Rheological and Solubility Properties of Soy Protein Isolate
Abstract
1. Introduction
2. Results and Discussion
2.1. Influence of pH on ζ-Potential and Colour of Soy Protein Dispersions
2.2. Particle Size and Protein Solubility Analysis of Soy Protein Dispersions
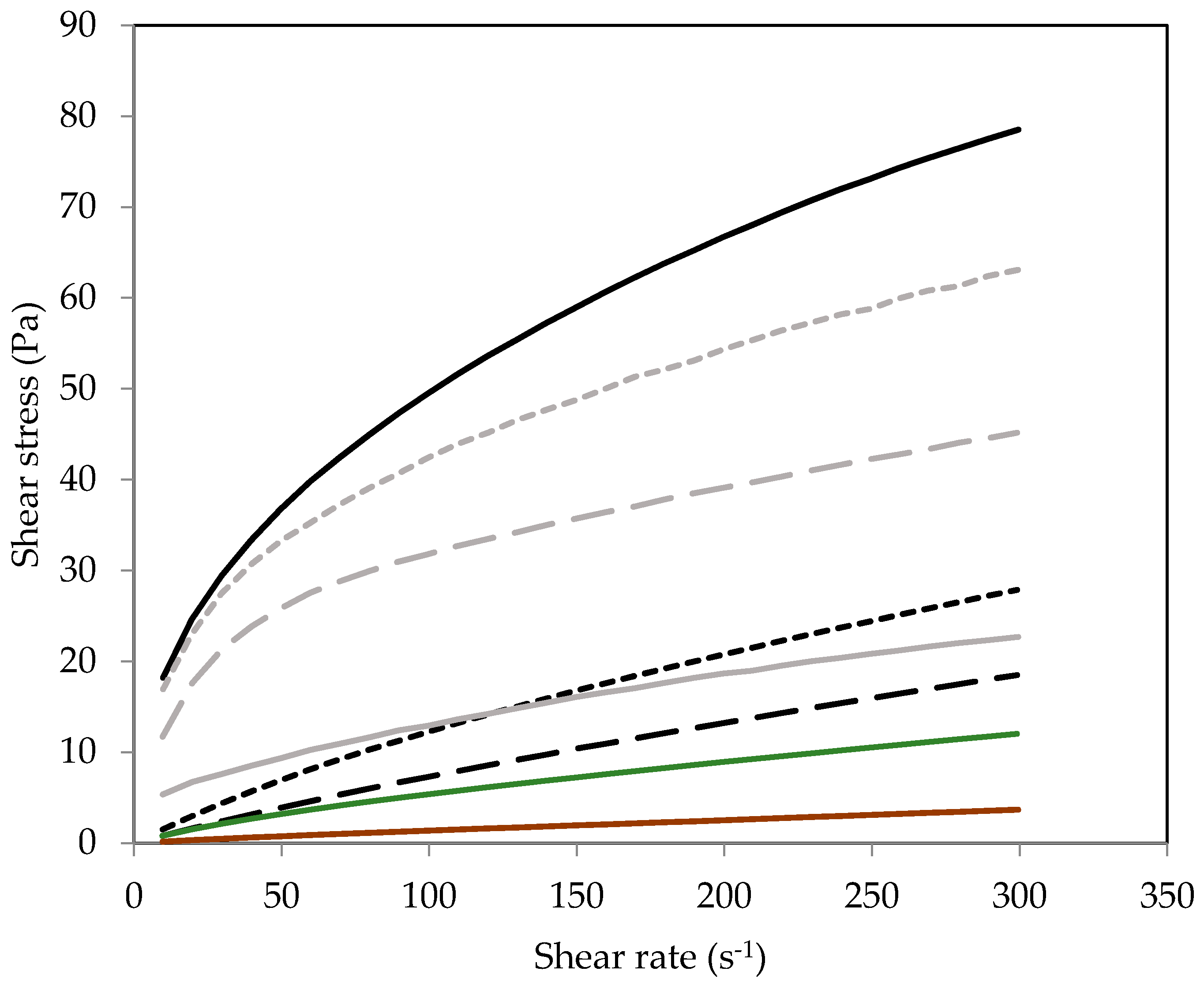
2.3. Influence of pH and Heat Treatment on Viscosity of Soy Protein Dispersions
2.4. Temperature Related Viscoelastic Properties of Soy Protein Dispersions
3. Materials and Methods
3.1. Materials
3.2. Zeta Potential of Soy Protein Dispersions
3.3. Light Microscopy of Soy Protein Dispersions
3.4. Colour Analysis of Soy Protein Dispersions
3.5. Particle Size and Solubility of Soy Protein Dispersions
3.6. Viscosity and Low-Amplitude Oscillatory Measurements of Soy Protein Dispersions
3.7. Statistical Analysis
4. Conclusions
Author Contributions
Funding
Institutional Review Board Statement
Informed Consent Statement
Conflicts of Interest
Appendix A
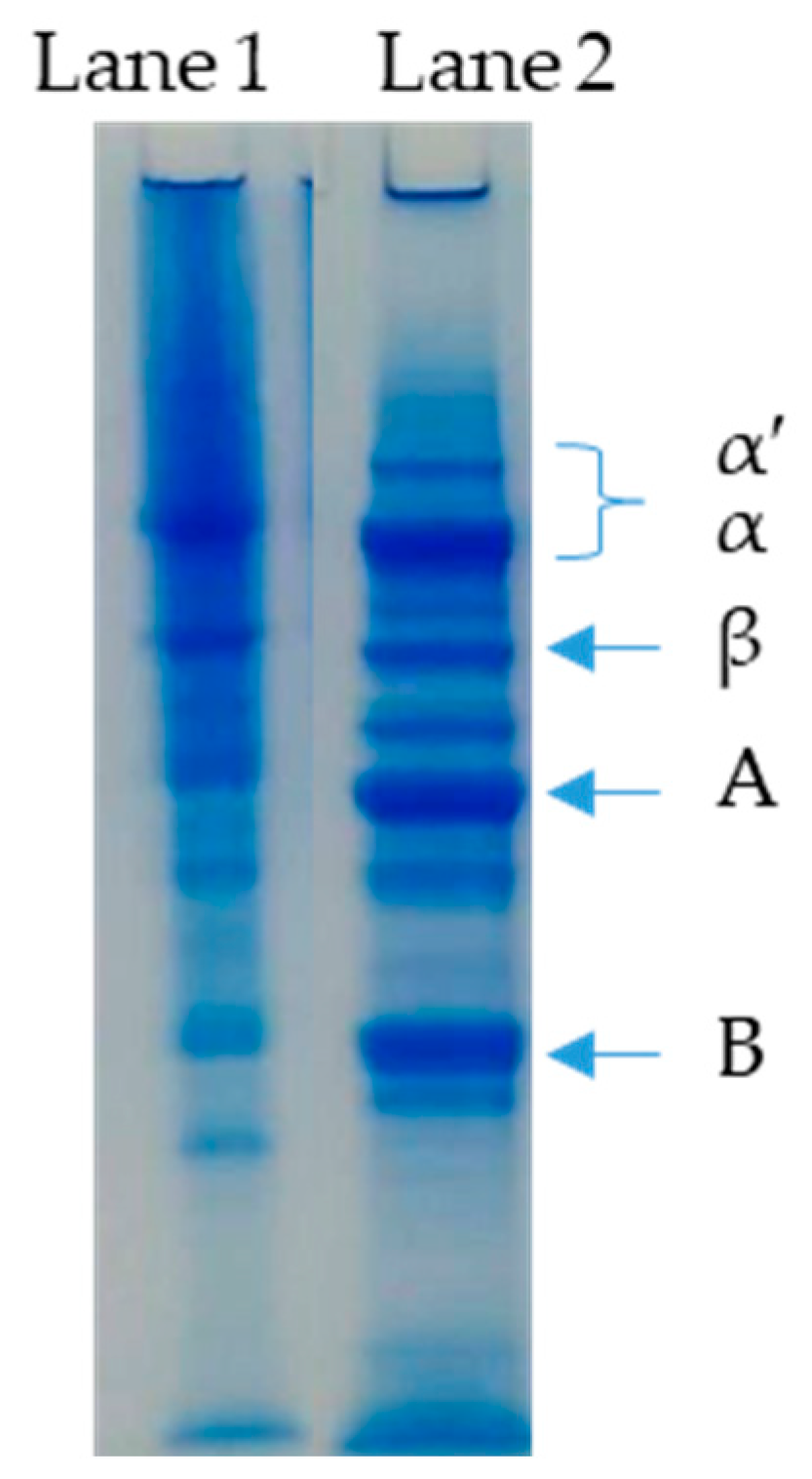
Appendix A.1. Sodium Dodecylsulphate Polyacrylamide Gel Electrophoresis
Appendix A.2

References
- U.S.D.A. Oilseeds: World Markets and Trade. 2019. Available online: https://downloads.usda.library.cornell.edu/usda-esmis/files/tx31qh68h/vt151125j/44558w98r/oilseeds.pdf (accessed on 17 May 2021).
- Mateos-Aparicio, I.; Cuenca, A.R.; Villanueva-Suárez, M.J.; AZapata-Revilla, M. Soybean, a promising health source. Nutr. Hosp. 2008, 23, 305–312. [Google Scholar]
- Hughes, G.J.; Ryan, D.J.; Mukherjea, R.; Schasteen, C.S. Protein Digestibility-Corrected Amino Acid Scores (PDCAAS) for Soy Protein Isolates and Concentrate: Criteria for Evaluation. J. Agric. Food Chem. 2011, 59, 12707–12712. [Google Scholar] [CrossRef] [PubMed]
- Mathai, J.K.; Liu, Y.; Stein, H.H. Values for digestible indispensable amino acid scores (DIAAS) for some dairy and plant proteins may better describe protein quality than values calculated using the concept for protein digestibility-corrected amino acid scores (PDCAAS). Br. J. Nutr. 2017, 117, 490–499. [Google Scholar] [CrossRef] [PubMed]
- Friedman, M.; Brandon, D.L. Nutritional and Health Benefits of Soy Proteins†. J. Agric. Food Chem. 2001, 49, 1069–1086. [Google Scholar] [CrossRef]
- Barać, M.B.; Stanojević, S.P.; Jovanović, S.T.; Pešić, M.B. Soy protein modification: A review. Acta Period. Technol. 2004, 280, 3–16. [Google Scholar] [CrossRef]
- Kim, C.-S.; Kamiya, S.; Sato, T.; Utsumi, S.; Kito, M. Improvement of nutritional value and functional properties of soybean glycinin by protein engineering. Protein Eng. Des. Sel. 1990, 3, 725–731. [Google Scholar] [CrossRef]
- Kim, H.T.; Choi, U.-K.; Ryu, H.S.; Lee, S.J.; Kwon, O.-S. Mobilization of storage proteins in soybean seed (Glycine max L.) during germination and seedling growth. Biochim. Biophys. Acta (BBA) Proteins Proteom. 2011, 1814, 1178–1187. [Google Scholar] [CrossRef]
- Krishnan, H.B. Biochemistry and Molecular Biology of Soybean Seed Storage Proteins. J. New Seeds 2001, 2, 1–25. [Google Scholar] [CrossRef]
- Alibhai, Z.; Mondor, M.; Moresoli, C.; Ippersiel, D.; Lamarche, F. Production of soy protein concentrates/isolates: Traditional and membrane technologies. Desalination 2006, 191, 351–358. [Google Scholar] [CrossRef]
- Mattil, K.F. Composition, nutritional, and functional properties, and quality criteria of soy protein concentrates and soy protein isolates. J. Am. Oil Chem. Soc. 1974, 51, 81A–84A. [Google Scholar] [CrossRef]
- Cowan, J.C.; Rackis, J.J.; Wolf, W.J. Soybean protein flavor components: A review. J. Am. Oil Chem. Soc. 1973, 50, 426A–a444. [Google Scholar] [CrossRef] [PubMed]
- Kim, H.J.; Kim, B.K. Comparison of soy protein concentrates produced using membrane ultrafiltration and acid precipitation. Food Sci. Biotechnol. 2015, 24, 67–73. [Google Scholar] [CrossRef]
- Malhotra, A.; Coupland, J.N. The effect of surfactants on the solubility, zeta potential, and viscosity of soy protein isolates. Food Hydrocoll. 2004, 18, 101–108. [Google Scholar] [CrossRef]
- Lee, K.H.; Ryu, H.S.; Rhee, K.C. Protein solubility characteristics of commercial soy protein products. J. Am. Oil Chem. Soc. 2003, 80, 85–90. [Google Scholar] [CrossRef]
- Freitas, M.L.F.; Albano, K.M.; Telis, V.R.N. Characterization of biopolymers and soy protein isolate-high-methoxyl pectin complex. Polímeros 2017, 27, 62–67. [Google Scholar] [CrossRef]
- Lokuruka, M. Effects of processing on soybean nutrients and potential impact on consumer health: An overview. Afr. J. Food, Agric. Nutr. Dev. 2011, 11. [Google Scholar] [CrossRef]
- Pelegrine, D.H.G.; Gasparetto, C.A. Whey proteins solubility as function of temperature and pH. LWT-Food Sci. Technol. 2005, 38, 77–80. [Google Scholar] [CrossRef]
- Söderberg, J. Functional Properties of Legume Proteins Compared to Egg Proteins and Their Potential as Egg Replacers in Vegan Food; Swedish University of Agricultural Sciences, Department of Food Science, Faculty of Natural Resource and Agricultural Sciences: Uppsala, Sweden, 2013; p. 378. [Google Scholar]
- Nakai, S.; Ho, L.; Tung, M.; Quinn, J. Solubilization of Rapeseed, Soy cand Sunflower Protein Isolates by Surfactant and Proteinase Treatments. Can. Inst. Food Sci. Technol. J. 1980, 13, 14–22. [Google Scholar] [CrossRef]
- Jiang, J.; Xiong, Y.L.; Chen, J. pH Shifting Alters Solubility Characteristics and Thermal Stability of Soy Protein Isolate and Its Globulin Fractions in Different pH, Salt Concentration, and Temperature Conditions. J. Agric. Food Chem. 2010, 58, 8035–8042. [Google Scholar] [CrossRef]
- Peng, Y.; Kersten, N.; Kyriakopoulou, K.; van der Goot, A.J. Functional properties of mildly fractionated soy protein as influenced by the processing pH. J. Food Eng. 2020, 275, 109875. [Google Scholar] [CrossRef]
- He, Z.; Li, W.; Guo, F.; Li, W.; Zeng, M.; Chen, J. Foaming Characteristics of Commercial Soy Protein Isolate as Influenced by Heat-Induced Aggregation. Int. J. Food Prop. 2015, 18, 1817–1828. [Google Scholar] [CrossRef]
- Wallhäußer, E.; Hussein, M.; Becker, T. Detection methods of fouling in heat exchangers in the food industry. Food Control. 2012, 27, 1–10. [Google Scholar] [CrossRef]
- Meng, F.; Shi, B.; Yang, F.; Zhang, H. Effect of hydraulic retention time on membrane fouling and biomass characteristics in submerged membrane bioreactors. Bioprocess Biosyst. Eng. 2007, 30, 359–367. [Google Scholar] [CrossRef]
- Liu, C.; Yang, X.-Q.; Ahmad, I.; Tang, C.-H.; Li, L.; Zhu, J.-H.; Qi, J.-R. Rheological Properties of Soybean β-Conglycinin in Aqueous Dispersions: Effects of Concentration, Ionic Strength and Thermal Treatment. Int. J. Food Prop. 2011, 14, 264–279. [Google Scholar] [CrossRef][Green Version]
- Song, X.; Zhou, C.; Fu, F.; Chen, Z.; Wu, Q. Effect of high-pressure homogenization on particle size and film properties of soy protein isolate. Ind. Crop. Prod. 2013, 43, 538–544. [Google Scholar] [CrossRef]
- Jiang, Z.-Q.; Pulkkinen, M.; Wang, Y.-J.; Lampi, A.-M.; Stoddard, F.L.; Salovaara, H.; Piironen, V.; Sontag-Strohm, T. Faba bean flavour and technological property improvement by thermal pre-treatments. LWT-Food Sci. Technol. 2016, 68, 295–305. [Google Scholar] [CrossRef]
- Felix, M.; Cermeño, M.; FitzGerald, R.J. Assessment of the microstructural characteristics and the in vitro bioactive properties of sunflower oil-based emulsions stabilized by fava bean (vicia faba) protein. Food Hydrocoll. 2019, 97, 105220. [Google Scholar] [CrossRef]
- E Chove, B.; Grandison, A.S.; Lewis, M.J. Emulsifying properties of soy protein isolate fractions obtained by isoelectric precipitation. J. Sci. Food Agric. 2001, 81, 759–763. [Google Scholar] [CrossRef]
- Renkema, J.M.S.; Gruppen, H.; Van Vliet, T. Influence of pH and Ionic Strength on Heat-Induced Formation and Rheological Properties of Soy Protein Gels in Relation to Denaturation and Their Protein Compositions. J. Agric. Food Chem. 2002, 50, 6064–6071. [Google Scholar] [CrossRef] [PubMed]
- Kinsella, J.E. Functional properties of soy proteins. J. Am. Oil Chem. Soc. 1979, 56, 242–258. [Google Scholar] [CrossRef]
- Palazolo, G.G.; Mitidieri, F.E.; Wagner, J.R. Relationship between Interfacial Behaviour of Native and Denatured Soybean Isolates and Microstructure and Coalescence of Oil in Water Emulsions - Effect of Salt and Protein Concentration. Food Sci. Technol. Int. 2003, 9, 409–419. [Google Scholar] [CrossRef]
- Hammond, E.G.; Johnson, L.A.; Murphy, P.A. SOYBEAN | Grading and Marketing. In Encyclopedia of Grain Science; Elsevier: Amsterdam, The Netherlands, 2004; pp. 155–159. [Google Scholar]
- Adachi, M.; Chunying, H.; Utsumi, S. Effects of Designed Sulfhydryl Groups and Disulfide Bonds into Soybean Proglycinin on Its Structural Stability and Heat-Induced Gelation. J. Agric. Food Chem. 2004, 52, 5717–5723. [Google Scholar] [CrossRef]
- Martin, A.; Bos, M.; van Vliet, T. Interfacial rheological properties and conformational aspects of soy glycinin at the air/water interface. Food Hydrocoll. 2002, 16, 63–71. [Google Scholar] [CrossRef]
- McCarthy, N.A.; Kennedy, D.; Hogan, S.A.; Kelly, P.M.; Thapa, K.; Murphy, K.M.; Fenelon, M.A. Emulsification properties of pea protein isolate using homogenization, microfluidization and ultrasonication. Food Res. Int. 2016, 89, 415–421. [Google Scholar] [CrossRef] [PubMed]
- Jiang, J.; Chen, J.; Xiong, Y.L. Structural and Emulsifying Properties of Soy Protein Isolate Subjected to Acid and Alkaline pH-Shifting Processes. J. Agric. Food Chem. 2009, 57, 7576–7583. [Google Scholar] [CrossRef] [PubMed]
- Ferrer, A.; Salas, C.; Rojas, O.J. Physical, thermal, chemical and rheological characterization of cellulosic microfibrils and microparticles produced from soybean hulls. Ind. Crop. Prod. 2016, 84, 337–343. [Google Scholar] [CrossRef]







| pH 2.0 | pH 6.9 | pH 9.0 | pH 6.9 Adjusted after pH 2.0 | pH 6.9 Adjusted after pH 9.0 | |
|---|---|---|---|---|---|
| Unheated | |||||
| L* | 62.6 ± 0.60 a | 63.8 ± 0.67 a | 43.5± 0.04 c | 57.9 ± 4.26 b | 59.2 ± 0.47 b |
| a* | −2.62 ± 0.07 b | −2.13 ± 0.07 b | −3.19 ± 0.03 c | −1.92 ± 0.19 a | −4.07 ± 0.0 d |
| b* | 5.57 ± 0.07 b | 7.12 ± 0.22 a | 1.63 ± 0.03 c | 7.36 ± 0.19 a | 0.08 ± 0.08 d |
| Heated | |||||
| L* | 59.6 ± 0.83 b | 63.8 ± 2.58 a | 61.2 ± 0.58 b | 60.6 ± 0.94 b | 67.4 ± 0.55 a |
| a* | −2.37 ± 0.19 b | −2.89 ± 0.29 b | −3.09 ± 0.03 c | −0.97 ± 0.21 a | −2.03 ± 0.12 b |
| b* | 2.55 ± 0.27 d | 5.46 ± 0.07 c | 5.41 ± 0.03 c | 8.58 ± 0.38 a | 7.27 ± 0.32 b |
| pH | Consistency Coefficient | Flow Behavior Index |
|---|---|---|
| K (Pa.s) | n | |
| pH 6.9 | 0.14 ± 0.01 e | 0.86 ± 0.02 b |
| pH 2.0 | 0.36 ± 0.00 d | 0.76 ± 0.03 c |
| pH 9.0 | 6.99 ± 0.01 b | 0.43 ± 0.02 d |
| pH 6.9 * | 6.97 ± 0.07 b | 0.33 ± 0.02 e |
| pH 2.0 * | 7.90 ± 0.04 a | 0.36 ± 0.03 e |
| pH 9.0 * | 1.42 ± 0.00 c | 0.48 ± 0.02 d |
| pH 6.9 after heating @ pH 9.0 | 0.16 ± 0.00 e | 0.74 ± 0.01 c |
| pH 6.9 after heating @ pH 2.0 | 0.02 ± 0.00 f | 0.90 ± 0.03 a |
Publisher’s Note: MDPI stays neutral with regard to jurisdictional claims in published maps and institutional affiliations. |
© 2021 by the authors. Licensee MDPI, Basel, Switzerland. This article is an open access article distributed under the terms and conditions of the Creative Commons Attribution (CC BY) license (https://creativecommons.org/licenses/by/4.0/).
Share and Cite
O′Flynn, T.D.; Hogan, S.A.; Daly, D.F.M.; O′Mahony, J.A.; McCarthy, N.A. Rheological and Solubility Properties of Soy Protein Isolate. Molecules 2021, 26, 3015. https://doi.org/10.3390/molecules26103015
O′Flynn TD, Hogan SA, Daly DFM, O′Mahony JA, McCarthy NA. Rheological and Solubility Properties of Soy Protein Isolate. Molecules. 2021; 26(10):3015. https://doi.org/10.3390/molecules26103015
Chicago/Turabian StyleO′Flynn, Timothy D., Sean A. Hogan, David F. M. Daly, James A. O′Mahony, and Noel A. McCarthy. 2021. "Rheological and Solubility Properties of Soy Protein Isolate" Molecules 26, no. 10: 3015. https://doi.org/10.3390/molecules26103015
APA StyleO′Flynn, T. D., Hogan, S. A., Daly, D. F. M., O′Mahony, J. A., & McCarthy, N. A. (2021). Rheological and Solubility Properties of Soy Protein Isolate. Molecules, 26(10), 3015. https://doi.org/10.3390/molecules26103015

