Fabrication of High-Performance Bamboo–Plastic Composites Reinforced by Natural Halloysite Nanotubes
Abstract
1. Introduction
2. Results and Discussion
2.1. Mechanical Properties
2.2. Interfacial Morphologies
2.3. Water Absorption
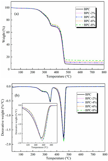
2.4. Thermogravimetric Analysis
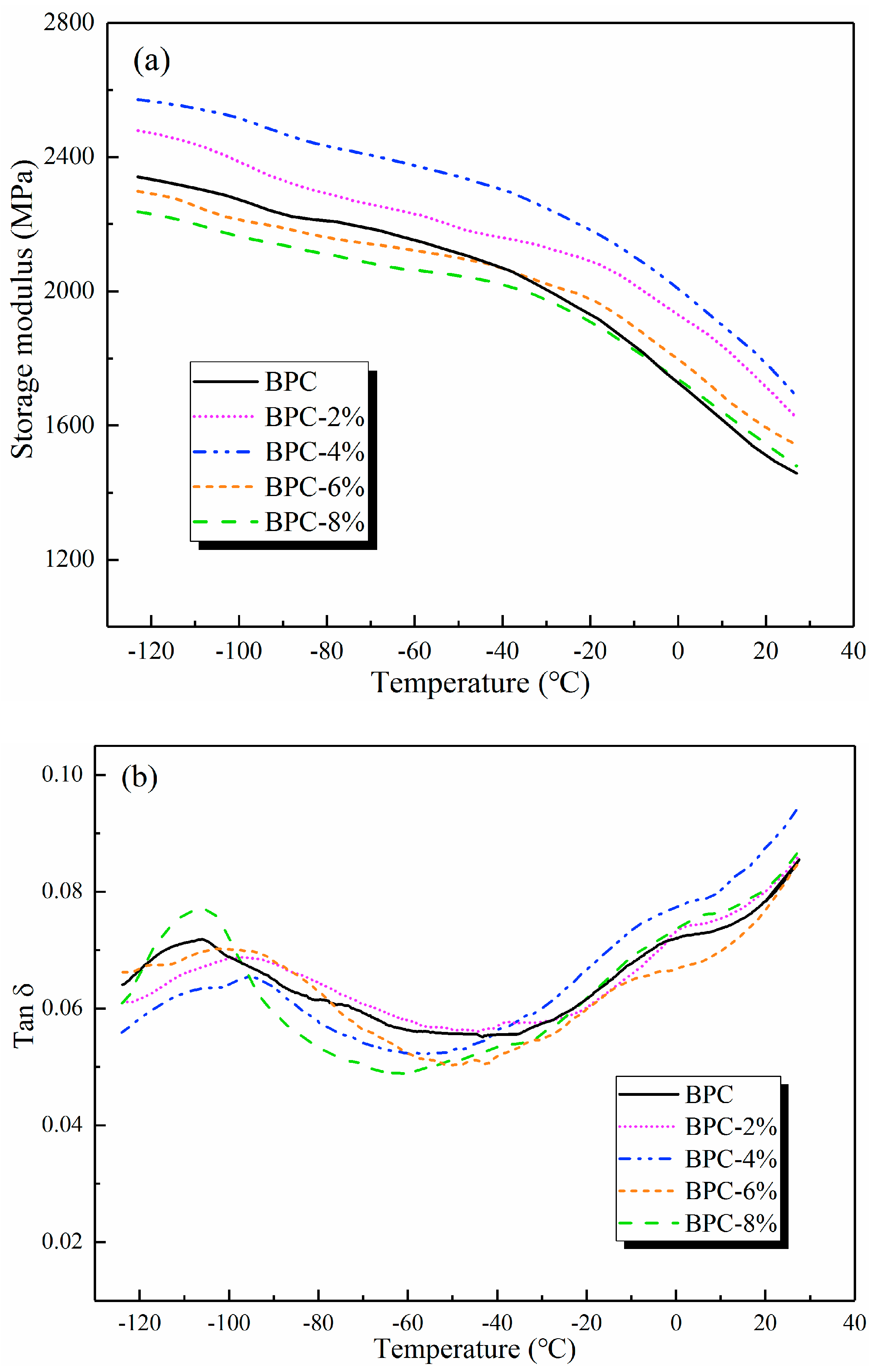
2.5. Dynamic Mechanical Analysis
3. Materials and Methods
3.1. Materials
3.2. Preparation of BPC Samples
3.3. Characterization of the BPCs
4. Conclusions
Author Contributions
Funding
Conflicts of Interest
References
- Wang, Y.; Deng, L.; Xiao, Z.; Li, X.; Fan, Y.; Li, C. Preparation and properties of bamboo/polymer composites enhanced by in situ polymerization of furfuryl alcohol. Mater. Express 2019, 9, 712–722. [Google Scholar] [CrossRef]
- Lee, S.-Y.; Chun, S.-J.; Doh, G.-H.; Kang, I.-A.; Lee, S.; Paik, K.-H. Influence of Chemical Modification and Filler Loading on Fundamental Properties of Bamboo Fibers Reinforced Polypropylene Composites. J. Compos. Mater. 2009, 43, 1639–1657. [Google Scholar] [CrossRef]
- Fei, P.; Fei, B.; Yu, Y.; Xiong, H.; Tan, J. Thermal Properties and Crystallization Behavior of Bamboo Fiber/High-Density Polyethylene Composites: Nano-TiO2 Effects. J. Appl. Polym. Sci. 2014, 131, 39846. [Google Scholar] [CrossRef]
- Haddou, G.; Dandurand, J.; Dantras, E.; Maiduc, H.; Thai, H.; Giang, N.V.; Trung, T.H.; Ponteins, P.; Lacabanne, C. Physical structure and mechanical properties of polyamide/bamboo composites. J. Therm. Anal. Calorim. 2017, 129, 1463–1469. [Google Scholar] [CrossRef]
- Ashori, A. Wood-plastic composites as promising green-composites for automotive industries! Bioresour. Technol. 2008, 99, 4661–4667. [Google Scholar] [CrossRef]
- Wu, T.-L.; Chien, Y.-C.; Chen, T.-Y.; Wu, J.-H. The influence of hot-press temperature and cooling rate on thermal and physicomechanical properties of bamboo particle-polylactic acid composites. Holzforschung 2013, 67, 325–331. [Google Scholar] [CrossRef]
- Bari, E.; Morrell, J.J.; Sistani, A.; Firoozbehi, F.; Haghdoost, Y.; Najafian, M.; Ghorbani, A. Assessment of physical and mechanical properties of bamboo–plastic composites. Polym. Composite. 2019, 40, 2834–2839. [Google Scholar] [CrossRef]
- Lee, S.-H.; Wang, S. Biodegradable polymers/bamboo fiber biocomposite with bio-based coupling agent. Compos. Part A: Appl. Sci. Manuf. 2006, 37, 80–91. [Google Scholar] [CrossRef]
- Rahman, M.R.; Hamdan, S.; Hashim, D.M.A.; Islam, M.S.; Takagi, H. Bamboo fiber polypropylene composites: Effect of fiber treatment and nano clay on mechanical and thermal properties. J. Vinyl Add. Tech. 2015, 21, 253–258. [Google Scholar] [CrossRef]
- Kushwaha, P.K.; Kumar, R. Effect of Silanes on Mechanical Properties of Bamboo Fiber-epoxy Composites. J. Reinf. Plast. Comp. 2009, 29, 718–724. [Google Scholar] [CrossRef]
- Hosseinaei, O.; Wang, S.; Enayati, A.A.; Rials, T.G. Effects of hemicellulose extraction on properties of wood flour and wood-plastic composites. Compos. Part A: Appl. Sci. Manuf. 2012, 43, 686–694. [Google Scholar] [CrossRef]
- Ghafarizadeh, S.B.; Fréchette, M.F.; David, E. Fabrication and Dielectric, Mechanical, and Thermal Properties of Low-Density Polyethylene (LDPE) Composites Containing Surface-Passivated Silicon (Si/SiO2 Core/Shell Nanoparticles). Polym.-Plast Technol. 2017, 57, 327–334. [Google Scholar] [CrossRef]
- Deka, B.K.; Mandal, M.; Maji, T.K. Effect of Nanoparticles on Flammability, UV Resistance, Biodegradability, and Chemical Resistance of Wood Polymer Nanocomposite. Ind. Eng. Chem. Res. 2012, 51, 11881–11891. [Google Scholar] [CrossRef]
- Wang, C.; Wang, G.; Cheng, H.; Zhang, S.; Smith, L.M.; Shi, S.Q. CaCO3 in situ treated bamboo pulp fiber reinforced composites obtained by vacuum-assisted resin infusion. Wood Sci. Technol. 2017, 51, 571–584. [Google Scholar] [CrossRef]
- Faruk, O.; Matuana, L. Nanoclay reinforced HDPE as a matrix for wood-plastic composites. Compos. Sci. Technol. 2008, 68, 2073–2077. [Google Scholar] [CrossRef]
- Najafi, A.; Kord, B.; Abdi, A.; Ranaee, S. The impact of the nature of nanoclay on physical and mechanical properties of polypropylene/reed flour nanocomposites. J. Thermoplast. Compos. 2011, 25, 717–727. [Google Scholar] [CrossRef]
- Kord, B. Effect of nanoclay on thickness swelling behavior in the extrusion foaming of wood flour/polyethylene composites. J. Thermoplast. Compos. 2012, 26, 1303–1316. [Google Scholar] [CrossRef]
- Ashori, A.; Nourbakhsh, A. Preparation and characterization of polypropylene/wood flour/nanoclay composites. Eur. J. Wood Wood Prod. 2010, 69, 663–666. [Google Scholar] [CrossRef]
- Du, M.; Guo, B.; Jia, D. Thermal stability and flame retardant effects of halloysite nanotubes on poly(propylene). Eur. Polym. J. 2006, 42, 1362–1369. [Google Scholar] [CrossRef]
- Ye, Y.; Chen, H.; Wu, J.; Ye, L. High impact strength epoxy nanocomposites with natural nanotubes. Polymer 2007, 48, 6426–6433. [Google Scholar] [CrossRef]
- Marney, D.C.O.; Russell, L.J.; Wu, D.Y.; Nguyen, T.; Cramm, D.; Rigopoulos, N.; Wright, N.; Greaves, M. The suitability of halloysite nanotubes as a fire retardant for nylon 6. Polym. Degrad. Stabil. 2008, 93, 1971–1978. [Google Scholar] [CrossRef]
- Hedicke-Höchstötter, K.; Lim, G.T.; Altstädt, V. Novel polyamide nanocomposites based on silicate nanotubes of the mineral halloysite. Compos. Sci. Technol. 2009, 69, 330–334. [Google Scholar] [CrossRef]
- Xie, Y.; Chang, P.R.; Wang, S.; Yu, J.; Ma, X. Preparation and properties of halloysite nanotubes/plasticized Dioscorea opposita Thunb. starch composites. Carbohyd. Polym. 2011, 83, 186–191. [Google Scholar] [CrossRef]
- Liu, M.; Jia, Z.; Jia, D.; Zhou, C. Recent advance in research on halloysite nanotubes-polymer nanocomposite. Prog. Polym. Sci. 2014, 39, 1498–1525. [Google Scholar] [CrossRef]
- Handge, U.A.; Hedicke-Höchstötter, K.; Altstädt, V. Composites of polyamide 6 and silicate nanotubes of the mineral halloysite: Influence of molecular weight on thermal, mechanical and rheological properties. Polymer 2010, 51, 2690–2699. [Google Scholar] [CrossRef]
- Molkara, F.; Najafi, S.K.; Ghasemi, I. Foam morphology and sound transmission loss of foamed wood flour/low-density polyethylene (LDPE)/nanoclay composites. J. Thermoplast. Compos. 2017, 31, 1470–1482. [Google Scholar] [CrossRef]
- Altun, Y.; Doğan, M.; Bayramlı, E. The effect of red phosphorus on the fire properties of intumescent pine wood flour-LDPE composites. Fire Mater. 2016, 40, 697–703. [Google Scholar] [CrossRef]
- Jia, Z.; Luo, Y.; Guo, B.; Yang, B.; Du, M.; Jia, D. Reinforcing and Flame-Retardant Effects of Halloysite Nanotubes on LLDPE. Polymer-Plast Technol. 2009, 48, 607–613. [Google Scholar] [CrossRef]
- Mohanty, S.; Nayak, S.K. Effect of clay exfoliation and organic modification on morphological, dynamic mechanical, and thermal behavior of melt-compounded polyamide-6 nanocomposites. Polym. Composite 2007, 28, 153–162. [Google Scholar] [CrossRef]
- Babaei, I.; Madanipour, M.; Farsi, M.; Farajpoor, A. Physical and mechanical properties of foamed HDPE/wheat straw flour/nanoclay hybrid composite. Compos. Part B Eng. 2014, 56, 163–170. [Google Scholar] [CrossRef]
- Khanjanzadeh, H.; Tabarsa, T.; Shakeri, A. Morphology, dimensional stability and mechanical properties of polypropylene–wood flour composites with and without nanoclay. J. Reinf. Plast. Comp. 2017, 31, 341–350. [Google Scholar] [CrossRef]
- Lvov, Y.; Wang, W.; Zhang, L.; Fakhrullin, R. Halloysite Clay Nanotubes for Loading and Sustained Release of Functional Compounds. Adv. Mater. 2016, 28, 1227–1250. [Google Scholar] [CrossRef] [PubMed]
- Tabari, H.Z.; Nourbakhsh, A.; Ashori, A. Effects of nanoclay and coupling agent on the physico-mechanical, morphological, and thermal properties of wood flour/polypropylene composites. Polym. Eng. Sci. 2011, 51, 272–277. [Google Scholar] [CrossRef]
- Hung, K.-C.; Chen, Y.-L.; Wu, J.-H. Natural weathering properties of acetylated bamboo plastic composites. Polym. Degrad. Stabil. 2012, 97, 1680–1685. [Google Scholar] [CrossRef]
- Alhuthali, A.; Low, I. Influence of halloysite nanotubes on physical and mechanical properties of cellulose fibres reinforced vinyl ester composites. J. Reinf. Plast. Comp. 2012, 32, 233–247. [Google Scholar] [CrossRef]
- Gorrasi, G. Dispersion of halloysite loaded with natural antimicrobials into pectins: Characterization and controlled release analysis. Carbohydr. Polym. 2015, 127, 47–53. [Google Scholar] [CrossRef] [PubMed]
- Awad, A.H.; Abdellatif, M.H. Assessment of mechanical and physical properties of LDPE reinforced with marble dust. Compos. Part B Eng. 2019, 173, 106948. [Google Scholar] [CrossRef]
- Goda, E.S.; Yoon, K.R.; El-sayed, S.H.; Hong, S.E. Halloysite nanotubes as smart flame retardant and economic reinforcing materials: A review. Thermochim. Acta 2018, 669, 173–184. [Google Scholar] [CrossRef]
- Dayma, N.; Satapathy, B.K. Microstructural correlations to micromechanical properties of polyamide-6/low density polyethylene-grafted-maleic anhydride/nanoclay ternary nanocomposites. Mater. Design 2012, 33, 510–522. [Google Scholar] [CrossRef]
- Huang, X.; Jiang, P.; Kim, C.; Ke, Q.; Wang, G. Preparation, microstructure and properties of polyethylene aluminum nanocomposite dielectrics. Compos. Sci. Technol. 2008, 68, 2134–2140. [Google Scholar] [CrossRef]
- Behzad, M.; Tajvidi, M.; Ehrahimi, G.; Falk, R.H. Dynamic mechanical analysis of compatibilizer effect on the mechanical properties of wood flour-High-density polyethylene composites. IJE Trans. B Appl. 2004, 17, 95–104. [Google Scholar]
- Kar, S.; Maji, P.K.; Bhowmick, A.K. Chlorinated polyethylene nanocomposites: Thermal and mechanical behavior. J. Mater. Sci. 2010, 45, 64–73. [Google Scholar] [CrossRef]
- Chen, Q.; Zhang, R.; Wang, Y.; Wen, X.; Qin, D. The Effect of Bamboo Charcoal on Water Absorption, Contact Angle, and the Physical-Mechanical Properties of Bamboo/Low-Density Polyethylene Composites. Bioresources 2016, 11, 9986–10001. [Google Scholar] [CrossRef][Green Version]
Sample Availability: Not available. |






| Sample | Ti (°C) 1 Step | Ti (°C) 2 Step | Temperature (°C) at Different Weights | Residual Weight (%) at 800 °C | |||
|---|---|---|---|---|---|---|---|
| 80% | 60% | 40% | 20% | ||||
| BPC | 222.02 | 389.01 | 331.74 | 430.73 | 450.30 | 460.67 | 7.41 |
| BPC-2% | 226.88 | 395.59 | 333.98 | 432.52 | 451.26 | 463.51 | 9.58 |
| BPC-4% | 228.44 | 406.62 | 335.01 | 435.23 | 452.72 | 464.33 | 10.53 |
| BPC-6% | 231.52 | 409.14 | 337.87 | 437.48 | 453.55 | 465.54 | 12.26 |
| BPC-8% | 238.91 | 411.06 | 338.66 | 438.09 | 453.76 | 466.79 | 14.12 |
© 2020 by the authors. Licensee MDPI, Basel, Switzerland. This article is an open access article distributed under the terms and conditions of the Creative Commons Attribution (CC BY) license (http://creativecommons.org/licenses/by/4.0/).
Share and Cite
Jin, X.; Li, J.; Zhang, R.; Jiang, Z.; Qin, D. Fabrication of High-Performance Bamboo–Plastic Composites Reinforced by Natural Halloysite Nanotubes. Molecules 2020, 25, 2259. https://doi.org/10.3390/molecules25092259
Jin X, Li J, Zhang R, Jiang Z, Qin D. Fabrication of High-Performance Bamboo–Plastic Composites Reinforced by Natural Halloysite Nanotubes. Molecules. 2020; 25(9):2259. https://doi.org/10.3390/molecules25092259
Chicago/Turabian StyleJin, Xiaobei, Jingpeng Li, Rong Zhang, Zehui Jiang, and Daochun Qin. 2020. "Fabrication of High-Performance Bamboo–Plastic Composites Reinforced by Natural Halloysite Nanotubes" Molecules 25, no. 9: 2259. https://doi.org/10.3390/molecules25092259
APA StyleJin, X., Li, J., Zhang, R., Jiang, Z., & Qin, D. (2020). Fabrication of High-Performance Bamboo–Plastic Composites Reinforced by Natural Halloysite Nanotubes. Molecules, 25(9), 2259. https://doi.org/10.3390/molecules25092259

