Combined Experimental and Theoretical Insights into the Corrosion Inhibition Activity on Carbon Steel Iron of Phosphonic Acids
Abstract
1. Introduction
2. Materials and Methods
2.1. Experimental
2.1.1. Potentiodynamic Polarization (CP) Testing and Electrochemical Impedance Spectroscopy (EIS) Measurements
2.1.2. Attenuated Total Reflectance Infrared (ATR)
2.1.3. Optical Microscopy
2.2. Theoretical Chemical Calculations
3. Results
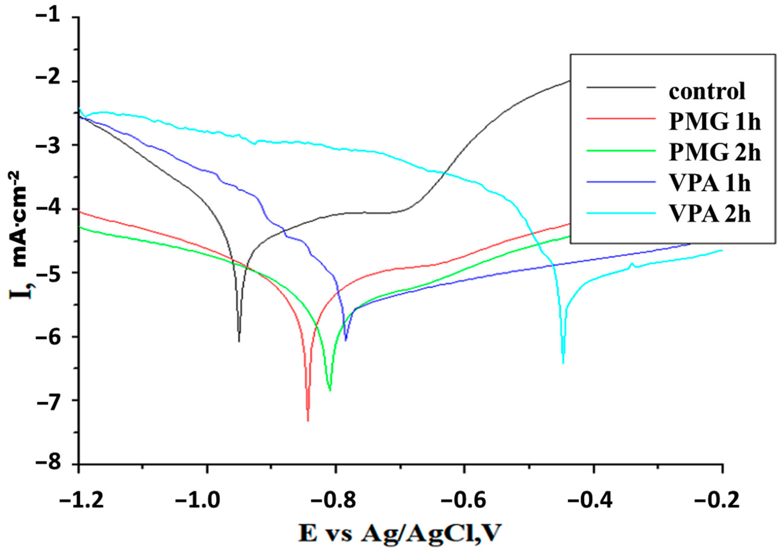
3.1. Potentiodynamic Polarization Study
3.2. ATR Spectral Studies
3.3. Electrochemical Impedance Spectroscopy (EIS) Measurements
3.4. Adsorption Isotherm
3.5. Surface Analysis
3.6. Theoretical Chemical Calculations
3.7. Mechanism of Corrosion Inhibition
4. Conclusions
Supplementary Materials
Author Contributions
Funding
Data Availability Statement
Acknowledgments
Conflicts of Interest
References
- Uzma, N.; Zareen, A.; Naveed, Z.A.; Faiz, U.S. Experimental and theoretical insights into the corrosion inhibition activity of novel Schiff bases for aluminum alloy in acidic medium. RSC Adv. 2019, 9, 36455–36470. [Google Scholar] [CrossRef]
- Uzma, N.; Zareen, A.; Naveed, K.J.; Muhammad, A.A.; Sehrish, K.; Tehmeena, M.B.; Asma, S.; Faroha, L.; Rizwan, H.; Faiz, U.S. Biferrocenyl Schiff bases as efficient corrosion inhibitors for an aluminium alloy in HCl solution: A combined experimental and theoretical study. RSC Adv. 2020, 10, 7585–7599. [Google Scholar] [CrossRef]
- Obot, I.; Madhankumar, A.; Umoren, S.A.; Gasem, Z.M. Surface protection of mild steel using benzimidazole derivatives: Experimental and theoretical approach. J. Adhes. Sci. Technol. 2015, 29, 2130–2152. [Google Scholar] [CrossRef]
- Kovačević, N.; Kokalj, A. Analysis of molecular electronic structure of imidazole-and benzimidazole- based inhibitors: A simple recipe for qualitative estimation of chemical hardness. Corr. Sci. 2011, 53, 909–921. [Google Scholar] [CrossRef]
- Visa, A.; Maranescu, B.; Bucur, A.; Iliescu, S.; Demadis, K.D. Synthesis and characterization of a novel phosphonate metal organic framework starting from copper salts. Phosphorus Sulfur Silicon Relat. Elem. 2014, 189, 630–639. [Google Scholar] [CrossRef]
- Visa, A.; Mracec, M.; Maranescu, B.; Maranescu, V.; Ilia, G.; Popa, A. Structure simulation into a lamellar supramolecular network and calculation of the metal ions/ligands ratio. Chem. Cent. J. 2012, 6, 91. [Google Scholar] [CrossRef]
- Maranescu, B.; Plesu, N.; Visa, A. Phosphonic acid vs phosphonate metal organic framework influence on mild steel corrosion protection. Appl. Surface Sci. 2019, 497, 143734. [Google Scholar] [CrossRef]
- Maranescu, B.; Lupa, L.; Tara Lunga Mihali, M.; Plesu, N.; Maranescu, V.; Visa, A. The Corrosion Inhibitor Behavior of Iron in Saline Solution by the Action of Magnesium Carboxyphosphonate. Pure Appl. Chem. 2018, 90, 1713–1722. [Google Scholar] [CrossRef]
- Attavar, S.; Diwekar, M.; Linford, M.R.; Davis, M.A.; Blair, S. Passivation of aluminum with alkyl phosphonic acids for biochip applications. Appl. Surf. Sci. 2010, 256, 7146–7150. [Google Scholar] [CrossRef]
- Hoque, E.; DeRose, J.A.; Kulik, G.; Hoffmann, P.; Mathieu, H.J.; Bhushan, B. Alkylphosphonate modified aluminum oxide surfaces. J. Phys. Chem. B 2006, 110, 10855–10861. [Google Scholar] [CrossRef]
- Prathipa, V.; Raja, A.S. Review on the Assessment of Amino Acids Used As Corrosion Inhibitor of Metals and Alloys. J. Chem. Biol. Phys. Sci. 2017, 5, 1585–1619. [Google Scholar]
- Popa, S.; Iliescu, S.; Ilia, G.; Plesu, N.; Popa, A.; Visa, A.; Macarie, L. Solid polymer electrolytes based on phosphorus containing polymers for lithium polymer batteries. Eur. Polym. J. 2017, 94, 286–298. [Google Scholar] [CrossRef]
- Iliescu, S.; Avram, E.; Pascariu, A.; Plesu, N.; Popa, A.; Ilia, G. New technique for the synthesis of polyphosphoesters. Macromol. Res. 2011, 19, 1186–1191. [Google Scholar] [CrossRef]
- Iliescu, S.; Ilia, G.; Pascariu, A.; Plesu, N. Organic solvent-free synthesis of phosphorus-containing polymers. Pure Appl. Chem. 2007, 79, 1879–1884. [Google Scholar] [CrossRef]
- Shahzad, K.; Fayyad, E.M.; Nawaz, M.; Fayyaz, O.; Shakoor, R.A.; Hassan, M.K.; Umer, M.A.; Baig, M.N.; Raza, A.; Abdullah, A.M. Corrosion and Heat Treatment Study of Electroless NiP-Ti Nanocomposite Coatings Deposited on HSLA Steel. Nanomaterials 2020, 10, 1932. [Google Scholar] [CrossRef] [PubMed]
- Yadav, M.; Sharma, D.; Kumar, S.; Bahadur, I.; Ebenso, E.E. Electrochemical and theoretical studies on amino phosphonates as efficient corrosion inhibitor for N80 steel in hydrochloric acid solution. Int. J. Electrochem. Sci. 2014, 9, 6580–6593. [Google Scholar]
- Lv, K.; Yang, C.-T.; Liu, Y.; Hu, S.; Wang, X.-L. The Hydrolytic Stability and Degradation Mechanism of a Hierarchically Porous Metal Alkylphosphonate Framework. Nanomaterials 2018, 8, 166. [Google Scholar] [CrossRef] [PubMed]
- Kálmán, E.; Várhegyi, B.; Bakó, I.; Felhosi, I.; Kármán, F.H.; Shaban, A. Corrosion inhibition by 1-hydroxy-ethane-1,1-diphosphonic acid. An electrochemical impedance spectroscopy study. J. Electrochem. Soc. 1994, 141, 3357–3360. [Google Scholar] [CrossRef]
- Demadis, D. Chemistry of organophosphonate scale inhibitors. Part 4: Stability of amino-tris-(methylene phosphonate) towards degradation by oxidizing biocides. Phosphorus Sulfur Silicon Relat. Elem. 2006, 181, 167–176. [Google Scholar] [CrossRef]
- Petric, M.; Crisan, L.; Crisan, M.; Micle, A.; Maranescu, B.; Ilia, G. Synthesis and QSRR Study for a Series of Phosphoramidic Acid Derivatives. Heteroat. Chem. 2013, 24, 138–145. [Google Scholar] [CrossRef]
- Moschona, A.; Plesu, N.; Mezei, G.; Thomas, A.G.; Demadis, K.D. Corrosion protection of carbon steel by tetraphosphonates of systematically different molecular size. Corros. Sci. 2018, 145, 135–150. [Google Scholar] [CrossRef]
- Choi, D.-J.; You, S.-J.; Kim, J.-G. Development of an environmentally safe corrosion, scale, and microorganism inhibitor for open recirculating cooling systems. Mater. Sci. Eng. A 2002, 335, 228–235. [Google Scholar] [CrossRef]
- Tsirulnikova, N.V.; Bolt, Y.V.; Dernovaya, E.S.; Driker, B.N.; Fetisova, T.S. Creation and study of formulations as inhibitors of metal corrosion and scaling for stabilization water treatment in water utilization systems (a review). Int. J. Corros. Scale Inhib. 2016, 5, 66–86. [Google Scholar] [CrossRef]
- Kavipriya, K.; Sathiyabama, J.; Rajendran, S.; Nagalakshmi, R. The inhibitive effect of diethylenetriaminepentamethylenephosphonic acid on the corrosion of carbon steel in sea water. Eur. Chem. Bull. 2013, 2, 423–429. [Google Scholar] [CrossRef]
- Labjar, N.; Lebrini, M.; Bentiss, F.; Chihib, N.-E.; Hajjaji, S.E.; Jama, C. Corrosion inhibition of carbon steel and antibacterial properties of aminotris-(methylenephosphonic) acid. Mater. Chem. Phys. 2010, 119, 330–336. [Google Scholar] [CrossRef]
- Kar, P.K.; Singh, G. Evaluation of nitrilotrimethylenephosphonic acid and nitrilotriacetic acid as corrosion inhibitors of mild steel in sea water. ISRN Mater. Sci. 2011, 167487. [Google Scholar] [CrossRef]
- Fang, J.L.; Li, Y.; Ye, X.R.; Wang, Z.W.; Liu, Q. Passive films and corrosion protection due to phosphonic acid inhibitors. Corrosion 1993, 49, 266–271. [Google Scholar] [CrossRef]
- Chougrani, K.; Boutevin, B.; David, G.; Seabrook, S.; Loubat, C. Acrylate Based Anticorrosion Films Using Novel Bis-Phosphonic Methacrylates. J. Polymer Sci. A Polymer Chem. 2008, 46, 7972–7984. [Google Scholar] [CrossRef]
- Fang, J.; Li, J. Quantum chemistry study on the relationship between molecular structure and corrosion inhibition efficiency of amides. J. Mol. Struct. Theochem 2002, 593, 179–185. [Google Scholar] [CrossRef]
- Vinutha, M.R.; Venkatesha, T.V. Review on Mechanistic Action of Inhibitors on Steel Corrosion in Acidic Media. Port. Electrochim. Acta 2016, 34, 157–184. [Google Scholar] [CrossRef]
- Liu, L.; Cao, T.T.; Zhang, Q.W.; Cui, C.W. Organic Phosphorus Compounds as Inhibitors of Corrosion of Carbon Steel in Circulating Cooling Water: Weight Loss Method and Thermodynamic and Quantum Chemical Studies. Adv. Mater. Sci. Eng. 2018, 1653484. [Google Scholar] [CrossRef]
- Hyperchem 7.52 Release for Windows; HyperCube, Inc.: Gainesville, FL, USA, 2002.
- Jaguar, Version 10.2; Schrödinger, Inc.: New York, NY, USA, 2018.
- Bochevarov, A.D.; Harder, E.; Hughes, T.F.; Greenwood, J.R.; Braden, D.A.; Philipp, D.M.; Rinaldo, D.; Halls, M.D.; Zhang, J.; Friesner, R.A. Jaguar: A high-performance quantum chemistry software program with strengths in life and materials sciences. Int. J. Quantum Chem. 2013, 113, 2110–2142. [Google Scholar] [CrossRef]
- Noor, E.A.; Al-moubaraki, A.; Alghanmi, R. Anti-Corrosive Behavior of Senna Aqueous Extract to Aluminum in Alkaline Solutions. Der Pharma Chem. 2017, 9, 51–59. [Google Scholar]
- Almeida, R.M.; Mackenzie, J.D. Infrared absorption and structure of chlorophosphate glasses. J. Non-Cryst. Solids 1980, 40, 535–548. [Google Scholar] [CrossRef]
- Gao, X.; Zhao, C.; Lu, H.; Gao, F.; Ma, H. Influence of phytic acid on the corrosion behavior of iron under acidic and neutral conditions. Electrochim. Acta 2014, 150, 188–196. [Google Scholar] [CrossRef]
- Yan, R.; Gao, X.; Lv, D.; Ma, H. A study on the differences in morphology and corrosion resistance performance between two different bis(2-ethylhexyl) phosphate self assembled thin films prepared on an iron substrate in water and ethanol solvents. RSC Adv. 2016, 6, 55936–55945. [Google Scholar] [CrossRef]
- Chesalov, Y.A.; Chernobay, G.B.; Boldyreva, E.V. Temperature effects on the ir spectra of crystalline amino acids, dipeptides, and polyamino acids. II. L- and DL-serines. J. Struct. Chem. 2008, 49, 627–638. [Google Scholar] [CrossRef]
- Sheals, J.; Sjoberg, S.; Persson, P. Adsorption of Glyphosate on Goethite: Molecular Characterization of Surface, Complexes. Environ. Sci. Technol. 2002, 36, 3090–3095. [Google Scholar] [CrossRef]
- Lee, J.; Bong, J.; Ha, Y.-G.; Park, S.; Ju, S. Durability of self-assembled monolayers on aluminum oxide surface for determining surface wettability. Appl. Surf. Sci. 2015, 330, 445–448. [Google Scholar] [CrossRef]
- Hill, D.; Holliman, P.J.; McGettrick, J.; Appelman, M.; Chatterjee, P.; Watson, T.M.; Worsley, D. Study of the tribological properties and ageing of alkyphosphonic acid films on galvanized steel. Tribol. Internat. 2018, 119, 337–344. [Google Scholar] [CrossRef]
- Guerrero, G.; Mutin, P.H.; Vioux, A. Organically modified aluminas by grafting and sol-gel processes involving phosphonate derivatives. J. Mater. Chem. 2001, 11, 3161–3165. [Google Scholar] [CrossRef]
- Rahnemaie, R.; Hiemstra, T.; Van Riemsdijk, W.H. Geometry, charge distribution, and surface speciation of phosphate on goethite. Langmuir 2007, 23, 3680–3689. [Google Scholar] [CrossRef] [PubMed]
- Nazari, H.M.; Shihab, M.S.; Havens, E.A.; Shi, X. Mechanism of corrosion protection in chloride solution by an apple-based green inhibitor: Experimental and theoretical studies. J. Infrastruct. Preserv. Resil. 2020, 1–7. [Google Scholar] [CrossRef]
- Matos, J.B.; D’Elia, E.; Barcia, O.E.; Mattos, O.R.; Pebere, N.; Tribollet, B. Rotating disc and hemispherical electrodes for copper dissolution study in hydrochloric solution in the presence of benzotriazole. Electrochim. Acta 2001, 46, 1377–1383. [Google Scholar] [CrossRef]
- Outirite, M.; Lagrenee, M.; Lebrini, M.; Traisnel, M.; Jama, C.; Vezin, H.; Bentiss, F. ac impedance, X-ray photoelectron spectroscopy and density functional theory studies of 3,5-bis(n-pyridyl)-1,2,4-oxadiazoles as efficient corrosion inhibitors for carbon steel surface in hydrochloric acid solution. Electrochim. Acta 2010, 55, 1670–1681. [Google Scholar] [CrossRef]
- Ma, H.; Cheng, X.; Li, G.; Chen, S.; Quan, Z.; Zhao, S.; Niu, L. The influence of hydrogen sulfide on corrosion of iron under different conditions. Corros. Sci. 2000, 42, 1669–1683. [Google Scholar] [CrossRef]
- Pajkossy, T. Impedance of rough capacitive electrodes. J. Electroanal. Chem. 1994, 364, 111–125. [Google Scholar] [CrossRef]
- Popova, A.; Christov, M.; Vasilev, A. Mono- and dicationic benzothiazolic quaternary ammonium bromides as mild steel corrosion inhibitors. Part II: Electrochemical impedance and polarisation resistance results. Corros. Sci. 2011, 53, 1770–1777. [Google Scholar] [CrossRef]
- Elgendy, A.; Nady, H.; El-Rabiei, M.M.; Elhenawy, A.A. Understanding the adsorption performance of two glycine derivatives as novel and environmentally safe anti-corrosion agents for copper in chloride solutions: Experimental, DFT, and MC studies. RSC Adv. 2019, 9, 42120–42131. [Google Scholar] [CrossRef]
- Popova, A.; Sokolova, E.; Raicheva, S.; Christov, M. AC and DC study of the temperature effect on mild steel corrosion in acid media in the presence of benzimidazole derivatives. Corros. Sci. 2003, 45, 33–58. [Google Scholar] [CrossRef]
- Asan, A.; Kabasakaloğlu, M.; Işıklan, M.; Kılıç, Z. Corrosion inhibition of brass in presence of terdentate ligands in chloride solution. Corros. Sci. 2005, 47, 1534–1544. [Google Scholar] [CrossRef]
- Laamari, R.; Benzakour, J.; Berrekhis, F.; Abouelfida, A.; Derja, A.; Villemin, D. Corrosion inhibition of carbon steel in hydrochloric acid 0.5 M by hexamethylenediaminetetramethyl-phosphonic acid. Arab. J. Chem. 2011, 4, 271–277. [Google Scholar] [CrossRef]
- Mall, L.D.; Srivastava, V.C.; Agrawal, N.K.; Mishra, I.M. Adsorptive removal of malachite green dye from aqueous solution by bagasse fly ash and activated carbon-kinetic study and equilibrium isotherm analyses. Colloids Surf. A Physicochem. Eng. Asp. 2005, 264, 17–28. [Google Scholar] [CrossRef]
- Kavipriya, K.; Rajendran, S.; Sathiyabama, J.; Prabha, A.S. A critical review of corrosion inhibition by phosphonic acids. Eur. Chem. Bull. 2012, 1, 366–374. [Google Scholar] [CrossRef]
- Rivera-Grau, L.M.; Casales, M.; Regla, I.; Ortega-Toledo, D.M.; Ascencio-Gutierrez, J.A.; Porcayo-Calderon, J.; Martinez-Gomez, L. Effect of organic corrosion inhibitors on the corrosion performance of 1018 carbon steel in 3% NaCl solution. Int. J. Electrochem. Sci. 2013, 8, 2491–2503. [Google Scholar]
- Narayanan, R.M.; Gowri, S.; Krishna, M.M. On Line Surface Roughness Measurement Using Image Processing and Machine Vision. In Proceedings of the World Congress on Engineering, London, UK, 2–4 July 2007; WCE: London, UK, 2007. [Google Scholar]
- Wang, H.B.; Li, Y.; Cheng, G.X.; Wu, W.; Zhang, Y.H.; Li, X.Y. Electrochemical Investigation of Corrosion of Mild Steel in NH4Cl Solution. Int. J. Electrochem. Sci. 2018, 13, 5268–5283. [Google Scholar] [CrossRef]
- Popova, A.; Christov, M.; Raicheva, S.; Sokolova, E. Adsorption and inhibitive properties of benzimidazole derivatives in acid mild steel corrosion. Corros. Sci. 2004, 46, 1333–1350. [Google Scholar] [CrossRef]
- Chattaraj, P.K.; Maiti, B.; Sarkar, U. Philicity: A unified treatment of chemical reactivity and selectivity. J. Phys. Chem. A. 2003, 107, 4973–4975. [Google Scholar] [CrossRef]
- Obot, I.B.; Gasem, Z.M. Theoretical evaluation of corrosion inhibition performance of some pyrazine derivatives. Corros. Sci. 2014, 83, 359–366. [Google Scholar] [CrossRef]
- Lgaz, H.; Chung, I.M.; Albayati, M.R.; Chaouiki, A.; Salghi, R.; Mohamed, S.K. Improved corrosion resistance of mild steel in acidic solution by hydrazone derivatives: An experimental and computational study. Arab. J. Chem. 2020, 13, 2934–2954. [Google Scholar] [CrossRef]
- Gomma, M.K.; Wahdan, M.H. Schiff bases as corrosion inhibitors for aluminium in hydrochloric acid solution. Mater. Chem. Phys. 1995, 39, 209–213. [Google Scholar] [CrossRef]
- Badawy, W.A.; Ismail, K.M.; Fathi, A.M. Corrosion control of Cu–Ni alloys in neutral chloride solutions by amino acids. Electrochim. Acta 2006, 51, 4182–4189. [Google Scholar] [CrossRef]
- Helal, N.; Badawy, W. Environmentally safe corrosion inhibition of Mg–Al–Zn alloy in chloride free neutral solutions by amino acids. Electrochim. Acta 2011, 56, 6581–6587. [Google Scholar] [CrossRef]





| Sample/*SD | Jcorr, A·cm−2 | Ecorr, V | Rp, Ohm·cm−2 | βa, V/dec | −βc, V/dec | CR, mm·year−1 | IE, % |
|---|---|---|---|---|---|---|---|
| control | 4.31 × 10−5 ± 1.24 × 10−6 | −0.923 ± 0.032 | 5.321 × 102 ± 0.272 × 102 | 0.305 ± 0.032 | 0.136 ± 0.008 | 5.016 × 10−1 ± 1.021 × 10−2 | - |
| PMG 1 h | 5.76 × 10−6 ± 0.85 × 10−7 | −0.828 ± 0.021 | 6.733 × 103 ± 5.653 × 102 | 0.288 ± 0.021 | 0.243 ± 0.013 | 6.009 × 10−2 ± 2.191 × 10−4 | 86.627 ± 2.042 |
| PMG 2 h | 3.67 × 10−6 ± 1.30 × 10−8 | −0.811 ± 0.054 | 1.363 × 104 ± 6.003 × 102 | 0.290 ± 0.009 | 0.267 ± 0.024 | 4.271 × 10−2 ± 2.323 × 10−4 | 91.485 ± 0.532 |
| VPA 1 h | 6.16 × 10−6 ± 0.05 × 10−7 | −0.744 ± 0.082 | 7.740 × 103 ± 1.732 × 102 | 0.650 ± 0.002 | 0.333 ± 0.003 | 7.171 × 10−2 ± 6.24 × 10−4 | 85.703 ± 1.003 |
| VPA 2 h | 5.96 × 10−6 ± 1.18 × 10−7 | −0.577 ± 0.067 | 2.404 × 103 ± 0.834 × 102 | 0.613 ± 0.004 | 0.329 ± 0.006 | 6.941 × 10−2 ± 1.71 × 10−3 | 86.162 ± 0.934 |
| Sample/*SD | Chi-Sqr | Rs, Ω·cm2 | CPE f, F/cm2/s·φ −1 | CPE-P f, φ | Rf, Ω·cm2 | CPEdl-T, F/cm2/s·φ −1 | CPEdl-P, φ | Rct, Ω·cm2 | W-R, Ω·cm2 | IE, % |
|---|---|---|---|---|---|---|---|---|---|---|
| Fe | 1.00 × 10−3 | 16.64 ± 1.23 | 1.60 × 10−3 ± 0.29 × 10−5 | 0.72 ± 0.04 | 19.72 ± 2.32 | 2.19 × 10−3 ± 2.76 × 10−4 | 0.78 ± 0.03 | 688 ± 31 | - | - |
| PMG 1 h | 1.59 × 10−3 | 2.33 ± 0.25 | 6.75 × 10−9 ± 1.08 × 10−10 | 0.76 ± 0.02 | 38.13 ± 3.09 | 4.66 × 10−4 ± 0.62 × 10−5 | 0.74 ± 0.04 | 6736 ± 105 | - | 89.79 ± 0.21 |
| PMG 2 h | 1.75 × 10−4 | 2.489 ± 0.19 | 1.87 × 10−14 ± 3.01 × 10−15 | 0.89 ± 0.02 | 36.67 ± 4.23 | 1.94 × 10−4 ± 0.35 × 10−5 | 0.59 ± 0.03 | 13,890 ± 223 | 0.13 ± 0.91 | 95.05 ± 0.07 |
| VPA 1 h | 4.18 × 10−3 | 1.67 ± 0.03 | 4.85 × 10−9 ± 2.54 × 10−10 | 0.69 ± 0.04 | 34.19 ± 4.12 | 8.25 × 10−4 ± 0.57 × 10−5 | 0.65 ± 0.04 | 7056 ± 92 | - | 90.25 ± 0.03 |
| VPA 2 h | 1.03 × 10−3 | 1.976 ± 1.06 | 4.32 × 10−14 ± 1.27 × 10−15 | 0.45 ± 0.03 | 22.104 ± 1.75 | 1.38 × 10−3 ± 0.87 × 10−5 | 0.42 ± 0.07 | 2829 ± 86 | 324.2 ± 0.41 | 75.68 ± 0.23 |
| Inhibitor | PMG | VPA |
|---|---|---|
| Kads, mol−1 | 34676.66 | 22888.95 |
| ∆G°ads, J/mole | −35851.75 | −34821.81 |
| RL | 0.13 | 0.18 |
| Descriptors | VPA | VPA2− | PMG | PMG3− | |
|---|---|---|---|---|---|
| EHOMO | eV | −7.756 | −8.172 | −6.373 | −12.980 |
| ELUMO | −0.690 | −2.622 | −0.577 | −7.665 | |
| Ionization potential, IP | 7.756 | 8.172 | 6.373 | 12.980 | |
| Electron affinity, EA | 0.690 | 2.622 | 0.577 | 7.665 | |
| Energy gap, ∆E | 7.066 | 5.550 | 5.796 | 5.315 | |
| Chemical hardness, η | 3.533 | 2.775 | 2.898 | 2.657 | |
| Electrophilic index, ω | 2.524 | 5.248 | 2.083 | 20.050 | |
| Softness, σ | 0.283 | 0.360 | 0.345 | 0.376 |
Publisher’s Note: MDPI stays neutral with regard to jurisdictional claims in published maps and institutional affiliations. |
© 2020 by the authors. Licensee MDPI, Basel, Switzerland. This article is an open access article distributed under the terms and conditions of the Creative Commons Attribution (CC BY) license (http://creativecommons.org/licenses/by/4.0/).
Share and Cite
Visa, A.; Plesu, N.; Maranescu, B.; Ilia, G.; Borota, A.; Crisan, L. Combined Experimental and Theoretical Insights into the Corrosion Inhibition Activity on Carbon Steel Iron of Phosphonic Acids. Molecules 2021, 26, 135. https://doi.org/10.3390/molecules26010135
Visa A, Plesu N, Maranescu B, Ilia G, Borota A, Crisan L. Combined Experimental and Theoretical Insights into the Corrosion Inhibition Activity on Carbon Steel Iron of Phosphonic Acids. Molecules. 2021; 26(1):135. https://doi.org/10.3390/molecules26010135
Chicago/Turabian StyleVisa, Aurelia, Nicoleta Plesu, Bianca Maranescu, Gheorghe Ilia, Ana Borota, and Luminita Crisan. 2021. "Combined Experimental and Theoretical Insights into the Corrosion Inhibition Activity on Carbon Steel Iron of Phosphonic Acids" Molecules 26, no. 1: 135. https://doi.org/10.3390/molecules26010135
APA StyleVisa, A., Plesu, N., Maranescu, B., Ilia, G., Borota, A., & Crisan, L. (2021). Combined Experimental and Theoretical Insights into the Corrosion Inhibition Activity on Carbon Steel Iron of Phosphonic Acids. Molecules, 26(1), 135. https://doi.org/10.3390/molecules26010135

