Application of Ultrasound Combined with Acetic Acid and Peracetic Acid: Microbiological and Physicochemical Quality of Strawberries
Abstract
1. Introduction
2. Materials and Methods
2.1. Sample Preparation and Sanitization Treatments
2.2. Physicochemical Analysis
2.3. Evaluation of Natural Microbiota
2.4. Challenge Test with Escherichia coli ATCC 11229
2.5. Scanning Electron Microscopy (SEM) of Strawberries Intentionally Inoculated with Escherichia coli ATCC 11229
2.6. Statistical Analyses
3. Results and Discussion
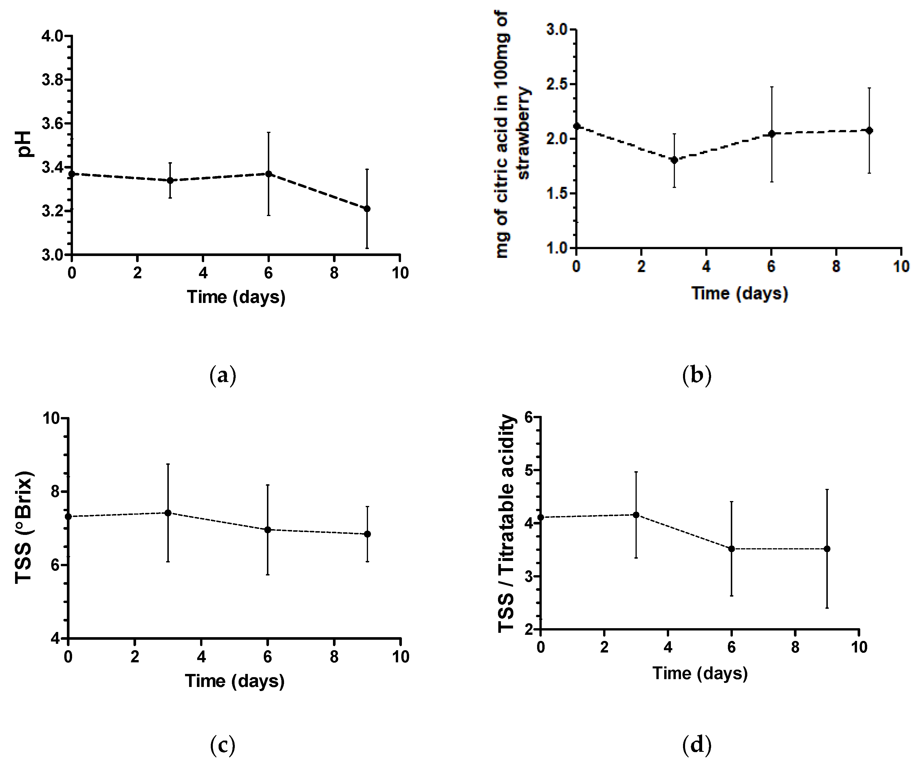
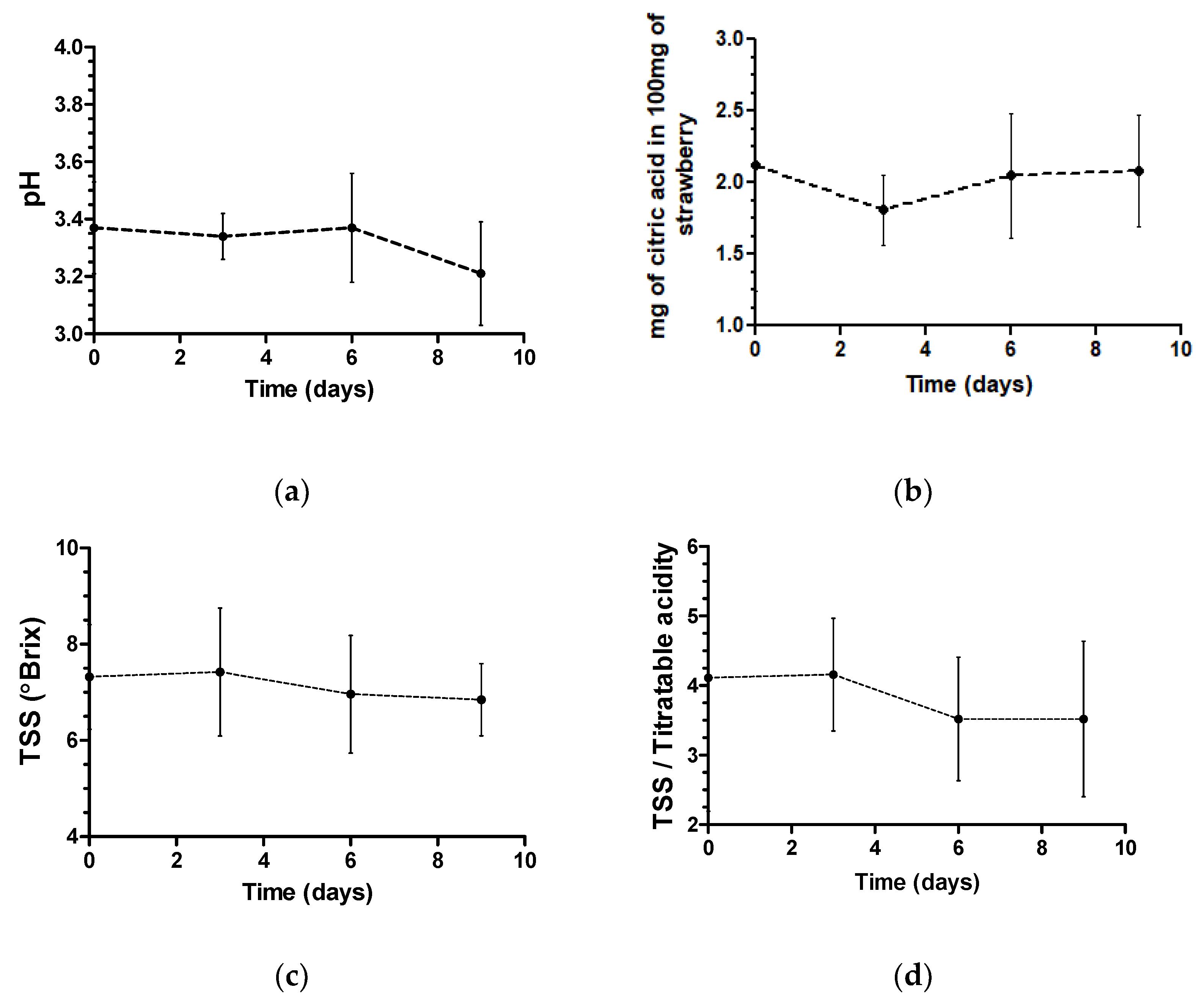
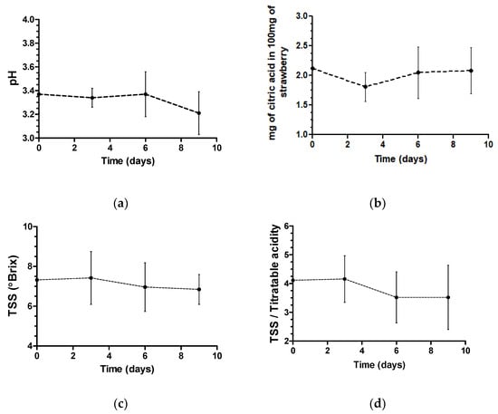
3.1. Effect of The Sanitizing Treatments on the Physicochemical Characteristics of Strawberries
3.2. Effect of the Sanitization Treatments on Natural Microbiota
3.3. Effect of the Treatments on Escherichia coli ATCC 11229 Adhered on the Strawberry’s Surface
Scanning Electron Microscopy
4. Conclusions
Author Contributions
Funding
Acknowledgments
Conflicts of Interest
Sample Availability
References
- Centers for Disease Control and Prevention-CDC. E. coli (Escherichia). National Center for Emerging and Zoonotic Infectious Diseases (NCEZID). Division of Foodborne, Waterborne, and Environmental Diseases (DFWED). 2015. Available online: https://www.cdc.gov/ecoli/general/index.html#what-are-shiga-toxin (accessed on 7 May 2020).
- Centers for Disease Control and Prevention-CDC. Multistate Outbreak of E. coli O157:H7 Infections Linked to Romaine Lettuce. National Center for Emerging and Zoonotic Infectious Diseases (NCEZID). Division of Foodborne, Waterborne, and Environmental Diseases (DFWED). 2018. Available online: https://www.cdc.gov/ecoli/2018/o157h7-04-18/index.html (accessed on 7 May 2020).
- Centers for Disease Control and Prevention-CDC. Multistate Outbreak of Salmonella Montevideo Infections Linked to Raw Sprouts (Final Update). National Center for Emerging and Zoonotic Infectious Diseases (NCEZID). Division of Foodborne, Waterborne, and Environmental Diseases (DFWED).; 2018. Available online: https://www.cdc.gov/salmonella/montevideo-01-18/index.html (accessed on 7 May 2020).
- de São José, J.F.B.; Vanetti, M.C.D. Effect of ultrasound and commercial sanitizers in removing natural contaminants and Salmonella enterica Typhimurium on cherry tomatoes. Food Control 2012, 24, 95–99. [Google Scholar] [CrossRef]
- Rosário, D.K.A.; Duarte, A.L.A.; Madalao, M.C.M.; Libardi, M.C.; Teixeira, L.J.Q.; Conte-Junior, C.A.; Bernardes, P.C. Ultrasound Improves Antimicrobial Effect of Sodium Hypochlorite and Instrumental Texture on Fresh-Cut Yellow Melon. J. Food Quality 2018, 1, 1–7. [Google Scholar]
- Bastos, R.G.; Oliver, J.C.; Germano, J.; De, L.; Fernandes, G.R.; Veiga, S.M.O.M. Effectiveness evaluation of alternative sanitizers in microbiological quality of strawberry (Fragaria ananassa Duch Var. Oso Grande) after artificial contamination by Escherichia coli. Food Science and Technology 2019, 39, 470–474. [Google Scholar] [CrossRef]
- Hung, Y.; Waters, B.W.; Yemmireddy, V.K.; Huang, C. pH effect on the formation of THM and HAA disinfection byproducts and potential control strategies for food processing. J. Integrative Agriculture 2017, 16, 2914–2923. [Google Scholar] [CrossRef]
- Gil, M.I.; Selma, M.V.; Lopez-Galvez, F.; Allende, A. Fresh-cut product sanitation and wash water disinfection: Problems and solutions. Int. J. Food Microbiol. 2009, 134, 37–45. [Google Scholar] [CrossRef]
- de São José, J.F.B.; de Andrade, N.J.; Ramos, A.M.; Vanetti, M.C.D.; Stringheta, P.C.; Chaves, J.B.P. Decontamination by ultrasound application in fresh fruits and vegetables. Food Control. 2014, 45, 36–50. [Google Scholar] [CrossRef]
- Huang, Y.; Chen, H. Effect of organic acids, hydrogen peroxide and mild heat on inactivation of Escherichia coli O157:H7 on baby spinach. Food Control. 2011, 22, 1178–1183. [Google Scholar] [CrossRef]
- Joshi, K.; Mahendrana, R.; Alagusundaram, K.; Norton, T.; Tiwari, B.K. Novel disinfectants for fresh produce–Rewiew. Trends in Food Science & Technology 2013, 34, 54–61. [Google Scholar]
- Alenyorege, E.A.; Ma, H.; Aheto, J.H.; Ayim, I.; Chikari, F.; Osae, R.; Zhou, C. Response surface methodology centred optimization of mono-frequency ultrasound reduction of bacteria in fresh-cut Chinese cabbage and its effect on quality. LWT-Food Science Techn. 2020, 122, 108991. [Google Scholar] [CrossRef]
- Haute, S.V.; Uyttendaele, M.; Sampers, I. Organic acid-based sanitizers and free chlorine to improve the microbial quality and shelf-life of sugar snaps. Int. J. Food Microbiol. 2013, 167, 161–169. [Google Scholar] [CrossRef]
- Davidson, G.R.; Kaminski-Davidson, C.N.K.; Ryser, E.T. Persistence of Escherichia coli O157:H7 during pilot-scale processing of iceberg lettuce using flume water containing peroxyacetic acid-based sanitizers and various organic loads. Int. J. Food Microbiol. 2017, 248, 22–31. [Google Scholar] [CrossRef] [PubMed]
- Amrutha, B.; Sundar, K.; Shetty, P.H. Effect of organic acids on biofilm formation and quorum signaling of pathogens from fresh fruits and vegetables. Microbial Pathog. 2017, 111, 156–162. [Google Scholar] [CrossRef] [PubMed]
- Lippman, B.; Yao, S.; Huang, R.; Chen, H. Evaluation of the combined treatment of ultraviolet light and peracetic acid as an alternative to chlorine washing for lettuce decontamination. Int. J. Food Microbiol. 2020, 323, 108590. [Google Scholar] [CrossRef] [PubMed]
- Wu, S.; Nie, Y.; Zhao, J.; Fan, B.; Huang, X.; Li, X.; Sheng, J.; Meng, D.; Ding, Y.; Tang, X. The synergistic effects of low-concentration acidic electrolyzed water and ultrasound on the storage quality of fresh-sliced button mushrooms. Food Bio. Technol. 2018, 11, 314–323. [Google Scholar] [CrossRef]
- Zudaire, L.; Lafarga, T.; Viñas, I.; Abadias, M.; Brunton, N.; Aguiló-Aguayo, I. Effect of Ultrasound Pre-Treatment on the Physical, Microbiological, and Antioxidant Properties of Calçots. Food Bio Technol 2019, 12, 387–394. [Google Scholar] [CrossRef]
- Ngnitcho, P.K.; Tango, C.N.F.; Khan, I.; Daliri, E.B.M.; Chellian, R.; Oh, D.H. The applicability of Weibull model for the kinetics inactivation of Listeria monocytogenes and Escherichia coli O157:H7 on soybean sprouts submitted to chemical sanitizers in combination with ultrasound at mild temperatures. LWT-Food Science Techn. 2018, 91, 573–579. [Google Scholar] [CrossRef]
- Wu, W.; Gao, H.; Chen, H.; Fang, X.; Han, Q.; Zhong, Q. Combined effects of aqueous chlorine dioxide and ultrasonic treatments on shelf-life and nutritional quality of bokchoy (Brassica chinensis). LWT-Food Science Techn. 2018, 101, 757–763. [Google Scholar] [CrossRef]
- Alenyorege, E.A.; Ma, H.; Ayim, I.; Lu, F.; Zhou, C. Efficacy of sweep ultrasound on natural microbiota reduction and quality preservation of Chinese cabbage during storage. Ultrason Sonochem. 2019, 59, 104712. [Google Scholar] [CrossRef]
- Marques, C.S.; Grillo, R.P.; Bravim, D.G.; Pereira, P.V.; Villanova, J.C.O.; Pinheiro, P.F.; Carneiro, J.C.; Bernardes, P.C. Preservation of ready-to-eat salad: A study with combination of sanitizers, ultrasound, and essential oil-containing β-cyclodextrin inclusion complex. LWT-Food Science Techn. 2019, 115, e108433. [Google Scholar] [CrossRef]
- Chandrapala, A.J.; Oliver, C.; Kentishc, S.; Ashokkumara, M. Ultrasonics in food processing e Food quality assurance and food safety. Trends Food Sci. Technol. 2012, 26, 88–98. [Google Scholar] [CrossRef]
- do Rosário, D.K.; da Silva Mutz, Y.; Peixoto, J.M.; Oliveira, S.B.; de Carvalho, R.V.; Carneiro, J.C.; de São José, J.F.; Bernardes, P.C. Ultrasound improves chemical reduction of natural contaminant microbiota and Salmonella enterica subsp. enterica on strawberries. Int. J. Food Microbiol. 2017, 241, 23–29. [Google Scholar]
- Wei, W.; Wang, X.; Xie, Z.; Wang, W.; Xu, J.; Liu, Y.; Gao, H.; Zhou, Y. Evaluation of Sanitizing Methods for Reducing Microbial Contamination on Fresh Strawberry, Cherry Tomato, and Red Bayberry. Front. Microbiol. 2018, 8, 2397. [Google Scholar] [CrossRef] [PubMed]
- Nicolau-Lapeña, I.M.; Abadias, G.B.; Aguiló-Aguayo, I.; Lafarga, T.; Viñas, I. Strawberry sanitization by peracetic acid washing and its effect on fruit quality. Food Microbiol. 2019, 83, 159–166. [Google Scholar] [CrossRef] [PubMed]
- Lafarga, T.; Colás-Medà, P.; Abadías, M.; Aguiló-Aguayo, I.; Abadias, G.B.; Viñas, I. Strategies to reduce microbial risk and improve quality of fresh and processed strawberries: A review. I Food Sci. Emerg. Technol. 2019, 52, 197–212. [Google Scholar] [CrossRef]
- Association of Official Analytical Chemists-AOAC. Official methods of analysis of the Association of the Agricultural Chemists, 20th ed.; AOAC International: Rockville, MA, USA, 2016. [Google Scholar]
- Francis, F.J. Analysis of anthocyanins. In Anthocyanins as food colors; Pericles, M., Ed.; Academic Press: New York, NY, USA, 1982. [Google Scholar]
- Downes, F.P.; Ito, K. Compendium of Methods for Microbiological Examination of Foods; American Public Health Association: Washington, DC, USA, 2001. [Google Scholar]
- Park, J.M.; Laio, A.; Iannuzzi, M.; Parrinello, M. Dissociation Mechanism of Acetic Acid in Water. J. Am. Chem. Soc. 2006, 128, 35. [Google Scholar] [CrossRef]
- Rahman, M.M.; Moniruzzaman, M.; Ahmad, M.R.; Sarker, B.C.; Alam, M.K. Maturity stages affect the postharvest quality and shelf-life of fruits of strawberry genotypes growing in subtropical regions. J. Saudi Soc. Agri. Sci. 2016, 15, 28–37. [Google Scholar] [CrossRef]
- de São José, J.F.B.; Vanetti, M.C.D. Application of Ultrasound Associated with Chemical Sanitizers for Food Products. LWT-Food Sci. Technol. 2015, 63, 946–952. [Google Scholar] [CrossRef]
- Akhatou, I.; Recamales, A.F. Influence of cultivar and culture system on nutritional and organoleptic quality of strawberry. J. Sci. Food Agri. 2014, 94, 866–875. [Google Scholar] [CrossRef]
- Mditshwa, A.; Magwaza, L.S.; Tesfay, S.Z.; Opara, U.L. Postharvest factors affecting vitamin C content of citrus fruits: A review. Sci. Hor. 2017, 218, 95–104. [Google Scholar] [CrossRef]
- Gani, A.; Baba, W.N.; Ahmad, M.; Shah, U.; Khan, A.A.; Wani, I.A.; Masoodi, F.A.; Gani, A. Effect of ultrasound treatment on physico-chemical, nutraceutical and microbial quality of strawberry. LWT-Sci. Technol. 2016, 66, 496–502. [Google Scholar] [CrossRef]
- Davey, M.W.; Dekempeneer, E.; Keulemans, J. Rocket-powered high-performance liquid chromatographic analysis of plant ascorbate and glutathione. Analyt. Biochem. 2003, 316, 74–81. [Google Scholar] [CrossRef]
- Davey, M.W.; Kenis, K.; Keulemans, J. Genetic Control of Fruit Vitamin C Contents. Plant. Physiol. 2003, 142, 343–351. [Google Scholar] [CrossRef] [PubMed]
- Alhagdow, M.; Mounet, F.; Gilbert, L.; Nunes-Nesi, A.; Garcia, V.; Just, D.; Petit, J.; Beauvoit, B.; Fernie, A.R.; Rothan, C.; et al. Silencing of the Mitochondrial Ascorbate Synthesizing Enzyme L-Galactono-1,4-Lactone Dehydrogenase Affects Plant and Fruit Development in Tomato. Plant. Physiol. 2007, 145, 1408–1422. [Google Scholar] [CrossRef] [PubMed]
- Tsaniklidis, G.; Kotsiras, A.; Tsafouros, A.; Roussos, P.A.; Aivalakis, G.; Katinakis, P.; Delis, C. Spatial and temporal distribution of genes involved in polyamine metabolism during tomato fruit development. Plant Physiology Biochem. 2016, 100, 27–36. [Google Scholar] [CrossRef]
- Padmanabhan, P.; Mizran, A.; Sullivan, J.A.; Paliyath, G. Strawberries. Enc. Food Health 2016, 1, 193–198. [Google Scholar]
- Graça, A.; Esteves, E.; Nunes, C.; Abadias, M.; Quintas, C. Microbiological quality and safety of minimally processed fruits in the marketplace of southern Portugal. Food Control. 2017, 73, 775–783. [Google Scholar] [CrossRef]
- Bernardi, A.O.; Stefanello, A.; Garcia, M.V.; Parussolo, G.; Stefanello, R.F.; Moro, C.B.; Copetti, M.V. Efficacy of commercial sanitizers against fungi of concern in the food industry. LWT-Food Sci Technol. 2018, 97, 25–30. [Google Scholar] [CrossRef]
- Haute, S.V.; López-Gálvez, F.; Gómez-López, V.M.; Eriksson, M.; Devlieghere, F.; Allende, A.; Sampers, I. Methodology for modeling the disinfection efficiency of fresh-cut leafy vegetables wash water applied on peracetic acid combined with lactic acid. Int. J. Food Microbiol. 2015, 208, 102–113. [Google Scholar] [CrossRef]
- Gurtler, J.B.; Bailey, R.B.; Jin, T.Z.; Fan, X. Reduction of an E. coli O157:H7 and Salmonella composite on fresh strawberries by varying antimicrobial washes and vacuum perfusion. Int. J. Food Microbiol. 2014, 189, 113–118. [Google Scholar] [CrossRef]
- Lima, P.M.; São José, J.F.B.; Andrade, N.J.; Pires, A.C.S.; Ferreira, S.O. Interaction between natural microbiota and physicochemical characteristics of lettuce surfaces can influence the attachment of Salmonella Enteritidis. Food Control. 2013, 30, 157–161. [Google Scholar] [CrossRef]
- Carpenter, C.E.; Broadbent, J.R. External concentration of organic acid anions and pH: Key independent variables for studying how organic acids inhibit growth of bacteria in mildly acidic foods. J. Food Sci. 2009, 74, 12–15. [Google Scholar] [CrossRef] [PubMed]
- Jones, T.H.; Vail, K.M.; Mcmullen, L.M. Filament formation by foodborne bacteria under sublethal stress. Int. J. Food Microbiol. 2013, 165, 97–110. [Google Scholar] [CrossRef] [PubMed]
- Barbosa, J.; Cuppini, M.; Flach, J.; Steffens, C.; Cansian, R.L.; Toniazzo, G. Removal of Escherichia coli in boning knives with different sanitizers. LWT-Food Sci. Technol. 2016, 71, 309–315. [Google Scholar] [CrossRef]
- Firouz, M.S.; Farahmandi, A.; Hosseinpour, S. Recent advances in ultrasound application as a novel technique in analysis, processing and quality control of fruits, juices and dairy products industries: A review. Ultrason Sonochem 2019, 57, 73–88. [Google Scholar] [CrossRef]
- Deng, L.; Arun, S.; Mujumdar, Z.P.; Vidyarthi, S.K.; Xu, J.; Zielinska, M.; Xiao, H. Emerging chemical and physical disinfection technologies of fruits and vegetables: A comprehensive review. Cri. Rev. Food Sci. Nut. 2019, 1, 1–30. [Google Scholar] [CrossRef]





| Variables | Variation Sources | Degrees of Freedom | F Value | p Value |
|---|---|---|---|---|
| pH | Treatment | 6 | 0.36 n.s. | 0.8917 |
| Time | 3 | 8.23 * | 0.0003 | |
| Interaction | 18 | 0.07 n.s. | 1.000 | |
| Total soluble solids | Treatment | 6 | 2.27 n.s. | 0.0967 |
| Time | 3 | 2.90 * | 0.0491 | |
| Interaction | 18 | 1.19 n.s. | 0.3248 | |
| Total titratable acidity | Treatment | 6 | 0.26 n.s. | 0.9459 |
| Time | 3 | 9.38 * | 0.0001 | |
| Interaction | 18 | 0.10 n.s. | 1.0000 | |
| Total soluble solids/total titratable acidity ratio | Treatment | 6 | 0.38 n.s. | 0.8797 |
| Time | 3 | 8.72 * | 0.0002 | |
| Interaction | 18 | 0.43 n.s. | 0.9714 | |
| Vitamin C | Treatment | 6 | 2.43 n.s. | 0.0806 |
| Time | 3 | 2.33 n.s. | 0.0925 | |
| Interaction | 18 | 6.76 * | 0.0001 | |
| Anthocyanins | Treatment | 6 | 0.42 n.s. | 0.8503 |
| Time | 3 | 1.05 n.s. | 0.3897 | |
| Interaction | 18 | 0.53 n.s. | 0.8808 |
| pH | Total Titratable Acidity (TTA) | Total Soluble Solids (TSS) | TSS/TTA | Vitamin C | Anthocyanins | |
|---|---|---|---|---|---|---|
| pH | −0.8335 * | 0.2992 * | −0.7184 * | 0.14832 | 0.3901 * | |
| TTA | −0.2588 * | 0.7670 * | −0.1665 | −0.4835 * | ||
| TTS | −0.1115 | −0.1378 | 0.4153 * | |||
| TTS/TTA | −0.2292 * | −0.4226 * | ||||
| Vitamin C | 0.1792 | |||||
| Anthocyanins |
| Variables | Variation Sources | Degrees of Freedom | F Value | p Value |
|---|---|---|---|---|
| Aerobic mesophiles | Treatment | 6 | 2.24 n.s. | 0.6232 |
| Time | 3 | 0.55 * | 0.0288 | |
| Interaction | 18 | 0.11 n.s. | 0.7144 | |
| Coliforms 35 °C | Treatment | 6 | 1.70 n.s. | 0.1573 |
| Time | 3 | 1.45 n.s. | 0.2505 | |
| Interaction | 18 | 0.38 n.s. | 0.9817 | |
| Molds and yeasts | Treatment | 6 | 7.51 * | 0.0089 |
| Time | 3 | 5.75 * | 0.0049 | |
| Interaction | 18 | 0.29 n.s. | 0.8952 |
| Treatment | Aerobic Mesophiles | Molds and Yeasts | Coliforms at 35 °C |
|---|---|---|---|
| No treatment | 6.40 ± 0.50a | 5.07 ± 0.52a | 4.30 ± 0.75a |
| Sodium hypochlorite 1 mL/L | 5.31 ± 0.74a | 4.20 ± 0.60b | 3.27 ± 0.92a |
| Acetic acid 10 mL/L | 5.18 ± 0.79a | 3.97 ± 0.66b | 3.03 ± 0.64a |
| Peracetic acid 2 mL/L | 4.86 ± 0.82a | 3.89 ± 0.60b | 2.99 ± 0.73a |
| Ultrasound 40 kHz | 5.34 ± 0.66a | 4.31 ± 0.49b | 3.41 ± 0.69a |
| Ultrasound 40 kHz + Acetic acid 10 mL/L | 4.36 ± 0.84a | 3.34 ± 0.35c | 2.98 ± 0.72a |
| Ultrasound 40 kHz + Peracetic acid 2 mL/L | 3.92 ± 0.81a | 3.08 ± 0.33c | 2.85 ± 0.57a |
| Treatment | Log CFU/g | Reduction Log CFU/g |
|---|---|---|
| No treatment | 5.38 ± 0.56a | – |
| Sodium hypochlorite 1 mL/L | 4.39 ± 0.29b | 0.99 |
| Acetic acid 10 mL/L | 4.12 ± 0.42b | 1.26 |
| Peracetic acid 2 mL/L | 4.30 ± 0.49b | 1.08 |
| Ultrasound 40 kHz | 4.34 ± 0.17b | 1.04 |
| Ultrasound 40 kHz + Acetic acid 10 mL/L | 3.92 ± 0.58bc | 1.46 |
| Ultrasound 40 kHz + Peracetic acid 2 mL/L | 3.17 ± 0.41c | 2.21 |
Publisher’s Note: MDPI stays neutral with regard to jurisdictional claims in published maps and institutional affiliations. |
© 2020 by the authors. Licensee MDPI, Basel, Switzerland. This article is an open access article distributed under the terms and conditions of the Creative Commons Attribution (CC BY) license (http://creativecommons.org/licenses/by/4.0/).
Share and Cite
Donatti Leão Alvarenga, P.; Mileib Vasconcelos, C.; de São José, J.F.B. Application of Ultrasound Combined with Acetic Acid and Peracetic Acid: Microbiological and Physicochemical Quality of Strawberries. Molecules 2021, 26, 16. https://doi.org/10.3390/molecules26010016
Donatti Leão Alvarenga P, Mileib Vasconcelos C, de São José JFB. Application of Ultrasound Combined with Acetic Acid and Peracetic Acid: Microbiological and Physicochemical Quality of Strawberries. Molecules. 2021; 26(1):16. https://doi.org/10.3390/molecules26010016
Chicago/Turabian StyleDonatti Leão Alvarenga, Priscila, Christiane Mileib Vasconcelos, and Jackline Freitas Brilhante de São José. 2021. "Application of Ultrasound Combined with Acetic Acid and Peracetic Acid: Microbiological and Physicochemical Quality of Strawberries" Molecules 26, no. 1: 16. https://doi.org/10.3390/molecules26010016
APA StyleDonatti Leão Alvarenga, P., Mileib Vasconcelos, C., & de São José, J. F. B. (2021). Application of Ultrasound Combined with Acetic Acid and Peracetic Acid: Microbiological and Physicochemical Quality of Strawberries. Molecules, 26(1), 16. https://doi.org/10.3390/molecules26010016

