Recent Advances on the Anticancer Properties of Saffron (Crocus sativus L.) and Its Major Constituents
Abstract
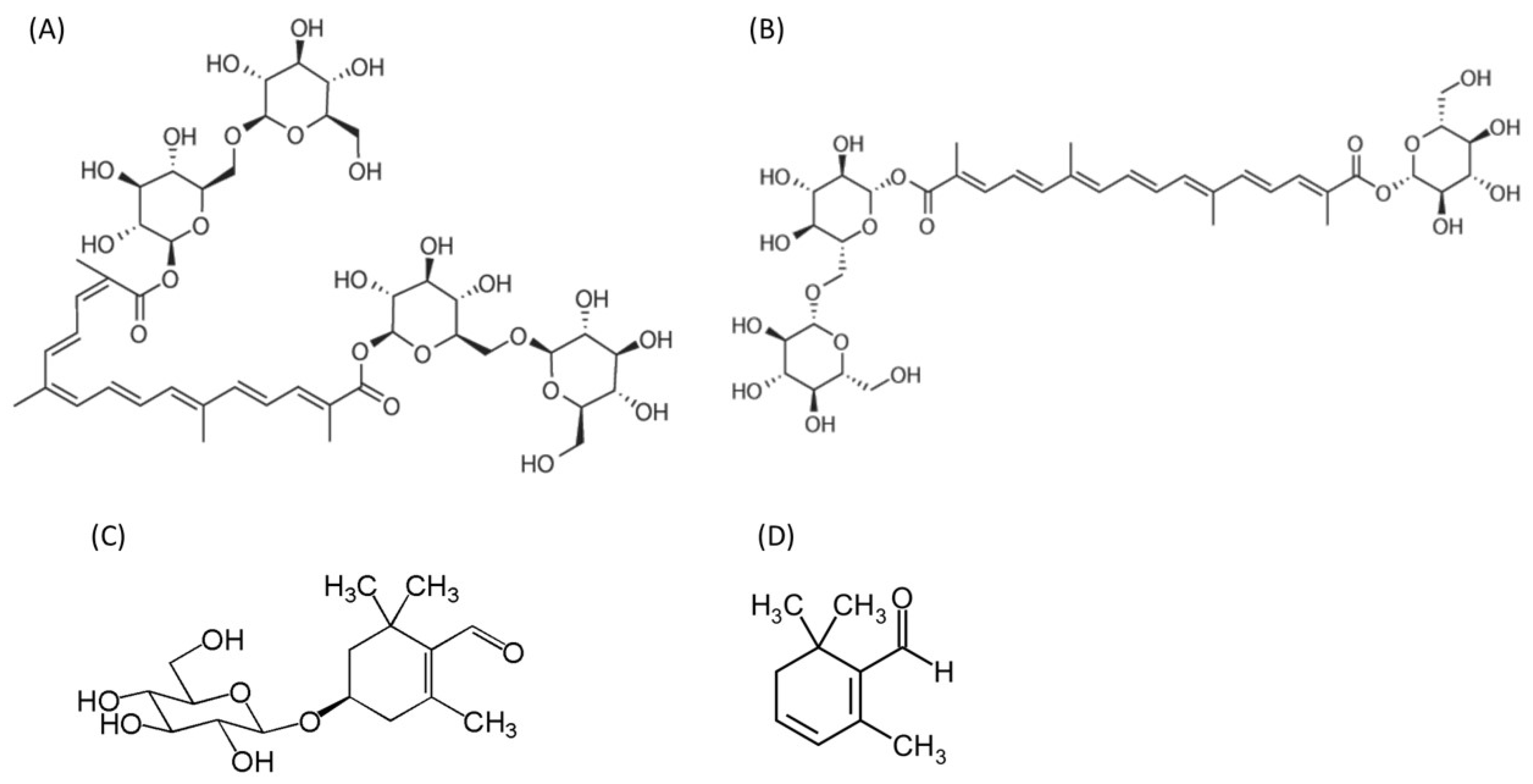
1. Introduction
2. Anticancer Properties of Saffron and Its Major Ingredients
2.1. Effects of Saffron towards Preventing Carcinogenesis
2.2. Saffron and Its Components as Anticancer Agents
2.3. Anticancer Activity of Saffron and Its Mmajor Ingredients
2.3.1. Breast Cancer
2.3.2. Ovarian Cancer
2.3.3. Gastrointestinal Cancer
2.3.4. Prostate
2.3.5. Lung Cancer
2.3.6. Leukemia
2.4. Use of Saffron Ingredients as Adjuvants to Chemotherapeutic Drugs
2.5. The Achilles’ Heel: Bioavailability of Crocus sativus Active Compounds
2.6. Patents Based on Saffron’s (Crocus sativus) Pharmaceutical Effects in Cancer Treatment
2.7. Clinical Trials
3. Discussion
Funding
Data Availability Statement
Conflicts of Interest
References
- Bagur, M.J.; Salinas, G.L.A.; Jiménez-Monreal, A.M.; Chaouqi, S.; Llorens, S.; Martínez-Tomé, M.; Alonso, G.L. Saffron: An old medicinal plant and a potential novel functional food. Molecules 2018, 23, 30. [Google Scholar] [CrossRef] [PubMed]
- Rahmani, A.H.; Khan, A.A.; Aldebasi, Y.H. Saffron (Crocus sativus) and its active ingredients: Role in the prevention and treatment of disease. Pharmacogn. J. 2014, 9, 873–879. [Google Scholar] [CrossRef]
- Giannoulaki, P.; Kotzakioulafi, E.; Chourdakis, M.; Hatzitolios, A.; Didangelos, T. Impact of Crocus sativus L. on metabolic profile in patients with diabetes mellitus or metabolic syndrome: A systematic review. Nutrients 2020, 12, 1424. [Google Scholar] [CrossRef] [PubMed]
- Shaterzadeh-Yazdi, H.; Samarghandian, S.; Farkhondeh, T. Effects of crocins in the management of neurodegenerative pathologies: A review. Neurophysiology 2018, 50, 302–308. [Google Scholar] [CrossRef]
- Hassani, F.V.; Naseri, V.; Razavi, B.M.; Mehri, S.; Abnous, K.; Hosseinzadeh, H. Antidepressant effects of crocin and its effects on transcript and protein levels of CREB, BDNF, and VGF in rat hippocampus. DARU J. Pharm. Sci. 2014, 22, 16. [Google Scholar] [CrossRef] [PubMed]
- Pashirzad, M.; Shafiee, M.; Avan, A.; Ryzhikov, M.; Fiuji, H.; Bahreyni, A.; Khazaei, M.; Soleimanpour, S.; Hassanian, S.M. Therapeutic potency of crocin in the treatment of inflammatory diseases: Current status and perspective. J. Cell. Physiol. 2019, 234, 14601–14611. [Google Scholar] [CrossRef]
- Korani, S.; Korani, M.; Sathyapalan, T.; Sahebkar, A. Therapeutic effects of crocin in autoimmune diseases: A review. BioFactors 2019, 45, 835–843. [Google Scholar] [CrossRef]
- Faramarzpour, A.; Tehrani, A.A.; Tamaddonfard, E.; Imani, M. The effects of crocin, mesalazine and their combination in the acetic acid-induced colitis in rats. Vet. Res. Forum 2019, 10, 227–234. [Google Scholar] [CrossRef]
- Rahim, V.B.; Khammar, M.T.; Rakhshandeh, H.; Samzadeh-Kermani, A.; Hosseini, A.; Askari, V.R. Crocin protects cardiomyocytes against LPS-Induced inflammation. Pharmacol. Rep. 2019, 71, 1228–1234. [Google Scholar] [CrossRef]
- Gezici, S. Comparative anticancer activity analysis of saffron extracts and a principle component, crocetin for prevention and treatment of human malignancies. J. Food Sci. Technol. 2019, 56, 5435–5443. [Google Scholar] [CrossRef]
- Bathaie, S.Z.; Hoshyar, R.; Miri, H.; Sadeghizadeh, M. Anticancer effects of crocetin in both human adenocarcinoma gastric cancer cells and rat model of gastric cancer. Biochem. Cell Biol. 2013, 91, 397–403. [Google Scholar] [CrossRef] [PubMed]
- D’Alessandro, A.M.; Mancini, A.; Lizzi, A.R.; De Simone, A.; Marroccella, C.E.; Gravina, G.L.; Tatone, C.; Festuccia, C. Crocus sativus stigma extract and its major constituent crocin possess significant antiproliferative properties against human prostate cancer. Nutr. Cancer 2013, 65, 930–942. [Google Scholar] [CrossRef] [PubMed]
- Rameshrad, M.; Razavi, B.M.; Hosseinzadeh, H. Saffron and its derivatives, crocin, crocetin and safranal: A patent review. Expert Opin. Ther. Pat. 2018, 28, 147–165. [Google Scholar] [CrossRef] [PubMed]
- Tong, Y.; Jiang, Y.; Guo, D.; Yan, Y.; Jiang, S.; Lu, Y.; Bathaie, S.Z.; Wang, P. Homogenate extraction of crocins from saffron optimized by response surface methodology. J. Chem. 2018, 2018. [Google Scholar] [CrossRef]
- Makhlouf, H.; Diab-Assaf, M.; Alghabsha, M.; Tannoury, M.; Chahine, R.; Saab, A.M. In vitro antiproliferative activity of saffron extracts against human acute lymphoblastic T-cell human leukemia. Indian J. Tradit. Knowl. 2016, 15, 16–21. [Google Scholar]
- Zeka, K.; Ruparelia, K.C.; Continenza, M.A.; Stagos, D.; Vegliò, F.; Arroo, R.R.J. Petals of Crocus sativus L. as a potential source of the antioxidants crocin and kaempferol. Fitoterapia 2015, 107, 128–134. [Google Scholar] [CrossRef]
- Manoharan, S.; Wani, S.A.; Vasudevan, K.; Manimaran, A.; Prabhakar, M.M.; Karthikeyan, S.; Rajasekaran, D. Saffron reduction of 7,12-dimethylbenz[a]anthracene-induced hamster buccal pouch carcinogenesis. Asian Pac. J. Cancer Prev. 2013, 14, 951–957. [Google Scholar] [CrossRef]
- Das, I.; Das, S.; Saha, T. Saffron suppresses oxidative stress in DMBA-induced skin carcinoma: A histopathological study. Acta Histochem. 2010, 112, 317–327. [Google Scholar] [CrossRef]
- Mousavi, S.H.; Tavakkol-Afshari, J.; Brook, A.; Jafari-Anarkooli, I. Role of caspases and Bax protein in saffron-induced apoptosis in MCF-7 cells. Food Chem. Toxicol. 2009, 47, 1909–1913. [Google Scholar] [CrossRef]
- Mousavi, M.; Baharara, J. Effect of Crocus sativus L. on expression of VEGF-A and VEGFR-2 genes (angiogenic biomarkers) in MCF-7 cell line. Zahedan J. Res. Med. Sci. 2014, 16, 8–14. [Google Scholar]
- Lu, P.; Lin, H.; Gu, Y.; Li, L.; Guo, H.; Wang, F.; Qiu, X. Antitumor effects of crocin on human breast cancer cells. Int. J. Clin. Exp. Med. 2015, 8, 20316–20322. [Google Scholar] [PubMed]
- Bakshi, H.A.; Hakkim, F.L.; Sam, S. Molecular mechanism of crocin induced caspase mediated MCF-7 cell death: In vivo toxicity profiling and ex vivo macrophage activation. Asian Pac. J. Cancer Prev. 2016, 17, 1499–1506. [Google Scholar] [CrossRef] [PubMed]
- Mostafavinia, S.E.; Khorashadizadeh, M.; Hoshyar, R. Antiproliferative and proapoptotic effects of crocin combined with hyperthermia on human breast cancer cells. DNA Cell Biol. 2016, 35, 340–347. [Google Scholar] [CrossRef] [PubMed]
- Hire, R.R.; Srivastava, S.; Davis, M.B.; Konreddy, A.K.; Panda, D. Antiproliferative activity of crocin involves targeting of microtubules in breast cancer cells. Sci. Rep. 2017, 7, 44984. [Google Scholar] [CrossRef]
- Chryssanthi, D.G.; Lamari, F.N.; Iatrou, G.; Pylara, A.; Karamanos, N.K.; Cordopatis, P. Inhibition of breast cancer cell proliferation by style constituents of different crocus species. Anticancer Res. 2007, 27, 357–362. [Google Scholar]
- Chryssanthi, D.G.; Dedes, P.G.; Karamanos, N.K.; Cordopatis, P.; Lamari, F.N. Crocetin inhibits invasiveness of MDA—MB—231 breast cancer cells via downregulation of matrix metalloproteinases. Planta Med. 2011, 77, 146–151. [Google Scholar] [CrossRef]
- Ashrafi, M.; Bathaie, S.Z.; Abroun, S.; Azizian, M. Effect of crocin on cell cycle regulators in N-Nitroso-N-Methylurea-Induced breast cancer in rats. DNA Cell Biol. 2015, 34, 684–691. [Google Scholar] [CrossRef]
- Arzi, L.; Farahi, A.; Jafarzadeh, N.; Riazi, G.; Sadeghizadeh, M.; Hoshyar, R. Inhibitory effect of crocin on metastasis of triple-negative breast cancer by interfering with Wnt/β-catenin pathway in murine model. DNA Cell Biol. 2018, 37, 1068–1075. [Google Scholar] [CrossRef]
- Xia, D. Ovarian cancer HO-8910 cell apoptosis induced by crocin in vitro. Nat. Prod. Commun. 2015, 10, 249–252. [Google Scholar] [CrossRef]
- Hoshyar, R.; Mollaei, H. A comprehensive review on anticancer mechanisms of the main carotenoid of saffron, crocin. J. Pharm. Pharmacol. 2017, 69, 1419–1427. [Google Scholar] [CrossRef]
- Aung, H.H.; Wang, C.Z.; Ni, M.; Fishbein, A.; Mehendale, S.R.; Xie, J.T.; Shoyama, A.Y.; Yuan, C.S. Crocin from crocus sativus possesses significant anti-proliferation effects on human colorectal cancer cells. Exp. Oncol. 2007, 29, 175–180. [Google Scholar] [PubMed]
- Amin, A.; Bajbouj, K.; Koch, A.; Gandesiri, M.; Schneider-Stock, R. Defective autophagosome formation in p53-null colorectal cancer reinforces crocin-induced apoptosis. Int. J. Mol. Sci. 2015, 16, 1544–1561. [Google Scholar] [CrossRef] [PubMed]
- Zhou, Y.; Xu, Q.; Shang, J.; Lu, L.; Chen, G. Crocin inhibits the migration, invasion, and epithelial-mesenchymal transition of gastric cancer cells via miR-320/KLF5/HIF-1α signaling. J. Cell. Physiol. 2019, 234, 17876–17885. [Google Scholar] [CrossRef] [PubMed]
- Akbarpoor, V.; Karimabad, M.N.; Mahmoodi, M.; Mirzaei, M.R. The saffron effects on expression pattern of critical self-renewal genes in adenocarcinoma tumor cell line (AGS). Gene Reports 2020, 19, 100629. [Google Scholar] [CrossRef]
- Li, C.Y.; Huang, W.F.; Wang, Q.L.; Wang, F.; Cai, E.; Hu, B.; Du, J.C.; Wang, J.; Chen, R.; Cai, X.J.; et al. Crocetin induces cytotoxicity in colon cancer cells via p53-independent mechanisms. Asian Pac. J. Cancer Prev. 2012, 13, 3757–3761. [Google Scholar] [CrossRef] [PubMed]
- Amerizadeh, F.; Rezaei, N.; Rahmani, F.; Hassanian, S.M.; Moradi-Marjaneh, R.; Fiuji, H.; Boroumand, N.; Nosrati-Tirkani, A.; Ghayour-Mobarhan, M.; Ferns, G.A.; et al. Crocin synergistically enhances the antiproliferative activity of 5-flurouracil through Wnt/PI3K pathway in a mouse model of colitis-associated colorectal cancer. J. Cell. Biochem. 2018, 119, 10250–10261. [Google Scholar] [CrossRef] [PubMed]
- Fujimoto, K.; Ohta, T.; Yamaguchi, H.; Tung, N.H.; Fujii, G.; Mutoh, M.; Uto, T.; Shoyama, Y. Suppression of Polyps formation by saffron extract in adenomatous polyposis coli Min / + Mice. Pharmacogn. Res. 2019, 11, 98–101. [Google Scholar] [CrossRef]
- Festuccia, C.; Mancini, A.; Gravina, G.L.; Scarsella, L.; Llorens, S.; Alonso, G.L.; Tatone, C.; Cesare, E.D.; Jannini, E.A.; Lenzi, A.; et al. Antitumor effects of saffron-derived carotenoids in prostate cancer cell models. Biomed. Res. Int. 2014, 2014. [Google Scholar] [CrossRef]
- Chen, S.; Zhao, S.; Wang, X.; Zhang, L.; Jiang, E.; Gu, Y.; Shangguan, A.J.; Zhao, H.; Lv, T.; Yu, Z. Crocin inhibits cell proliferation and enhances cisplatin and pemetrexed chemosensitivity in lung cancer cells. Transl. Lung Cancer Res. 2015, 4, 775–783. [Google Scholar] [CrossRef]
- Moradzadeh, M.; Kalani, M.R.; Avan, A. The antileukemic effects of saffron (Crocus sativus L.) and its related molecular targets: A mini review. J. Cell. Biochem. 2019, 120, 4732–4738. [Google Scholar] [CrossRef]
- Moradzadeh, M.; Tabarraei, A.; Ghorbani, A.; Hosseini, A.; Sadeghnia, H.R. Short-Term in vitro exposure to crocetin promotes apoptosis in human leukemic HL-60 cells via intrinsic pathway. Acta Pol. Pharm. Drug Res. 2018, 75, 445–451. [Google Scholar]
- Geromichalos, G.D.; Papadopoulos, T.; Sahpazidou, D.; Sinakos, Z. Safranal, a Crocus sativus L constituent suppresses the growth of K-562 cells of chronic myelogenous leukemia. In silico and in vitro study. Food Chem. Toxicol. 2014, 74, 45–50. [Google Scholar] [CrossRef] [PubMed]
- Miller, K.D.; Nogueira, L.; Mariotto, A.B.; Rowland, J.H.; Yabroff, K.R.; Alfano, C.M.; Jemal, A.; Kramer, J.L.; Siegel, R.L. Cancer treatment and survivorship statistics, 2019. CA Cancer J. Clin. 2019, 69, 363–385. [Google Scholar] [CrossRef] [PubMed]
- Mir, M.A.; Ganai, S.A.; Mansoor, S.; Jan, S.; Mani, P.; Masoodi, K.Z.; Amin, H.; Rehman, M.U.; Ahmad, P. Isolation, purification and characterization of naturally derived Crocetin beta-D-glucosyl ester from Crocus sativus L. against breast cancer and its binding chemistry with ER-alpha/HDAC2. Saudi J. Biol. Sci. 2020, 27, 975–984. [Google Scholar] [CrossRef] [PubMed]
- Li, S.; Shen, X.Y.; Ouyang, T.; Qu, Y.; Luo, T.; Wang, H.Q. Synergistic anticancer effect of combined crocetin and cisplatin on KYSE-150 cells via p53/p21 pathway. Cancer Cell Int. 2017, 17, 1–11. [Google Scholar] [CrossRef] [PubMed]
- Chahine, N.; Chahine, R. Protecting Mechanisms of Saffron Extract Against Doxorubicin Toxicity in Ischemic Heart; Elsevier Inc.: Amsterdam, The Netherlands, 2020; ISBN 9780128184622. [Google Scholar]
- Premkumar, K.; Thirunavukkarasu, C.; Abraham, S.K.; Santhiya, S.T.; Ramesh, A. Protective effect of saffron (Crocus sativus L.) aqueous extract against genetic damage induced by anti-tumor agents in mice. Hum. Exp. Toxicol. 2006, 25, 79–84. [Google Scholar] [CrossRef] [PubMed]
- Shahi, T.; Assadpour, E.; Jafari, S.M. Main chemical compounds and pharmacological activities of stigmas and tepals of ‘red gold’; Saffron. Trends Food Sci. Technol. 2016, 58, 69–78. [Google Scholar] [CrossRef]
- Holst, B.; Williamson, G. Nutrients and phytochemicals: From bioavailability to bioefficacy beyond antioxidants. Curr. Opin. Biotechnol. 2008, 19, 73–82. [Google Scholar] [CrossRef]
- Puglia, C.; Santonocito, D.; Musumeci, T.; Cardile, V.; Graziano, A.C.E.; Salerno, L.; Raciti, G.; Crascì, L.; Panico, A.M.; Puglisi, G. Nanotechnological approach to increase the antioxidant and cytotoxic efficacy of crocin and crocetin. Planta Med. 2019, 85, 258–265. [Google Scholar] [CrossRef]
- Dehcheshmeh, M.A.; Fathi, M. Production of core-shell nanofibers from zein and tragacanth for encapsulation of saffron extract. Int. J. Biol. Macromol. 2019, 122, 272–279. [Google Scholar] [CrossRef]
- Rahaiee, S.; Shojaosadati, S.A.; Hashemi, M.; Moini, S.; Razavi, S.H. Improvement of crocin stability by biodegradeble nanoparticles of chitosan-alginate. Int. J. Biol. Macromol. 2015, 79, 423–432. [Google Scholar] [CrossRef] [PubMed]
- Sheth, U.; Nagane, R.; Bahadur, P.; Bahadur, A. Salt effect on solubilization of hydrophobic drugs in block copolymeric micelles and investigation of their in vitro and in vivo oral efficiency. J. Drug Deliv. Sci. Technol. 2017, 39, 531–541. [Google Scholar] [CrossRef]
- Alibolandi, M.; Ebrahimian, M.; Hashemi, M. Evaluation of the effect of crocetin on antitumor activity of doxorubicin encapsulated in PLGA nanoparticles. Nanomed. J. 2016. [Google Scholar] [CrossRef]
- Rahaiee, S.; Hashemi, M.; Shojaosadati, S.A.; Moini, S.; Razavi, S.H. Nanoparticles based on crocin loaded chitosan-alginate biopolymers: Antioxidant activities, bioavailability and anticancer properties. Int. J. Biol. Macromol. 2017. [Google Scholar] [CrossRef]
- Akbarzadeh, A.; Rezaei-sadabady, R.; Davaran, S.; Joo, S.W.; Zarghami, N. Liposome: Classification, preparation, and applications. Nanoscale Res. Lett. 2013, 8, 1. [Google Scholar] [CrossRef]
- Mousavi, S.H.; Moallem, S.A.; Mehri, S.; Shahsavand, S.; Nassirli, H.; Malaekeh-nikouei, B. Improvement of cytotoxic and apoptogenic properties of crocin in cancer cell lines by its nanoliposomal form. Pharm. Biol. 2011, 49. [Google Scholar] [CrossRef]
- Hoshyar, R.; Khayati, G.R.; Poorgholami, M.; Kaykhaii, M. A novel green one-step synthesis of gold nanoparticles using crocin and their anti-cancer activities. JPB 2016. [Google Scholar] [CrossRef]
- Prashob, P. Multi-Functional Silver Nanoparticles for Drug Delivery: A Review. Int. J. Cur. Res. Rev. 2017, 9, 1–5. [Google Scholar]
- Thottumugathu, A.M.; Krishnamurthy, S.; Vimala, K.; Kannan, S. PEG functionalized selenium nanoparticles as a carrier of crocin to achieve anticancer synergism. RSC Adv. 2016. [Google Scholar] [CrossRef]
- Esposito, E.; Drechsler, M.; Mariani, P.; Panico, M.A.; Cardile, V.; Crascì, L.; Carducci, F.; Graziano, A.C.E.; Cortesi, R.; Puglia, C. Nanostructured lipid dispersions for topical administration of crocin, a potent antioxidant from saffron (Crocus sativus L.). Mater. Sci. Eng. 2017, 71, 669–677. [Google Scholar] [CrossRef]
- Petyaev, I. Carotenoid Particles and Uses Thereof. U.S. Patent US2013337068 (A1), 19 December 2013. [Google Scholar]
- Dhar, A.; Gutheil, W.G. In Vivo Method for Treating, Inhibiting, and/ or Prophylaxis of Cancer, Such as Pancreatic Cancer. U.S. Patent US9889105 (B2), 13 February 2018. [Google Scholar]
- Amin, A. Combination Therapy for Cancer. Australian Patent AU2019264659 (A1), 15 November 2019. [Google Scholar]
- Hrout, A.A.; Amin, A. Method of Liver Cancer Treatment with Safranal-Based Formulations. Australian Patent AU2019264660 (A1), 27 August 2020. [Google Scholar]
- Amin, A.; AlMansoori, A.; Baig, B. Safranal- Sorafenib Combination Therapy for Liver Cancer. U.S. Patent US10568873 (B1), 25 February 2020. [Google Scholar]
- Amin, A. Prevention of Liver Cancer with Safranal-Based Formulations. U.S. Patent US20200276133 (A1), 20 September 2020. [Google Scholar]
- Gainer, J.L.; Grabiak, R.C. Bipolar Trans Carotenoid Salts and Their Uses. U.S. Patent US20040116729 (A1), 20 July 2013. [Google Scholar]
- Gainer, J.L. Trans-Sodium Crocetinate, Methods of Making and Methods of Use Thereof. U.S. Patent US6060511 (A), 9 May 2000. [Google Scholar]
- Lapchak, P.A. Efficacy and safety profile of the carotenoid trans sodium crocetinate administered to rabbits following multiple infarct ischemic strokes: A combination therapy study with tissue plasminogen activator. Brain Res. 2010, 1309, 136–145. [Google Scholar] [CrossRef] [PubMed]
- Hosseini, A.; Mousavi, S.H.; Ghanbari, A.; Shandiz, F.H.; Raziee, H.R.; Rad, M.P.; Mousavi, S.H. Effect of saffron on liver metastases in patients suffering from cancers with liver metastases: A randomized, double blind, placebo-controlled clinical trial. Avicenna J. Phytomedicine 2015, 5, 434–440. [Google Scholar] [CrossRef]
- Gainer, J.L.; Sheehan, J.P.; Larner, J.M.; Jones, D.R. Trans sodium crocetinate with temozolomide and radiation therapy for glioblastoma multiforme. J. Neurosurg. 2017, 126, 460–466. [Google Scholar] [CrossRef] [PubMed]
- Stupp, R.; Mason, W.P.; van den Bent, M.J.; Weller, M.; Fisher, B.; Taphoorn, M.J.B.; Belanger, K.; Brandes, A.A.; Marosi, C.; Bogdahn, U.; et al. Radiotherapy plus concomitant and adjuvant temozolomide for glioblastoma. N. Engl. J. Med. 2005, 352, 987–996. [Google Scholar] [CrossRef]
- Benetou, V.; Lagiou, A.; Lagiou, P. Chemoprevention of cancer: Current evidence and future prospects. F1000Research 2015, 4, 916. [Google Scholar] [CrossRef]
- Bostan, H.B.; Mehri, S.; Hosseinzadeh, H. Toxicology effects of saffron and its constituents: A review. Iran. J. Basic Med. Sci. 2017, 20, 110–121. [Google Scholar] [CrossRef]
- Shakeri, M.; Tayer, A.H.; Shakeri, H.; Jahromi, A.S.; Moradzadeh, M.; Hojjat-Farsangi, M. Toxicity of saffron extracts on cancer and normal cells: A review article. Asian Pac. J. Cancer Prev. 2020, 21, 1867–1875. [Google Scholar] [CrossRef]
- Milajerdi, A.; Djafarian, K.; Hosseini, B. The toxicity of saffron (Crocus satious L.) and its constituents against normal and cancer cells. J. Nutr. Intermed. Metab. 2016. [Google Scholar] [CrossRef]
- Lage, M.; Cantrell, C.L. Scientia horticulturae quantification of saffron (Crocus sativus L.) metabolites crocins, picrocrocin and safranal for quality determination of the spice grown under different environmental Moroccan conditions. Sci. Hortic. 2009, 121, 366–373. [Google Scholar] [CrossRef]
- Consonni, R.; Ordoudi, S.A.; Cagliani, L.R.; Tsiangali, M.; Tsimidou, M.Z. On the traceability of commercial saffron samples using 1H-NMR and FT-IR metabolomics. Molecules 2016, 21, 286. [Google Scholar] [CrossRef]
- Renau-Morata, B.; Nebauer, S.G.; Sánchez, M.; Molina, R.V. Effect of corm size, water stress and cultivation conditions on photosynthesis and biomass partitioning during the vegetative growth of saffron (Crocus sativus L.). Ind. Crops Prod. 2012, 39, 40–46. [Google Scholar] [CrossRef]
- Gresta, F.; Avola, G.; Lombardo, G.M.; Siracusa, L.; Ruberto, G. Analysis of flowering, stigmas yield and qualitative traits of saffron (Crocus sativus L.) as affected by environmental conditions. Sci. Hortic. (Amsterdam). 2009, 119, 320–324. [Google Scholar] [CrossRef]
- Cardone, L.; Castronuovo, D.; Perniola, M.; Scrano, L.; Cicco, N.; Candido, V. The influence of soil physical and chemical properties on saffron (Crocus sativus L.) growth, yield and quality. Agronomy 2020, 10, 1154. [Google Scholar] [CrossRef]
- Kumar, R.; Singh, V.; Devi, K.; Sharma, M.; Singh, M.K.; Ahuja, P.S. State of art of saffron (Crocus sativus L.) agronomy: A comprehensive review. Food Rev. Int. 2008, 25. [Google Scholar] [CrossRef]
- Khorramdel, S.; Gheshm, R.; Ghafori, A.A.; Esmaielpour, B. Evaluation of soil texture and superabsorbent polymer impacts on agronomical characteristics and yield of saffron. J. Saffron Res. 2014, 1, 120–135. [Google Scholar]
- Moratalla-López, N.; Bagur, M.J.; Lorenzo, C.; Martínez-Navarro, M.E.; Salinas, M.R.; Alonso, G.L. Bioactivity and bioavailability of the major metabolites of Crocus sativus L. Flower. Molecules 2019, 24, 2827. [Google Scholar] [CrossRef]
- Maghsoodi, V.; Kazemi, A.; Akhondi, E. Effect of different drying methods on saffron (Crocus sativus L.) quality. Iran. J. Chem. Chem. Eng. 2012, 31, 85–89. [Google Scholar]
- Gregory, M.J.; Menary, R.C.; Davies, N.W. Effect of drying temperature and air flow on the production and retention of secondary metabolites in saffron. J. Agric. Food Chem. 2005, 53, 5969–5975. [Google Scholar] [CrossRef]
- Raina, B.L.; Agarwal, S.G.; Bhatia, A.K.; Gaur, G.S. Changes in pigments and volatiles of saffron (Crocus sativus L.) during processing and storage. J. Sci. Food Agric. 1996, 71, 27–32. [Google Scholar] [CrossRef]
- Tong, Y.; Zhu, X.; Yan, Y.; Liu, R.; Gong, F.; Zhang, L.; Hu, J.; Fang, L.; Wang, R.; Wang, P. The influence of different drying methods on constituents and antioxidant activity of saffron from China. Int. J. Anal. Chem. 2015, 2015. [Google Scholar] [CrossRef]
- Tsimidou, M.; Biliaderis, C.G. Kinetic studies of saffron (Crocus sativus L.) quality deterioration. J. Agric. Food Chem. 1997, 45, 2890–2898. [Google Scholar] [CrossRef]
- Bolandi, M.; Ghoddusi, H.B. Flavour and colour changes during processing and storage of saffron (Crocus sativus L.). Dev. Food Sci. 2006, 43, 323–326. [Google Scholar] [CrossRef]
- Sereshti, H.; Ataolahi, S.; Aliakbarzadeh, G.; Zarre, S.; Poursorkh, Z. Evaluation of storage time effect on saffron chemical profile using gas chromatography and spectrophotometry techniques coupled with chemometrics. J. Food Sci. Technol. 2018, 55, 1350–1359. [Google Scholar] [CrossRef] [PubMed]
- Atyane, L.H.; Caid, M.B.E.; Serghini, M.A.; Elmaimouni, L. Influence of different extraction methods and the storage time on secondary metabolites of saffron. Int. J. Eng. Res. Technol. 2017, 6, 65–69. [Google Scholar]
- Gazerani, S.; Sani, A.; Tajalli, F. Effect of solvent extraction on qualitative parameters of saffron edible extract Regular Paper. Res. Rev. Biosci. 2013, 7, 2–6. [Google Scholar]
- Garavand, F.; Rahaee, S.; Vahedikia, N.; Jafari, S.M. Different techniques for extraction and micro/nanoencapsulation of saffron bioactive ingredients. Trends Food Sci. Technol. 2019, 89, 26–44. [Google Scholar] [CrossRef]
- Christodoulou, E.; Grafakou, M.E.; Skaltsa, E.; Kadoglou, N.; Kostomitsopoulos, N.; Valsami, G. Preparation, chemical characterization and determination of crocetin’s pharmacokinetics after oral and intravenous administration of saffron (Crocus sativus L.) aqueous extract to C57/BL6J mice. J. Pharm. Pharmacol. 2019, 71, 753–764. [Google Scholar] [CrossRef]

| Bioactive Compound | Cell Line/Animal Model | Suggested Mechanism of Action/Outcome | References |
|---|---|---|---|
| Saffron ethanol extract | Breast cancer cells MCF-7 | Caspase activation, upregulation of Bax expression. Apoptosis. | Mousavi et al., 2009 |
| Downregulation of VEGFR expression. Cell proliferation and angiogenesis inhibition | Mousavi and Baharara, 2014 | ||
| Safranal, crocin | Myelogenous leukemia cells K-562 | Downregulation of Bcr-Abl expression | Geromichalos et al., 2014 |
| Safranal, crocetin, crocin | Breast cancer cells MCF-7, MDA-MB 231 | Cell proliferation inhibition | Chryssanthi et al., 2007 |
| Crocetin | Breast cancer cells MCF-7, MDA-MB 231 | Downregulation of metalloproteases expression. Cell invasion inhibition, apoptosis | Paper et al., 2000 |
| Crocetin | Colon cancer cells SW480 | Arrest of cells in the S phase, upregulation of P21 expression. Cell proliferation inhibition | Li et al., 2012 |
| Crocetin | Leukemia cells HL60, K-562, L1210, NB4, P388 | Activation of the intrinsic apoptotic pathway | Moradzadeh et al., 2019 |
| Crocetin, crocin | Lung adenocarcinoma cells A549, SPC-A1 | Upregulation of the p53 and Bax mRNA levels; downregulation of the f Bcl-2 mRNA levels. Apoptosis | Chen et al., 2015 |
| Crocin | Breast cancer cells MCF-7 | Caspase-8,9 and 3 activation, Bax/Bcl-2 ratio increase, mitochondrial membrane potential disruption, cytochrome c release. Cell proliferation inhibition, apoptosis | Lu et al., 2015 |
| Bakshi et al., 2016 | |||
| Mostafavinia et al., 2016 | |||
| Crocin | Breast cancer cells HCC70, HCC1806 | Microtubules depolymerization. Cell proliferation inhibition | Hire et al., 2017 |
| Crocin | Ovarian cancer HO-8910 cells | Arrest of cells in the G0/G1, upregulation of p53, Fas/APO-1, and Caspase-3 expression. Apoptosis | Xia et al., 2015 |
| Crocin | Gastric cancer cells AGS | p53 dependent and independent mechanisms. Apoptosis | Hoshyar et al., 2017 |
| Crocin | Colorectal cancer cells HCT-116, SW-480, HT-29 | p53 dependent action. Cell proliferation inhibition | Aung et al., 2007 |
| Crocin | Colorectal cancer HCT116 | p53 dependent action, arrest of cells in the G0/G1, down-regulation of Beclin 1, and Atg7 expression. Apoptosis | Amin et al., 2015 |
| Crocin | Gastric cancer cells AGS, HGC-27 | Downregulation of Krüppel-like factor 5 (KLF5) and hypoxia-inducible factor-1α (HIF-1α) expression. Cell proliferation inhibition | Zhou et al., 2019 |
| Crocin | Gastric cancer cells AGS | Downregulation of OCT4, KLF, SOX2, NANOG, and Nucleostemin expression. Apoptosis | Akbarpoor et al., 2020 |
| Crocin | Prostate cancer cells BPH-1, LnCaP, 22rv1, CWR22, PC3, and DU145, LAPC-4, C4–2B | Arrest of cells at the G0/G1, activation of the intrinsic apoptotic pathway | D’Alessandro et al., 2013 |
| Saffron aqueous extract | 4T1 cells were xenografted in mice | Changes in p53 expression. Inhibition of tumor progression | Nezamdoost et al., 2020 |
| Crocin | Administration of N-Nitroso-N-Methyluria to female Wistar albino rats | Downregulation of cyclin D1 and p21 expression. Inhibition of tumor progression, apoptosis. | Ashrafi et al., 2015 |
| Crocin | 4T1 breast cancer cells were xenografted in mice | Controlling metastasis via Wnt/β-catenin pathway. Inhibition of tumor progression, antimetastatic effect | Arzi et al., 2018 |
| Crocin | T24 cells xenografted in BALB/c nude mice | Downregulation of Survivin, Cyclin D1 and upregulation of the Bax/Bcl-2 ratio. Apoptosis | Zhao et al., 2008 |
| Crocin | Azoxymethane and dextran sodium sulfate to induce chemical colitis associated with colorectal cancer in mice | Inhibition of tumor progression | Amerizadeh et al., 2018 |
| Crocin | Adenomatous polyposis. ApcMin/+ mice: models for human familial adenomatous polyposis | Decrease in the number of intestinal polyps | Fujimoto et al., 2019 |
| Crocin, crocetin | Prostate cancer cells PC3 and 22rv1 xenografted in male nude mice | Downregulation of N-cadherin and b-catenin expression, upregulation of E-cadherin expression. Inhibition of tumor progression, cell invasion and migration | Festuccia et al., 2014 |
| Patent | Title of Patent | Saffron Component | Subject of the Patent/Application | Inventors (Year Patent Issued) |
|---|---|---|---|---|
| AU2019264659 | Combination therapy for cancer (i.e., a TOP inhibitor) | Safranal | Potent method of treating, suppressing, or reducing the severity of a liver cancer | Amin, A. (2019) |
| AU2019264660 | Method of liver cancer treatment with safranal-based formulations | Safranal | Potent method of treating, suppressing, or reducing the severity of a liver cancer | Ala’a Al Hrout, Amin, A. (2019) |
| US10568873 | Safranal–Sorafenib combination therapy for liver cancer | Safranal | Potent effective treatment for liver cancer | Amin, A., Al Mansoori, A., Baig, B. (2020) |
| US20200276133 | Prevention of liver cancer with safranal-based formulations | Safranal | Potent method of preventing the formation of liver cancer in a subject | Amin, A. (2020) |
| US20130337068 | Carotenoid particles and uses thereof | Crocetin or crocin | Increase of the bioavailability of the delivery molecules | Petyaev, I. (2013) |
| US9889105 | In vivo method for treating, inhibiting, and/or prophylaxis of cancer, such as pancreatic cancer | Crocetin or crocin | Possible inhibition of tumorigenesis in vivo | Dhar, A., Gutheil, G.W. (2018) |
| US20040116729 | Bipolar trans-carotenoid salts and their uses | Crocetin or crocin | Improvement of crocin’s and crocetin’s efficacies | Gainer, J., Grabiak, R. (2013) |
| US6060511 | Trans-sodium crocetinate (TSC), methods of making and methods of use thereof | Crocetin | Enhancement of crocin’s solubility and increase of bioavailability and radio-sensitizer in in vivo studies | Gainer, J.L. (2000) |
| US2015352068 | Oral formulations of bipolar trans-carotenoids (BTCs) | Crocetin | Oral dosage forms of BTCs in chemotherapy | Gainer, J.L., Murray, R. (2015) |
Publisher’s Note: MDPI stays neutral with regard to jurisdictional claims in published maps and institutional affiliations. |
© 2020 by the authors. Licensee MDPI, Basel, Switzerland. This article is an open access article distributed under the terms and conditions of the Creative Commons Attribution (CC BY) license (http://creativecommons.org/licenses/by/4.0/).
Share and Cite
Lambrianidou, A.; Koutsougianni, F.; Papapostolou, I.; Dimas, K. Recent Advances on the Anticancer Properties of Saffron (Crocus sativus L.) and Its Major Constituents. Molecules 2021, 26, 86. https://doi.org/10.3390/molecules26010086
Lambrianidou A, Koutsougianni F, Papapostolou I, Dimas K. Recent Advances on the Anticancer Properties of Saffron (Crocus sativus L.) and Its Major Constituents. Molecules. 2021; 26(1):86. https://doi.org/10.3390/molecules26010086
Chicago/Turabian StyleLambrianidou, Andromachi, Fani Koutsougianni, Irida Papapostolou, and Konstantinos Dimas. 2021. "Recent Advances on the Anticancer Properties of Saffron (Crocus sativus L.) and Its Major Constituents" Molecules 26, no. 1: 86. https://doi.org/10.3390/molecules26010086
APA StyleLambrianidou, A., Koutsougianni, F., Papapostolou, I., & Dimas, K. (2021). Recent Advances on the Anticancer Properties of Saffron (Crocus sativus L.) and Its Major Constituents. Molecules, 26(1), 86. https://doi.org/10.3390/molecules26010086
