; Chen, R. Inherently selective atomic layer deposition and applications. Chem. Mater. 2020, 32, 2195–2207. [Google Scholar] [CrossRef]
- Wang, Y.P.; Wu, X.; Liu, W.J.; Zhang, D.W.; Ding, S.J. Plasma-enhanced atomic layer deposition of low resistivity and ultrathin manganese oxynitride films with excellent resistance to copper diffusion. ACS Appl. Electron. Mater. 2020, 2, 1653–1660. [Google Scholar] [CrossRef]
- Choi, J.; Byun, W.J.; Kang, D.H.; Lee, J.K. Porous manganese oxide networks as high-capacity and high-rate anodes for Lithium-Ion batteries. Energies 2021, 14, 1299. [Google Scholar] [CrossRef]
- Seo, W.S.; Jo, H.H.; Lee, K.; Kim, B.; Oh, S.J.; Park, J.T. Size-dependent magnetic properties of colloidal Mn3O4 and MnO nanoparticles. Angew. Chem. Int. Ed. 2004, 116, 1135–1137. [Google Scholar] [CrossRef]
- Burton, B.B.; Fabreguette, F.H.; George, S.M. Atomic layer deposition of MnO using bis(ethylcyclopentadienyl)manganese and H2O. Thin Solid Films 2009, 517, 5658–5665. [Google Scholar] [CrossRef]
- Young, M.J.; Hare, C.D.; Musgrave, C.B.; George, S.M. Rapid growth of crystalline Mn5O8 by self-limited multilayer deposition using Mn(EtCp)2 and O3. ACS Appl. Mater. Interfaces 2016, 8, 18560–18569. [Google Scholar] [CrossRef] [PubMed]
- Nieminen, H.E.; Miikkulainen, V.; Settipani, D.; Simonelli, L.; Hönicke, P.; Zech, C.; Kayser, Y.; Beckhoff, B.; Honkanen, A.; Heikkilä, M.J.; et al. Intercalation of Lithium ions from gaseous precursors into β-MnO2 thin films deposited by atomic layer deposition. J. Phys. Chem. C 2019, 123, 15802–15814. [Google Scholar] [CrossRef]
- Koike, J.; Hosseini, M.; Hai, H.T.; Ando, D.; Sutou, Y. Material innovation for MOL, BEOL, and 3D Integration. IEDM 2017, 32, 1–4. [Google Scholar]
- Kawasaki, H.; Matsumoto, K.; Nagai, H.; Kikuchi, Y.; Chang, P. Atomic Layer Deposition of MnOx for Cu Capping Layer in Cu/low-k Interconnects. In Proceedings of the IEEE International Interconnect Technology Conference, San Jose, CA, USA, 20–23 May 2014; pp. 315–318. [Google Scholar]
- Phuong, N.M.; Sutou, Y.; Koike, J. Structural characterization of a manganese oxide barrier layer formed by chemical vapor deposition for advanced interconnects application on SiOC dielectric substrates. J. Phys. Chem. C 2013, 117, 160–164. [Google Scholar] [CrossRef]
- Maeda, E.; Nabatame, T.; Hirose, M.; Inoue, M.; Ohi, A.; Ikeda, N.; Kiyono, H. Correlation between SiO2 growth rate and difference in electronegativity of metal-oxide underlayers for plasma enhanced atomic layer deposition using tris(dimethylamino)silane precursor. J. Vac. Sci. Technol. A 2020, 38, 032409. [Google Scholar] [CrossRef]
- Mattelaer, F.; Vereecken, P.M.; Dendooven, J.; Detavernier, C. Deposition of MnO anode and MnO2 cathode thin films by plasma enhanced atomic layer deposition using the Mn(thd)3 precursor. Chem. Mater. 2015, 27, 3628–3635. [Google Scholar] [CrossRef]
- Yang, J.; Cao, K.; Gong, M.; Shan, B.; Chen, R. Atomically decorating of MnOx on palladium nanoparticles towards selective oxidation of benzyl alcohol with high yield. J. Catal. 2020, 386, 60–69. [Google Scholar] [CrossRef]
- Singh, J.A.; Thissen, N.F.W.; Kim, W.; Johnson, H.; Kessels, W.M.M.; Bol, A.A.; Bent, S.F.; Mackus, A.J.M. Area-selective atomic layer deposition of metal oxides on noble metals through catalytic oxygen activation. Chem. Mater. 2018, 30, 663–670. [Google Scholar] [CrossRef]
- Parsons, G.N. Functional model for analysis of ALD nucleation and quantification of area-selective deposition. J. Vac. Sci. Technol. A 2019, 37, 020911. [Google Scholar] [CrossRef]
- Grillo, F.; Soethoudt, J.; Marques, E.A.; Martín, L.; Dongen, K.V.; Ommen, J.R.; Delabie, A. Area-selective deposition of Ruthenium by area-dependent surface diffusion. Chem. Mater. 2020, 32, 9560–9572. [Google Scholar] [CrossRef]
- Mameli, A.; Kuang, Y.; Aghaee, M.; Ande, C.K.; Karasulu, B.; Creatore, M.; Mackus, A.J.M.; Kessels, W.M.M.; Roozeboom, F. Area-selective atomic layer deposition of In2O3: H using a μ-plasma printer for local area activation. Chem. Mater. 2017, 29, 921–925. [Google Scholar] [CrossRef] [PubMed]
- Minjauw, M.M.; Rijckaert, H.; Van Driessche, I.; Detavernier, C.; Dendooven, J. Nucleation enhancement and area-selective atomic layer deposition of Ruthenium using RuO4 and H2 gas. Chem. Mater. 2019, 31, 1491–1499. [Google Scholar] [CrossRef]
- Mcdonnell, S.; Longo, R.C.; Seitz, O.; Ballard, J.B.; Wallace, R.M. Controlling the atomic layer deposition of titanium dioxide on silicon: Dependence on surface termination. J. Phys. Chem. C 2013, 117, 20250–20259. [Google Scholar] [CrossRef]
- Zyulkov, I.; Madhiwala, V.; Voronina, E.N.; Snelgrove, M.; Armini, S. Area-selective ALD of Ru on nanometer-scale Cu lines through dimerization of amino-functionalized alkoxy silane passivation films. ACS Appl. Mater. Interfaces 2020, 12, 4678–4688. [Google Scholar] [CrossRef]
- Wen, Y.; Cai, J.; Zhang, J.; Yang, J.; Shi, L.; Cao, K.; Chen, R.; Shan, B. Edge-Selective Growth of MCp2 (M = Fe, Co, and Ni) Precursors on Pt nanoparticles in atomic layer deposition: A combined theoretical and experimental study. Chem. Mater. 2018, 31, 101–111. [Google Scholar] [CrossRef]
- Huheey, J.E.; Keiter, E.A.; Keiter, R.L. Inorganic Chemistry: Principles of Structure and Reactivity, 4th ed.; HarperCollins College Publishers: New York, NY, USA, 1993. [Google Scholar]
- Match, R.L. Theory of the chemical bond. 6. Accurate relationship between bond energies and electronegativity differences. J. Am. Chem. Soc. 1983, 105, 4859–4862. [Google Scholar] [CrossRef]
- Sanderson, R.T. Electronegativity and bond energy. J. Am. Chem. Soc. 1983, 105, 2259–2261. [Google Scholar] [CrossRef]
- Perdew, J.P.; Burke, K.; Ernzerhof, M. Generalized gradient approximation made simple. Phys. Rev. Lett. 1996, 77, 3865–3868. [Google Scholar] [CrossRef]






Publisher’s Note: MDPI stays neutral with regard to jurisdictional claims in published maps and institutional affiliations. |
© 2021 by the authors. Licensee MDPI, Basel, Switzerland. This article is an open access article distributed under the terms and conditions of the Creative Commons Attribution (CC BY) license (https://creativecommons.org/licenses/by/4.0/).
Share and Cite
Li, Y.-C.; Cao, K.; Lan, Y.-X.; Zhang, J.-M.; Gong, M.; Wen, Y.-W.; Shan, B.; Chen, R. Inherently Area-Selective Atomic Layer Deposition of Manganese Oxide through Electronegativity-Induced Adsorption. Molecules 2021, 26, 3056. https://doi.org/10.3390/molecules26103056
Li Y-C, Cao K, Lan Y-X, Zhang J-M, Gong M, Wen Y-W, Shan B, Chen R. Inherently Area-Selective Atomic Layer Deposition of Manganese Oxide through Electronegativity-Induced Adsorption. Molecules. 2021; 26(10):3056. https://doi.org/10.3390/molecules26103056
Chicago/Turabian StyleLi, Yi-Cheng, Kun Cao, Yu-Xiao Lan, Jing-Ming Zhang, Miao Gong, Yan-Wei Wen, Bin Shan, and Rong Chen. 2021. "Inherently Area-Selective Atomic Layer Deposition of Manganese Oxide through Electronegativity-Induced Adsorption" Molecules 26, no. 10: 3056. https://doi.org/10.3390/molecules26103056
APA StyleLi, Y.-C., Cao, K., Lan, Y.-X., Zhang, J.-M., Gong, M., Wen, Y.-W., Shan, B., & Chen, R. (2021). Inherently Area-Selective Atomic Layer Deposition of Manganese Oxide through Electronegativity-Induced Adsorption. Molecules, 26(10), 3056. https://doi.org/10.3390/molecules26103056
